Next Article in Journal
Revisiting Black–Scholes: A Smooth Wiener Approach to Derivation and a Self-Contained Solution
Previous Article in Journal
Prunability of Multi-Layer Perceptrons Trained with the Forward-Forward Algorithm
 
 
Font Type:
Arial Georgia Verdana
Font Size:
Aa Aa Aa
Line Spacing:
Column Width:
Background:
Article

On the Dynamics of a Synchronous Binary Asteroid System with Non-Uniform Mass Distribution

by
Leandro Forne Brejão
1,
Antonio F. Bertachini de Almeida Prado
1,
Diogo Merguizo Sanchez
2,* and
Jean P. dos Santos Carvalho
3
1
Postgraduate Division, National Institute for Space Research (INPE), São José dos Campos 12227-010, SP, Brazil
2
School of Aerospace and Mechanical Engineering, The University of Oklahoma, Norman, OK 73019, USA
3
CETENS, Federal University of Recôncavo da Bahia (UFRB), Cruz das Almas 44380-000, BA, Brazil
*
Author to whom correspondence should be addressed.
Mathematics 2025, 13(16), 2667; https://doi.org/10.3390/math13162667
Submission received: 10 March 2025 / Revised: 13 August 2025 / Accepted: 15 August 2025 / Published: 19 August 2025
(This article belongs to the Section E: Applied Mathematics)

Abstract

In this work, particle dynamics in a binary asteroid system is analyzed within the Circular Restricted Three-Body Problem (CRTBP) framework, assuming the largest body is treated as a mass point. The secondary body is modeled as a mass dipole in synchronous rotation with its orbital motion, which leads to the spin–orbit resonance. The third body is a point of negligible mass whose motion is restricted to the orbital plane of the primary bodies. We considered asymmetrical and symmetrical dipole cases. The number and positions of the equilibrium points are determined for the dynamical analysis, and the zero-velocity curves are studied. This model preserves the number and geometric arrangement of the equilibrium points compared to the CRTBP. The equilibrium points adjacent to the dipole are the most sensitive in position to the variations in physical parameters. Considering the solar radiation pressure on the third body, different initial conditions for its motion in the vicinity of the dipole are analyzed. As a result, the particle survival time in orbital motion is estimated before colliding or suffering gravitational ejection from the system.

1. Introduction

Space missions for scientific research of the solar system have enhanced our knowledge about asteroids. In 1993, the Galileo spacecraft flying over the asteroid Ida showed for the first time that such celestial bodies can be arranged in asteroid systems with more than one body [1]. Since then, numerous binary and some triple asteroid systems have been found and cataloged. More than 160 binary asteroid systems are known, corresponding to 2% to 3% of the main belt bodies [2]. Asteroids that periodically approach Earth are classified as NEAs (Near-Earth Asteroids). NEAs are part of a broader category of celestial bodies called NEOs (Near-Earth Objects). Such objects, in addition to asteroids, also include comets. Technically, NEAs are asteroids whose distance from the Sun at perihelion is less than 1.3 astronomical units [3]. More than 14,000 NEAs are currently known [3]. About 15% of asteroids classified as NEAs are binary asteroid systems [2]. Based on space missions that visit asteroids, studies have been conducted and quantified the stability and navigability of spacecraft orbits in the vicinity of non-uniform mass distributions and rotating celestial bodies [4].
The interest in asteroids is mainly justified for three reasons: (i) to investigate the chemical composition of these bodies, with the purpose of future mining operations of their resources, in particular the metallic ones that may become scarce on Earth and to support space exploration activities; (ii) improve the understanding of their orbital motion, especially of large asteroids, to develop strategies to prevent the risk of collision of any of these bodies with the Earth; (iii) promote greater knowledge about the origin and formation of the solar system since asteroids preserve such information [5].
Whatever the purpose of a space mission targeting an asteroid or asteroid system, the gravitational field modeling of these bodies is the basis for analyzing the orbital motion of a spacecraft around them, and thus for planning the mission [6,7]. However, given the wide variety of shapes and mass distributions found in asteroids, a refined model of the gravitational potential of one of these bodies can only be achieved if a spacecraft is close enough to it. Several asteroid characteristics are only known when the spacecraft approaches its target [4]. In this context, space missions to asteroids should allow flexibility in mission parameters related to mass distribution and the shape of the target body or system.
There are several ways to mathematically represent a celestial body’s gravitational field. One of the most common methods is to approximate the gravitational potential using an infinite series of special functions, such as spherical harmonic functions and ellipsoidal harmonic functions [6]. Celestial bodies without radial symmetry, non-uniform mass distributions, and rotational motion introduce considerable complexity in estimating their gravitational potential. One of the biggest challenges for asteroid missions is designing orbits in the vicinity of these bodies. Due to the coupled effect of rotating the asteroid with its asymmetric gravitational field on neighboring objects, such as a nearby spacecraft, the orbital dynamics around the asteroid are quite challenging and complex [8]. The orbital environment around asteroids is among the most disturbed and extreme environments found in the solar system. Uncontrolled trajectories are generally highly unstable and can impact or escape at times [9].
For the gravitational field modeling of bodies with non-uniform mass distributions, three-dimensional approximations have been conceived using simplified geometric shapes, such as the triaxial ellipsoid model, the polyhedral model, and the particle swarm model [6]. The Polyhedron Method stands out [10]. In this method, the gravitational potential of a body is modeled with high precision, although there is no analytical expression for such a representation. Due to the high accuracy of this method, which is based on the geometric shape of the body, it has been widely used in numerous studies to describe the gravitational potential of several asteroids. The disadvantage of this method is that it relies on prior and detailed knowledge of the shape of the celestial body being studied. A model derived from this method can only be made by radar observations. Consequently, a gravitational potential model specifically developed for a given asteroid via the Polyhedron Method cannot be applied to another body. Additionally, due to the geometric complexity of the Polyhedron Method, it requires a high computational processing time. Alternatively, general aspects of the orbital dynamics of a spacecraft near a body with a non-uniform mass distribution can be obtained by applying simpler gravitational potential models for asteroids. As an example, consider the rotating mass dipole model proposed by Chermnykh [11] and adopted to approximate the gravitational potential of a rotating dumbbell-shaped body [8,12,13]. Such models, although conceptually simpler than those derived from the Polyhedron Method, have the advantage of representing the gravitational potential of families of celestial bodies that have similar shape and mass distribution aspects. Indeed, using a more general model for the gravitational potential is necessary when the morphological characteristics of a mission target asteroid are poorly understood. Additionally, the rotating mass dipole model, for instance, requires minimal computational capacity and is virtually instantaneous in terms of processing. The rotating mass dipole model thus enables the flexible representation of the main morphological characteristics of an elongated body with a non-uniform mass distribution and rotation. This model can be employed to represent one of the bodies of an asteroid system. Such an approach was considered in studies involving the symmetric mass dipole model with rotation, which is one of the bodies in a binary asteroid system [14,15,16]. Reference [14] considers a similar problem without adding the solar radiation pressure in the model. The focus is on the location and stability of the equilibrium points. Reference [15] also considers the problem without the solar radiation problem in the model, but looking at the lifetime of particles. Reference [16] considers the problem of just one asteroid, not a double one, but extends the model in the third dimension.
In this work, the dynamics of a spacecraft around a binary asteroid system is analyzed. The largest mass primary is assumed to be spherical and homogeneous, and the smallest primary is represented as an elongated shape with non-uniform mass distribution. This primary is evenly rotated around its axis of largest moment of inertia and has spin–orbit resonance due to the synchronization between its rotation and its motion around the center of mass of the binary asteroid system. The equations of motion for the third body, the spacecraft, are written in the framework of the Circular Restricted Three-Body Problem. Added to this framework, the rotating mass dipole model represents the gravitational potential of an elongated shape with non-uniform mass distribution, in which two poles concentrate the entire mass of this body. A new parameter is introduced to determine the mass of each pole of the less massive primary and is used as a scale factor in the distance of each pole from the larger primary. This parameter not only determines the mass of each pole but also influences the distance of each pole to the center of mass of the system. The distance between the poles is also considered a variable in the model. The investigation of the impact of the variation in these parameters on the dynamics of the third body, and consequently how the gravitational field of the minor primary impacts its dynamics, can be critical in the planning of space missions to double asteroid systems in general, since it provides an extensive range of distances and shapes in which double systems can fit, specially for missions with close approach with the minor primary. In the second part of this work, the solar radiation pressure is added to the model to evaluate its impact on the survival times of the spacecraft around the binary system.

2. Mathematical Model

In this section, we first consider a parametric representation of the mass dipole model, followed by the description of the motion of a third body with respect to a synodic reference system originating in the center of mass of the binary system. This system is used to find the equilibrium points and the associated zero-velocity curves. Then, the equations of motion of the third body in the inertial reference system, which also originate from the center of mass of the binary system, are considered, taking into account the gravitational fields of the primaries and the solar radiation pressure.
The equilibrium points in celestial mechanics, also known as Lagrange points, are positions where all the forces involved (the gravitational forces of m 1 , m 21 , and m 22 in the present paper), the centrifugal force, and the solar radiation force balance out, allowing a smaller third body to maintain a stable position relative to the bodies. They are obtained just by imposing that the resultant force is zero. The classical restricted three-body problem has five points, labeled L 1 through L 5 . L 1 to L 3 are the collinear points, which are always unstable, while L 4 and L 5 are the triangular points, which are stable if the mass parameter is smaller than 0.03852 [17]. In more complex dynamics, the number of equilibrium points and their stability must be verified in every situation.

