Abstract
As digitalization and artificial intelligence advance, cybersecurity threats intensify, making malware—a type of software installed without authorization to harm users—an increasingly urgent concern. Due to malware’s social and economic impacts, accurately modeling its spread has become essential. While diverse models exist for malware propagation, their selection tends to be intuitive, often overlooking the unique aspects of digital environments. Key model choices include deterministic vs. stochastic, planar vs. spatial, analytical vs. simulation-based, and compartment-based vs. individual state-tracking models. In this context, our study assesses fundamental infection spread models to determine those most applicable to malware propagation. It is organized in two parts: the first examines principles of deterministic and stochastic infection models, and the second provides a comparative analysis to evaluate model suitability. Key criteria include scalability, robustness, complexity, workload, transparency, and manageability. Using consistent initial conditions, control examples are analyzed through Python-based numerical methods and agent-based simulations in NetLogo. The findings yield practical insights and recommendations, offering valuable guidance for researchers and cybersecurity professionals in applying epidemiological models to malware spread.
Keywords:
epidemiological models; mathematical modeling; malware spread modeling; sociotechnical systems; simulation MSC:
37M05; 34C60; 92D30
1. Introduction
Abstracting from individual objects that do not have a significant impact on the existence and development of society, the surrounding world can be described as a set of interacting systems [1]. The operation of each system causes changes both within the system itself and affects the state of the associated systems. In turn, any interaction always generates feedback, which inevitably influences the initiator of the changes.
In society, basic needs are primary, determining the dominant development of technical systems. However, technical achievements are initiated by the needs of society, i.e., the social component. The representation and tangible outcome of technical and social systems interaction are technologies. Any technology becomes sustainable only if it is needed and accepted by society [2]. The lifecycle of technology is characterized by the Fenn hype cycle curve [3], which partially illustrates the development of a piece of technology’s sustainability [4].
On the other hand, when a piece of technology is adopted by society, it is first evaluated, and then it undergoes adaptation according to changes in societal demands. The technology evolves, and new technologies, better suited to societal needs, are developed based on it. In essence, there is a continuous interaction and exchange of knowledge between the technical and social components within society. This means that the functioning of complex systems cannot be explained by separating technology from the influence of social factors.
To create a holistic understanding of systems, the theory of sociotechnical systems was developed in the mid-20th century by the Tavistock Institute of Human Relations in London [5]. However, this theory still faces many opponents who feel comfortable within their own fields and do not support the idea of unifying or converging the engineering and social sciences. A characteristic example of such policies is the unsuccessful implementation of most IT projects [6]. Newton’s differential equations, which describe the laws of motion, can be applied not only to describe the mechanics of bodies but also changes in society and nature. Moreover, the extensions of these theories, which incorporate the stochastic nature of the social component, self-organization, cognition, and evolution, have led to the development of artificial intelligence (AI) and machine learning. These advancements enable the improvement of methods for designing both engineering and social systems.
Modern society is permeated by digital technologies. Digital technologies play a critical role in the existence and development of society, as they create the environment for the implementation of communication and governance. Today, embedded automation is a component of every mobile phone, video camera, car, television, washing machine, and any other household appliance. Digital technologies enable smart home control, banking operations, everyday communication and information exchange, health monitoring, urban infrastructure and traffic control, and they are also a key component of military defense technologies. In 2024, there are more than 2 billion computers worldwide [7]. This means that the number of devices with embedded digital technologies could reach several trillion. Digital technologies are becoming increasingly integral to policy planning and development. Stepping away from the use of digital technologies has become increasingly difficult.
For these reasons, digital technologies have become a target for attacks by various antisocial individuals and cybercriminals. If we set aside phishing activities, session hijacking, SQL injections on less secure websites, and large-scale attacks aimed at overwhelming computing resources (DDoS), one of the most common types of cyber threats is the spread of malware. While basic cybersecurity practices can provide effective protection against phishing, malware poses a threat to every user, and its containment is more complex.
Malware is malicious software that third parties remotely or through direct access install and/or operate on a computer or other digital devices (a mobile phone, network equipment, etc.) without the permission of the device’s owner or legal administrator. Malware can be divided into several categories [8], but its main goal is to cause harm to the device’s owner or legal administrator. Infecting digital devices with a computer virus is usually the first step in the spread of malware, creating an entry point for malicious software to gain access.
One possible classification of malware is as follows:
- Adware—advertising spam that overloads the computer with various pop-up notifications, which the user must click to continue working, while the malware distributor is rewarded for each click.
- Scareware—a fake notification generator that warns of the presence of a virus and prompts the user to install an anti-virus tool, which turns out to be malware.
- Spyware—software that steals a wide range of information about the user (passwords, contacts, bank account numbers), as well as other relevant data from storage media and input devices.
- Ransomware—software that encrypts/locks data on storage devices and/or blocks access to the computer, demanding a payment for unlocking it.
- Rootkit—like spyware, but its characteristic manifestations include sending spam emails from the user’s address and providing remote access to third parties to carry out DDoS attacks on communication networks.
- Trojans—a specific type of malware whose code appears visually legitimate and resembles a reliable system application, but it hides any other type of malware within its structure.
- Computer virus—A type of malicious software that attaches itself to other programs, self-replicates, and spreads to other computers using communication networks (local and/or global) or data transfer devices (flash memory sticks, external disks, etc.). The main infection methods include infected email attachments, malicious links, downloads of infected files, apps, plug-ins, multimedia messaging services, outdated commercial software, banner ads, etc.
The malware propagation cycle has four stages [9]:
- Dormant phase—the virus is placed in the memory of the susceptible device or on an external memory device, but the victim is unaware of it because the virus has not yet activated, meaning the object is exposed.
- Propagation phase—the virus begins to self-replicate and/or mutate, placing its clones in the victim’s memory devices, or it spreads through communication networks, with the clones creating new clones.
- Triggering phase—The virus activates after a certain period (logical time bomb), or it is triggered by the user’s actions (pressing a key on the keyboard, system reboot, etc.). Symptoms of infection appear, although the object is already infectious during the propagation phase.
- Execution phase—the virus performs the tasks it was designed for. Based on access methods and architecture, viruses can be classified into several groups, such as direct-action viruses, boot sector viruses, resident viruses, multipartite viruses, polymorphic or mutating viruses (worms), macro viruses, hoaxes, etc.
According to data from the Independent IT-Security Institute, by the end of September 2024, the total number of registered malware and potentially malicious software reached 1.4 billion, with 307,601 new malware cases per day [10]. Similarly, Kaspersky’s detection systems identified an average of 411,000 malware cases per day in 2023 [11].
Cybersecurity is a complex of standards, guidelines, and technologies that help protect against various cyber threats to devices, whether these threats are direct or transmitted through communication networks. In response to the growing threats, the scope of cybersecurity measures is also increasing. Global security market research [12] confirms a consistent growth trend in the value of the cybersecurity market. In 2022, the market for solutions and services was worth USD 193 billion, and by 2024, it reached USD 234 billion. Projections indicate that the cybersecurity market will exceed USD 530 billion by 2030.
Unfortunately, there is an intense trend toward the criminalization and intellectualization of the malware business. Special attention is being paid to the most vulnerable devices, particularly mobile phones, which people are increasingly forced to use in their daily lives (for banking, accessing municipal services, electronic signatures, etc.). Unfortunately, due to limited computing resources, it is practically impossible to adequately protect mobiles against malware. Significant risks are also posed by the small screen size, which creates challenges for aging people. Today, malware is often custom-made—cybercrime “as a service”. There is a growing number of cybercriminals using AI solutions. Widely available AI tools increase the productivity of cybercriminals, speeding up the design and tuning of new malware versions. The use of AI capabilities enhances malware functionality. In the coming years, malware is expected to focus on deepfake activities, identity theft, fake multimedia design, and voice spoofing, significantly increasing the risks of cyber threats to individuals and society. This increases the risk of encountering new types of malwares, for which existing cybersecurity solutions may be ineffective. Therefore, it is essential to develop suitable methods for the timely assessment and prediction of cyber threat proliferation.
Respecting the previously mentioned sociotechnical system paradigm, it can be assumed that the spread of malware in a digital network is analogous, though simplified, to the spread of infection in a population.
Recently, the world experienced the COVID-19 pandemic, which had a significant impact on both the economy and societal life. No one can claim that there will not be future infections or similar situations [13]. Enhancing the accuracy and efficiency of infection spread models is an essential step for planning and implementing effective public health policies.
The dynamics of infection spread in society and nature are explained by a time diagram [14] (see Figure 1), which consists of several stages.
Figure 1.
Dynamics of infection spread.
If an individual does not have innate or vaccine-acquired immunity to a particular infection, they are considered Susceptible. Upon encountering the infection, depending on the frequency of contact, the body’s resistance, and the infection’s contagiousness, a latent period occurs, known as the Exposed state, during which the individual has neither developed symptoms nor become infectious. However, after a certain period, an individual may become Infectious even before the onset of observable symptoms. After some time, although symptoms may still be present, the individual can no longer spread the infection and is considered Recovered. This does not mean that the individual is fully healed but rather that they are no longer considered a transmitter of the infection. Unfortunately, there are a small number of individuals who may remain infectious for a longer period, but this does not have a significant impact on the overall course of infection spread. The treatment period is generally not included in epidemiological models. Vaccinated individuals are considered Recovered. If vaccination provides immunity for only a limited time, some of the Recovered individuals will eventually return to the Susceptible compartment. A clearer explanation of the dynamics described above is shown in Figure 2 [15].
Figure 2.
Timelines of infection [15].
