On the Mechanics of a Fiber Network-Reinforced Elastic Sheet Subjected to Uniaxial Extension and Bilateral Flexure
Abstract
1. Introduction
2. Kinematics of Bidirectional Fibers
3. Strain Energy of FRC
4. Variational Framework and FRC In-Plane Equilibrium
4.1. Variational Formulation
4.2. In-Plane Equilibrium of FRC
5. Governing Equations and Simulation
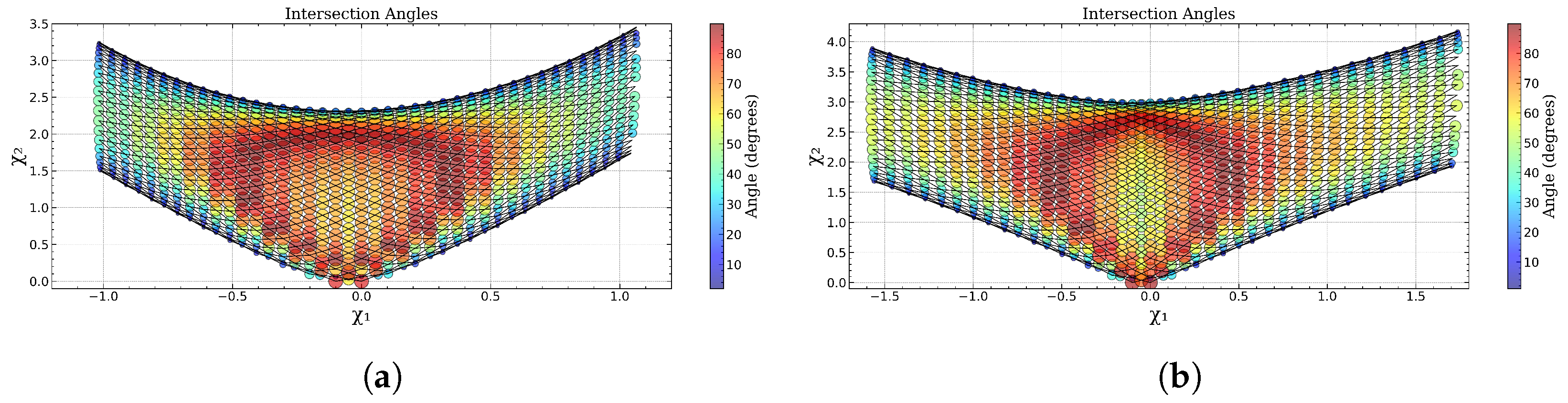
6. Results and Discussion
6.1. FRC Deformation
6.1.1. Case 1: Increasing Bending Moments and Constant Bilateral Stretch
6.1.2. Case 2: Increasing Bilateral Stretching and Constant Bending
6.2. Deformation of Plain Woven Network
6.3. The Pantographic Network Deformation of FRC
7. Conclusions
Author Contributions
Funding
Data Availability Statement
Conflicts of Interest
Appendix A. Finite Element Solving Procedures of the 4th Order Coupled PDEs
| Iteration Step | Absolute Error | Relative Error |
|---|---|---|
| 1 | 8.443 × | 1.000 × |
| 2 | 5.258 × | 6.227 × |
| 3 | 4.950 × | 5.863 × |
| 4 | 4.862 × | 5.759 × |
| 5 | 6.673 × | 7.904 × |
| 6 | 2.220 × | 2.630 × |
References
- Sagar, S.L.; Singhal, V.; Rai, D.C. In-Plane and Out-of-Plane Behavior of Masonry-Infilled RC Frames Strengthened with Fabric-Reinforced Cementitious Matrix. J. Compos. Constr. 2019, 23, 04018073. [Google Scholar] [CrossRef]
- Guillaud, N.; Froustey, C.; Dau, F.; Viot, P. Impact response of thick composite plates under uniaxial tensile preloading. Compos. Struct. 2015, 121, 172–181. [Google Scholar] [CrossRef]
- Martinez, R.V.; Branch, J.L.; Fish, C.R.; Jin, L.; Shepherd, R.F.; Nunes, R.M.; Suo, Z.; Whitesides, G.M. Robotic tentacles with three-dimensional mobility based on flexible elastomers. Adv. Mater. 2013, 25, 205–212. [Google Scholar] [CrossRef]
- Gupta, A.; Meena, G.K.; Singhal, V. Strengthening of autoclaved aerated concrete (AAC) masonry wallettes with fabric reinforced cementitious matrix for in-plane shear and out-of-plane loads. Structures 2023, 51, 1869–1880. [Google Scholar] [CrossRef]
- Wang, Y.; Gregory, C.; Minor, M.A. Improving mechanical properties of molded silicone rubber for soft robotics through fabric compositing. Soft Robot. 2018, 5, 272–290. [Google Scholar] [CrossRef]
- Yan, B.; Huang, J.; Han, L.; Gong, L.; Li, L.; Israelachvili, J.N.; Zeng, H. Duplicating Dynamic Strain-Stiffening Behavior and Nanomechanics of Biological Tissues in a Synthetic Self-Healing Flexible Network Hydrogel. ACS Nano 2017, 11, 11074–11081. [Google Scholar] [CrossRef]
- Balasubramanian, K.; Sultan, M.T.; Rajeswari, N. 4-Manufacturing techniques of composites for aerospace applications. In Sustainable Composites for Aerospace Applications; Jawaid, M., Thariq, M., Eds.; Woodhead Publishing Series in Composites Science and Engineering; Woodhead Publishing: Sawston, UK, 2018; pp. 55–67. [Google Scholar] [CrossRef]
- Mallick, P. Fiber-Reinforced Composites: Materials, Manufacturing, and Design, 3rd ed.; CRC Press: Boca Raton, FL, USA, 2007. [Google Scholar]