2.1. Parametric Representation of the Model

A binary asteroid system is considered where each body is a primary. The primary I, with mass m 1 , presents a spherical and homogeneous mass distribution. The primary II, with mass m 2 , presents an asymmetric and homogeneous mass distribution in an elongated format. In this system, it is assumed that m 2 < m 1 . In this model, B p 1 and B p 2 denote the centers of mass of the primaries I and II, respectively, and B is the center of mass of the binary asteroid system.
For the analysis of the system, we consider the sidereal referential S B ( x , y , z ) , which is inertial, and S ˜ B ( x ˜ , y ˜ , z ˜ ) , a synodic referential, both originating from B, with B z B z ˜ at all times, as shown in Figure 1 (left). The synodic referential S ˜ B follows the orbital motion of the center of mass of primary II (the point B p 2 ) around the center of mass B of the binary asteroid system. In addition, the primaries rotate around their respective centers of mass. Due to the spherical shape and homogeneity of primary I, its rotation does not introduce relevant aspects in this study. As for primary II, due to its asymmetric mass distribution and elongated shape, rotation should be considered in the model. In this study, it is assumed that there is a synchronization between the primary II rotational motion around B p 2 and its orbital motion around B, with w p 2 = w p , which allows us to consider a spin–orbit resonance for this body, as presented in Figure 1 (left). From this condition, we have w p 2 = w p = n , with n being the orbital mean motion of the primaries in S B . Additionally, as illustrated in Figure 1 (left), the third body, of negligible mass ( m 3 m 1 and m 3 m 2 ), is represented by the mass point P, which can be considered a spacecraft. The motion of P in the system is restricted to the B x y plane, which is the primary motion plane.
The primary I is assumed to be a mass point represented by P 1 B p 1 . Due to its elongated shape, primary II is defined by the spin–orbit resonance mass dipole model, whereby two mass points (poles) P 21 and P 22 of masses m 21 and m 22 , respectively, are used such that m 21 + m 22 = m 2 , as shown in Figure 1 (right). Thus, the gravitational potentials of primaries I and II are taken as the gravitational potentials of a mass point and a pair of mass points or poles linked together by an ideal rod (rigid and massless), rotating about an axis perpendicular to it, respectively. The length of this rod is the characteristic distance between the poles, i.e., the length of the primary II. Since a dipole is a model for primary II, it is considered a spin–orbit resonance. From Figure 1 (right) we can see that, as a consequence of the spin–orbit resonance over the dipole, the mass points P 1 , P 21 , and P 22 are aligned with the center of mass B of the binary asteroid system. The direction of such alignment was conveniently chosen to define the synodic frame S ˜ B , which presents the uniform rotation of intensity n relative to the sidereal frame S B .
Considering the dipole model, the total mass of the binary asteroid system is M = m 1 + m 21 + m 22 . For the numerical simulations, it is interesting to use canonical units. It means that the unit of mass is defined as the total mass of the system; the unit of distance is taken as the distance between m 1 and the center of mass of m 21 and m 22 and the unit of time multiplied by the mean angular motion of the system. This approach yields more accurate numerical integrations of the equations of motion, without interfering with the dynamics. The binary mass parameter μ is defined in canonical units as μ = m 2 M . Consequently, we have that m 1 M = 1 μ , considering 0 < μ < 1 / 2 , given that m 2 < m 1 . Similarly, the mass parameter μ * of primary II is defined in canonical units as μ * = m 21 M . This parameter can be related to the parameter μ through the equation μ * = f μ , where f is the dipole mass factor, with 0 < f < 1 to preserve the dipole. This factor expresses the fraction of μ comprised by the choice of P 21 . Thus, given that m 21 M = f μ , we have that m 22 M = ( 1 f ) μ . In that sense, f defines the mass distribution of the two points of mass that form the smaller body. Let l and d be the distance between B p 1 and B p 2 and the distance between P 21 and P 22 , respectively, assumed to be constants. The geometric parameter of the dipole in canonical units is defined as d * = d l , with 0 < d * 1 , such that the dimensionless distance between the dipole poles is a fraction of the distance between the centers of mass of the primaries. We also consider the instant t * = n t , given in canonical units, with t denoting a time instant in seconds.
The parameter f of the model not only determines the mass of each pole from the mass of primary II but also influences the distance of each pole to the center of mass B p 2 of primary II. To decouple these two influences of the parameter f from the dipole and to analyze only the effect of mass variation in the poles P 21 and P 22 by the variation in this parameter, the standard distance (geometric reference) of the model is adopted as the distance between the centroids (geometric centers) of the primaries. As shown in Figure 2, the synodic abscissa in canonical units of the dipole poles are x 21 * ( μ , f , d * ) = 1 μ ( 1 f ) d * and x 22 * ( μ , f , d * ) = 1 μ + f d * .

2.2. Equations of Motion of the Third Body in the Synodic Reference Frame

Let x * = x / l and y * = y / l be defined as the corresponding coordinates of the third body P in the synodic frame in canonical units. Based on the Restricted Circular Three- Body Problem [17,18], and in the parameterization of the physical model established in Section 2.1, we have that the effective potential of the binary asteroid system modeled by the mass points P 1 , P 21 , and P 22 at the given arbitrary point, evaluated in the synodic reference S ˜ B and in canonical units, is given in Equations (1)–(4):
Ω * ( x * , y * ) = 1 2 x * 2 + y * 2 + 1 μ r 1 * + f μ r 21 * + ( 1 f ) μ r 22 * ,
r 1 * = ( x * + μ ) 2 + y * 2 ,
r 21 * = [ x * ( 1 μ ( 1 f ) d * ) ] 2 + y * 2 ,
r 22 * = [ x * ( 1 μ + f d * ) ] 2 + y * 2 .
Note that Equations (2), (3), and (4) are the distances from P to P 1 , to P 21 , and to P 22 , respectively, evaluated at S ˜ B . The first term of the second member of Equation (1) is the pseudo centrifugal potential of the system. Its occurrence is due to the description of the gravitational potential of the binary asteroid system in the synodic reference frame, which is non-inertial. The other terms of the second member of Equation (1) are the gravitational potentials of mass points due to P 1 , P 21 , and P 22 , respectively. From Equation (1), the equations of motion of the third body P, in canonical units and the synodic referential S ˜ B , are x ˜ * 2 y ˜ * = Ω x * * ( x ˜ * , y ˜ * ) and 2 x ˜ * + y ˜ * = Ω y * * ( x ˜ * , y ˜ * ) , where Ω x * * ( x ˜ * , y ˜ * ) and Ω y * * ( x ˜ * , y ˜ * ) are the partial derivatives of the pseudo-potential with respect to x ˜ and y ˜ , respectively. Then, it can be determined, from the synodic reference S ˜ B , the number and location of the equilibrium points E i ( x ˜ * , y ˜ * ) of the physical system in the orbital plane of the primaries, which are the real algebraic solutions of Equations (5) and (6):
Ω x * * x * = x i * , y * = y i * = 0 ,
Ω y * * x * = x i * , y * = y i * = 0 .
Equations (5) and (6) generally present six real solutions E i ( x ˜ i * , y ˜ i * ) [19]. One of these solutions is located along the axis of the synodic abscissa between the poles P 21 and P 22 . Since the motion of the third body between the poles is discarded, because the dipole model is associated with an extended body (primary II), this equilibrium solution is not considered in this study. The remaining five equilibrium solutions (points) of the physical system are arranged in the plane of motion of the primaries in a geometric arrangement similar to that of the Circular Restricted Three-Body Problem [17,18]. Three real values of x ˜ i * are found, for which x ˜ i * = 0 and which correspond to three collinear equilibrium points E 1 ( x ˜ E 1 * , 0 ) , E 2 ( x ˜ E 2 * , 0 ) , and E 3 ( x ˜ E 3 * , 0 ) , in addition to the triangular equilibrium points E 4 ( x ˜ E 4 * , y ˜ E 5 * ) and E 5 ( x ˜ E 5 * , y ˜ E 5 * ) , with x ˜ E 4 * = x ˜ E 5 * and y ˜ E 4 * = y ˜ E 5 * .
Similarly to the Circular Restricted Three-Body Problem, the Jacobi Integral is obtained for the present physical model (Equation (7)):
x ˙ * 2 + y ˙ * 2 = 2 Ω * ( x * , y * ) C * .
where C * is the Jacobi constant in canonical units. Using a given value of C * = C i * ( x ˜ i * , y ˜ i * ) for an equilibrium point E i ( x ˜ i * , y ˜ i * ) , under the conditions of zero velocity ( x ˙ * = 0 , y ˙ * = 0 ) , one can, via numerical integration, plot the zero-velocity curves (Hill curves) associated with C i * . Such curves are the geometrical place of the points, in the primary plane of motion and in the synodic frame, where 2 Ω * ( x * , y * ) = C * . It is observed that the regions of the primary plane of motion in which P has motion physically permitted are those where x ˙ * 2 + y ˙ * 2 0 , and this condition must be satisfied in Equation (7).

2.3. Third Body Equations of Motion in the Sidereal Referential Considering the Effect of Solar Radiation Pressure

Since the third body has a mass much smaller than the primary masses, the influence of solar radiation pressure on its motion near the asteroids is significant [20,21,22].
Figure 3 shows the Sun’s apparent motion relative to the center of mass B of the binary asteroid system. r and S are the position vectors of P (spacecraft) and the Sun, respectively, and are also taken in the sidereal frame. Let D be the position vector of the third body with respect to the Sun. From Figure 3, it can be seen that D = x ( t ) x s ( t ) 2 + y ( t ) y s ( t ) 2 , where x ( t ) and y ( t ) are the dimensional sidereal coordinates of the third body and x s ( t ) and y s ( t ) are the sidereal coordinates of the Sun, all of them functions of time. r D all the time, it follows that S D . In Figure 3, ν s denotes the apparent true anomaly of the Sun with respect to B. We define ξ ( t ) = x ( t ) / l and η ( t ) = y ( t ) / l as the sidereal coordinates, in canonical units, of P. Since t = t * / n , the equations of motion of the third body in the sidereal reference frame, in canonical units, assuming the effect of solar radiation pressure on this body, are given in Equations (8) and (9). They are obtained by adding the terms representing all the forces involved. The first term, 1 μ ρ 1 3 ξ + μ cos ( t * ) , represents the gravity field of m 1 ; the second term, f μ ρ 21 3 ξ ( 1 μ ( 1 f ) d * ) cos ( t * ) , represents the gravity field of m 21 ; the third term, ( 1 f ) μ ρ 22 3 ξ ( 1 μ + f d * ) cos ( t * ) , represents the gravity field of m 22 ; and the fourth term, a p * cos ( ν s ) , represents the solar radiation pressure.
d d t * 2 ξ = 1 μ ρ 1 3 ξ + μ cos ( t * ) f μ ρ 21 3 ξ ( 1 μ ( 1 f ) d * ) cos ( t * ) ( 1 f ) μ ρ 22 3 ξ ( 1 μ + f d * ) cos ( t * ) a p * cos ( ν s ) ,
d d t * 2 η = 1 μ ρ 1 3 η + μ sin ( t * ) f μ ρ 21 3 η ( 1 μ ( 1 f ) d * ) sin ( t * ) ( 1 f ) μ ρ 22 3 η ( 1 μ + f d * ) sin ( t * ) a p * sin ( ν s ) ,
where
ρ 1 = [ ξ + μ cos ( t * ) ] 2 + [ η + μ sin ( t * ) ] 2 ,
ρ 21 = [ ξ ( 1 μ ( 1 f ) d * ) cos ( t * ) ] 2 + [ η ( 1 μ ( 1 f ) d * ) sin ( t * ) ] 2 ,
and
ρ 22 = [ ξ ( 1 μ + f d * ) cos ( t * ) ] 2 + [ η ( 1 μ + f d * ) sin ( t * ) ] 2
are the distances of P, in canonical units, relative to P 1 , P 21 , and P 22 in the sidereal reference frame. The magnitude of the acceleration due to solar radiation pressure is given by
a p * = 1 n 2 l C r ( A / m ) P s ( R 0 / l ) 2 ξ a S l 1 e S 2 1 + e S cos ( ν S ) cos ( ν S ) 2 + η a S l 1 e S 2 1 + e S cos ( ν S ) sin ( ν S ) 2 ,
where a S and e s are the semi-major axes and the eccentricity of the heliocentric orbit of B in the sidereal frame. C r is the reflectivity coefficient of the third body and depends on the reflectivity of its sunlit surface. Typically, C r is defined in the range [1, 2], where 1 means total absorption of Sun-radiated energy and 2 means total reflection of this energy by the illuminated surface of the body. P S = 4.56 × 10 6 N/m2 is the solar radiation pressure at R 0 , which is one astronomical unit. The factor A / m represents the area-to-mass ratio of the third body. The higher this ratio, the more sensitive the body will be to the effects of solar radiation pressure.
In this work, it is considered that the motion of the third body starts around the primary II, so that, at the initial moment, the orbit of P can be assumed to be an initial Keplerian osculating orbit whose dynamics take into account the gravitational effect of the mass distribution of the primary II due to the dipole poles, the gravitational effect of the primary I, and the solar radiation pressure. Two configurations were considered for the initial conditions of Equations (8) and (9): direct orbit (0 degree inclination relative to the plane of motion of the primaries) and retrograde orbit (180 degree inclination relative to the plane of motion of the primaries). In both cases, such conditions are taken from the periapsis of the initial Keplerian osculating orbit. In addition, the first initial conditions are taken in the local referential resulting from the approximation B p 2 C p 2 ( δ 0 ) . After coordinate transformations, these initial conditions can be expressed in the sidereal reference frame and canonical units. In both initial Keplerian direct and retrograde osculating orbits, we have ξ 0 = 1 μ + a ˜ 0 ( 1 e 0 ) , η 0 = 0 , and ξ ˙ 0 = 0 . For direct orbits, we have η ˙ 0 = 1 μ + μ a ˜ 0 1 + e 0 1 e 0 and for retrograde orbits, we have η ˙ 0 = 1 μ μ a ˜ 0 1 + e 0 1 e 0 , where a ˜ 0 is the initial orbital osculating semi-major axes, taken from the primary II centroid in canonical units, and e 0 is the initial orbital osculating eccentricity.