The dynamics of infection spread are characterized by changes in compartments over time with a certain probability. In the Hethcote pMSEIR model [16], the following compartments are defined: M—Immune, S—Susceptible, E—Exposed, I—Infectious, and R—Recovered.
The population may remain constant, but it can also increase or decrease (births/deaths/migration) during the modeling session. The pMSEIR model is deterministic by nature, but it can also include a stochastic component, meaning changes may occur with a previously determined or calculated probability, according to a suitable probability distribution. This is usually a binomial distribution, as it is assumed that an individual is either infected or not infected. A sufficiently broad, comprehensive, and balanced overview of infection spread modeling is provided by Keeling and Rohani [14] and other authors [17,18].
Based on the links between the compartments included in the pMSEIR model, various conceptual infection spread models can be designed, which can also be used for modeling malware spread: Classic SIR—homogeneous with a constant-size population, SIR with vital dynamics—a classic SIR model with added demographic changes, SEIR—classic SIR with an Exposed compartment, SIS—with recurrent infection dynamics (without a Recovery compartment), SIR (SEIR) with vaccination and mutations—with limited immunity and recurrent infection, Diffusion SIR—with a spatial component added to account for compartment density, Stochastic SIR—a deterministic model with noise, and Network SIR—a graph- or agent-based (ABM) representation of compartments as a sum of individuals (nodes).
The representation of the above-mentioned models can be either planar or spatial. Each compartment can be analyzed as a unified whole or as a set of individual entities.
The propagation of malware in the digital environment is like the transmission of infection in a population; however, the spread of infection in the digital realm occurs at a significantly faster rate. In the case of natural infections, the mutation rate can be high, especially for viruses, which can produce new strains within a few months or even weeks. However, in the case of malware spread, the emergence of new variants can occur even faster—within days or even hours—since automated mechanisms for generating and distributing changes are typically used. This means that when analyzing malware spread, it is crucial to focus on the initial stages of infection, characterized by the pathogen’s early propagation within the population, as well as the rapid escalation of the disease and its peak. This stage of infection is highlighted in Figure 1 with an oval dashed line.
While vaccination in society can create a sufficiently strong barrier to the resurgence of infections, in the digital environment, protective measures provide only a temporary effect.
The issue of motivation is important. While infections that threaten society are usually of natural origin, and in most cases, the pathogen has no interest in killing its host, the spread of digital infections is primarily deliberate, targeted, and well thought out, with clear and malicious intent.
Legal aspects play a significant role. Patient health information is protected by privacy laws that set restrictions on access and disclosure. Legal regulations require informed consent from patients for treatment and vaccination, respecting individual human rights. The implementation of movement and isolation restrictions (lockdowns) takes significant time and often is delayed by political discussion and complex decision making. As a result, delays in combating the spread of infection can last several days (months). In the digital environment, institutions can act more quickly, canceling the operation of infected nodes. Therefore, the potential delay is significantly shorter lasting from several minutes to hours.
Society is marked by significant heterogeneity, including demographic, social, economic, and health factors, all of which influence the spread of diseases and the effectiveness of preventive measures. This diversity leads to a greater impact from stochastic factors. On the other hand, the digital environment is more uniform and structured. Despite variations in technology usage and the presence of different manufacturers, the digital landscape is more standardized, enabling more consistent and coordinated protective measures.
Different variants of epidemiological models are used to describe the spread of malware. The traditional deterministic SEIR approach has been applied to internet protection and monitoring measures [19] for modeling the spread of infections in IoT devices and drone swarms [20] and for modeling malware propagation under a clustering approach in scale-free networks [21]. The SEIR model with quarantine and vaccination extensions has been used to specify malware spread in heterogeneous data transmission networks [22]. The Susceptible–Infected–Infected Dormant–Recovered (SIIDR) model has been proposed to represent self-propagating malware, particularly in campaigns like WannaCry, which spread quickly across the Internet and lead to extensive service disruptions [23]. For modeling malware spread in cyber–physical systems, diffusion-based approaches have been explored [24,25]. Both deterministic and stochastic, network and agent-based models are employed for propagation modeling [26,27,28,29,30,31]. Despite the dominance of ABM, SIR models based on probabilistic cellular automata are sometimes used [32]. Stochastic analytical models are used for malware behavior modeling, including those based on Markov chains [33,34], Monte Carlo simulations [35], Langevin [36] and Master equations [37], and the Gillespie algorithm [38]. Graph models are also used for modeling heterogeneous networks [39] and large-scale wireless networks [40].
Sometimes researchers modify epidemic models by introducing their own classifications. Susceptible–Unexposed–Infected–Isolated–Removed (SUIQR) [41], Susceptible–Carrier–Infectious–Quarantine–Recovered–Susceptible (VSCIQRS) [42] and Vulnerable–Exposed–Infectious–Secured–Vulnerable (VEISV) [43] models have been used for the analysis of wireless sensor networks and worm attack specification.
Despite the applications mentioned above, the choice of specific epidemiological models is often insufficiently justified and does not consider the unique characteristics of the digital environment, which create a distinct set of requirements for selecting appropriate methods to model malware spread.
The focus of this study is on fundamental methods for modeling the spread of infections, with the primary research question being to identify which models are most suitable for analyzing malware propagation, considering its specific characteristics.
The key contributions of this study lie in the application of well-established deterministic epidemic models to analyze the spread of malware, as well as the spread of epidemics, highlighting the model’s scalability, robustness, and adaptability to different types of outbreaks. The novelty of our work stems from the comparative evaluation of these models in the context of both malware propagation and epidemic spread, providing valuable guidance not only for cybersecurity researchers but also for epidemiologists. Given the ongoing discussions in epidemiology regarding the suitability of different models for specific scenarios, our study aims to provide further insights into the conditions under which certain models may be more effective and others less appropriate, thereby contributing to the refinement of model selection in both epidemiological and cybersecurity contexts. The justification for the study is based on the growing urgency of understanding the dynamics of malware spread in digital environments, which parallels epidemic modeling in public health. While the models employed offer robust solutions, their limitations arise from their sensitivity to initial conditions, particularly in artificial or unrealistic scenarios. Nevertheless, this study provides valuable insights by using Python-based numerical methods and NetLogo ABM simulations to evaluate model performance and identify their applicability in real-world situations.
This article discusses models, which are well known and have been validated in practice [14,17,18], for describing various epidemiological situations. To ensure that the modeling results are non-negative, bounded, and unique, the selection of realistic and reasonable initial conditions is crucial, as they will determine the scalability and quality of the modeling results.
The methodology is explained using clear and straightforward mathematical language, making the results valuable not only for infectious disease specialists and cybersecurity experts but also for students and policy makers.
In the first part of the article, the focus will be on analyzing the core principles and notation of basic deterministic and stochastic infection spread models. The second part will offer a comparative analysis of the modeling results, along with an overall evaluation of the suitability of these basic models. To ensure transparency in the modeling process, a consistent set of control examples is used, maintaining fixed initial conditions throughout. Numerical methods in Python- and agent-based simulations in NetLogo are applied to solve the control examples. The conclusion will provide key insights and recommendations on the appropriate use of epidemiological models for malware spread modeling.
2. Methodology
2.1. The Conceptual Model of the Spread of Infections
The dynamics of infection spread in society and nature are explained by the Keeling and Rohani [14] time diagram (see Figure 1).
The concept of infection spread dynamics describes the movement of individuals at varying speeds and probabilities between several compartments, which in the pMSEIR model [16] are labeled as M—Immune, S—Susceptible, E—Exposed, I—Infectious, and R—Recovered. Based on these compartments and the connections between them, various conceptual models of infection spread can be created. Figure 2 presents an enhanced Hethcote model [16], incorporating the possibilities of vaccination and reinfection. The population may remain constant, but the model can also account for its increase or decrease during the spread of the infection. This model is primarily deterministic, though certain changes can be stochastic. The stochastic effects are highlighted in red (see Figure 3).
Figure 3.
Transfer diagram of pMSEIR model.
The model’s legend and the variable notations used later are described in Table 1.
Table 1.
Summary of pMSEIR model legend.
The conceptual pMSEIR model (see Figure 3) can have different spatial representations, each corresponding to a specific mathematical description and solution methods. Plain structures are described using nonlinear ordinary differential equations (ODEs) or difference equations, depending on whether time is continuous or discrete. Diffusion models feature a spatial component, where a compartment is stretched according to the dimension of the spatial coordinate and projected into a system of partial differential equations (PDEs). The concept of compartments can also be replicated within a network structure and described using graph theory or ABM models. This approach enables the analysis of changes both at the group level and on an individual scale.
In line with the formulated pMSEIR concept, the most popular variants of deterministic and stochastic solutions will be reviewed, focusing on the core principles of infection spread modeling and outlining the advantages and disadvantages of each model. Extensions that do not significantly affect the model’s behavior will be excluded, with the focus placed on fundamental approaches. Each model will be explained with an accompanying control example. To ensure a better comparability of the results, the initial data for the control cases are sourced from the SIR model provided on Wikipedia [44].
2.2. The SIR Model—A Basic Approach to Contagion Modeling
The modern era of infection spread modeling began with a deterministic model developed by Kermack and McKendrick [45] to analyze deaths from the plague on the island of Bombay between 17 December 1905, and 21 July 1906.
The SIR model is based on three states of individuals: Susceptible (S), Infected (I), and Recovered (R). Individuals in the same state are grouped into the corresponding compartment. The classic SIR model describes only the changes within the compartments or groups but does not track the status of each individual. It is assumed in the model that the population size , and the population is homogeneous. The transfer diagram of the SIR model is shown in Figure 4.
Figure 4.
Transfer diagram of classic SIR model.