- Bachmann, J.; Hidalgo, C.; Bricout, S. Environmental analysis of innovative sustainable composites with potential use in aviation sector—A life cycle assessment review. China Technol. Sci. 2017, 60, 1301–1317. [Google Scholar] [CrossRef]
- Mininno, G.; Ghiassi, B.; Oliveira, D.V. Modelling of the in-plane and out-of-plane performance of TRM-strengthened masonry walls. Key Eng. Mater. 2017, 747, 60–68. [Google Scholar] [CrossRef]
- Stanciu, M.D.; Drăghicescu, H.T.; Roșca, I.C. Mechanical Properties of GFRPs Exposed to Tensile, Compression and Tensile–Tensile Cyclic Tests. Polymers 2021, 13, 898. [Google Scholar] [CrossRef]
- Beter, J.; Schrittesser, B.; Meier, G.; Lechner, B.; Mansouri, M.; Fuchs, P.F.; Pinter, G. The tension-twist coupling mechanism in flexible composites: A systematic study based on tailored laminate structures using a novel test device. Polymers 2020, 12, 2780. [Google Scholar] [CrossRef]
- Wei, X.; Wang, Y.; Jiao, Y.; Xue, P.; Han, J.; Xiong, J. Bending behaviors of carbon fiber composite honeycomb cores with various in-plane stiffness. Compos. Struct. 2024, 347, 118448. [Google Scholar] [CrossRef]
- Castillo-Lara, J.; Flores-Johnson, E.; Valadez-Gonzalez, A.; Herrera-Franco, P.; Carrillo, J.; Gonzalez-Chi, P.; Agaliotis, E.; Li, Q. Mechanical behaviour of composite sandwich panels with foamed concrete core reinforced with natural fibre in four-point bending. Thin-Walled Struct. 2021, 169, 108457. [Google Scholar] [CrossRef]
- Meskhi, B.; Beskopylny, A.N.; Stel’makh, S.A.; Shcherban’, E.M.; Mailyan, L.R.; Beskopylny, N.; Dotsenko, N. Theoretical and Experimental Substantiation of the Efficiency of Combined-Reinforced Glass Fiber Polymer Composite Concrete Elements in Bending. Polymers 2022, 14, 2324. [Google Scholar] [CrossRef] [PubMed]
- Li, X.; Pei, S.; Fan, K.; Geng, H.; Li, F. Bending Performance of Steel Fiber Reinforced Concrete Beams Based on Composite-Recycled Aggregate and Matched with 500 MPa Rebars. Materials 2020, 13, 930. [Google Scholar] [CrossRef] [PubMed]
- Adin, H.; ükrü Adin, M. Effect of particles on tensile and bending properties of jute epoxy composites. Mater. Test. 2022, 64, 401–411. [Google Scholar] [CrossRef]
- dell’Isola, I.F.; Giorgio, M.P.; Rizzi, N.L. Large deformations of planar extensible beams and pantographic lattices: Heuristic homogenization, experimental and numerical examples of equilibrium. Proc. R. Soc. A 2016, 472, 20150790. [Google Scholar] [CrossRef]
- Djafar, Z.; Renreng, I.; Jannah, M. Tensile and bending strength analysis of ramie fiber and woven ramie reinforced epoxy composite. J. Nat. Fibers 2021, 18, 2315–2326. [Google Scholar] [CrossRef]
- Wang, Z.; Wang, C.; Zhang, S.; Qiu, L.; Lin, Y.; Tan, J.; Sun, C. Towards high-accuracy axial springback: Mesh-based simulation of metal tube bending via geometry/process-integrated graph neural networks. Expert Syst. Appl. 2024, 255, 124577. [Google Scholar] [CrossRef]