2.4. Study of the Motion of a Spacecraft in a Binary Asteroid System with Dipole Model

As previously presented, the negligible mass body m 3 can be considered a spacecraft that orbits near the bodies of a binary asteroid system. It is recalled that, by hypothesis, the spacecraft has its motion restricted to the plane defined by the motion of the primaries of the system. In this work, we analyze the motion of a spacecraft based on its initial conditions of position and speed at the periapsis of an initial Keplerian osculating orbit, whose primary focus is the centroid of primary II, modeled as a mass dipole. Such a choice is justified when considering the motion of a spacecraft in the vicinity of a body with a non-uniform mass distribution along an elongated shape that comprises a binary asteroid system.
The motion of the spacecraft is evaluated considering its survival time in the binary asteroid system, taking into account its gravitational interaction with the primaries and the solar radiation pressure. In this study, the pressure effect of solar radiation is considered by taking the Sun in two possible starting positions: the periapsis and the apoapsis. This simplification is based on the fact that the orbital period of the asteroid is 2 years and 10 months (1023 days). We are looking for missions of approximately 30 days, which are significantly shorter than the orbital period of the asteroid. Besides that, we studied the two extreme situations (periapsis and apoapsis), so we know that intermediate locations of the asteroid will give intermediate results, giving us an idea of the results. The effect of solar radiation pressure on the primaries is not considered. Through the combination of the gravitational effects of the primaries and the solar radiation pressure, it is possible to estimate, for given initial conditions of position and speed of the spacecraft, and considering an appropriate simulation time interval, the duration of the motion of the spacecraft in the asteroid system. We also know if the spacecraft will survive under these initial conditions. The longer the motion lasts, the longer the spacecraft survives in the binary asteroid system. For the remaining initial conditions, whether the spacecraft collides with any primary of the asteroid system or escapes from the system within the considered simulation period can be determined.
Another relevant point is to verify the assumption of neglecting the planets of the solar system in the dynamical model. We can do this by making some simple calculations. The largest planet in the solar system is Jupiter. Using Newton’s law of gravitation and assuming that the asteroid is at its apoapsis and aligned with Jupiter and Sun (where we have the minimum distance between the asteroid and Jupiter, so maximum effects), the acceleration coming from the gravity of Jupiter is in the order of 7.76 × 10 7 m/s2. The asteroid crosses the orbit of Mars, so it is necessary to consider this planet. Using the same technique, we can get a value of 1.9 × 10 7 m/s2 at a distance of 0.1 astronomical units from Mars. The asteroid also passes very close to the orbit of the Earth when it is at its periapsis, so we need to perform the same calculation for the Earth. We get a value of 1.78 × 10 8 m/s2 at a distance of 0.1 astronomical units from Earth. The third-body perturbation of the Sun on a satellite in orbit around the asteroid with a 2 km altitude is about 10 14 m/s2. Considering that the gravity of the asteroid has an acceleration in the order of 4.34 × 10 5 m/s2 at 2 km distance, we can assume that we can neglect those perturbations, unless there is a close approach of the asteroid with Mars or the Earth at distances below 0.1 astronomical units.
The motion of the spacecraft is expressed for initial direct and retrograde Keplerian orbits, which can be determined via numerical integration of Equations (8) and (9). An inertial reference frame originating from the center of mass of the binary asteroid system, utilizing the mass dipole model for one of the primary bodies, is employed. For this, it is helpful to build grids (maps) of initial conditions for the motion of the spacecraft that relate the survival time of its motion in the asteroid binary asteroid system with the inclination of its initial osculator orbital plane with respect to the sidereal plane and with the initial osculator values of semi-major axis a ˜ 0 (in canonical units) and orbital eccentricity e 0 . During the entire simulation, the transformation of coordinates occurs at each integration step, from the distance from the spacecraft to the centroid of the primary II to the center of mass of the binary asteroid system. However, in the representation of the grids of initial conditions for the spacecraft motion, the initial values of the semi-major axis a ˜ 0 are expressed from the centroid of the primary II.
For the composition and testing of the model of this study, an idealized asteroid system with μ 0.1 and geometric parameters l = 3804 m and d = 500 m is considered, to obtain the ratio d * 0.13 . The primary with the highest mass, modeled as a spherical body, has a radius R 1 = 1350 m. This idealized asteroid system is built to highlight the aspects addressed in the present work and inspired by the Alpha and Gamma bodies of the 2001SN263 asteroid system [23,24,25], whose parameters l, d, and R 1 have the values presented above. However, to emphasize certain aspects of the present research, the parameter μ 0.1 is adopted as ten times the value of the Alpha and Gamma bodies of the 2001SN263 asteroid system. This choice of mass parameter is made because we are studying the effects of the shape of the smaller asteroids, so it is important to use mass parameters ( μ ) that are not too small, or the effects of the smaller primary would be negligible in the general dynamics. There is an extensive range of mass parameters in the real world, so we choose 0.1 to better exemplify our study. For the 2001SN263 system, its semi-major axis and eccentricity are, respectively, a s 1.9868 astronomical units and e s 0.47808 [26]. In addition, it is considered that the spacecraft has a constant mass of 100 kg and an area exposed to solar radiation of 1 m 2 , invariably, which leads to an area mass ratio of A / m = 0.01   m 2 / kg . The reflection coefficient C r of the surface of the spacecraft exposed to such radiation is considered to be 1.5.
The grids of initial conditions for the motion of the spacecraft are comprised of different values for the semi-major axis and eccentricity for the initial osculating orbit. The range for the semi-major axis is 250 m from the centroid of primary II (the edge of this primary) up to 2000 m, with a variation step of 0.5 m. In addition, as previously said, it is adopted that the primary I, modeled in this study as a spherical body, has a radius of 1350 m. As a collision criterion, it is considered that the spacecraft collided with some primary of the system if its distance to the centroid of a primary is less than or equal to the characteristic dimension of that body. It is also considered the escape of the spacecraft from the binary asteroid system. It occurs when the largest osculating semi-major axis of the orbit of the spacecraft, about the center of mass of the binary asteroid system, is greater than 30 times the distance between the primaries. For the orbital eccentricity of the spacecraft, values 0 e 0 < 1 are considered such that the initial osculating orbit of the spacecraft is Keplerian, with a variation step of 0.01. For the initial osculator semi-major axis and initial osculator eccentricity intervals presented, initial condition grids are considered for direct initial osculator orbit ( i = 0 ) and retrograde initial osculator orbit ( i = 180 ).
The numerical integrator Runge–Kutta 7/8 was used for the simulations with a variable integration step. The total integration time adopted for the simulations is 500 days, which is equivalent to half the orbital period of the asteroid binary system around the Sun. The justification for this integration period is to consider the motion of the spacecraft in the asteroid binary system assuming the variation in the relative distance from the Sun to the center of mass of this system, which, in turn, leads to a variation in the intensity and direction of the acceleration induced on the spacecraft by the pressure of solar radiation. Through the simulations, it is possible to verify if, for given initial conditions, the spacecraft survives for 500 days.

3. Results

This study examines the variations in the model parameters μ , f, and d * within their respective ranges, as defined in Section 2.1, to analyze their impact on the synodic coordinates of the equilibrium points and to plot the zero-velocity curves. Remember that varying the parameters of the model allows for flexibility in adapting it to a particular case of a binary asteroid system. Next, the effect of solar radiation pressure on the motion of the third body in the binary system is considered. This third body may represent a spacecraft exploring the binary asteroid system.

3.1. Variation in Synodic Coordinates of Equilibrium Points Through Variation in Model Parameters for the Results

Synodic coordinates of equilibrium points E i ( x i * , y i * ) , in canonical units, of a family of binary asteroid systems with the characteristics considered in the model set out in Section 2.3 can be generically expressed by x i * = x i * ( μ , f , d * ) and y i * = y i * ( μ , f , d * ) . However, such coordinates have distinct sensitivity to each model parameter according to the equilibrium point considered.
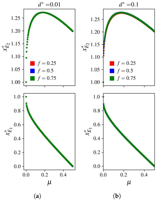
Figure 4 illustrates the variations in the synodic abscissa of equilibrium points E 1 and E 2 as the parameter μ varies, considering symmetrical and asymmetrical dipole cases ( f = 0.25 , f = 0.5 , and f = 0.75 ), along with geometric parameters d * = 0.01 (left) and d * = 0.1 (right). In this figure, there is no significant difference between the symmetrical and the asymmetrical cases and between the two geometrical parameters considered, since the variation in the synodic abscissa due to the variation in μ is large enough to hide any apparent change caused by the variation in f and d * . The same behavior is present in Figure 5, which depicts the changes in the synodic abscissa of the equilibrium point E 3 , considering the symmetrical and the asymmetrical cases, with d * = 0.01 (Figure 5a) and d * = 0.1 (Figure 5b), and the changes in the synodic abscissa of the equilibrium points E 4 , 5 (Figure 5c). Different from the equilibrium points E 1 and E 2 shown in Figure 4, the changes in the synodic abscissa of the equilibrium points E 4 , 5 present a linear trend, as the position of E 3 moves away from P 1 , and E 4 , 5 moves to the center of mass, with the increase in μ .
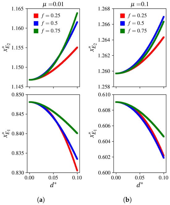
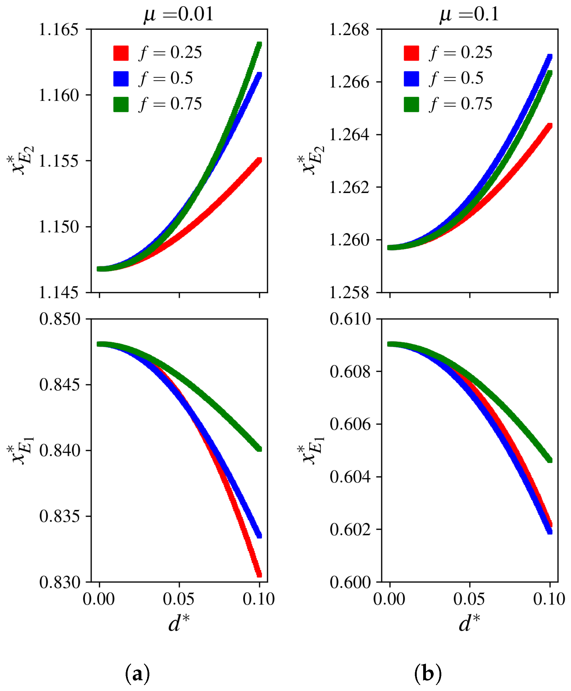
Figure 6 illustrates the variations in the synodic abscissa of equilibrium points E 1 and E 2 as the geometric parameter d * is modified for two different values of μ (0.01 and 0.1). Panel (a) highlights the response of E 1 and E 2 when μ = 0.01 . The data suggests that as d * increases, both equilibrium points move further from the centroid of primary II. Panel (b) shows the situation for μ = 0.1 . The influence of increasing d * on the positions of E 1 and E 2 is evident, emphasizing their sensitivity to changes in the mass distribution of the dipole.
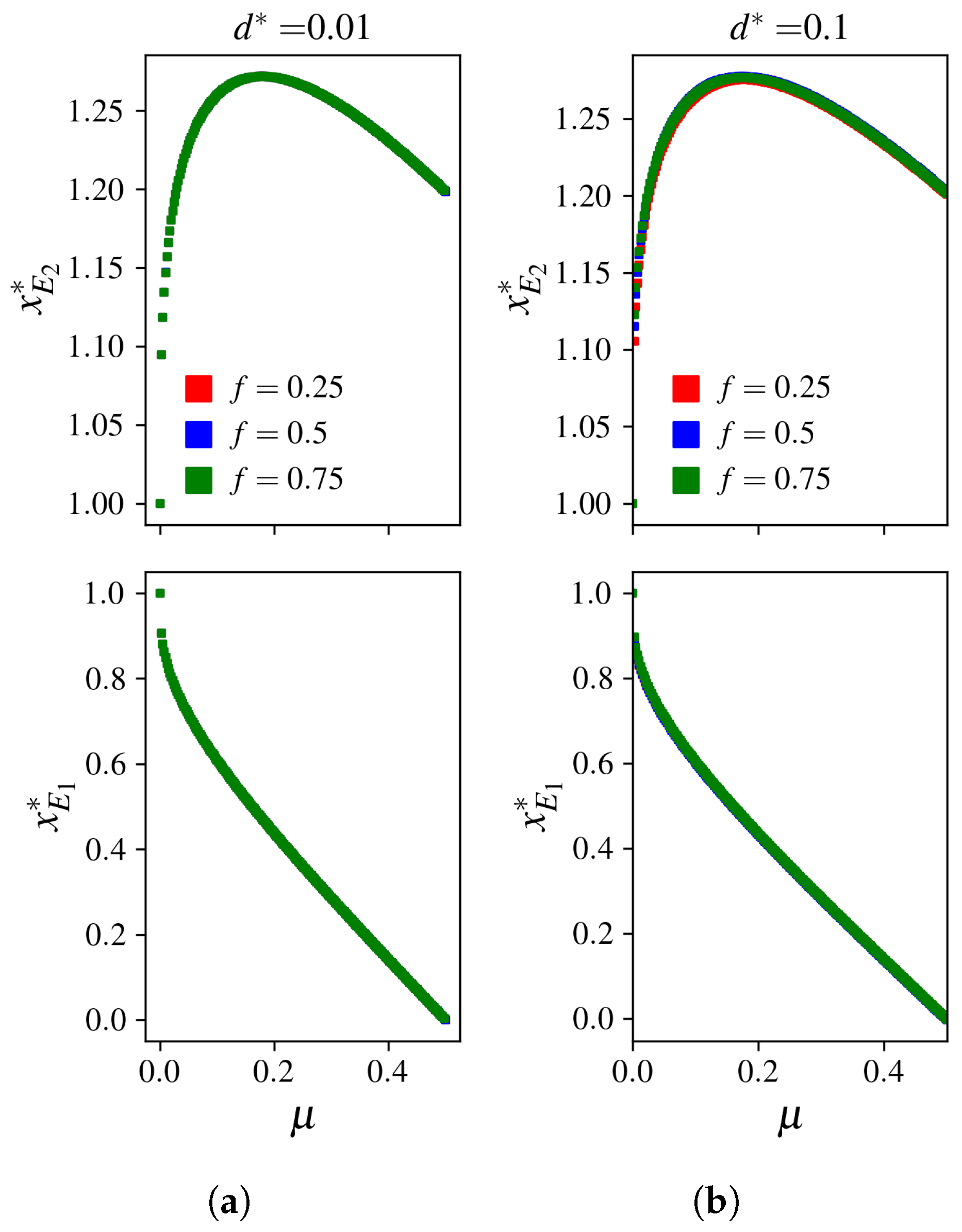
Figure 7 depicts the variations in the synodic abscissa of equilibrium points E 1 and E 2 as the dipole mass distribution parameter f changes, for different values of μ (0.001, 0.01, 0.1, and 0.3). Panel (a) illustrates the effects of the mass distribution of the dipole when μ = 0.001 . The equilibrium points respond distinctly to variations in f, emphasizing their stability. Panel (b) shows results for μ = 0.01 , where the sensitivity of E 1 and E 2 to changes in f is highlighted. Panels (c) and (d) represent higher values of μ (0.1 and 0.3, respectively). As f increases, the movement of the equilibrium points is more pronounced, indicating a complex interplay between mass distribution and the dynamics of the asteroid system. These figures collectively illustrate the dynamic behavior of equilibrium points in a binary asteroid system influenced by variations in mass distribution and geometric parameters, providing valuable insights into their stability and motion.