In the SIR model, changes in each compartment are described as , and changes in the time interval . For example,
The classic SIR model is described by a system of nonlinear ordinary differential equations (ODEs) (2), where ,
Kermack and McKendrick [45] defined the critical threshold, or basic reproduction number , at which an epidemic outbreak can begin:
—the average number of people infected by a single infectious individual during the spread of an infection.
If , the spread of infection cannot occur, and the system approaches a disease-free equilibrium. This indicates that no individuals in the population are infected. The infection will fade and will not reappear.
If , the system moves toward an endemic equilibrium. This is a stable state, where the infection does not completely disappear but instead persists at a low level within the population, as each recovered individual is replaced by a newly infected one.
The constants and are both essential elements of epidemiological models and topics of ongoing debate [46,47]. While there is consensus on the interpretation of recovery rate , infection rate is sometimes understood differently. Hereafter, it will be assumed that infection rate applies to the entire population size [48,49].
It can be assumed that for most infectious diseases, falls within the range [0.1, 2]. For the flu, it ranges from 0.3 to 1.0, but for COVID-19, from 0.4 to 2 (Omicron variant) [50]. In most cases, ranges from [0.05, 0.5].
To solve nonlinear ODEs, numerical methods can be used. For example, using the Euler method, which will also be applied hereafter, the state of each compartment at time can be described by the following set of expressions:
The classic SIR epidemiological model forms the basis for developing all other infection spread models.
Advantages: The SIR model is well understood and adaptable to various infection spread modeling needs. The modeling results are transparent and easy to interpret. The classic SIR model is still used for well-mixed and closed populations. The SIR model can be applied in the early stages of an infection’s spread, when there are insufficient observable data. The classic SIR model has been used to model the spread of the COVID-19 virus [51,52], as well as to analyze the N1H1 outbreak in Rajasthan, India, in June 2009 [53] and the Yellow Fever outbreak in Angola in late 2015 [54]. Moreover, the SIR model has been used to model seasonal influenza and predict outbreaks [55].
Drawbacks: A limitation of the classic SIR model is its requirement for a homogeneous population. Although a statistical assumption can be made, if compartment sizes are sufficiently large, individuals can be considered well mixed and the compartment contents adequately homogeneous. The SIR model does not account for an infection’s latent period, nor does it incorporate immunity or vaccination options. However, these features can be added to the model.
2.3. The SIR Model with Vital Dynamics
To model infection spread over a longer period, factors of mobility and birth–death rates of individuals must be considered. The SIR model can be supplemented with several constants (see Table 1) that describe population changes. The constant represents the birth rate of the susceptible population . It is assumed that all individuals are born susceptible to infection. The birth rate may also include other mobility factors, such as moving or immigration, which increase the number of individuals in compartment . Meanwhile, represents the death rate of the susceptible population , but is the death rate of the infected population , and is the death rate of the recovered population . The death rate can also account for mobility factors, such as moving or emigration. The model’s transfer diagram is shown in Figure 5.
Figure 5.
Transfer diagram of SIR model with vital dynamics (with ).
The SIR model with vital dynamics is described by a system of ODEs (5), which represents the changes in each compartment and in time interval , where ,
It is assumed that
or where the rate of the change in is
The basic reproduction number in the SIR model with vital dynamics can be calculated as
Incorporating demographic parameters into the classic SIR model allows it to be used throughout the entire course of infection spread, from the first patient to either the disappearance of the infection or the attainment of equilibrium.
Advantages: The SIR model with vital dynamics better reflects the long-term forecast of the infection spread because the size of an open population is variable. In this case, it is possible to model repeated infection spread, as the compartment of susceptible individuals, which fuels the infection, may increase. The model is also more suited for analyzing the impact of age factors, as susceptibility to infection can vary across age groups, allowing for the analysis of different risk groups. It is possible to study the impact of migration on infection spread, as different groups may have varying susceptibility to a given infection and cultural or lifestyle habits that influence disease transmission. The SIR model with vital dynamics has been used to compare the spread of COVID-19 in South Africa, Argentina, India, Switzerland, Finland, Spain, and other countries [56].
Drawbacks: The SIR model with demographic effects is less stable and more sensitive than the classic SIR model. Incorrect model calibration and poorly defined demographic constants can lead to unreliable results. This model is not well suited for modeling short-term epidemics and does not perform effectively in small populations.
2.4. The SIS Model for Describing Recurrent Infection Dynamics
The SIS model is a simplified variant of the SIR model, with only two compartments, and . Population can be either variable or constant. It is assumed that all individuals in the population are susceptible to infection, and no lasting immunity is possible. Upon encountering the infection, individuals can become reinfected. Most sexually transmitted diseases, as well as rhinovirus infections, are typical examples. In the SIS model, the dynamics of infection spread are represented by a transfer diagram (see Figure 6).
Figure 6.
Transfer diagram of SIS model (with ).
The SIS model is described by a system of ODEs (9), which represents changes in compartments and over time interval , where ,
It is assumed that the following condition holds:
The basic reproduction number in the SIS model is calculated in the same way as in the classic SIR model.
Equilibrium between and is reached when the rate of change is zero, i.e., and , and therefore, , but .
Advantages: The SIS model is simple, transparent, and easily adaptable to changing situations. Vital dynamics parameters can be easily incorporated into the model if needed. The SIS model is well suited for modeling the spread of infectious diseases where recovery does not lead to immunity. The results are easy to understand and clearly interpretable. Hethcote and Yorke [57] describe the use of the SIS model for studying gonorrhea transmission dynamics and control, while Lewis, White, and Price [58] have applied the SIS model’s principles to model the spread of Chlamydia trachomatis infection. The SIS model is also well suited for researching the spread of infections associated with bacterial resistance [59].
Drawbacks: The SIS model is not suitable for modeling infections that result in long-term or lifelong immunity, such as measles or smallpox. Similarly, vaccination campaigns and their impact cannot be incorporated into the SIS model. It is also not appropriate for modeling chronic diseases. The SIS model becomes unstable when the values of infection rate and recovery rate are very close to each other.
2.5. The SIR Model with Vaccination and Mutations
Vaccination is employed to reduce the number of susceptible individuals if feasible and appropriate. Unfortunately, mutations in the infectious agent can render immunity gained from prior infection or vaccination ineffective against new strains. The SIR model can incorporate scenarios where a portion of recovered individuals lose immunity after a time interval, and return to the susceptible compartment . COVID-19 strain mutations are a characteristic example. The infection transmission dynamics in the SIR model with vaccination and mutations are illustrated by the transfer diagram shown in Figure 7. It is assumed that the population size remains constant, as incorporating vital dynamics does not significantly impact modeling results during the initial stages of infection spread.
Figure 7.
Transfer diagram of SIR model with vaccination and mutations (with ).
The SIR model with vaccination and mutations is described by the system of differential equations (11), representing changes in the compartments and over time interval . In this case, , and the rate of increase in vaccinated individuals is determined by . The total function for the recovered compartment is .
The basic reproduction number is the same as in the classic SIR model. In the case of vaccination, however, it is preferable to calculate effective reproduction number . This varies over time and indicates the average number of secondary infections caused by one infected individual in a population with reduced susceptibility due to immunity.
Not only recovered compartment but also susceptible compartment can be further subdivided. This allows for modeling heterogeneous populations by including age groups and other characteristics that reflect varying susceptibility to a given infection.
This model is often supplemented with exposed compartment (the SEIR model), allowing for the inclusion of a latent period during infection spread modeling.
Advantages: The SIR model with vaccination and mutations enables a more realistic forecasting and validation of different vaccination campaign scenarios. Incorporating the possibility of reinfection enhances predictions on how virus mutations might impact the spread of infection. The model also allows for evaluating long-term equilibrium possibilities, indicating whether the infection may completely disappear or persist with a low number of infected individuals. The SIR model with vaccination has been used in studies of influenza spread in Germany [60] and the USA [61]. A similar approach has been applied to model the spread of measles in Nigeria [62], analyze varicella-zoster virus dynamics [63], and investigate COVID-19 spread [64]. An extended SEIR model has been employed to model COVID-19 spread in China [65] and to study the spread of the Ebola virus [66].
Drawbacks: The issues of population homogeneity are like those in the classic SIR model. The SIR model with vaccination and mutations is quite complex, containing many parameters and, therefore, is sensitive. Small inaccuracies in initial data and other parameters can lead to incorrect long-term results. Unfortunately, computational errors can accumulate. The complexity of interpreting results increases, raising the risk of excessive reliance on modeling outcomes. Model calibration and tuning can be time-consuming. A significant challenge in using the SEIR model is determining the end of the latent period, as an individual may become infectious before any symptoms are observed. Consequently, including an exposed compartment in the model may introduce additional errors when assessing the spread of poorly understood or newly emerging infections.
2.6. Incorporating Diffusion Dynamics in the SIR Model
To analyze compartment density, the concept of infection spread diffusion is introduced into the SIR model, characterizing the dispersion of compartments around spatial coordinates. Diffusion allows for describing the impact of individual mobility and spatial distribution on infection spread. Higher diffusion theoretically leads to faster infection spread within a given spatial dimension. By incorporating a diffusion component into the SIR model, it is possible to determine the sizes of compartments , and at any given time . Simultaneously, this approach allows us to visualize the cross-section of each compartment, showing the density of individuals , and around each coordinate on the spatial grid.
The SIR model with diffusion is represented by a transfer diagram (see Figure 8). In this model, diffusion is considered an internal process within each compartment, so it is visualized with a cloud symbol.
Figure 8.
Transfer diagram of SIR model with diffusion (with ).
