Dynamical Analysis of a Soliton Neuron Model: Bifurcations, Quasi-Periodic Behaviour, Chaotic Patterns, and Wave Solutions
Abstract
1. Introduction
2. Traveling Wave System
3. Bifurcation Analysis
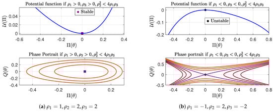
- A. If , that is, when and , the system described by (6) admits a unique equilibrium point at . To determine the nature of , we compute the determinant of the Jacobian matrix at this point, yielding . Consequently, behaves as a center when (which implies ), as illustrated in Figure 1a. The corresponding phase portrait, depicted in the same figure, shows a collection of periodic orbits encircling the center , which acts as a local minimum of the potential function (9). These closed orbits persist for all positive values of the parameter k and are associated with the class . On the other hand, if (thus, ), becomes a saddle point, representing a local maximum of the potential function, as shown in Figure 1b. In this configuration, the phase trajectories are all unbounded for any choice of the parameter k.

- B. When , that is, with , the system described by (6) admits two equilibrium points: and . Evaluating the potential function (9) at these points gives the corresponding values of the constant k as and . To determine the nature of these equilibria, we compute the Jacobian determinants: and . The vanishing determinant at implies that it is a cusp point. When (implying ), the point is a center, representing a local minimum of the potential function, as illustrated in Figure 2a. In this case, the phase space contains bounded and periodic trajectories for all values of the parameter k. Specifically, for , a family of red periodic orbits encircles the center point , characterized by the type . When , a second family of periodic orbits appears, shown in pink and associated with type . At the critical value , a green trajectory passes through the cusp point , typically displaying periodic behavior in its vicinity.
- C. If , that is, , then the system (6) has three equilibrium points as in (12). The values of the constant k computed at the equilibrium points are given byTo explore the type of these points, we compute

- Case I: If , then the condition is equivalent to or .i. If , , and , then the equilibrium points and are centers and correspond to local minima of the potential function (9), whereas is a saddle point and serves as a local maximum, as illustrated in Figure 3a. In this configuration, the phase portrait consists exclusively of bounded trajectories. For values of k in the range , there exists a set of red super-periodic orbits classified as . When , two distinct brown periodic orbits appear, each associated with the type . In addition, a family of green periodic trajectories encircles the center , also characterized by , along with a unique cyan orbit corresponding to the level . Furthermore, two homoclinic orbits, shown in purple and classified as , emerge when .ii. If , and , then the equilibrium points and are centers, which also arise as local minimum points for the potential function (9) while the point is a saddle that appears as local maximum for the potential function (9) as shown in Figure 3b. All system trajectories are bounded and classifiable by k values. The resulting phase dynamics follow the same pattern as illustrated in Figure 3a.iii. When , , and , the equilibrium points and act as saddle points and represent local maxima of the potential function (9), whereas behaves as a center and corresponds to a local minimum. The associated phase portrait is depicted in Figure 3c. In this scenario, most phase trajectories are unbounded, with the exception of a set of periodic red trajectories for , labeled as . This set is enclosed by a homoclinic trajectory in blue, corresponding to and denoted by .iv. When , and , the equilibrium points and behave as saddle points, corresponding to local maxima of the potential function given in (9). In contrast, acts as a center and constitutes a local minimum of the same potential function, as illustrated in Figure 3d. The associated phase portrait for this scenario is depicted in Figure 3d, exhibiting dynamics comparable to those described in the preceding case.Figure 3. The phase portrait for the system (6) and the potential function (6) when with . The black solid circle represents unstable equilibrium points, while the purple square denotes a stable equilibrium point.Figure 3. The phase portrait for the system (6) and the potential function (6) when with . The black solid circle represents unstable equilibrium points, while the purple square denotes a stable equilibrium point.Case II: If , the inequality is inevitably verified. Consequently, we analyze the following possible scenarios:a. When , and , the equilibrium point becomes a saddle point corresponding to a local maximum of the potential function (9), while and emerge as center points representing local minima of the same potential function, as shown in the phase portrait for system (6) in Figure 4a. All phase trajectories remain bounded, with their characteristics governed by the parameter k: for , a family of red periodic trajectories encircles ; for , two distinct families of brown periodic orbits appear surrounding both and within the blue homoclinic orbits at ; and at , a single cyan periodic trajectory exists, all classified as . Furthermore, the system exhibits green super-periodic trajectories characterized by for .b. For the case where , and , the equilibrium configuration demonstrates distinct characteristics: is a center point characterizing a local minimum point for the potential (9) while both equilibrium points are saddle points representing local maximum points for the potential function (9) as shown in Figure 4b, which also includes the phase portrait. All phase orbits are unbounded except for the family of red periodic orbits around when , which are contained within a blue homoclinic orbit at .