3.2. Zero-Velocity Curves

The zero-velocity curves are obtained by imposing the condition that the velocity of the third body is zero. They represent the loci in space where the kinetic energy of the third body is zero for a given value of the Jacobi constant. They are the boundaries within which the third body can move. The third body cannot cross these curves because it would require negative velocity, which is impossible. It is noteworthy to mention the valuable aspects of the Jacobi constant at this point. Several researchers have highlighted the value of the Jacobi integral in elucidating general characteristics of the relative motion of a small body, particularly when analyzing the zero-velocity curves in various celestial mechanics problems. A good example can be seen in Fakis and Kalvouridis [27] and others [28,29,30,31,32].
From Equation (7), considering the zero-velocity condition ( x ˙ * 2 + y ˙ * 2 = 0 ), it is possible to determine the value of the Jacobi constant C i * , in canonical units, associated with the coordinates x i * and y i * of an equilibrium point E i of the binary asteroid system. The values of C i * as a function of f are shown in Table 1, where one can notice that the variation in C 3 , 4 , 5 * caused by the change in the symmetry of the dipole starts at the fifth decimal place. In contrast, this change starts at the third decimal place in the case of C 1 , 2 * , as expected since E 1 , 2 are near the dipole. From the value of C i * associated with E i and maintaining the zero-velocity condition, one can calculate all other synodic coordinate points x * and y * related to C i * . The geometric location of these points defines a zero-velocity curve of the system. Below, we present the zero-velocity curves of the binary asteroid system related to the values of the Jacobi constant C i * , in canonical units, determined by the coordinates of the equilibrium points of the system, adopting the configuration μ = 0.1 and d * = 0.1 , for example. For the Jacobi constant values related to E 1 and E 2 , which are the equilibrium points closest to the dipole, a zoom is considered for tracing such curves in the vicinity of the mass dipole for the asymmetric and symmetric dipole cases under consideration in this study. As the coordinates of the equilibrium points E 3 , E 4 , and E 5 are less affected by the variation in the parameter f of the dipole mass distribution, then, for the Jacobi constant values associated with these points, the zero-velocity curves are omitted. It should be observed that the perturbing forces change the potential (Equation (1)), so when calculating the Jacobi constant (Equation (7)), it will depend on f. Therefore, in the calculations of the zero-velocity curves, when we use the equation 2 Ω * ( x * , y * ) = C i * , there will be a dependency on f. The differences can be seen by comparing figures with different values of f, which are presented in Figure 8 and Figure 9 and shown next. In these figures, zero-velocity curves for C * = 1.46 , 1.5 , 1.6 , 1.7 , 1.8 , 1.9 , 2.2 , 2.7 , 3.1 were generated to highlight the general behavior of the system due to the variation in C * . The zero-velocity curve corresponding to C 1 * was added to Figure 8, and C 2 * was added to Figure 9, highlighted in red in both figures. The general behavior of the zero-velocity curves (blue curves) is compatible with the classical Circular Restricted Three-Body Problem (Figure 8 and Figure 9 left pannels), except for the curves in the vicinity of the dipole (Figure 8 and Figure 9 right pannels), for C * = 2.2 , 2.7 , 3.1 , where the zero-velocity curves follow the simmetry of the dipole, highlighting the impact of the parameter f in the dynamics of that region.

3.3. Motion of a Spacecraft Around a Binary Asteroid System Using a Dipole Model

The motion of the spacecraft in the first 30 days is analyzed, truncating the results to be presented in the initial condition grids. The choice of the first 30 days of the simulation is justified because it considers a reasonable time interval so that a spacecraft can investigate an asteroid system like the one considered in this study. To study the effect of mass distribution in primary II on the survival time of the spacecraft, the cases of an asymmetric dipole ( f = 0.25 and f = 0.75 ) and symmetric dipole ( f = 0.5 ) are analyzed. The symmetric dipole is adopted as a reference case for investigating the effect of mass distribution in primary II on the motion of the spacecraft. In the initial condition grids, the sets of points of the initial osculator semi-major axis and initial osculator eccentricity that appear in white represent the initial conditions of the position of the spacecraft when located inside the primary II and, therefore, are not physically practical.
The results presented here show the importance of the solar radiation pressure in the lifetime of the spacecraft. The presence of solar radiation pressure introduces additional forces that can significantly influence the spacecraft’s motion. The results indicate that solar radiation pressure can lead to shorter lifetimes in specific scenarios, particularly if the spacecraft’s orbit is closely aligned with the solar position that maximizes radiation effects. This effect is particularly strong during the initial phases of its trajectory. Figure 10 and Figure 11 show that when the asteroid is at the apoapsis of its orbit, several parts of the plots have their lifetimes increased. The colors go from green and yellow to blue, representing higher lifetimes. By looking at this, we see that reducing the effects of solar radiation pressure by moving away from the Sun increases the lifetimes. It confirms results available in the literature [15].
In conclusion, while solar radiation pressure can enhance the complexity of the spacecraft’s trajectory, it often results in shorter lifetimes compared to scenarios where such effects are neglected. The dynamics of the spacecraft’s motion are significantly influenced by initial conditions, highlighting the need for careful planning in mission design to optimize for these factors.
Figure 12 and Figure 13 show the initial condition grids considering the entire integration period (500 days) for direct and retrograde motion of the spacecraft in the binary asteroid system, respectively. In both sets of grids, the dipole mass distribution factor f and the initial position of the Sun relative to the center of mass of the binary asteroid system vary, as considered in the grids in Figure 10 and Figure 11. The colors used in the grids in Figure 12 and Figure 13 indicate whether, within 500 days, the spacecraft collided with primary I (black), if it collided with primary II (grey), or if it escaped the asteroid system (red). Otherwise, the spacecraft is assumed to have survived for the 500-day simulation (blue). Again, the sets of the initial semi-major axis and eccentricity points in white represent the initial spacecraft position conditions located within primary II and, therefore, are physically infeasible.
In Figure 14 and Figure 15, the analysis of the direct and retrograde motion of the spacecraft in the asteroid system preserving μ 0.1 and d * 0.13 is considered without the effect of the solar radiation pressure on the spacecraft. In this way, the motion of the spacecraft is governed only by the gravitational action of the primaries. Such an analysis is performed so that one can perceive the effect of the solar radiation pressure on the motion of the spacecraft in the asteroid system under study.

4. Discussion

In this section, the results obtained in Section 3 are discussed according to the sub-section in which they were presented. When interpreting these results, the aim is to offer the most significant possible scope regarding the dependence of the location of the equilibrium points of a binary system of asteroids compatible with the conceived model, highlighting the equilibrium points neighboring the dipole, according to the parameters adopted in the model, which are varied in their respective ranges. Then, based on this discussion, the zero-velocity curves of the asteroid binary system are described, emphasizing the curves that pass through the equilibrium points neighboring the mass dipole. Finally, a discussion is undertaken about the results of the dynamic behavior of a particle (third body), coplanar to the primaries. It should be noted that, for application purposes, this particle may represent a space probe. Its dynamical behavior is discussed for the first 30 days of numerical simulation and, if it survives in flight for that time, the outcome of its motion is analyzed for 500 days, which allows us to verify whether the particle collided with any primary system, if it gravitationally escaped from it, or if it remains in motion around it. Discussions regarding the effect of the presence/absence of solar radiation pressure on the dynamics of the particle are considered, as well as the effect of adopting initial conditions for its motion in a direct or retrograde orbit.