- Maung, P.T.; Prusty, B.G.; Donough, M.J.; Oromiehie, E.; Phillips, A.W.; St John, N.A. Automated manufacture of optimised shape-adaptive compsite hydrofoils with curvilinear fibre paths for improved bend-twist performance. Mar. Struct. 2023, 87, 103327. [Google Scholar] [CrossRef]
- Noshiravani, T.; Brühwiler, E. Experimental investigation on reinforced ultra-high-performance fiber-reinforced concrete composite beams subjected to combined bending and shear. ACI Struct. J. 2013, 110, 251–261. [Google Scholar]
- Fang, Y.; Fang, Z.; Jiang, Z.; Jiang, R.; Zhou, X. Investigation on failure behavior of carbon fiber reinforced polymer wire subjected to combined tension and bending. Compos. Struct. 2021, 267, 113927. [Google Scholar] [CrossRef]
- Hofmann, S.; Öztürk, B.; Koch, D.; Voggenreiter, H. Experimental and numerical evaluation of bending and tensile behaviour of carbon-fibre reinforced SiC. Compos. Part A Appl. Sci. Manuf. 2012, 43, 1877–1885. [Google Scholar] [CrossRef]
- Slesarenko, V.; Rudykh, S. Microscopic and macroscopic instabilities in hyperelastic fiber composites. J. Mech. Phys. Solids 2017, 99, 471–482. [Google Scholar] [CrossRef]
- Mo, C.; Jiang, Y.; Raney, J.R. Microstructural evolution and failure in short fiber soft composites: Experiments and modeling. J. Mech. Phys. Solids 2020, 141, 103973. [Google Scholar] [CrossRef]
- Islam, S.; Zhalmuratova, D.; Chung, H.J.; Kim, C.I. A model for hyperelastic materials reinforced with fibers resistance to extension and flexure. Int. J. Solids Struct. 2020, 193, 418–433. [Google Scholar] [CrossRef]
- Kim, C.I.; Zeidi, M. Gradient elasticity theory for fiber composites with fibers resistant to extension and flexure. Int. J. Eng. Sci. 2018, 131, 80–99. [Google Scholar] [CrossRef]
- Islam, S.; Bolouri, S.E.S.; Kim, C.I. Mechanics of hyperelastic composites reinforced with nonlinear elastic fibrous materials in finite plane elastostatics. Int. J. Eng. Sci. 2021, 165, 103491. [Google Scholar] [CrossRef]
- Rahman, M.H.; Yang, S.; Kim, C.I. A third gradient-based continuum model for the mechanics of continua reinforced with extensible bidirectional fibers resistant to flexure. Contin. Mech. Thermodyn. 2023, 35, 563–593. [Google Scholar] [CrossRef]
- Rahman, M.H.; Islam, S.; Yang, S.; Kim, C.I. A shear lag theory integrated with second strain gradient continuum model for the composite reinforced with extensible nano-fibers. Acta Mech 2023, 14, 4269–4296. [Google Scholar] [CrossRef]
- Islam, S.; Yang, S.; Kim, C.I. A multiscale continuum model for the mechanics of hyperelastic composite reinforced with nanofibers. Int. J. Solids Struct. 2023, 267, 112168. [Google Scholar] [CrossRef]
- Dittmann, M.; Schulte, J.; Schmidt, F.; Hesch, C. A strain-gradient formulation for fiber reinforced polymers: Hybrid phase-field model for porous-ductile fracture. Comput. Mech. 2021, 67, 1747–1768. [Google Scholar] [CrossRef]