4. Solutions
- (a)
- A solitary wave solution (homoclinic orbit) when .
- (b)
- A kink/anti-kink solution (heteroclinic orbit) when .
- (c)
- A periodic solution (periodic phase orbit).
- (d)
- Otherwise the solutions are unbounded (unbounded orbits).
- (a)
- If , and;
- (b)
- If , and ;
- (c)
- If , and
- (d)
- , and ,
- (a)
- and the next condition is verified:
- (b)
- and the next condition is satisfied:where k is the bifurcation parameter, which is selected arbitrarily.
4.1. Periodic Solutions
- A. Part (a) in Theorem 1 shows that the polynomial (11) has two real roots denoted by with and two complex conjugate roots denoted by , where ∗ refers to the complex conjugate, so that we have . The real solutions for Equation (1) exists in this case if . We integrate both sides of Equation (10) presuming to derive a new solution to Equation (1) in the formwhere , , and . The solution (18) is periodic, with a period given by , with being the first-kind complete elliptic integral [37].
- B. The conditions of Theorem 1(b) ensure four real roots for (11). Consequently, we have . One can construct real solutions to Equation (1) if . Let us presume . We integrate both sides of Equation (10) with the assumption that to derive a new solution to Equation (1) in the formwhere . The period of the solution (19) is . The solution (19) belongs to the left family of periodic trajectories, as depicted in Figure 3a,b. However, when , we integrate both sides of (10) with the assumption that to derive a new solution of the formThe solution (20) is periodic solution to Equation (1) with the period and corresponds to the right family of periodic trajectories, as depicted in Figure 3a,b.
- C. When part (c) of Theorem 1 is satisfied, the polynomial (11) admits a double root at the origin along with two simple roots given explicitly by . Thus, we have . If , then , and consequently, the interval of real solutions to Equation (1) is , while if , then , and therefore, the interval of real solutions to Equation (1) is . We integrate both sides of Equation (10) with to find a new periodic solution to Equation (1) in the form
- D. The conditions on the parameters in part (d) of Theorem 1 shows that the polynomial (11) has four real zeros denoted by with . Therefore, we write . The intervals of real solutions are given by . We exclusively examine because this interval generates periodic solutions, unlike other intervals that lead to unbounded behavior. We integrate both sides of Equation (10) with the assumption that concedeswhere . Solution (22) provides a new periodic solution to Equation (1) with the period .
4.2. Super-Periodic Solutions
4.3. Solitary Solutions
5. Physical Explanation
- (a) If , Equation (1) admits a super-periodic solution of the form (23). For illustration, we choose , which yields the following roots for the polynomial (11): . Under these conditions, the solution (23) takes the explicit formFigure 6a,b display the 3D and 2D representations of the super-periodic solution given in (27). To analyze the effects of the parameters (frequency) and (sound velocity), we hold all other physical parameters constant while varying only these two. Figure 6c demonstrates how the frequency influences solution (23). Evidently, as the frequency increases, both the width and amplitude of the solution also increase. Conversely, Figure 6d illustrates the impact of sound velocity on the same solution. Notably, higher sound velocity leads to a nearly constant amplitude but a reduction in the solution’s width.
- (b) When , Equation (1) admits a solitary wave solution, as established by Theorem 3. In this scenario, the roots of the polynomial (11) are . Selecting an appropriate interval for real wave propagation, we take . Hence, the solitary solution (24) takes the formFigure 7 illustrates the 3D and 2D profiles of the solitary solution (24). The solution exhibits symmetry, as seen in Figure 7a, about the plane , and in Figure 7b, about the vertical line . To analyze the influence of the parameters (frequency) and (sound velocity), we vary only these two while holding other physical parameters constant. Increasing the frequency leads to a higher amplitude but a narrower width of the solution, as depicted in Figure 7c. Conversely, an increase in the sound velocity results in a reduction in amplitude and an expansion in width, as demonstrated in Figure 7d.