4.1. Variation in Synodic Coordinates of Equilibrium Points Through Variation in Model Parameters Discussions

From Equations (5) and (6) it is possible to observe that the synodic abscissa of the equilibrium points of the asteroid system depend on the parameter μ in terms of the masses of the primaries and the positions of these bodies with respect to the center of mass of the binary asteroid system. In Figure 4a,b, in particular, the variation in the position of the equilibrium points E 1 and E 2 , close to the primary II, is shown as a function of μ . It is possible to notice that, regardless of the relative size of the dipole to the extension of the system and the internal mass distribution of the dipole, given by f, the equilibrium points E 1 and E 2 exhibit different behaviors during the increase in μ . As larger values are taken for μ , the mass of primary II, and thus of the poles P 21 and P 22 , increase together, which moves E 1 and E 2 simultaneously from the centroid of primary II. In addition, the increase in μ causes the centroid of the primary II (dipole) to approach the center of mass B of the binary asteroid system, which causes the joint entrainment of E 1 and E 2 to lower values of synodic abscissa. Since E 1 is located between the primaries, the effects of μ on the mass and position variation in the centroid of primary II combine, leading E 1 to an always B oriented displacement. In contrast, the equilibrium point E 2 exhibits variation in the orientation of its displacement as μ increases. It is observed that at lower values of μ over the location of E 2 , the effect of μ predominates on the mass increase in primary II, which shifts E 2 against the center of mass B of the binary system. As higher values of μ are obtained, the approximation of primary II of the center of mass of the system predominates over E 2 , which causes the displacement from E 2 to B.
By changing the values of the parameter μ of the system, the synodic abscissa of the equilibrium points E 3 , E 4 , and E 5 can also be modified, as shown in Figure 5a–c. Equilibrium point E 3 is close to primary I. When μ increases, the mass of this primary decreases, but it remains the largest body of the system. Reducing the mass of primary I moves it away from the center of mass of the system. As a result, the equilibrium point E 3 is moved away from B, as can be seen in Figure 5a,b. The triangular equilibrium points E 4 and E 5 have synodic abscissa located between the primaries, similar to E 1 . The abscissa of E 4 and E 5 equilibrium points are also shifted toward B as μ increases, as shown in Figure 5c, since the mass of primary II is increased with its consequent approximation of the system’s center of mass. Considering the representation of the bodies through the mass points P 1 , P 2 1 , and P 2 2 , the binary asteroid system mass is distributed along the axes of the synodic abscissa adopted in the model. Consequently, there is no primary mass variation along the synodic ordinates, which, in turn, does not introduce appreciable variation in the synodic ordinates of points E 4 and E 5 when varying μ .
In Figure 4a,b and Figure 5a–c, three configurations for the binary asteroid system with respect to the dipole mass distribution are represented: symmetrical dipole ( f = 0.5 ) and asymmetrical dipole ( f = 0.25 ) and ( f = 0.75 ). It is observed that the parameter f locally influences the position of the equilibrium points of the system, especially E 1 and E 2 , which, being close to the dipole, are the equilibrium points most sensitive to the variation in f. Equilibrium points E 4 and E 5 also show local variation in their synodic abscissa due to the variation in f. Equilibrium point E 3 exhibits less dependence on its location with the parameter because it is the furthest equilibrium point from primary II. In addition, the effect of f will be greater for larger values of d * associated with the relative size of primary II over the binary asteroid system.
Unlike what was considered for E 1 , E 2 , and E 3 , for E 4 and E 5 , only d * = 0.1 is used for the numerical simulations. As noted, the points E 1 , E 2 , and E 3 are closer to the primaries in comparison with the triangular equilibrium points and, therefore, they are more sensitive to the variation in μ , thus justifying a greater interest in their study and, in particular, the equilibrium points E 1 and E 2 , closer to primary II. From the above results, attention will be given next to the equilibrium points E 1 and E 2 , which are the most sensitive to the variations in parameters d * and f.
As shown in Figure 6a,b, the higher the value of d * , the further away from the centroid of primary II the equilibrium points E 1 and E 2 will be. Moreover, it is observed that, for a given μ , the equilibrium point E 1 is more sensitive to the variation in d * when the pole P 21 has a higher mass ( f = 0.75 ) and, therefore, this pole tends to send E 1 for a minor synodic abscissa. Correspondingly, the equilibrium point E 2 is more sensitive to the change in d * when the pole P 22 has the highest mass ( f = 0.25 ), which causes such a pole to send E 2 for a larger synodic abscissa.
Unlike the binary asteroid system mass parameter μ , which influences, as seen, the location of the equilibrium points of the system with respect to the mass of the primaries and their distance from the center of mass of the system, the dipole mass distribution parameter f, using the model presented in Section 2, influences the location of the equilibrium points only in terms of the masses of each pole. This influence is most significant on the equilibrium points E 1 and E 2 , which are closer to primary II. As shown in Figure 7a–d, when the value of parameter f increases, there is a change in the internal mass distribution of the dipole, with the increase in the mass of the pole P 21 and a reduction in the mass of the pole P 22 . As a result, E 1 , close to P 21 , tends to move away from the dipole centroid while E 2 , close to P 22 , tends to approach the centroid of primary II. Correspondingly, considering the reduction in the value of the parameter f, we have that the pole P 22 has a mass increase. In contrast, the pole P 21 suffers a mass decrease and, consequently, E 1 tends to approach the dipole centroid, while E 2 tends to move away from this point. In addition, as shown in Figure 7a–d, as larger values for the binary mass parameter μ are assumed, synodic abscissae of E 1 and E 2 , by varying f, tend to be further from the dipole. As is known, the higher the value of μ , the greater the mass of the primary II and the closer its centroid will be to the center of mass of the binary system. However, simultaneously with this behavior, the primary II tends to shift E 1 and E 2 more significantly against its centroid by containing more mass.
It is also possible to observe that, according to Figure 7a–d, the smaller the binary asteroid system parameter μ , the more sensitive the location of equilibrium points E 1 and E 2 over the axis of the synodic abscissa to the variation in parameter f. This behavior is explained by the greater proximity of E 1 and E 2 when μ is reduced, which makes the effect of the mass distribution between the poles P 21 and P 22 on the location of the neighboring equilibrium points more significant. The synodic abscissae of E 1 and E 2 are also more sensitive to the variation in f, as larger values are assumed for the parameter d * . The higher the value of d * , the larger will be primary II, and the poles P 21 and P 22 will be far from each other. Accordingly, the mass distribution of the dipole along the axis of the synodic abscissa has a greater extent, which approximates P 21 to E 1 and P 22 to E 2 to the same value of the parameter μ .

4.2. Zero-Velocity Curves of Model Discussions

Figure 8a–f shows the zero-velocity curves associated with C E 1 * for the configuration μ = 0.1 , d * = 0.1 . These curves intersect at the equilibrium point E 1 , located between the primaries, and, for this reason, E 1 is called the first point of contact between the ovals surrounding P 1 and the dipole. Figure 8b,d,f also shows in greater detail the plot of zero-velocity curves associated with C E 1 * in the vicinity of the dipole. There is also a second zero-velocity curve associated with C E 1 * surrounding the two primaries, as can be seen in Figure 8a,c,e. Figure 9a–f show the zero-velocity curves associated with C E 2 * for the configuration μ = 0.1 , d * = 0.1 . The zero-velocity curves associated with this value for the Jacobi constant intersect at the equilibrium point E 2 , to the right of the dipole. This equilibrium point is the second point of contact of the system and, in particular, allows the contact of the oval surrounding the primaries to the oval external to the binary asteroid system. Figure 8b,d,f also show in greater detail the plot of zero-velocity curves associated with C E 2 * in the vicinity of the dipole.