- Gortsas, T.V.; Tsinopoulos, S.V.; Rodopoulos, D.; Polyzos, D. Strain gradient elasticity and size effects in the bending of fiber composite plates. Int. J. Solids Struct. 2018, 143, 103–112. [Google Scholar] [CrossRef]
- Gul, U. Dynamic analysis of short-fiber reinforced composite nanobeams based on nonlocal strain gradient theory. Proc. Inst. Mech. Eng. Part C J. Mech. Eng. Sci. 2024, 238, 2641–2676. [Google Scholar] [CrossRef]
- Boutin, C.; Soubestre, J.; Dietz, M.S.; Taylor, C. Experimental evidence of the high-gradient behaviour of fiber reinforced materials. Eur. J. Mech.—A/Solids 2013, 42, 280–298. [Google Scholar] [CrossRef]
- Kuhl, E.; Goriely, A. I too I2: A new class of hyperelastic isotropic incompressible models based solely on the second invariant. J. Mech. Phys. Solids 2024, 188, 105670. [Google Scholar] [CrossRef]
- Steigmann, D.J.; dell’Isola, F. Mechanical response of fabric sheets to three-dimensional bending, twisting, and stretching. Acta Mech. Sin./Lixue Xuebao 2015, 31, 373–382. [Google Scholar] [CrossRef]
- Monecke, J. Microstructure dependence of material properties of composites. Phys. Status Solidi. B 1989, 154, 805–813. [Google Scholar] [CrossRef]
- Moravec, F.; Holeček, M. Microstructure-dependent nonlinear viscoelasticity due to extracellular flow within cellular structures. Int. J. Solids Struct. 2010, 47, 1876–1887. [Google Scholar] [CrossRef]
- Voigt, W. Theoretische Studien über die Elastizitätsverhältnisse der Kristalle (Theoretical studies on the elasticity relationships of crystals). Abh. Ges. Wiss. Gött. 1887, 34, 52–79. [Google Scholar]
- Nurul Fazita, M.R.; Jayaraman, K.; Bhattacharyya, D. Formability analysis of bamboo fabric reinforced poly (Lactic) acid composites. Materials 2016, 9, 435. [Google Scholar] [CrossRef]
- De Luca, P.; Lefébure, P.; Pickett, A. Numerical and experimental investigation of some press forming parameters of two fibre reinforced thermoplastics: APC2-AS4 and PEI-CETEX. Compos. Part A Appl. Sci. Manuf. 1998, 29, 101–110. [Google Scholar] [CrossRef]
- Bai, Y.; Kaiser, N.J.; Coulombe, K.L.; Srivastava, V. A continuum model and simulations for large deformation of anisotropic fiber–matrix composites for cardiac tissue engineering. J. Mech. Behav. Biomed. Mater. 2021, 121, 104627. [Google Scholar] [CrossRef]
- Muslov, S.A.; Vasyuk, Y.A.; Zavialova, A.I.; Shupenina, E.Y.; Sukhochev, P.Y.; Guchukova, L.Z. Mathematical modeling of biomechanical elastic and hyperelastic properties of the myocardium. Med. Acad. J. 2023, 23, 53–68. [Google Scholar] [CrossRef]
- Dwivedi, K.K.; Lakhani, P.; Kumar, S.; Kumar, N. A hyperelastic model to capture the mechanical behaviour and histological aspects of the soft tissues. J. Mech. Behav. Biomed. Mater. 2022, 126, 105013. [Google Scholar] [CrossRef]
- Nasehi Tehrani, J.; Wang, J. Mooney-Rivlin biomechanical modeling of lung with Inhomogeneous material. In Proceedings of the 2015 37th Annual International Conference of the IEEE Engineering in Medicine and Biology Society (EMBC), Milan, Italy, 25–29 August 2015; pp. 7897–7900. [Google Scholar] [CrossRef]