- (c) For , Equation (1) yields a periodic solution (18). Upon computing the roots of the polynomial (11), this solution simplifies to the following expression:The periodic nature of solution (18) is depicted in Figure 8a,b. Figure 8c,d further demonstrate the effects of the frequency and sound velocity on the solution. Notably, as the frequency rises, the amplitude remains nearly constant, whereas the width of the solution expands (Figure 8d). Conversely, an increase in sound velocity leads to growth in both the amplitude and width of the solution.
6. Dynamical Analysis of Perturbed System
7. Finding
- A. Hamiltonian System and Wave Solutions: The soliton neuron model was reformulated as a two-dimensional conservative Hamiltonian system, enabling the analysis of wave solutions using phase portraits and bifurcation theory. Exact solutions—including periodic, super-periodic, and solitary waves—were analytically derived and classified based on parameter conditions (Theorems 1–3). For clarity, these solutions are summarized in Table 2 for periodic waves, Table 3 for super-periodic waves, and Table 4 for solitary waves.
- B. Impact of Physical Parameters: Higher frequencies () led to an increase in both the amplitude and width of super-periodic waves, as illustrated in Figure 6c, while simultaneously reducing the width of solitary waves, as shown in Figure 7c. Similarly, variations in sound velocity () influenced wave characteristics, with increased sound velocity maintaining the amplitude of super-periodic waves while narrowing their width (Figure 6d). In contrast, higher sound velocity decreased the amplitude of solitary waves while expanding their width, as depicted in Figure 7d.
- C. Quasi-Periodic and Chaotic Dynamics: The introduction of a periodic external force led to quasi-periodic and chaotic behavior, which was effectively visualized using phase portraits and time series plots, as shown in Figure 10 and Figure 11. Further analysis using Lyapunov exponents confirmed the presence of chaotic regimes, with positive exponents indicating a strong sensitivity to initial conditions, as illustrated in Figure 12.
- D. Comparative Novelty: Unlike previous studies that employed methods such as Kudryashov [26], the ()-expansion [27], the Kumar–Malik method, the multivariate generalized exponential rational integral function method, and the Riccati-modified extended simple equation method [28], this work derives solutions using Jacobi elliptic functions and conducts a symbolic bifurcation analysis, enhancing interpretability. Moreover, most previous studies on the model (1) focus solely on the solitary solution [30]. We demonstrate that the prior results can be recovered from our findings when the bifurcation parameter k is set to zero. Additionally, the influence of physical parameters on solitary solutions in both studies is consistent, primarily affecting the width and amplitude of the solutions. Furthermore, our investigation of quasi-periodicity and chaotic dynamics in the perturbed system introduces a novel contribution to the literature on soliton neuron models.
8. Conclusions
- A.
- The method classifies solution types based on phase orbit analysis (Lemma 1), enabling rigorous proofs for the existence of periodic, solitary, and super-periodic solutions (Theorems 1–3).
- B.
- Real (non-complex) solutions are derived by integrating the conserved quantity (Equation (8)), leveraging the particle motion equivalence to ensure physical validity.
- C.
- Unbounded solutions, corresponding to unbounded phase orbits, are systematically excluded due to their lack of physical relevance.
- For periodic waves, frequency has negligible impact on amplitude but widens the solution (Figure 8d), whereas sound velocity enhances both amplitude and width.
- For super-periodic waves, frequency amplifies both amplitude and width, whereas sound velocity preserves amplitude but narrows the solution (Figure 6d).