4.3. Motion of a Spacecraft in a Binary Asteroid System with Dipole Model Discussions

From the analysis of the grids in Figure 10 for direct motion of the spacecraft with respect to the primary II, it is observed that, in all the configurations considered for the value of the mass distribution parameter f of the dipole and for the initial position of the Sun relative to the center of mass of the binary asteroid system, the spacecraft’s initial positioning conditions prevail that allow it only a short direct motion survival in that system (up to approximately 10 days). The smaller its initial semi-major axis, the closer the spacecraft is to primary II, modeled as a mass dipole. In addition, larger initial eccentricities associated with larger semi-major axis initial values also place the spacecraft initially closer to this primary. In the grids in Figure 10, the existence of certain regions, of lesser extension, which present themselves as sets of initial conditions for the direct motion of the spacecraft that provide it with a longer survival time, reaching up to the initial 30 days of simulation, is also verified. For the three cases of values assumed for the parameter f, it can be seen, from the grids in Figure 10, that the spacecraft has several initial conditions in direct orbit that provide the first 30 days of survival in the system for the configuration in which the dipole is symmetric regardless of the initial position of the Sun. A symmetric dipole has a symmetric gravitational potential field. In contrast, an asymmetric dipole has a gravitational potential field with asymmetry in relation to the center of mass of the primary II, with greater intensity around the pole of greater mass. Consequently, such asymmetry in the distribution of the gravitational potential in the plane of motion of the spacecraft for the cases of f = 0.25 and f = 0.75 leads the vehicle to present, in general, greater difficulties in sustaining, for a longer time, a direct motion initiated around the mass dipole. When considering the initial position of the Sun relative to the asteroid system, it appears that, for cases where the Sun departs from its apoapsis (Figure 10b,d,f), there is a larger number of initial conditions that allow for the survival of direct motion of the spacecraft for the first 30 days of simulation, compared to cases where the Sun is considered from its periapsis (Figure 10a,c,e). Since the Sun’s relative orbit to the asteroid system is eccentric, the Sun will induce greater perturbations by the pressure of solar radiation on the spacecraft’s direct motion in the case where the Sun is taken from its periapsis, compared to the case where the Sun is taken from its apoapsis. Such perturbations by the solar radiation pressure lead, then, to a reduction in the initial conditions for the direct motion of the spacecraft and a longer survival time for this motion in the asteroid system.
From the analysis of the grids in Figure 11 for the spacecraft’s retrograde motion in relation to the primary II, it is observed that in all the configurations considered for the value of the dipole mass distribution parameter f and for the initial position of the Sun relative to the center of the mass of the binary asteroid system, there are regions in initial conditions for this position of the spacecraft that allow it only a short survival of retrograde motion in this system and areas that allow it to survive in this type of motion for the first 30 days of simulation. It is also found that, for the smaller initial semi-major axis of the spacecraft, combined with smaller initial eccentricity, as well as for the larger initial semi-major axis combined with larger initial eccentricity, the closer the spacecraft will initially be in relation to primary II, leading the vehicle to a shorter survival time. For the three values assumed for the parameter f, it can be seen from the grids in Figure 11 that the spacecraft has a greater number of initial conditions in a retrograde orbit that provide the first 30 days of survival in the system for cases in which the dipole is asymmetric with f = 0.25 (Figure 11a,b) and symmetrical (Figure 11c,d), regardless of the initial position of the Sun. In the grids for the retrograde motion of the spacecraft, it is also observed that the initial position of the Sun in its periapsis (Figure 11a,c,e) or in its apoapsis (Figure 11b,d,f) relative to the center of mass of the binary asteroid system does not considerably modify the distribution of initial conditions regarding the survival time for the spacecraft’s retrograde motion.
Comparing the grids in Figure 10 and Figure 11 for initial conditions of direct motion and retrograde motion of the spacecraft in relation to the primary II, respectively, it is observed that, in all the configurations considered for the parameter f of the dipole mass distribution and for the Sun’s initial position relative to the center of mass of the binary asteroid system, there is a significant increase in the number of initial spacecraft positioning conditions that enable it to survive in retrograde motion in the asteroid system for up to 30 days, compared to that as observed in the initial condition grids for direct orbit. In addition, there is a more pronounced change in the distribution of initial conditions regarding spacecraft motion survival time for the retrograde motion compared to the direct motion as the f parameter is varied.
For an asymmetric dipole with f = 0.25 (Figure 12a,b), there is a predominance of initial conditions that lead the spacecraft to collide with the primary II, especially for smaller values of the initial semi-major axis. Some conditions lead the spacecraft to escape the asteroid system for higher initial semi-major axis values, which is, at both ends of its movement, for a wide range of initial eccentricity.
For higher values of the semi-major axis and initial eccentricity, the possibility of collision of the spacecraft with primary I within 500 days is also verified. For an asymmetric dipole with f = 0.75 (Figure 12e,f), there is a significant increase in initial conditions that, within 500 days, lead the spacecraft to collide with primary I. There is also an increase in the region of initial conditions that promote the escape of the spacecraft within the 500 days of simulation. In both cases of asymmetric dipole, there appears to be no initial conditions in the semi-major axis and eccentricity that support the direct motion of the spacecraft in the binary asteroid system for the 500 days of simulation. The only direct motion configuration considered to provide spacecraft survival through the 500 days of simulation is for a symmetrical dipole (Figure 12c,d). Such behavior occurs within a narrow range in which there is a relationship between the increase in the initial semi-major axis and the initial eccentricity of the spacecraft. It can also be observed that, for direct motion of the spacecraft in the system, the initial position of the Sun in its periapsis (Figure 12a,c,e) or in its apoapsis (Figure 12b,d,f) do not introduce considerable changes in the arrangement of the outcome regions of the spacecraft’s direct motion, in terms of the initial conditions in the semi-major axis and eccentricity, for the 500 days of simulation considered.
Comparing the grids in Figure 10 and Figure 12, it is clear that the outcome of the direct motion of the spacecraft by collision with one of the system’s primaries or by escape occurs, in general, below the first 10 days of simulation considered. In addition, it is also verified that regions with initial conditions in the semi-major axis and in eccentricity that provide survival for the direct motion of the spacecraft for the first 30 days of simulation do not allow, in general, survival for the 500 days considered, except for the narrow range described in the case of symmetrical dipole ( f = 0.5 ).
From the analysis of the grids in Figure 13 for retrograde movement of the spacecraft with respect to the primary II, considering the 500 days of simulation, it appears that in all the configurations considered for f and independently of the Sun’s initial position relative to the center of mass of the binary asteroid system, there are regions at the semi-major axis and eccentricity initial conditions that allow the spacecraft to survive retrograde motion for such a time interval. It is observed, however, that as the parameter f increases, there is, in general, a redistribution of the regions in initial conditions for survival over the 500 days of simulation regarding the outcome of retrograde motion of the spacecraft in the system, highlighting the reduction in the extent of the regions that promote survival for 500 days. That is, the asymmetric dipole configuration for f = 0.25 (Figure 13a,b) is the one with the largest regions of initial conditions that generate the survival of the spacecraft in the binary asteroid system throughout the simulation period considered in retrograde motion.
It is also noted that, for larger values of parameter f, larger are the regions of the initial conditions in the semi-major axis and in eccentricity that generate the collision of the spacecraft with the primary I or the escape of the spacecraft from the system of asteroids within 500 days (Figure 13c–f) considering their retrograde motion. In all of the grids in Figure 13, the presence of the initial spacecraft position conditions is also observed, which, within 500 days, leads to a collision with the primary II (dipole) in retrograde motion. As expected, in general, smaller initial semi-major axes are associated with small initial eccentricities and higher initial semi-major axes are associated with high initial eccentricities, especially for dipoles with f = 0.25 , initially positioning the spacecraft very close to primary II, causing it to collide with that primer within 500 days. It can also be observed that, for retrograde motion of the spacecraft in the system, the initial position of the Sun in its periapsis (Figure 13a,c,e) or in its apoapsis (Figure 13b,d,f) again, it does not introduce considerable changes in the disposition of the outcome regions of the retrograde motion of the spacecraft, in terms of initial conditions in the semi-major axis and eccentricity, for the 500 days of simulation considered.
Comparing the grids in Figure 12 and Figure 13 for the initial conditions of the direct motion and retrograde motion of the spacecraft, respectively, for 500 days of simulation, it is noted that, in all configurations considered for the parameter f of the dipole mass distribution and for the initial position from the Sun relative to the center of mass of the binary asteroid system, there is a very significant increase in the number of initial spacecraft positioning conditions that enable it to survive in retrograde motion in the asteroid system for the 500 days of simulation, compared to what is observed in the grids from the initial condition for direct motion. In addition, there is a greater dispersion in the distribution of initial conditions regarding the outcome of spacecraft motion in the binary asteroid system for the case of retrograde motion compared to the case of direct motion in this system, in which such outcome regions of the spacecraft motion are more concentrated.
Comparing the grids in Figure 11 and Figure 13, it is observed that the initial conditions in the semi-major axis and eccentricity that allow the spacecraft to survive in retrograde motion in the binary asteroid system for the first 30 days considered, for the most part, sustain this survival also by the 500 days of simulation. However, several other regions in the initial conditions for positioning the spacecraft in the system that allow it to survive for the first 30 days, considered in retrograde motion, do not sustain this motion for up to 500 days. In addition, it is noted that regions in the initial conditions in the semi-major axis and eccentricity associated with the collision of the spacecraft with some primary of the system or its exhaust lead the retrograde motion of the vehicle to one of these outcomes, generally within approximately 5 to 10 days of simulation.
From the inspection of all the grids considered in Figure 10, Figure 11, Figure 12 and Figure 13, it appears that the effect of solar radiation pressure due to the assumed initial position of the Sun on the survival of spacecraft motion in the binary asteroid system is more significant for the case of the direct motion of this vehicle, considering the first 30 days of simulation. In addition, for the first 30 days of simulation, the distribution of initial conditions in terms of spacecraft survival time in the system is more sensitive to the variations in the dipole mass distribution parameter f for cases of retrograde motion of the spacecraft compared with the presented direct motion cases.
Considering the grids in Figure 12 and Figure 13, it can be seen that the distribution of the initial conditions in the initial semi-major axis and initial eccentricity regarding the outcome of spacecraft motion sustained by them in the binary asteroid system, for the 500 days of simulation, is sensitive to the variations in the parameter f in the cases of direct motion and retrograde motion. It is also possible to note that the effect of solar radiation pressure due to the initial position of the Sun in relation to the center of mass of the binary asteroid system, considering a longer simulation time, as performed for 500 days, has little effect on the distribution of types of outcome of spacecraft motion in the system, within these 500 days, analyzing the grids for direct motion (Figure 12a with Figure 12b, Figure 12c with Figure 12d, and Figure 12e with Figure 12f) and for retrograde motion (Figure 13a with Figure 13b, Figure 13c with Figure 13d, and Figure 13e with Figure 13f).
From the comparative analysis of the grids in Figure 14 with the grids in Figure 10 and Figure 13, for direct motion of the spacecraft and the compared analysis of the grids in Figure 15 with the grids in Figure 11 and Figure 13, for the retrograde motion of the spacecraft, subject only to the gravitational attraction of the primaries, it turns out that the effect of the solar radiation pressure is important for small time intervals of spacecraft motion in the asteroid system. In this case, the configuration of the initial condition grids for the first 30 days of simulation without the effect of solar radiation pressure is similar to the motion grids, assuming that the initial position of the Sun is in its apoapsis since, in this position, the Sun is at a greater distance from the spacecraft. Over time (for the 500 days of simulation), the effect of solar radiation pressure on the spacecraft’s motion in the system is practically indifferent to the initial position adopted for the Sun’s motion, as already discussed.
In addition, it is noted in all analyzed cases that, for 500 days of simulation, the effect of the solar radiation pressure is less important, in terms of the distribution of initial conditions in the semi-major axis and eccentricity, regarding the closing of the motion of the spacecraft within a considered time interval compared to the effect due to the gravitational attraction of the system’s primaries on the spacecraft. For this reason, the grids of initial conditions for 500 days of simulation, in which the effect of solar radiation pressure is considered, are very similar to grids for 500 days of simulation in which such an effect was disregarded, both for the direct motion (Figure 12 and Figure 14) and for the retrograde motion (Figure 13 and Figure 15) of the spacecraft.

5. Conclusions

This study considers a generic physical model of the gravitational potential of a family of binary asteroid systems in which the primaries are reduced to a mass point and a dipole of mass with spin–orbit resonance. This approach makes it possible to carry out initial studies on the orbital dynamics of a spacecraft for a mission in which the target is an asteroid system or one of its constituent bodies. In this sense, the number and location of the equilibrium points of the studied physical system were determined.
The generic binary asteroid system has five equilibrium points that can be reached by a spacecraft, and its location in the synodic plane of the system is similar to the ones observed in the Three-Body Restricted Problem: the occurrence of three collinear equilibrium points, E 1 , E 2 , and E 3 , arranged along the synodic abscissa and two triangular equilibrium points, E 4 and E 5 . Through the variation in the parameters μ , f, and d * of the model, the variation in the location of the equilibrium points of the binary asteroid system was analyzed. It is possible to state that primary II, modeled as a dipole, constitutes a subsystem in the binary asteroid system. In general, it is noted that the dependence of the positioning of the equilibrium points with the parameters μ , f, and d * occur simultaneously in two ways: first, the parameter μ determines how close or far the equilibrium points E 1 , E 2 , E 3 , E 4 , and E 5 must be from the mass points, P 1 , P 21 , and P 22 of the model to preserve the equilibrium conditions. Second, the parameters f and d * refine the location of E 1 and E 2 , which are the equilibrium points closest to the pole P 21 and P 22 of the dipole and are therefore more sensitive in terms of their location in the synodic plane to variations in the parameters f and d * .
Considering the synodic coordinates of the equilibrium points of the system, the Jacobi constant values associated with each equilibrium point were determined for the established parameters μ , f, and d * to represent, for cases of symmetric and asymmetric dipoles, the tracing of the respective zero-velocity curves of the binary asteroid system.
To analyze the survival time of a spacecraft in the binary asteroid system, grids (maps) of initial conditions were composed in terms of the initial semi-major axis and initial eccentricity for an initial Keplerian osculator orbit around the primary represented as a dipole (primary II). Initial direct and retrograde orbits for the spacecraft were considered, subjected to the gravitational acceleration due to the primaries and acceleration associated with the solar radiation pressure, considering two possibilities for the initial position of the Sun: its periapsis and apoapsis.
The simulations were carried out over an integration period of 500 days, corresponding to an orbital half-period of the binary asteroid system around the Sun. During this period, it was possible to verify whether, given the initial conditions, the spacecraft collided with any primary, escaped the system, or remained in motion in the asteroid system. The initial condition grids were also truncated for analysis in the first 30 days of simulation. This time frame suits a space mission to explore an asteroid system or a specific asteroid.
In these grids, associated with the initial conditions, the spacecraft’s survival time, in days, in the system, was determined. A binary asteroid system modeled with μ 0.1 and d * 0.13 was adopted for the simulations. Considering the initial condition grids for spacecraft retrograde motion for the first 30 days of simulation, it was observed that, in all the considered configurations, there is a significant increase in the number of initial spacecraft positioning conditions that allow it to survive in motion in the asteroid system for up to 30 days, compared to that observed in the initial condition grids for direct motion. In addition, for the first 30 days of simulation, the initial condition grids for direct motion were more sensitive to the initial position adopted for the Sun in terms of the presence of the initial semi-major axis and initial eccentricity regions that allow for the first 30 days of motion to the vehicle in the system compared to what was observed in the grids for retrograde motion for the first 30 days of simulation. It was also found that, as the dipole mass factor f varies, there is a more pronounced change in the distribution of initial conditions regarding spacecraft survival time for the retrograde motion case compared to the direct motion case in the binary asteroid system considered.
From the analysis of the initial condition grids for the 500 days of simulation, it was observed that, in direct motion, the spacecraft survives for 500 days only for the case of the symmetrical dipole ( f = 0.5 ), regardless of the initial position of the Sun, while in retrograde motion, the spacecraft survives for 500 days regardless of the value of the dipole mass factor f and the initial position of the Sun.
Furthermore, it is observed that retrograde motion provides a greater number of initial conditions that support the motion of spacecraft in the asteroid system for 500 days of simulation. It is also verified that, in the configurations for direct motion, regardless of the initial position of the Sun, the initial conditions that cause the spacecraft to collide with some of the primaries or to escape the system, in 500 days, have a more defined and concentrated distribution than in the retrograde motion configurations, in which such conditions present a greater dispersion along the initial condition grids.
It was also possible to see, taking into account the first 30 days of simulation, that for both direct and retrograde motion, the effect of solar radiation pressure on spacecraft motion in the asteroid system depends on the initial position of the Sun with respect to the survival time of the spacecraft in such a system. However, when considering a longer motion analysis time, such as 500 days, the result of the spacecraft motion in the system in this period of analysis is, in general, independent of the initial position of the Sun, for both direct and retrograde motion. Thus, the effect of solar radiation pressure on the spacecraft is important for the first few days of its motion in the asteroid system. In this case, the configuration of the initial condition grids for the first 30 days of simulation without the effect of solar radiation pressure is similar to the motion grids when assuming the initial position of the Sun in its apoapsis since, in this position, the Sun is at a greater distance from the asteroid system. Over time, the effect of solar radiation pressure on the spacecraft’s motion in the system is such that, during the 500 days of simulation, which of the initial positions was adopted for the Sun’s motion is practically indifferent. In all cases analyzed for 500 days of simulation, the effect of the pressure of solar radiation is less significant than the effect of the gravitational attraction of the primaries of the asteroid system on the motion of the spacecraft in the system. In that sense, the grids for 500 days of simulation in which the effect of solar radiation pressure is considered are very similar to grids for 500 days of simulation in which such an effect was disregarded.
In terms of practical missions, the results show that the best orbits are retrograde and located in regions where the direct orbits have short lifetimes. It means regions with low eccentricity and semi-major axes in the 500–1000 km range. The exact locations depend on the parameters studied and can be found in the figures presented in this paper. The reason for this is that those locations give survival times that are good enough to observe the bodies. At the same time, the number of particles that can be dangerous for the mission should be small, since most of those particles are in direct orbits, which are unstable.