The SIR model with diffusion is described by a system of partial differential equations (PDEs) (13):
In this case, the following applies:
- —the number of susceptible individuals (and simultaneously their density) at spatial location and time .
- —the number of infectious individuals (and simultaneously their density) at spatial location and time .
- —the number of recovered individuals (and simultaneously their density) at spatial location and time .
- —diffusion coefficients that indicate the rate at which individuals disperse within the space of each corresponding compartment.
- x—represents spatial parameters at time , specifically as 1D , 2D , or 3D spaces, corresponding to compartment stretching along a path, dispersion within a region, or within a high-rise district.
- —Laplacian operators that describe the spatial dispersion, or diffusion, of and . In the 1D case, ; in the 2D case, ; and in the 3D case, . The same conditions apply to and .
The system of Equation (13) for a 1D space, using the Laplacian operator, can be written in a simplified form (14), where .
The model applies Neumann boundary conditions for a closed system with , meaning zero gradients at the boundary values and .
Diffusion coefficients are critical parameters that describe the rate of movement of individual’s along spatial coordinate. For each compartment, the diffusion coefficient can be calculated in units of , for example, . The diffusion coefficients determine the model’s sensitivity, so calculating them accurately can be very challenging. The use of a diffusion method allows for the identification of critical areas of infection spread, where necessary public health measures can be implemented.
Advantages: The SIR model with diffusion allows us to represent compartment density in 1D, 2D, or 3D space, taking mobility effects into account. This enables, in theory, better long-term predictions of infection spread. This is particularly important in situations where population density varies across a region. Diffusion-based models can better capture real-world scenarios, where infection spreads both temporally and spatially. The extended SIR model with diffusion has been used in COVID-19 research [67,68], as well as in studies on Dengue fever [69] and to evaluate the spread dynamics of tuberculosis [70].
Drawbacks: The diffusion approach may not be suitable for the early stages of infection spread when observational data are limited. Although SIR models with diffusion can theoretically provide more detailed predictions of disease spread, they are extremely sensitive to diffusion parameters. Diffusion coefficients can vary significantly across geographic locations and age groups. A suitable diffusion model will be sensitive, complex, and challenging to calibrate. In the diffusion SIR model, the number of computational operations increases, as does the risk of accumulated computational errors, because the Laplacian operator must be calculated for each time step and each spatial coordinate , depending on the spatial grid resolution. The results of diffusion modeling are difficult to interpret, introducing a substantial risk of subjective decision making.
2.7. Stochastic SIR Model—Introducing Noise to Deterministic Dynamics
The stochastic SIR model accounts for the uncertainty of infection spread. In this case, the deterministic classic SIR model is supplemented with a stochastic component if the transitions between compartments occurs with a predefined probability. However, there can also be a purely stochastic model, where transitions between compartments , and occur with probabilities and calculated at each time step. These probabilities are determined by the state of each compartment, along with the constants , and a theoretical probability distribution, typically a binomial distribution (an individual is either infectious or recovered). The dynamic of the stochastic SIR model is represented by a transfer diagram (see Figure 9).
Figure 9.
Transfer diagram of stochastic SIR model (w/binomial distribution).
The stochastic SIR model can be described using Markov chains. In Markov chains, the future state of the system, which occurs with probabilities and , depends only on the current state and not on previous events. The changes in compartments , and in the stochastic SIR model are described by the equations shown below (15):
where
and
The binomial distribution represents a situation with a specific number of independent trials (in this case, the values of and , where each trial has two outcomes). The probabilities and are calculated at each time moment .
Advantages: Stochastic models are useful for simulating infection spread in small or closed populations, where random effects can have a significant impact. A stochastic model may also be effective for short-term forecasting and at the onset of infection spread, when there are still insufficient reliable observational data. Stochastic SIR models are used for modeling the spread of various infections. Markov chains have been applied in studies on COVID-19 spread in Kuwait [71] and to investigate the effect of the vaccination [72]. Monte Carlo methods [73], Langevin equations [74], and the Fokker–Planck approach [75] have also been used to analyze COVID-19 dynamics. To generate random time sequences during infection spread studies, Gillespie’s algorithms [76] have been used in researching HIV/AIDS transmission. Master equations have been applied in cases where different probability distributions are required at various stages of infection spread [77]. They were also used to model the 1978 influenza epidemic in an English boarding school [78].
Drawbacks: However, the results generated by a stochastic analytical model can sometimes be overly optimistic, potentially giving a misleading impression of the infection’s spread rate and scope. Solving a stochastic model may require additional computational and time resources, as many simulation experiments are needed to achieve statistically significant results. Stochastic mathematical modeling is highly sensitive to parameter changes, and there is a potential increase in accumulated computational errors. To mitigate additional risks, it is recommended to validate the results of a stochastic mathematical model with either a deterministic model or a stochastic ABM.
2.8. Network Model—Tracking Compartment Changes via Individual Status
The SIR network model represents compartments as a graph , where the nodes are individuals forming each compartment , and . In a diffusion model, each compartment is dispersed around a spatial coordinate, meaning its density changes, while the compartment itself remains cohesive. If the compartment is a unified whole, then during modeling, the entire compartment’s state changes simultaneously over each time step .
In a network model, all compartments are distributed throughout the overall network. The network approach allows us to track the state of each node or individual during the modeling session, as well as assign a unique behavioral algorithm to each node. This enables the creation of heterogeneous models. The SIR network model is an effective tool for analyzing and forecasting infection spread at the individual level. It provides a more accurate analysis of infection spread dynamics by considering real contact patterns and individual characteristics.
In a network model, nodes are connected by links , where the number of links connected to each node represents the number of contacts for each individual . The state of each node at time is determined by the node’s current state at time , transition probability , and the presence of infected nodes at time .
Each node can be in one of three binary states at time . Each node (individual) has several connected nodes (contacts) , or links, some of which may be infected, denoted as , where .
If node is susceptible at time , then the probability, that it remains susceptible in the next time step (18) is as follows:
The probability, that the node will become infected (19) is the opposite:
where is the probability of infection for node if it is connected to infected node .
If is a constant in the deterministic SIR model, then in the networked SIR model, is calculated for each node (20) based on its number of links and the probability that any of these links are infected. If the number of contacts is known, each with infection probability , then the infection probability, for a node can be calculated as follows:
If some of the links are infected, denoted as where , then the probability (21) that will be infected in the next step is
Alternatively, the node will be recovered (22) with the following probability:
Or the node will remain uninfected (23), even though it is susceptible
In the equations described above, represents the recovery probability of node , assumed to be equal to the recovery rate. Recovery is considered an individual process that is unaffected by the states of adjacent nodes. This means that all infected nodes can recover in each subsequent time step with a probability of .
If node is infected at time , then the transition to the recovered state in the next time step (24) is determined by the probability
Or the infected node will remain infected (25) with the following probability:
An adjacency matrix () can be used to describe the graph and define initial conditions (links between nodes), along with a state vector () (indicating which compartment each node belongs to).
Attribute lists (26) can also be used to describe the network, defining the graph’s nodes and edges , where is the state of node , and . Set includes links between and , where .
For implementing a network model, both graph analysis approaches and simulation methods based on cellular automata or ABM modeling can be used. Each of these approaches has its own advantages and drawbacks.
2.8.1. Graph-Based Models
Graph theory-based methods provide an accurate description of the network. Implementing an SIR network model using graph methods has the following characteristics.
Advantages: The network SIR graph model more accurately reflects infection spread by accounting for individuals’ real and direct social contacts, which are the cause of transmission when infection is carried by individuals rather than vectors. A unique advantage of the network model is its ability to individualize the infection spread process, as the compartment status (S, I, or R) of each node is precisely known at every moment in time.
The model allows for identifying infection super-spreaders and clusters of high transmission intensity. It is possible to study how infection can be controlled by interrupting specific contacts (breaking the network) or implementing social distancing measures in certain parts of the network.
Network models are frequently used in analyzing the spread of COVID-19 [79,80,81] and have also been applied in studies on common cold, cholera, Marburg virus, Ebola, SARS, and MERS [82]. Graph theory has been used to describe knowledge about epidemic spread [83]. The network model can be useful for studying infection transmission in metapopulations [84].
Drawbacks: To use a network SIR model based on graph theory, precise data on the structure of the social network and the potential number of contacts are required, which typically become available only after an extended observation. This limits the model’s applicability in the early stages of infection spread. Developing, calibrating, scaling, and validating the model is complex and labor-intensive. The workload depends on whether the infection transmission mechanism can be adapted to existing network model simulation tools. However, modifying and adjusting an existing model can also be labor-intensive.
2.8.2. ABM for Network Simulation
In network model implementations, the ABM approach is the most used solution. While cellular automata are sometimes used as an alternative to ABM, this method imposes agent uniformity, which significantly limits model functionality, making cellular automata less justified for current applications. Various ABM simulation environments are available for developing and simulating the SIR ABM model. Comprehensive reviews of ABM tools can be found in several sources [85,86,87,88]. However, these reviews should be interpreted with caution, as they often include tools where agent-based simulation is merely a secondary feature.
ABM environments can be categorized into three groups based on tool functionality and the level of skills required for effective use. The first group includes ABM tools designed for users who may lack software engineering knowledge. Here, models are created in the form of interactive visualizations, though their size and functionality are limited. A typical example is AgentSheets [89]. The second group consists of tools that require programming skills for full functionality. These tools, such as NetLogo [90], offer broader functionality suitable for building epidemiological models. The third group includes ABM tools that cannot be used effectively without substantial software engineering knowledge, such as Repast Simphony [91]. For implementing ABM models, integrated simulation environments can be used, which support various types of system modeling (system dynamics, discrete-event systems, agent-based models). An example is AnyLogic [92], although these environments are typically closed, making it challenging to integrate developed epidemiological models with other modeling systems.