- Mihai, L.A.; Chin, L.; Janmey, P.A.; Goriely, A. A comparison of hyperelastic constitutive models applicable to brain and fat tissues. J. R. Soc. Interface 2015, 12, 0486. [Google Scholar] [CrossRef]
- Fallahi, H.; Kaynan, O.; Asadi, A. Insights into the effect of fiber–matrix interphase physiochemical- mechanical properties on delamination resistance and fracture toughness of hybrid composites. Compos. Part A Appl. Sci. Manuf. 2023, 166, 107390. [Google Scholar] [CrossRef]
- Arredondo, S.P.; Corral, R.; Valenciano, A.; Rosas, C.A.; Gómez, J.M.; Medina, T.J.; Soto, M.; Bernal, J.M. Strength, Elastic Properties and Fiber–Matrix Interaction Mechanism in Geopolymer Composites. Polymers 2022, 14, 1248. [Google Scholar] [CrossRef]
- Li, A.; Wang, Q.; Song, M.; Chen, J.; Su, W.; Zhou, S.; Wang, L. On Strain Gradient Theory and Its Application in Bending of Beam. Coatings 2022, 12, 1304. [Google Scholar] [CrossRef]
- Spencer, A.J.; Soldatos, K.P. Finite deformations of fibre-reinforced elastic solids with fibre bending stiffness. Int. J. Non-Linear Mech. 2007, 42, 355–368. [Google Scholar] [CrossRef]
- Kim, C.I. Superposed Incremental Deformations of an Elastic Solid Reinforced with Fibers Resistant to Extension and Flexure. Adv. Mater. Sci. Eng. 2018, 2018, 6501985. [Google Scholar] [CrossRef]
- Kim, C.I. Strain-Gradient Elasticity Theory for the Mechanics of Fiber Composites Subjected to Finite Plane Deformations: Comprehensive Analysis. Multiscale Sci. Eng. 2019, 1, 150–160. [Google Scholar] [CrossRef]
- Zeidi, M.; Kim, C.I. Finite plane deformations of elastic solids reinforced with fibers resistant to flexure: Complete solution. Arch. Appl. Mech. 2018, 88, 819–835. [Google Scholar] [CrossRef]
- Zeidi, M.; Kim, C.I. Mechanics of fiber composites with fibers resistant to extension and flexure. Math. Mech. Solids 2019, 24, 1–15. [Google Scholar] [CrossRef]
- Zeidi, M.; Kim, C.I. Mechanics of an elastic solid reinforced with bidirectional fiber in finite plane elastostatics: Complete analysis. Contin. Mech. Thermodyn. 2018, 30, 573–592. [Google Scholar] [CrossRef]
- Rivlin, R.S. Constitutive Equation for a Fiber-Reinforced Lamina. In Proceedings of the IUTAM Symposium on Anisotropy, Inhomogeneity and Nonlinearity in Solid Mechanics, Nottingham, UK, 30 August–3 September 1994; Parker, D.F., England, A.H., Eds.; Springer: Dordrecht, The Netherlands, 1995; pp. 379–384. [Google Scholar]
- Spencer, A.J.M. Deformations of Fibre-Reinforced Materials; Oxford science research papers; Clarendon Press: Oxford, UK, 1972. [Google Scholar]
- Holzapfel, G.A.; Ogden, R.W. Mechanics of Biological Tissue; Springer: Berlin/Heidelberg, Germany, 2006. [Google Scholar] [CrossRef]
- Hilgers, M.G.; Pipkin, A.C. Energy-minimizing deformations of elastic sheets with bending stiffness. J. Elast. 1993, 31, 125–139. [Google Scholar] [CrossRef]