Author Contributions

Conceptualization, A.F.B.d.A.P., D.M.S. and J.P.d.S.C.; methodology, all authors contributed equally; software, L.F.B., A.F.B.d.A.P. and D.M.S.; formal analysis, all authors contributed equally; investigation, all authors contributed equally; writing—original draft preparation, L.F.B.; writing—review and editing, L.F.B., A.F.B.d.A.P. and D.M.S. All authors have read and agreed to the published version of the manuscript.

Funding

The authors wish to express their appreciation for the support provided by grant # 309089/2021-2, # 443116/2023-7, and # 201629/2024-0 from the National Council for Scientific and Technological Development (CNPq), grant # 2022/11783-5 from São Paulo Research Foundation (FAPESP). This publication was supported by the RUDN University Scientific Projects Grant System, project no. 202235-2-000. This research was funded by Coordenação de Aperfeiçoamento de Pessoal de Nível Superior—Brazil (CAPES), grant number 001.

Data Availability Statement

The original contributions presented in this study are included in the article. Further inquiries can be directed to the corresponding author.

Acknowledgments

Antonio F. B. A. Prado thanks the School of Aerospace and Mechanical Engineering at the University of Oklahoma for his stay in March and April 2025. The authors reviewed and edited the output and take full responsibility for the content of this publication.

Conflicts of Interest

The authors declare no conflicts of interest.