Advantages: The advantage of ABM lies not only in its ability to individualize the contents of compartments , and but also in allowing each agent to have a distinct behavior model. This enables the creation of heterogeneous models for infection spread research. By linking the network SIR ABM model with a Bayesian network [2], it is possible to predict everyone’s probability of infection at any time . The ABM approach can be applied at any stage of infection spread and is frequently used for simulating network models of infection transmission [93,94,95]. ABM has been employed to model COVID-19 spread in closed populations in South Korea [96] and France [29]. ABM offers excellent, versatile functionality as well as good scalability. It has also been used to model measles outbreaks in 33 Irish cities of various sizes, with populations ranging from 390 to 9458 [97].
Drawbacks: Applying the ABM method typically involves modifying existing software or designing new ABM models. This means that developing a network model based on ABM can be comparable to designing new software, which is both costly and time-consuming. Building a reliable ABM model will likely require the involvement of programmers, which may affect the model’s long-term sustainability. Additionally, fine-tuning ABM models requires expertise. Constructing an accurate network model structure can also be challenging due to ABM grid constraints, potentially leading to modeling inaccuracies.
The notation and principles of the most popular epidemiological models derived from the classic SIR were examined, explaining the theoretical advantages and drawbacks of each model. The analysis aimed to identify the key characteristics of each basic model that may affect its suitability for modeling malware spread. Each of these basic models can be enhanced with additional functionalities. For instance, the SIR model can be extended with an exposed compartment (forming the SEIR model), which allows for modeling quarantine and incubation periods. Each compartment also can be divided into multiple parts, simulating heterogeneity and other important characteristics.
The main factors in assessing a model’s suitability for malware modeling include its applicability in the early stages of infection spread, requirements for the modeling object (homogeneity vs. heterogeneity and common changes vs. an individual approach), sensitivity, cumulative errors, accuracy, sustainability, operational management, complexity, structural transparency, the clarity and interpretability of results, and the development and adaptation efforts asked.
Further, the results of solving a unified control example are presented. Modeling is conducted in a Python environment using the Matplotlib, Pandas, NumPy, and SciPy libraries. The Euler numerical method is applied for solving mathematical models, while ABM simulation is implemented in the NetLogo environment.
3. Results
A comparative analysis of the core models for infection spread introduced earlier is presented. Using a unified control example with analogous initial conditions, the results highlight differences in the behavior of these models and deviations in infection spread forecasts. Particular attention is paid to the curve representing changes in infectious compartment during the early stages of infection spread.
3.1. Application Results of the Classic SIR Model
Task 1. Initial conditions: Let us assume that , but and . Infection rate , but recovery rate . The modeling session length is 100 time units, but time unit (see Figure 10).
Figure 10.
Task 1. SIR model (2) modeling, where .
Since the basic reproduction number is high, , the infection spreads rapidly and declines primarily due to a lack of susceptible individuals. The SIR model is sensitive to changes in the constants and . The value of has a significant impact on infection spread (see Figure 11).
Figure 11.
Task 2. SIR model (2) modeling, where .
Task 2. Initial conditions: Let us assume that , but and . Infection rate , but recovery rate . The modeling session length is 100 time units, but time unit (see Figure 11).
As the value of decreases, the size of the infected population, , and the intensity of spread also decrease, but the duration of the epidemic-related burden period increases. If infection rate is constant while recovery rate changes, such conflicting effects are not observed (see Figure 12).
Figure 12.
Task 3. SIR model (2) modeling, where .
Task 3. Initial conditions: Let us assume that , but and . Infection rate , but recovery rate . The modeling session length is 100 time units, but time unit (see Figure 12).
The modeling results show that as the recovery rate increases, both the extent of infection spread and the duration of the epidemic decrease.
3.2. Modeling Outcomes for the SIR Model with Vital Dynamics
Task 4. Initial conditions: Let us assume that , but and . Infection rate , recovery rate , but and . The modeling session length is 100 time units, but time unit (see Figure 13).
Figure 13.
Task 4. SIR model with demography (5) modeling, where .
As population increases, the number of susceptible individuals increases, making the fight against infection spread more prolonged. The SIR model with vital dynamics is a useful extension of the SIR model that can be applied in later stages of infection spread or when analyzing scenarios where the infection persists within the population.
3.3. Results from Applying the SIS Model
Task 5. Initial conditions: Let us assume that , but . Infection rate , but recovery rate . The modeling session length is 100 time units, but time unit (see Figure 14).
Figure 14.
Task 5. SIS model (9) modeling, where .
The modeling results indicate a continuous, long-term presence of infection within the population, as individuals return to the susceptible compartment after recovery. Since , there is initially a rapid spread of infection . However, this rapid increase slows over time as the number of susceptible individuals in compartment decreases. The intersection of and serves as an indicator of dynamic equilibrium, suggesting that the infection is near its peak spread and will soon stabilize.
3.4. SIR Model Results: Vaccination and Mutation Effects
Task 6. Initial conditions: Let us assume that , but , , . Infection rate , but recovery rate . Vaccination rate , and the fraction of recovered population that could be re-infected after is but the fraction of vaccinated population that loses immunity after is time units. The modeling session length is 100 time units, but time unit (see Figure 15).
Figure 15.
Task 6. SIR model with vaccination and mutations (11) modeling, where .
A comparison (see Figure 16) between the results of the classic SIR model (2) (see Figure 10) and the SIR model with vaccination and mutations (11) (see Figure 15) shows that in Task 6, the number of susceptible individuals decreases as the vaccination process moves individuals from the susceptible population to the vaccinated population compartment , thereby slowing the spread of the infection.
Figure 16.
SIR classic (2) vs. SIR with vaccination and mutations (11).
In the SIR model with vaccination and mutations, the peak number of infected individuals is lower than in the classic SIR model without vaccination, while the total volume of the recovered compartment increases more rapidly. The results of the SIR model with vaccination and mutations show improved control of infection spread, which is essential for preventing healthcare system overload.
3.5. Evaluation of SIR Model Results with Diffusion
Task 7. Initial conditions: Let us assume that , but and . Infection rate , but recovery rate . One-dimensional 1D The modeling session length is 100 time units, but time unit (see Figure 17).
Figure 17.
Task 7. Classic SIR model (2) vs. SIR model w/diffusion (13) modeling, where and .
In this case, , and are functions of two variables. These functions describe the spatial spread of the infection and, more specifically, indicate how the compartments are distributed along the spatial coordinate . Initially, the highest density of infected individuals is located at , but over time, it disperses. These spatial results are difficult to interpret and allow for a high degree of subjectivity. Therefore, it is often preferable to compare the overall change curves of compartments , and with those from the classic SIR model.
In this model, diffusion effectively dampens the spread of infection because a portion of individuals are distributed along the spatial coordinate. While this approach can theoretically be appealing, it carries risks and may lead to an inaccurate perception of the infection’s rate and extent of spread. Applying a diffusion model requires highly precise observational data, which are often unattainable in the early stages of an infection’s spread. Even with minimal diffusion coefficients, the SIR model with diffusion shows significantly different results, and the infection spread forecast in this model appears suspiciously optimistic.
3.6. Findings from the Stochastic SIR Model
Task 8. Initial conditions: Let us assume that , but and . Infection rate , but recovery rate . Binomial distribution is applied. The modeling session length is 100 time units, but time unit (see Figure 18).
Figure 18.
Task 8. Classic SIR model (2) vs. stochastic SIR model (15–17) modeling ().
Although the initial modeling conditions are the same and the final boundary values are similar, the classic SIR model and the stochastic analytical SIR model depict different patterns of infection spread. The stochastic curve reflects a slower spread of infection and a lower number of infected individuals compared to the curve in the classic SIR model. While stochasticity is considered essential in the early stages of infection spread, discrepancies in the results are noticeable throughout the entire infection spread process.
3.7. Implementing Network SIR Models
3.7.1. Graph Theory Application in Network Modeling
First, a free-scale graph is generated, within which the modeling area is defined. Within this area, randomly placed nodes are marked according to the initial conditions, and connections between nodes are established. This approach creates a precise structure for the graph model, as no spatial constraints are applied in this representation. Infection probability and the initial conditions, which determine the varied distribution of individuals within the graph, lead to differences in the modeling results. The simulations are repeated until statistically reliable results are achieved, meaning the outcome conforms to a normal probability distribution with a required credibility of 95%. This conformity is verified using the Kolmogorov–Smirnov test.
The Python libraries NetworkX, Matplotlib, and Graph-tool are used for simulating and analyzing the SIR graph.
Task 9. Initial conditions: Let us assume that population (nodes) , but and . The initial placement of infected individuals in the network is random. Everyone (node) has a contact count (links) . The probability that at least one contact is infectious is (calculated for the node with infected neighbors), but recovery rate . The modeling session length is 100 time units, but time unit. The simulation number is 100 (see Figure 19).
Figure 19.
Task 9. Classic SIR model (2) vs. stochastic SIR network model (18–25) modeling ().
The results of the network-based SIR model show that infection spreads more rapidly through the network, as initially infected nodes quickly transmit the infection via direct connections to neighboring nodes. However, the rate of the spread depends on the initial placement of infected nodes. The classic SIR model assumes simultaneous exposure across the compartment, leading to a slower and more uniform spread. The network-based SIR model considers an individual’s network structure within the graph, including the number of contacts and infection pathways. This approach enables predictions of both the overall changes in each compartment and the status of everyone at any given time .