Funding
Data Availability Statement
Acknowledgments
Conflicts of Interest
References
- Ilhan, O.A.; Manafian, J. Periodic type and periodic cross-kink wave solutions to the (2 + 1)-dimensional breaking soliton equation arising in fluid dynamics. Mod. Phys. Lett. B 2019, 33, 1950277. [Google Scholar] [CrossRef]
- Li, C.; Manafian, J.; Eslami, B.; Mahmoud, K.H.; Abass, R.R.; Bashar, B.S.; Ilhan, O.A. A generalized trial equation scheme: A tool for solving thin films constructed from the ferroelectric materials. Int. J. Mod. Phys. B 2024, 38, 2450308. [Google Scholar] [CrossRef]
- Mehrpooya, M.; Ghadimi, N.; Marefati, M.; Ghorbanian, S.A. Numerical investigation of a new combined energy system includes parabolic dish solar collector, Stirling engine and thermoelectric device. Int. J. Energy Res. 2021, 45, 16436–16455. [Google Scholar] [CrossRef]
- Ara, A.; Khan, N.A.; Razzaq, O.A.; Hameed, T.; Raja, M.A.Z. Wavelets optimization method for evaluation of fractional partial differential equations: An application to financial modelling. Adv. Differ. Equ. 2018, 2018, 1–13. [Google Scholar] [CrossRef]
- Holmes, E.E.; Lewis, M.A.; Banks, J.; Veit, R. Partial differential equations in ecology: Spatial interactions and population dynamics. Ecology 1994, 75, 17–29. [Google Scholar] [CrossRef]
- Zayed, E.M.; Alngar, M.E.; Shohib, R.; Biswas, A. Highly dispersive solitons in optical couplers with metamaterials having Kerr law of nonlinear refractive index. Ukr. J. Phys. Opt. 2024, 25, 01001–01019. [Google Scholar] [CrossRef]
- Chen, X.; Yan, X.; Zhang, X.; Wang, F.; Suzuki, T.; Ohishi, Y.; Cheng, T. Highly sensitive nonlinear temperature sensor based on soliton self-frequency shift technique in a microstructured optical fiber. Sens. Actuators A Phys. 2022, 334, 113333. [Google Scholar] [CrossRef]
- Arnous, A.H. Optical solitons with Biswas–Milovic equation in magneto-optic waveguide having Kudryashov’s law of refractive index. Optik 2021, 247, 167987. [Google Scholar] [CrossRef]
- Serge, D.Y.; Justin, M.; Betchewe, G.; Crepin, K.T. Optical chirped soliton in metamaterials. Nonlinear Dyn. 2017, 90, 13–18. [Google Scholar] [CrossRef]
- Wang, K.J.; Shi, F.; Li, S.; Xu, P. Dynamics of resonant soliton, novel hybrid interaction, complex N-soliton and the abundant wave solutions to the (2 + 1)-dimensional Boussinesq equation. Alex. Eng. J. 2024, 105, 485–495. [Google Scholar] [CrossRef]
- Wang, K.J. The generalized (3 + 1)-dimensional B-type Kadomtsev–Petviashvili equation: Resonant multiple soliton, N-soliton, soliton molecules and the interaction solutions. Nonlinear Dyn. 2024, 112, 7309–7324. [Google Scholar] [CrossRef]
- Wang, K.J. N-soliton, soliton molecules, Y-type soliton, periodic lump and other wave solutions of the new reduced B-type Kadomtsev–Petviashvili equation for shallow water waves. Eur. Phys. J. Plus 2024, 139, 1–13. [Google Scholar] [CrossRef]
- Gurney, K. An Introduction to Neural Networks; CRC Press: Boca Raton, FL, USA, 2018. [Google Scholar]
- Muhammad, J.; Younas, U.; Almutairi, D.; Khan, A.; Abdeljawad, T. Optical wave features and sensitivity analysis of a coupled fractional integrable system. Results Phys. 2025, 68, 108060. [Google Scholar] [CrossRef]
- Raza, N.; Salman, F.; Butt, A.R.; Gandarias, M.L. Lie symmetry analysis, soliton solutions and qualitative analysis concerning to the generalized q-deformed Sinh-Gordon equation. Commun. Nonlinear Sci. Numer. Simul. 2023, 116, 106824. [Google Scholar] [CrossRef]