References

  1. Woo, P.; Misra, A.K.; Keshmiri, M. On the planar motion in the full two-body problem with inertial symmetry. Celest. Mech. Dyn. Astron. 2013, 117, 263–277. [Google Scholar] [CrossRef]
  2. Walsh, K.J. Asteroids with satellites: Inventory, properties, and prospects for future discoveries. Earth Moon Planet 2009, 105, 193–199. [Google Scholar] [CrossRef]
  3. Jet Propulsion Laboratory, Center of Near Earth Object Studies. Discovery Statistics. 2018. Available online: http://neo.jpl.nasa.gov/stats/ (accessed on 7 June 2018).
  4. Scheeres, D.J.; Williams, B.G.; Miller, J.K. Evaluation of the dynamic environment of an asteroid: Applications to 433 Eros. J. Guid. Control Dyn. 2000, 23, 466–475. [Google Scholar] [CrossRef]
  5. Crawford, I.A. Asteroids in the service of humanity. In Asteroids: Prospective Energy and Material Resources; Badescu, V., Ed.; Springer: Berlin/Heidelberg, Germany, 2013. [Google Scholar] [CrossRef]
  6. Cui, P.; Qiao, D. The present status and prospects in the research of orbital dynamics and control near small celestial bodies. Theor. Appl. Mech. Lett. 2014, 4, 14. [Google Scholar] [CrossRef]
  7. Aljbaae, S.; Chanut, T.G.G.; Carruba, V.; Souchay, J.; Prado, A.F.B.A.; Amarante, A. The dynamical environment of asteroid 21 Lutetia according to different internal models. Mon. Not. R. Astron. Soc. 2017, 464, 3552–3560. [Google Scholar] [CrossRef]
  8. Zeng, X.; Jiang, F.; Li, J.; Baoyin, H. Study on the connection between the rotating mass dipole and natural elongated bodies. Astrophys. Space Sci. 2014, 356, 29–42. [Google Scholar] [CrossRef]
  9. Scheeres, D.J. Orbital mechanics about small bodies. Acta Astronaut. 2012, 72, 1–14. [Google Scholar] [CrossRef]
  10. Werner, R.A. The gravitational potential of a homogeneous polyhedron or don’t cut corners. Celest. Mech. Dyn. Astron. 1994, 59, 253–278. [Google Scholar] [CrossRef]
  11. Chermnykh, S.V. On the stability of libration points in a certain gravitational field. Vest Leningr. Univ. 1987, 2, 10. [Google Scholar]
  12. Kokoriev, A.A.; Kirpichnikov, S.N. On the stability of stationary triangular lagrangian motions in the system of two attracting bodies: An axisymmetrical, peer-like and spherically symmetric. Vestn. Leningr. Univ. 1988, 3, 75–84. [Google Scholar]
  13. Gozdziewski, K. Nonlinear stability of the Lagrangian libration points in the Chermnykh problem. Celest. Mech. Dyn. Astron. 1998, 70, 41–58. [Google Scholar] [CrossRef]
  14. Santos, L.B.T.; Prado, A.F.B.A.; Sanchez, D.M. Equilibrium points in the restricted synchronous three-body problem using a mass dipole model. Astrophys. Space Sci. 2017, 362, 61. [Google Scholar] [CrossRef]
  15. Santos, L.B.T.; Prado, A.F.B.A.; Sanchez, D.M. Lifetime of a spacecraft around a synchronous system of asteroids using a dipole model. Astrophys. Space Sci. 2017, 362, 202. [Google Scholar] [CrossRef]
  16. Santos, L.B.T.; Marchi, L.O.; Aljbaae, S.; Sousa-Silva, P.; Sanchez, D.M.; Prado, A.F.B.A. A particle-linkage model for elongated asteroids with three-dimensional mass distribution. Mon. Not. R. Astron. Soc. 2021, 502, 4277–4289. [Google Scholar] [CrossRef]
  17. Szebehely, V. Theory of Orbits; Academic Press: New York, NY, USA; London, UK, 1967; pp. 7–25. [Google Scholar]
  18. Murray, C.D.; Dermott, S.F. Solar System Dynamics; Cambridge University Press: New York, NY, USA, 1999; pp. 63–83. [Google Scholar]
  19. Singh, J.; Tyokyaa, R.K. The collinear equilibrium points in the elliptic restricted synchronous three-body problem under an oblate primary and a dipole secondary. Heliyon 2023, 9, e13708. [Google Scholar] [CrossRef]
  20. Montenbruck, O.; Gill, E. Satellite orbits. Models, Methods and Applications; Springer: Berlin/Heidelberg, Germany, 2000; pp. 77–79. [Google Scholar]
  21. Masago, B.Y.P.L.; Prado, A.F.B.A.; Chiaradia, A.P.M.; Gomes, V.M. Developing the “Processing inclined bi-elliptical four-body problem with radiation pressure” to search for orbits in the triple asteroid 2001SN263. Adv. Space Res. 2016, 57, 962–982. [Google Scholar] [CrossRef]
  22. Kuga, H.K.; Carrara, V.; Rao, K.R. Satélites Artificiais: Movimento Orbital; INPE: São José dos Campos, Brazil, 2011; pp. 52–54.
  23. Araujo, R.A.N. O Sistema Triplo de Asteroides 2001 SN263: Dinâmica Orbital e Estabilidade; Technical Report; Metadados INPE; INPE: São José dos Campos, Brazil, 2011. Available online: http://mtc-m16d.sid.inpe.br/col/sid.inpe.br/mtc-m19/2011/10.13.16.15/doc/publicacao.pdf (accessed on 7 June 2018).
  24. Becker, T.M.; Howell, E.S.; Nolan, M.C.; Magri, C.; Pravec, P.; Taylor, P.A.; Oey, J.; Higgins, D.; Világi, J.; Kornoš, L.; et al. Physical modeling of triple near-Earth Asteroid (153591) 2001 SN263 from radar and optical light curve observations. Icarus 2015, 248, 499–515. [Google Scholar] [CrossRef]
  25. Araujo, R.A.N.; Winter, O.C.; Prado, A.F.B.A. Stable retrograde orbits around the triple system 2001 SN263. Mon. Not. R. Astron. Soc. 2015, 449, 4404–4414. [Google Scholar] [CrossRef]
  26. Jet Propulsion Laboratory, Center of Near Earth Object Studies. Small-Body Database Browser. 2020. Available online: https://ssd.jpl.nasa.gov/sbdb.cgi?sstr=153591 (accessed on 6 January 2020).
  27. Fakis, D.; Kalvouridis, T. The Copenhagen problem with a quasi-homogeneous potential. Astrophys. Space Sci. 2017, 362, 18. [Google Scholar] [CrossRef]
  28. Kalvouridis, T. Zero-velocity surfaces in the three-dimensional ring problem of N + 1 bodies. Celest. Mech. Dyn. Astron. 2001, 80, 133–144. [Google Scholar] [CrossRef]
  29. Kalvouridis, T. On a property of zero-velocity curves in N-body ring-type systems. Planet. Space Sci. 2004, 52, 909–914. [Google Scholar] [CrossRef]
  30. Kalvouridis, T. Bifurcations in the topology of zero-velocity surfaces in the photo-gravitational Copenhagen Problem. Int. J. Bifurc. Chaos 2009, 19, 1097–1111. [Google Scholar] [CrossRef]
  31. Fakis, D.; Kalvouridis, T. On a property of the zero-velocity curves in the regular polygon problem of N + 1 bodies with a quasi-homogeneous potential. Rom. Astron. J. 2014, 24, 7–26. [Google Scholar]
  32. Boureghda, Z.; Martínez-Belda, M.C.; Navarro, J.F. Analysis of the geometry of the zero-velocity curves in the N-body ring problem depending on the mass ratio parameter. Eur. Phys. J. Plus 2024, 139, 17. [Google Scholar] [CrossRef]
Figure 1. Representation of a binary asteroid system where primary II presents asymmetric mass distribution and spin–orbit resonance (left). Representation of the constituent mass points of the binary asteroid system considering the spin–orbit resonance configuration for the dipole (right).
Figure 1. Representation of a binary asteroid system where primary II presents asymmetric mass distribution and spin–orbit resonance (left). Representation of the constituent mass points of the binary asteroid system considering the spin–orbit resonance configuration for the dipole (right).
Mathematics 13 02667 g001
Figure 2. Representation of the binary asteroid system considering the distance between the primary centroids as a new geometric reference.
Figure 2. Representation of the binary asteroid system considering the distance between the primary centroids as a new geometric reference.
Mathematics 13 02667 g002
Figure 3. Apparent motion of the Sun relative to the center of mass of the binary asteroid system.
Figure 3. Apparent motion of the Sun relative to the center of mass of the binary asteroid system.
Mathematics 13 02667 g003
Figure 4. Variation in synodic abscissa in canonical units of equilibrium points E 1 and E 2 considering Δ μ > 0 for symmetrical and asymmetrical dipole cases. In (a), we adopt d * = 0.01 , and in (b), we adopt d * = 0.1 .
Figure 4. Variation in synodic abscissa in canonical units of equilibrium points E 1 and E 2 considering Δ μ > 0 for symmetrical and asymmetrical dipole cases. In (a), we adopt d * = 0.01 , and in (b), we adopt d * = 0.1 .
Mathematics 13 02667 g004
Figure 5. Variations in equilibrium synodic abscissa E 3 for Δ μ > 0 for symmetrical and asymmetric dipole cases d * = 0.01 (a) and d * = 0.1 (b). Variations in the synodic abscissa of equilibrium points E 4 and E 5 for Δ μ > 0 for symmetrical and asymmetrical dipole cases, assuming d * = 0.1 (c).
Figure 5. Variations in equilibrium synodic abscissa E 3 for Δ μ > 0 for symmetrical and asymmetric dipole cases d * = 0.01 (a) and d * = 0.1 (b). Variations in the synodic abscissa of equilibrium points E 4 and E 5 for Δ μ > 0 for symmetrical and asymmetrical dipole cases, assuming d * = 0.1 (c).
Mathematics 13 02667 g005
Figure 6. Variations in synodic abscissa of equilibrium points E 1 and E 2 for Δ d * > 0 for μ = 0.01 in (a) and for μ = 0.1 in (b).
Figure 6. Variations in synodic abscissa of equilibrium points E 1 and E 2 for Δ d * > 0 for μ = 0.01 in (a) and for μ = 0.1 in (b).
Mathematics 13 02667 g006
Figure 7. Variations in synodic abscissa of equilibrium points E 1 and E 2 for Δ f > 0 and for μ = 0.001 (a), μ = 0.01 (b), μ = 0.1 (c), and μ = 0.3 (d).
Figure 7. Variations in synodic abscissa of equilibrium points E 1 and E 2 for Δ f > 0 and for μ = 0.001 (a), μ = 0.01 (b), μ = 0.1 (c), and μ = 0.3 (d).
Mathematics 13 02667 g007
Figure 8. Zero-velocity curves associated with C E 1 * highlighted in red for the configuration μ = 0.1 , d * = 0.1 , considering f = 0.25 (a), f = 0.5 (c), and f = 0.75 (e). In this figure, plots (b), (d), and (f) are plots (a), (c), and (e) zoomed in on the region around the dipole, respectively.
Figure 8. Zero-velocity curves associated with C E 1 * highlighted in red for the configuration μ = 0.1 , d * = 0.1 , considering f = 0.25 (a), f = 0.5 (c), and f = 0.75 (e). In this figure, plots (b), (d), and (f) are plots (a), (c), and (e) zoomed in on the region around the dipole, respectively.
Mathematics 13 02667 g008
Figure 9. Same as in Figure 8 for C E 2 * .
Figure 9. Same as in Figure 8 for C E 2 * .
Mathematics 13 02667 g009
Figure 10. Grids (maps) of initial conditions for a spacecraft in initial Keplerian osculator direct orbit ( i = 0 ) around the dipole. In (a,b), dipole with f = 0.25 ; in (c,d), dipole with f = 0.5 ; in (e,f), dipole with f = 0.75 . In (a,c,e), the Sun is initially considered in the periapsis of its relative motion around the binary asteroid system; in (b,d,f), the Sun is considered initially in the apoapsis of its relative motion around the binary asteroid system. Evaluated period: the first 30 days of integration.
Figure 10. Grids (maps) of initial conditions for a spacecraft in initial Keplerian osculator direct orbit ( i = 0 ) around the dipole. In (a,b), dipole with f = 0.25 ; in (c,d), dipole with f = 0.5 ; in (e,f), dipole with f = 0.75 . In (a,c,e), the Sun is initially considered in the periapsis of its relative motion around the binary asteroid system; in (b,d,f), the Sun is considered initially in the apoapsis of its relative motion around the binary asteroid system. Evaluated period: the first 30 days of integration.
Mathematics 13 02667 g010
Figure 11. Grids (maps) of initial conditions for a spacecraft in initial Keplerian osculator direct orbit ( i = 180 ) around the dipole. In (a,b), dipole with f = 0.25 ; in (c,d), dipole with f = 0.5 ; in (e,f), dipole with f = 0.75 . In (a,c,e), the Sun is initially considered in the periapsis of its relative motion around the binary asteroid system; in (b,d,f), the Sun is considered initially in the apoapsis of its relative motion around the binary asteroid system. Evaluated period: the first 30 days of integration.
Figure 11. Grids (maps) of initial conditions for a spacecraft in initial Keplerian osculator direct orbit ( i = 180 ) around the dipole. In (a,b), dipole with f = 0.25 ; in (c,d), dipole with f = 0.5 ; in (e,f), dipole with f = 0.75 . In (a,c,e), the Sun is initially considered in the periapsis of its relative motion around the binary asteroid system; in (b,d,f), the Sun is considered initially in the apoapsis of its relative motion around the binary asteroid system. Evaluated period: the first 30 days of integration.
Mathematics 13 02667 g011
Figure 12. Grids (maps) of initial conditions for a spacecraft in initial Keplerian osculator direct orbit ( i = 0 ) around the dipole. In (a,b), dipole with f = 0.25 ; in (c,d), dipole with f = 0.5 ; in (e,f), dipole with f = 0.75 . In (a,c,e), the Sun is initially considered in the periapsis of its relative motion around the binary asteroid system; in (b,d,f), the Sun is considered initially in the apoapsis of its relative motion around the binary asteroid system. Evaluated period: 500 days of integration.
Figure 12. Grids (maps) of initial conditions for a spacecraft in initial Keplerian osculator direct orbit ( i = 0 ) around the dipole. In (a,b), dipole with f = 0.25 ; in (c,d), dipole with f = 0.5 ; in (e,f), dipole with f = 0.75 . In (a,c,e), the Sun is initially considered in the periapsis of its relative motion around the binary asteroid system; in (b,d,f), the Sun is considered initially in the apoapsis of its relative motion around the binary asteroid system. Evaluated period: 500 days of integration.
Mathematics 13 02667 g012
Figure 13. Grids (maps) of initial conditions for a spacecraft in initial Keplerian osculator direct orbit ( i = 180 ) around the dipole. In (a,b), dipole with f = 0.25 ; in (c,d), dipole with f = 0.5 ; in (e,f), dipole with f = 0.75 . In (a,c,e), the Sun is initially considered in the periapsis of its relative motion around the binary asteroid system; in (b,d,f), the Sun is considered initially in the apoapsis of its relative motion around the binary asteroid system. Evaluated period: 500 days of integration.
Figure 13. Grids (maps) of initial conditions for a spacecraft in initial Keplerian osculator direct orbit ( i = 180 ) around the dipole. In (a,b), dipole with f = 0.25 ; in (c,d), dipole with f = 0.5 ; in (e,f), dipole with f = 0.75 . In (a,c,e), the Sun is initially considered in the periapsis of its relative motion around the binary asteroid system; in (b,d,f), the Sun is considered initially in the apoapsis of its relative motion around the binary asteroid system. Evaluated period: 500 days of integration.
Mathematics 13 02667 g013
Figure 14. Grids (maps) of conditions for a spacecraft in initial Keplerian osculator direct orbit ( i = 0 ) around the dipole without the effect of solar radiation pressure. In (a,b), dipole with f = 0.25 ; in (c,d), dipole with f = 0.5 ; in (e,f), dipole with f = 0.75 . In (a,c,e), only the first 30 days of the integration period are considered; in (b,d,f), the entire integration period of 500 days is considered. In (b,d,f), blue represents survival for 500 days, black represents collision with primary I, gray represents collision with primary II, and red represents escape.
Figure 14. Grids (maps) of conditions for a spacecraft in initial Keplerian osculator direct orbit ( i = 0 ) around the dipole without the effect of solar radiation pressure. In (a,b), dipole with f = 0.25 ; in (c,d), dipole with f = 0.5 ; in (e,f), dipole with f = 0.75 . In (a,c,e), only the first 30 days of the integration period are considered; in (b,d,f), the entire integration period of 500 days is considered. In (b,d,f), blue represents survival for 500 days, black represents collision with primary I, gray represents collision with primary II, and red represents escape.
Mathematics 13 02667 g014
Figure 15. Grids (maps) of conditions for a spacecraft in initial Keplerian osculator direct orbit ( i = 180 ) around the dipole without the effect of solar radiation pressure. In (a,b), dipole with f = 0.25 ; in (c,d), dipole with f = 0.5 ; in (e,f), dipole with f = 0.75 . In (a,c,e), only the first 30 days of the integration period are considered; in (b,d,f), the entire integration period of 500 days is considered. In (b,d,f), blue represents survival for 500 days, black represents collision with primary I, gray represents collision with primary II, and red represents escape.
Figure 15. Grids (maps) of conditions for a spacecraft in initial Keplerian osculator direct orbit ( i = 180 ) around the dipole without the effect of solar radiation pressure. In (a,b), dipole with f = 0.25 ; in (c,d), dipole with f = 0.5 ; in (e,f), dipole with f = 0.75 . In (a,c,e), only the first 30 days of the integration period are considered; in (b,d,f), the entire integration period of 500 days is considered. In (b,d,f), blue represents survival for 500 days, black represents collision with primary I, gray represents collision with primary II, and red represents escape.
Mathematics 13 02667 g015
Table 1. Value of the Jacobi constant C i * for the equilibrium points E i as a function of f.
Table 1. Value of the Jacobi constant C i * for the equilibrium points E i as a function of f.
f C E 1 * C E 2 * C E 3 * C E 4 , 5 *
0.251.807558811.736858241.549815381.45497213
0.501.808544271.738653281.549823251.45496841
0.751.804952511.737962131.549814061.45498035
Disclaimer/Publisher’s Note: The statements, opinions and data contained in all publications are solely those of the individual author(s) and contributor(s) and not of MDPI and/or the editor(s). MDPI and/or the editor(s) disclaim responsibility for any injury to people or property resulting from any ideas, methods, instructions or products referred to in the content.

Share and Cite

MDPI and ACS Style

Brejão, L.F.; Prado, A.F.B.d.A.; Sanchez, D.M.; Carvalho, J.P.d.S. On the Dynamics of a Synchronous Binary Asteroid System with Non-Uniform Mass Distribution. Mathematics 2025, 13, 2667. https://doi.org/10.3390/math13162667

AMA Style

Brejão LF, Prado AFBdA, Sanchez DM, Carvalho JPdS. On the Dynamics of a Synchronous Binary Asteroid System with Non-Uniform Mass Distribution. Mathematics. 2025; 13(16):2667. https://doi.org/10.3390/math13162667

Chicago/Turabian Style

Brejão, Leandro Forne, Antonio F. Bertachini de Almeida Prado, Diogo Merguizo Sanchez, and Jean P. dos Santos Carvalho. 2025. "On the Dynamics of a Synchronous Binary Asteroid System with Non-Uniform Mass Distribution" Mathematics 13, no. 16: 2667. https://doi.org/10.3390/math13162667

APA Style

Brejão, L. F., Prado, A. F. B. d. A., Sanchez, D. M., & Carvalho, J. P. d. S. (2025). On the Dynamics of a Synchronous Binary Asteroid System with Non-Uniform Mass Distribution. Mathematics, 13(16), 2667. https://doi.org/10.3390/math13162667

Note that from the first issue of 2016, this journal uses article numbers instead of page numbers. See further details here.

Article Metrics

Back to TopTop