3.7.2. SIR ABM Model Simulation Results
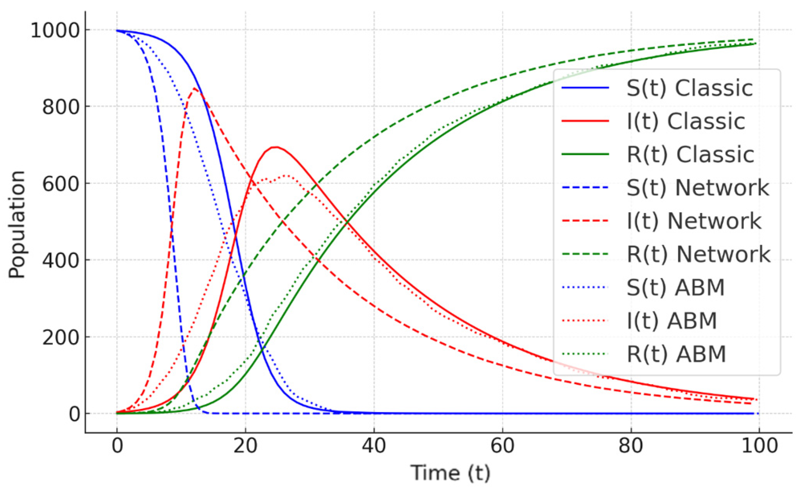
Task 10. Initial conditions: Let us assume that population (nodes) , but and . The initial placement of infected individuals in the network is random. Everyone (node) has a contact count (links) . Infection probability , but recovery probability (see Figure 20 and Figure 21).
Figure 20.
Task 10. Network SIR ABM model desktop in NetLogo environment ().
Figure 21.
Task 10. Classic SIR model (2) vs. network SIR vs. SIR ABM model (18–25) modeling ().
The modeling session length is 100 time units, but time unit. The simulation number is 100.
In accordance with Task 10 requirements, the SIR network ABM model developed in NetLogo [98] (see Figure 20) enables the simulation of the network model based on initial conditions and parameters such as and . Any other ABM simulation environment can be used instead of NetLogo.
These initial conditions are the same as in Task 9. Initially, individuals are randomly placed within the network (grid), allowing an observation of compartment density changes and infection spread across various regions of the grid.
In this case, each agent is connected to neighbors located to its right, left, above, and below. If an agent belongs to compartment and has a neighboring agent of compartment , it can become infected with probability , transitioning to an infectious state. The probability that any agent in compartment will recover at time is . Meanwhile, agents in compartment maintain their state unchanged.
The accuracy of modeling is influenced by structural limitations in implementing the ABM model. Agents are randomly placed, and some may be located near grid edges, limiting their potential number of links.
Another issue arises with generating the agent grid. For the initial conditions to yield suitable results, the grid should preferably be regular with and , but this is not always feasible. Consequently, the grid may have gaps or an irregular arrangement of agents near its edges. These factors impact the overall modeling accuracy.
The reliability of the simulation results is assessed using the Kolmogorov–Smirnov test.
The classical SIR model and the ABM SIR model yield comparable results. The ABM SIR model shows only a slightly faster spread of infection but does not reach as high a level of infections.
The resulting curves from the ABM model are less smooth due to the impact of previously discussed grid distortions. Nonetheless, the ABM algorithm is straightforward and transparent, and the ABM model is less sensitive to cumulative computational errors than the network-based SIR model, which relies on graph processing.
ABM simulations enable a visual observation of the infection spread process over time. During a simulation session, the regions of infection emergence and progression are clearly visible. This approach allows for the easy testing of various initial conditions and development scenarios, supporting data-driven decision making.
4. Discussion
The purpose of the discussion is to address the primary research question regarding which basic infection spread models are most suitable for application in the modeling and description of malware propagation processes.
The key differences between malware and infection spread modeling are as follows:
- Malware propagation, given society’s dependence on digital technologies and social networks, is exceedingly rapid. It far surpasses the spread of any infection. The design of new types of malware is equally swift due to automated processes. The behavior of malware spread aligns with the initial stages of infection transmission (see Figure 1).
- Despite the design differences in digital technologies, malware propagation environments are more homogeneous than society and nature, making the condition of heterogeneity less critical.
- The vaccination of individuals provides a long-lasting or even permanent effect, and some individuals have innate or acquired immunity. In the digital environment, however, cybersecurity measures offer only temporary protection, which does not provide immunity.
- In infection spread modeling, the overall changes in compartments are more important, whereas in the case of malware, the state of each individual or node is crucial to predict the cybersecurity threat to each entity in a timely manner.
The following criteria will be used to determine the suitability of infection spread models:
- Scalability and Homogeneity—describe the model’s ability to specify infection spread across populations of varying scales. In the early stages of infection spread, incorporating demographic changes is of limited importance unless there are rapid, mobility-related shifts. In smaller populations, stochastic effects become more pronounced, favoring the use of a stochastic model over a deterministic one. As the population size increases, it can, in turn, be regarded as more homogeneous and better suited to deterministic modeling. Comparing the results of the deterministic SIR model with a model enhanced by a stochastic component (see Figure 18), it is observed that the stochastic mathematical model depicts a more optimistic course of infection spread, which would be rather risky to rely upon. For this reason, deterministic models are more commonly applied than stochastic analytical models. However, the ABM SIR model is also stochastic (see Figure 21), and its resulting curves—if we set aside grid-induced distortions—align closely enough with those of the classic deterministic SIR model. Additionally, the ABM SIR model provides a clearer depiction of infection density changes (see Figure 20) than the analytical SIR model with diffusion. A significant difference, however, is that the ABM model relies on simulation rather than analytical methods, allowing it to avoid result approximations.
- Robustness and Reliability—characterize the model’s sensitivity to parameter changes. This criterion is also related to the credibility of modeling results, influenced by the number of mathematical operations performed during the modeling process, which inevitably leads to accumulated computational errors. This criterion is also significantly influenced by knowledge of the specific infection or malware and the volume of reliable observational data. Adding extra functions or parameters to infection spread models increases the number of accumulated errors and reduces confidence in the modeling results. A typical example is the analytical modeling of infection spread density (see Figure 17). The diffusion model is highly sensitive, with its coefficients playing a critical role. The incorrect selection of these coefficients can significantly impact modeling results, creating a misleading view of infection spread.Given the limited observational data for the early stages of infection spread and the lack of a precise description of the spread environment, the use of stochastic analytical models may be beneficial. Otherwise, the justification for using these models could be debatable.The authors have consistently used the Euler method in their modeling examples. Employing more precise methods, such as the Heun or Runge–Kutta (RK4) methods, could produce differences of 20% or more in the results. However, there is insufficient justification for using these methods, as the observational data in the early stages of infection spread are not sufficiently precise, but an increase in the volume of computational operations would amplify the number of accumulated errors.
- Complexity and Workload—reflects the complexity of the model’s structure and algorithms, which dictates the computational resources needed and the effort required for model development. Models that rely on high-precision, long-term observational data are unsuitable for analyzing infection spread in its early stages but can be valuable for retrospective assessments. As algorithms grow more complex, the number of computations increases, which in turn raises the potential for accumulated errors, casting doubt on the practicality of using the SIR model with diffusion (see Figure 17). Conversely, analytical models are less labor-intensive as they do not require additional efforts in software development, a consideration that may apply to the SIR ABM approach. When opting for the SIR ABM method, it is beneficial to choose simpler simulation technologies and establish versatile, configurable ABM software from the outset to ensure model sustainability.
- Transparency and Manageability—describe the clarity and transparency of the model, including how easily its structure and algorithms can be understood and its proper functioning verified. This also covers the clarity of result visualization, the unambiguous interpretation of outcomes, and the flexibility for adjusting the model. One of the key challenges is presenting modeling results. The display of results must be clear, transparent, and at the same time, semantically rich [99,100]. In this study, the authors have primarily used the simplest form of result presentation—layered comparison graphs—avoiding 3D representations and animations, which can lead to ambiguous interpretations. The results of the classic SIR model (see Figure 10) are straightforward to review and interpret, and the model is quick and simple to adapt. In contrast, interpreting the results of functions with multiple arguments, such as the SIR model with diffusion, is less clear-cut and requires careful data post-processing, posing a high risk of subjective interpretation. The visualization and interpretation of network graph models are similarly complex. Meanwhile, the SIR ABM model allows step-by-step control over the modeling process, with results that are readily accessible and interpretable.
- Aggregation—indicates whether the model describes only overall changes within each compartment or can also be used to track changes in each individual’s state. All the analytical models mentioned above, based on ODEs or PDEs, calculate overall changes within each compartment over time . Graph models and ABM models, on the other hand, enable tracking changes in everyone’s status, where the total of these individual changes represents the overall change in the compartment. This means that the ABM approach is more versatile and can take the place of analytical models, but analytical models lack the flexibility to fully replace ABM.
The comparative and qualitative assessment of the set of epidemiological models is summarized in Figure 22, abstracting from the specifics of malware spread. A 3-point Likert scale is used for models’ evaluation: 1—poor, 2—satisfactory, and 3—good. The assessment is based on the authors’ experience in modeling and simulation, the epidemiological model analysis mentioned earlier.
Figure 22.
Summary of characteristics of infection spread models.
When selecting an appropriate model to specify malware spread, it is essential to consider the unique characteristics of the digital environment and the specific nature of malware. Evidently, the first step in critical situations is to use the deterministic ODE classic SIR model to assess overall system changes.