- Elbrolosy, M.; Elmandouh, A. Painlevé analysis, Lie symmetry and bifurcation for the dynamical model of radial dislocations in microtubules. Nonlinear Dyn. 2025, 113, 13699–13714. [Google Scholar] [CrossRef]
- Gandarias, M.L.; Raza, N.; Umair, M.; Almalki, Y. Dynamical Visualization and Qualitative Analysis of the (4 + 1)-Dimensional KdV-CBS Equation Using Lie Symmetry Analysis. Mathematics 2024, 13, 89. [Google Scholar] [CrossRef]
- Muhammad, J.; Ali, Q.; Younas, U. On the analysis of optical pulses to the fractional extended nonlinear system with mechanism of third-order dispersion arising in fiber optics. Opt. Quantum Electron. 2024, 56, 1168. [Google Scholar] [CrossRef]
- Zhang, X.Z.; Siddique, I.; Mehdi, K.B.; Elmandouh, A.; Inc, M. Novel exact solutions, bifurcation of nonlinear and supernonlinear traveling waves for M-fractional generalized reaction Duffing model and the density dependent M-fractional diffusion reaction equation. Results Phys. 2022, 37, 105485. [Google Scholar] [CrossRef]
- El-Dessoky, M.; Elmandouh, A. Qualitative analysis and wave propagation for Konopelchenko-Dubrovsky equation. Alex. Eng. J. 2023, 67, 525–535. [Google Scholar] [CrossRef]
- Song, J.; Li, F.; Zhang, M. Bifurcations and Exact Solutions of the Coupled Nonlinear Generalized Zakharov Equations with Anti-Cubic Nonlinearity: Dynamical System Approach. Mathematics 2025, 13, 217. [Google Scholar] [CrossRef]
- Elmandouh, A.; Al Nuwairan, M.; El-Dessoky, M. Nonlinear Dynamical Analysis and New Solutions of the Space-Fractional Stochastic Davey–Stewartson Equations for Nonlinear Water Waves. Mathematics 2025, 13, 692. [Google Scholar] [CrossRef]
- Alomair, A.; Al Naim, A.S.; Bekir, A. Exploration of Soliton Solutions to the Special Korteweg–De Vries Equation with a Stability Analysis and Modulation Instability. Mathematics 2024, 13, 54. [Google Scholar] [CrossRef]
- Rashedi, K.A.; Almusawa, M.Y.; Almusawa, H.; Alshammari, T.S.; Almarashi, A. Applications of Riccati–Bernoulli and Bäcklund Methods to the Kuralay-II System in Nonlinear Sciences. Mathematics 2024, 13, 84. [Google Scholar] [CrossRef]
- Yang, L.; Hou, X.; Zeng, Z. A complete discrimination system for polynomials. Sci. China Ser. E 1996, 39, 628–646. [Google Scholar]
- Alam, M.N.; Rahman, M.A. Study of the parametric effect of the wave profiles of the time-space fractional soliton neuron model equation arising in the topic of neuroscience. Partial Differ. Equ. Appl. Math. 2024, 12, 100985. [Google Scholar] [CrossRef]
- Alam, M.N.; Akash, H.S.; Saha, U.; Hasan, M.S.; Parvin, M.W.; Tunç, C. Bifurcation analysis and solitary wave analysis of the nonlinear fractional soliton neuron model. Iran. J. Sci. 2023, 47, 1797–1808. [Google Scholar] [CrossRef]
- Younas, U.; Muhammad, J.; Almutairi, D.; Khan, A.; Abdeljawad, T. Analyzing the neural wave structures in the field of neuroscience. Sci. Rep. 2025, 15, 7181. [Google Scholar] [CrossRef]
- Engelbrecht, J.; Peets, T.; Tamm, K. Electromechanical coupling of waves in nerve fibres. Biomech. Model. Mechanobiol. 2018, 17, 1771–1783. [Google Scholar] [CrossRef]
- Heimburg, T.; Jackson, A.D. On soliton propagation in biomembranes and nerves. Proc. Natl. Acad. Sci. USA 2005, 102, 9790–9795. [Google Scholar] [CrossRef]
- Dauxois, T.; Peyrard, M. Physics of Solitons; Cambridge University Press: Cambridge, UK, 2006. [Google Scholar]
- Goldstein, H. Classical Mechanics Addison-Wesley Series in Physics; Addison-Wesley: Boston, MA, USA, 1980. [Google Scholar]
- Saha, A.; Banerjee, S. Dynamical Systems and Nonlinear Waves in Plasmas; CRC Press: Boca Raton, FL, USA, 2021; pp. x+207. [Google Scholar]