- Agrawal, A.; Steigmann, D.J. Coexistent Fluid-Phase Equilibria in Biomembranes with Bending Elasticity. J. Elast. 2008, 93, 63–80. [Google Scholar] [CrossRef]
- Agrawal, A.; Steigmann, D.J. Boundary-value problems in the theory of lipid membranes. Contin. Mech. Thermodyn. 2009, 21, 57–82. [Google Scholar] [CrossRef]
- Toupin, R.A. Theories of elasticity with couple-stress. Arch. Ration. Mech. Anal. 1964, 17, 85–112. [Google Scholar] [CrossRef]
- Koiter, W.T. Couple stresses in the theory of elasticity, I and II. Proc. K. Ned. Akad. Wet. Ser. B 1964, 67, 17–44. [Google Scholar]
- Mindlin, R.D.; Tiersten, H.F. Effects of couple-stresses in linear elasticity. Arch. Ration. Mech. Anal. 1962, 11, 415–448. [Google Scholar] [CrossRef]
- Germain, P. The Method of Virtual Power in Continuum Mechanics. Part 2: Microstructure. SIAM J. Appl. Math. 1973, 25, 556–575. [Google Scholar] [CrossRef]
- Steigmann, D.J. Finite Elasticity Theory; Oxford University Press: Oxford, UK, 2017; pp. 1–184. [Google Scholar] [CrossRef]
- Ogden, R. Non-linear elastic deformations. In Engineering Analysis with Boundary Elements; Dover Publications: Mineola, NY, USA, 1984; Volume 1. [Google Scholar] [CrossRef]
- Steigmann, D.J. Mechanics and Physics of Lipid Bilayers; Springer: Berlin/Heidelberg, Germany, 2018; Volume 577. [Google Scholar] [CrossRef]
- Steigmannn, D.J. A model for lipid membranes with tilt and distension based on three-dimensional liquid crystal theory. Int. J.-Non-Linear Mech. 2013, 56, 61–70. [Google Scholar] [CrossRef]
- Steigmann, D.J. Equilibrium of elastic lattice shells. J. Eng. Math. 2018, 109, 47–61. [Google Scholar] [CrossRef]
- Steigmann, D.J. Continuum theory for elastic sheets formed by inextensible crossed elasticae. Int. J. Non-Linear Mech. 2018, 106, 324–329. [Google Scholar] [CrossRef]
- Giorgio, I.; dell’Isola, F.; Steigmann, D.J. Edge effects in Hypar nets. C. R. Méc. 2019, 347, 114–123. [Google Scholar] [CrossRef]
- Logg, A.; Wells, G.N. DOLFIN: Automated finite element computing. ACM Trans. Math. Softw. 2010, 37, 1–28. [Google Scholar] [CrossRef]
- Logg, A.; Wells, G.N.; Hake, J. DOLFIN: A C++/python finite element library. In Automated Solution of Differential Equations by the Finite Element Method; Springer: Berlin/Heidelberg, Germany, 2012; Volume 84. [Google Scholar] [CrossRef]
- Wu, F.; Zhao, B.; Cao, J.; Shen, X.; Wang, Z.; Lei, H.; Cui, Z. Experimental and theoretical investigations on flexural performance of hybrid fiber reinforced ECC-NC composite beams. Case Stud. Constr. Mater. 2024, 20, e03178. [Google Scholar] [CrossRef]
- Zheng, C.; Wang, Z.; Wang, L.; Lu, J.; Lin, J.; Dai, Y. Experimental and numerical study on failure behaviors of composite grid stiffeners under tensile and flexural loading. Thin-Walled Struct. 2023, 185, 110637. [Google Scholar] [CrossRef]
- Hahm, S.W.; Khang, D.Y. Crystallization and microstructure-dependent elastic moduli of ferroelectric P (VDF–TrFE) thin films. Soft Matter 2010, 6, 5802–5806. [Google Scholar] [CrossRef]