As the volume of observational data increases, the SEIR model offers clear advantages, as it accounts for the latent period of infection spread, as well as the impacts of vaccination and mutations. In the early stages of infection spread, demographic changes are not a significant factor. By dividing the susceptible and recovered compartments into multiple segments, it is possible to describe heterogeneous systems. However, implementation is more effective within an ABM simulation environment, which allows for observing changes in infection density and identifying critical infection regions. Using ABM enables us to track each node’s status changes, personalizing infection spread predictions and facilitating timely, targeted preventive measures.
5. Conclusions
Society can be viewed as a sociotechnical system—a symbiosis of the social environment and technologies, where the social component drives technological development demands, and technological advancements, in turn, influence the social environment. A similar feedback loop is observed in research: methods that are well established in technical system control are later applied in the modeling and management of social systems, and enriched with new insights, they return to the engineering domain. Likewise, infection spread models can be adapted and applied in the digital environment to model malware propagation.
A diverse range of experience has been accumulated in infection spread modeling, and there is a broad spectrum of available models. However, the conditions for applying each model are often insufficiently substantiated. A similar diversity exists among malware propagation models, yet the choice of a specific model is often more intuitive and rarely considers the unique characteristics of the digital environment and technologies.
There are several alternatives in model selection: deterministic vs. stochastic, planar vs. spatial, and analytical vs. simulation-based, as well as models that describe overall compartment changes vs. those that track individual state changes.
Each of these models and groups possesses specific characteristics that determine their applicability at particular stages of malware spread. The choice depends on factors such as environmental homogeneity, the volume of observational data, population/network size, model sensitivity, algorithm complexity, development effort, manageability, and ease of implementation, as well as result transparency and unambiguous interpretation. The model’s algorithm should be as simple as possible; otherwise, the volume of operations and accumulated errors increases. Another critical issue is the sensitivity of certain models, which sets high requirements for the precision of observational data.
Malware propagation resembles the early stages of infection spread, when observational data are minimal, yet the number of infected individuals increases rapidly. For initial outbreaks, deterministic models, particularly the ODE-based analytical classic SIR model, provide a straightforward approach to gauge overall system changes with minimal computational demand. These models allow for quick evaluations, which is crucial in the critical early hours of a malware outbreak when the goal is a rapid response rather than precision. Given the limited availability of early-stage data, the SIR model serves as an effective tool to estimate trends without requiring detailed individual-level data, making it suitable for rapid assessments and informing immediate containment efforts.
As more data become available, enhanced models, such as the SEIR with vaccination and mutation extensions, offer a refined approach. These models incorporate the latent period, mutation effects, and temporary immunity, which parallels how malware evolves with each iteration. This feature allows researchers to simulate more realistic scenarios where malware variants may evade initial defenses. Moreover, these enhanced models emphasize the temporary nature of digital immunity, underscoring the importance of continuous vigilance and the adaptation of cybersecurity measures.
For a comprehensive analysis, network models (graph and ABM) allow for node-level tracking, revealing infection density and critical pathways. A stochastic SEIR network model based on ABM simulation allows each agent to represent a unique entity within a network, mirroring real-world diversity in device types, user behaviors, and security vulnerabilities. This individual-based approach is particularly valuable in identifying super-spreaders or critical nodes that could serve as points of intervention, aligning with strategies used in physical infection control. The ABM approach allows one to easily replace the classic SIR analytical solution with simulation for representing both overall compartment changes and tracking the states of individual nodes.
In summary, infection spread models adapted for digital networks can serve as an effective framework for malware propagation analysis. While each model has inherent strengths and limitations, their combined application offers a multi-faceted approach to understanding malware dynamics across diverse stages and environments. Deterministic models are advantageous for initial assessments, while stochastic network models provide in-depth analysis as data accumulate.
Moving forward, a modular approach that enables switching between models based on real-time conditions could improve response agility. Furthermore, establishing universal, configurable ABM software modules, adaptable to both small-scale simulations and large digital ecosystems, would help bridge the gap between academic research and practical cybersecurity applications, making this approach sustainable for real-world usage. Such advancements will be crucial as malware continues to mimic biological infection patterns with increasing sophistication, requiring cybersecurity strategies that are as dynamic and adaptive as the threats they are designed to mitigate.
This study also acknowledges limitations such as model sensitivity to parameter variations and accumulated computational errors in complex systems like diffusion models. For instance, models that include diffusion coefficients demand highly accurate parameter calibration, which can be challenging to obtain, particularly for early-stage malware data. Addressing these challenges could involve developing AI-assisted models that can autonomously adjust parameters based on real-time network data, enhancing both model robustness and adaptability.
As cyber threats evolve—especially with AI-generated malware capable of rapid adaptation—further research into hybrid models that combine deterministic and stochastic elements could be beneficial. Integrating Bayesian networks with ABM simulations, for example, might enable real-time infection probability assessments for individual nodes, enhancing the timeliness and precision of threat predictions.
Author Contributions
Conceptualization, E.G. and U.D.; methodology, E.G. and U.D.; software, E.G.; validation, A.M. and M.A.R.E.; formal analysis, M.A.P.E. and M.A.R.E.; data curation, E.G.; writing—original draft preparation, E.G.; writing—review and editing, E.G., U.D., K.N., L.C.L. and M.A.P.E.; visualization, K.N.; supervision, E.G. All authors have read and agreed to the published version of the manuscript.
Funding
This research received no external funding.
Data Availability Statement
The data presented in this study are openly available in https://doi.org/10.5281/zenodo.13940933.
Conflicts of Interest
The authors declare no conflicts of interest.
References
- von Bertalanffy, L. General Systems Theory: Foundations, Development, Applications; George Braziller: New York, NY, USA, 1968; 289p, Available online: https://monoskop.org/images/7/77/Von_Bertalanffy_Ludwig_General_System_Theory_1968.pdf (accessed on 18 September 2024).
- Ginters, E.; Revathy, J.G. Hidden and Latent Factors’ Influence on Digital Technology Sustainability Development. Mathematics 2021, 9, 2801. [Google Scholar] [CrossRef]
- Fenn, J.; Raskino, M. Mastering the Hype Cycle: How to Choose the Right Innovation at the Right Time; Harvard Business Press: Boston, MA, USA, 2008. [Google Scholar]
- Ginters, E. New Trends Towards Digital Technology Sustainability Assessment. In Proceedings of the Fourth World Conference on Smart Trends in Systems, Security and Sustainability (WorldS4), London, UK, 27–28 July 2020; pp. 184–189. [Google Scholar] [CrossRef]
- Trist, E.L.; Bamforth, K.W. Some Social and Psychological Consequences of the Longwall Method of Coal-Getting: An Examination of the Psychological Situation and Defenses of a Work Group in Relation to the Social Structure and Technological Content of the Work System. Hum. Relat. 1951, 4, 3–38. [Google Scholar] [CrossRef]
- Ginters, E.; Aytekin, M.A.; Ecis, P.; Cirss, M.; Rozitis, R.; Husamudeen, J.M.; Xavier, F.; Aleksejevs, A.; Millers, D.; Rozenberga, E.; et al. Approach to the Development of a Conceptual Model of a Sociotechnical System Based on Digital Technologies. In Proceedings of the 2022 6th European Conference on Electrical Engineering & Computer Science (ELECS), Bern, Switzerland, 21–23 December 2022; pp. 36–46. [Google Scholar] [CrossRef]
- World Population Review. Computers per Capita by Country 2024. World Population Review. 2024. Available online: https://worldpopulationreview.com/country-rankings/computers-per-capita-by-country (accessed on 10 September 2024).
- Patrizio, A. What’s the Difference Between Malware and a Virus? Avast. 2020. Available online: https://www.avast.com/c-malware-vs-virus (accessed on 10 September 2024).
- Latto, N. What Is a Computer Virus and How Does It Work? Avast. 2022. Available online: https://www.avast.com/c-computer-virus#:~= (accessed on 10 September 2024).
- Malware. AV-TEST. 2024. Available online: https://www.av-test.org/en/statistics/malware/ (accessed on 29 August 2024).
- Rising Threats: Cybercriminals Unleash 411,000 Malicious Files Daily in 2023. Kaspersky. 2023. Available online: https://www.kaspersky.com/about/press-releases/2023_rising-threats-cybercriminals-unleash-411000-malicious-files-daily-in-2023 (accessed on 29 August 2024).
- Global Cyber Security Market By Component (Solutions and Services), By Deployment Mode, By Enterprise Size, By Industry Vertical, By Region and Companies—Industry Segment Outlook, Market Assessment, Competition Scenario, Trends, and Forecast 2023–2032. Market.us. Available online: https://market.us/report/cyber-security-market/ (accessed on 10 September 2024).
- Iftekhar, E.N.; Priesemann, V.; Balling, R.; Bauer, S.; Beutels, P.; Valdez, A.C.; Cuschieri, S.; Czypionka, T.; Dumpis, U.; Glaab, E.; et al. A look into the future of the COVID-19 pandemic in Europe: An expert consultation. Lancet Reg. Health—Eur. 2021, 8, 100185. [Google Scholar] [CrossRef]
- Keeling, M.J.; Rohani, P. Modeling Infectious Diseases in Humans and Animals; Princeton University Press: Princeton, NJ, USA, 2008; p. 384. [Google Scholar] [CrossRef]
- Halloran, M.E. Concept of Infectious Disease Epidemiology. In Modern Epidemiology; Rothman, K.J., Greenland, S., Eds.; Lippincott-Raven: Philadelphia, PA, USA, 1998; pp. 529–554. Available online: https://www.proyectosame.com/ds_articulos/Halloran_1998_Concepts_of_infectious_disease_epidemiology.pdf (accessed on 19 September 2024).