- Nemytskii, V.V. Qualitative Theory of Differential Equations; Princeton University Press: Princeton, NJ, USA, 2015; Volume 2083. [Google Scholar]
- Dubinov, A.; Kolotkov, D.Y.; Sazonkin, M. Supernonlinear waves in plasma. Plasma Phys. Rep. 2012, 38, 833–844. [Google Scholar] [CrossRef]
- Kotkin, G.L.; Serbo, V. Lectures on Analytical Mechanics; Oxford University Press: Oxford, UK, 2024. [Google Scholar]
- Byrd, P.F.; Friedman, M.D. Handbook of Elliptic Integrals for Engineers and Scientists, 2nd ed.; Die Grundlehren der Mathematischen Wissenschaften, Band 67; Springer: New York, NY, USA; Berlin/Heidelberg, Germany, 1971; pp. xvi+358. [Google Scholar]
- Saha, A.; Tamang, J. Effect of q-nonextensive hot electrons on bifurcations of nonlinear and supernonlinear ion-acoustic periodic waves. Adv. Space Res. 2019, 63, 1596–1606. [Google Scholar] [CrossRef]
- Tamang, J.; Saha, A. Dynamical behavior of supernonlinear positron-acoustic periodic waves and chaos in nonextensive electron-positron-ion plasmas. Z. Für Naturforschung A 2019, 74, 499–511. [Google Scholar] [CrossRef]
- Layek, G. An Introduction to Dynamical Systems and Chaos; Springer: West Bengal, India, 2015; Volume 1. [Google Scholar]
- Ching, S.; Brown, E.N.; Kramer, M.A. Distributed Control in a Mean-Field Cortical Network Model: Implications for Seizure Suppression. J. Math. Neurosci. 2012, 2, 1–25. [Google Scholar] [CrossRef]
- Hudson, A.E.; Calderon, D.P.; Pfaff, D.W.; Proekt, A. Recovery of Consciousness Is Mediated by a Network of Discrete Metastable Activity States. Front. Syst. Neurosci. 2014, 8, 9. [Google Scholar] [CrossRef] [PubMed]










| Time (s) | |||
|---|---|---|---|
| 5 | |||
| 10 | |||
| 15 | |||
| 20 | |||
| 25 | |||
| 30 | |||
| 35 | |||
| 40 | |||
| 45 | |||
| 50 | |||
| 55 | |||
| 60 |
| k | Solution | |||
|---|---|---|---|---|
| + | + | + | ||
| − | ||||
| + | + | , | ||
| − | , | |||
| + | + | |||
| − | − | |||
| k | Solution | |||
|---|---|---|---|---|
| + | + | |||
| − | + | + |
| k | Solution | |||
|---|---|---|---|---|
| + | + | |||
| − | − | |||
Disclaimer/Publisher’s Note: The statements, opinions and data contained in all publications are solely those of the individual author(s) and contributor(s) and not of MDPI and/or the editor(s). MDPI and/or the editor(s) disclaim responsibility for any injury to people or property resulting from any ideas, methods, instructions or products referred to in the content. |
© 2025 by the author. Licensee MDPI, Basel, Switzerland. This article is an open access article distributed under the terms and conditions of the Creative Commons Attribution (CC BY) license (https://creativecommons.org/licenses/by/4.0/).
Share and Cite
Elmandouh, A. Dynamical Analysis of a Soliton Neuron Model: Bifurcations, Quasi-Periodic Behaviour, Chaotic Patterns, and Wave Solutions. Mathematics 2025, 13, 1912. https://doi.org/10.3390/math13121912
Elmandouh A. Dynamical Analysis of a Soliton Neuron Model: Bifurcations, Quasi-Periodic Behaviour, Chaotic Patterns, and Wave Solutions. Mathematics. 2025; 13(12):1912. https://doi.org/10.3390/math13121912
Chicago/Turabian StyleElmandouh, Adel. 2025. "Dynamical Analysis of a Soliton Neuron Model: Bifurcations, Quasi-Periodic Behaviour, Chaotic Patterns, and Wave Solutions" Mathematics 13, no. 12: 1912. https://doi.org/10.3390/math13121912
APA StyleElmandouh, A. (2025). Dynamical Analysis of a Soliton Neuron Model: Bifurcations, Quasi-Periodic Behaviour, Chaotic Patterns, and Wave Solutions. Mathematics, 13(12), 1912. https://doi.org/10.3390/math13121912