- Ciallella, A.; Pasquali, D.; Gołaszewski, M.; D’Annibale, F.; Giorgio, I. A rate-independent internal friction to describe the hysteretic behavior of pantographic structures under cyclic loads. Mech. Res. Commun. 2021, 116, 103761. [Google Scholar] [CrossRef]
- Manguri, A.; Saeed, N.; Jankowski, R. Controlling nodal displacement of pantographic structures using matrix condensation and interior-point optimization: A numerical and experimental study. Eng. Struct. 2024, 304, 117603. [Google Scholar] [CrossRef]
- Laudato, M.; Manzari, L.; Göransson, P.; Giorgio, I.; Abali, B.E. Experimental analysis on metamaterials boundary layers by means of a pantographic structure under large deformations. Mech. Res. Commun. 2022, 125, 103990. [Google Scholar] [CrossRef]
- Langtangen, H.P.; Logg, A. Solving PDEs in Python; Simula SpringerBriefs on Computing, 3; Springer International Publishing: Berlin/Heidelberg, Germany, 2016. [Google Scholar]
- da Rocha, H.B.; Bleyer, J.; Turlier, H. A viscous active shell theory of the cell cortex. J. Mech. Phys. Solids 2022, 164, 104876. [Google Scholar] [CrossRef]
- Taylor, M.; Shirani, M.; Dabiri, Y.; Guccione, J.M.; Steigmann, D.J. Finite elastic wrinkling deformations of incompressible fiber-reinforced plates. Int. J. Eng. Sci. 2019, 144, 103138. [Google Scholar] [CrossRef]















Disclaimer/Publisher’s Note: The statements, opinions and data contained in all publications are solely those of the individual author(s) and contributor(s) and not of MDPI and/or the editor(s). MDPI and/or the editor(s) disclaim responsibility for any injury to people or property resulting from any ideas, methods, instructions or products referred to in the content. |
© 2025 by the authors. Licensee MDPI, Basel, Switzerland. This article is an open access article distributed under the terms and conditions of the Creative Commons Attribution (CC BY) license (https://creativecommons.org/licenses/by/4.0/).
Share and Cite
Yao, W.; Kim, H.S.; Kim, C.I. On the Mechanics of a Fiber Network-Reinforced Elastic Sheet Subjected to Uniaxial Extension and Bilateral Flexure. Mathematics 2025, 13, 2201. https://doi.org/10.3390/math13132201
Yao W, Kim HS, Kim CI. On the Mechanics of a Fiber Network-Reinforced Elastic Sheet Subjected to Uniaxial Extension and Bilateral Flexure. Mathematics. 2025; 13(13):2201. https://doi.org/10.3390/math13132201
Chicago/Turabian StyleYao, Wenhao, Heung Soo Kim, and Chun Il Kim. 2025. "On the Mechanics of a Fiber Network-Reinforced Elastic Sheet Subjected to Uniaxial Extension and Bilateral Flexure" Mathematics 13, no. 13: 2201. https://doi.org/10.3390/math13132201
APA StyleYao, W., Kim, H. S., & Kim, C. I. (2025). On the Mechanics of a Fiber Network-Reinforced Elastic Sheet Subjected to Uniaxial Extension and Bilateral Flexure. Mathematics, 13(13), 2201. https://doi.org/10.3390/math13132201