- Hethcote, H.W. The Mathematics of Infectious Diseases. SIAM Rev. 2000, 42, 599–653. [Google Scholar] [CrossRef]
- Brauer, F.; Castillo-Chavez, C.; Feng, Z. Mathematical Models in Epidemiology; Texts in Applied Mathematics; Springer: Cham, Switzerland, 2019; Volume 69, 625p. [Google Scholar] [CrossRef]
- Shulman, L.M. Infectious Diseases. A Volume in the Encyclopedia of Sustainability Science and Technology, 2nd ed.; Springer: Berlin/Heidelberg, Germany, 2023; p. 487. [Google Scholar] [CrossRef]
- Liu, G.; Tan, Z.; Liang, Z.; Chen, H.; Zhong, X. Fractional Optimal Control for Malware Propagation in Internet of Underwater Things. IEEE Internet Things J. 2024, 11, 11632–11651. [Google Scholar] [CrossRef]
- Martín del Rey, A. New Trends on Malware Propagation: From IoT Environments to Drone Swarms. In Mathematical Methods for Engineering Applications. ICMASE 2023; Gayoso Martínez, V., Yilmaz, F., Queiruga-Dios, A., Rasteiro, D.M., Martín-Vaquero, J., Mierluş-Mazilu, I., Eds.; Springer Proceedings in Mathematics & Statistics; Springer: Cham, Switzerland, 2024; Volume 439, pp. 197–207. [Google Scholar] [CrossRef]
- Asadi, E.; Soodeh, H. Modeling of Malware Propagation Under the Clustering Approach in Scale-Free Networks. Sec. Privacy 2024, 8, e465. [Google Scholar] [CrossRef]
- Hosseini, S.; Azgomi, M.A. The Dynamics of an SEIRS-QV Malware Propagation Model in Heterogeneous Networks. Phys. A Stat. Mech. Appl. 2018, 512, 803–817. [Google Scholar] [CrossRef]
- Chernikova, A.; Gozzi, N.; Perra, N.; Boboila, S.; Eliassi-Rad, T.; Oprea, A. Modeling Self-Propagating Malware with Epidemiological Models. Appl. Netw. Sci. 2023, 8, 52. [Google Scholar] [CrossRef]
- Llamazares-Elías, S.; Tocino, A. Stability Analysis of a Stochastic Malware Diffusion SEIR Model. In Proceedings of the 16th International Conference on Computational Intelligence in Security for Information Systems (CISIS 2023) and 14th International Conference on European Transnational Education (ICEUTE 2023), Salamanca, Spain, 5–7 September 2023; García Bringas, P., Pérez García, H., de Pisón, F.J.M., Álvarez, F.M., Lora, A.T., Herrero, Á., Rolle, J.L.C., Quintián, H., Corchado, E., Eds.; Lecture Notes in Networks and Systems. Springer: Cham, Switzerland, 2023; 748, pp. 197–204. [Google Scholar] [CrossRef]
- Xiao, M.; Chen, S.; Zheng, W.X.; Wang, Z.; Lu, Y. Tipping Point Prediction and Mechanism Analysis of Malware Spreading in Cyber–Physical Systems. Commun. Nonlinear Sci. Numer. Simul. 2023, 122, 107247. [Google Scholar] [CrossRef]
- Casado-Vara, R.; Severt, M.; Diaz-Longueira, A.; Del Rey, A.M.; Calvo-Rolle, J.L. Dynamic Malware Mitigation Strategies for IoT Networks: A Mathematical Epidemiology Approach. Mathematics 2024, 12, 250. [Google Scholar] [CrossRef]
- Gleissner, W. A Mathematical Theory for the Spread of Computer Viruses. Comput. Secur. 1989, 8, 35–41. [Google Scholar] [CrossRef]
- Guerra, F.B.; Martín del Rey, A.; Queiruga-Dios, A. A New Individual-Based Model to Simulate Malware Propagation in Wireless Sensor Networks. Mathematics 2020, 8, 410. [Google Scholar] [CrossRef]
- Hoertel, N.; Blachier, M.; Blanco, C.; Olfson, M.; Massetti, M.; Rico, M.S.; Limosin, F.; Leleu, H. A Stochastic Agent-Based Model of the SARS-CoV-2 Epidemic in France. Nat. Med. 2020, 26, 1417–1421. [Google Scholar] [CrossRef]
- Benomar, Z.; Ghribi, C.; Cali, E.; Hinsen, A.; Jahnel, B. Agent-Based Modeling and Simulation for Malware Spreading in D2D Networks. In Proceedings of the 21st International Conference on Autonomous Agents and Multiagent Systems (AAMAS’22), Virtual, 9–13 May 2022; International Foundation for Autonomous Agents and Multiagent Systems: Richland, SC, USA, 2022; pp. 91–99. [Google Scholar] [CrossRef]
- Alimboyong, C.R. Modeling Virus Spread on a Network Using NetLogo for Optimum Network Management. Indones. J. Electr. Eng. Comput. Sci. 2021, 23, 370–371. [Google Scholar] [CrossRef]
- Del Rey, A.M.; Vara, R.C.; González, S.R. A Computational Propagation Model for Malware Based on the SIR Classic Model. Neurocomputing 2022, 484, 161–171. [Google Scholar] [CrossRef]
- Ficco, M. Detecting IoT Malware by Markov Chain Behavioral Models. In Proceedings of the 2019 IEEE International Conference on Cloud Engineering (IC2E), Prague, Czech Republic, 24–27 June 2019; pp. 229–234. [Google Scholar] [CrossRef]
- Flórez, J.; Montoya, G.A.; Lozano-Garzón, C. An Epidemiological SIS Malware Spreading Model Based on Markov Chains for IoT Networks. In Proceedings of the International Congress on Information and Communication Technology, Singapore, 20–23 February 2023; Springer Nature: Berlin/Heidelberg, Germany, 2023; pp. 663–672. [Google Scholar]
- Alrammal, M.; Naveed, M.; Tsaramirsis, G. A Novel Monte-Carlo Simulation-Based Model for Malware Detection (eRBCM). Electronics 2021, 10, 2881. [Google Scholar] [CrossRef]
- Srinivasan, V.; Marban, A.; Müller, K.-R.; Samek, W.; Nakajima, S. Robustifying Models Against Adversarial Attacks by Langevin Dynamics. Neural Netw. 2019, 137, 1–17. [Google Scholar] [CrossRef] [PubMed]
- Vida, R.; Galeano, J.; Cuenda, S. Identifying Critical Nodes in Multi-Layered Networks under Multi-Vector Malware Attack. Int. J. Complex Syst. Sci. 2013, 3, 97–105. Available online: https://oa.upm.es/53633/1/INVE_MEM_2013_290486.pdf (accessed on 16 October 2024).
- Indratno, S.W.; Antonio, Y. A Gillespie Algorithm and Upper Bound of Infection Mean on Finite Network. In Soft Computing in Data Science; Berry, M., Yap, B., Mohamed, A., Köppen, M., Eds.; Communications in Computer and Information Science, Vol. 1100; Springer: Singapore, 2019. [Google Scholar] [CrossRef]
- König, S.; Schauer, S.; Rass, S. A Stochastic Framework for Prediction of Malware Spreading in Heterogeneous Networks. In Secure IT Systems; Brumley, B., Röning, J., Eds.; Lecture Notes in Computer Science; Springer: Cham, Switzerland, 2016; Volume 10014. [Google Scholar] [CrossRef]
- Chen, J.; Sun, S.; Xia, C.; Shi, D.; Chen, G. Modeling and Analyzing Malware Propagation Over Wireless Networks Based on Hypergraphs. IEEE Trans. Netw. Sci. Eng. 2023, 10, 3767–3778. [Google Scholar] [CrossRef]
- Zhou, Y.; Wang, Y.; Zhou, K.; Shen, S.-F.; Ma, W.-X. Dynamical Behaviors of an Epidemic Model for Malware Propagation in Wireless Sensor Networks. Front. Phys. 2023, 11, 1198410. [Google Scholar] [CrossRef]
- Verma, C.; Gupta, C.P. Effect of Vaccination on Stability of Wireless Sensor Network Against Malware Attack: An Epidemiological Model. SN Comput. Sci. 2024, 5, 240. [Google Scholar] [CrossRef]
- Parsamanesh, M. Global Stability Analysis of a VEISV Model for Network Worm Attack. Univ. Politeh. Buchar. Sci. Bull.-Ser. A-Appl. Math. Phys. 2017, 79, 179–188. Available online: https://www.scientificbulletin.upb.ro/rev_docs_arhiva/full19d_995258.pdf (accessed on 22 December 2024).
- Compartmental Models in Epidemiology. The SIR Model. Wikipedia, n.d. Available online: https://en.wikipedia.org/wiki/Compartmental_models_in_epidemiology#The_SIR_model (accessed on 10 September 2024).
- Kermack, W.O.; McKendrick, A.G. A Contribution to the Mathematical Theory of Epidemics. Proc. R. Soc. A Math. Phys. Eng. Sci. 1927, 115, 700–721. [Google Scholar] [CrossRef]
- Khan, M.S.S. A Computer Virus Propagation Model Using Delay Differential Equations with Probabilistic Contagion and Immunity. Int. J. Comput. Netw. Commun. (IJCNC) 2014, 6, 111–128. [Google Scholar] [CrossRef]
- Hellwig, M. SIR Model as the Basis for a Probabilistic Model. In SIR—Model Supported by a New Density; Springer: Cham, Switzerland, 2022; pp. 5–27. [Google Scholar] [CrossRef]
- Roth, B.J. The SIR Model of Epidemics. Hobbie Roth Blog. 2020. Available online: https://hobbieroth.blogspot.com/2020/11/the-sir-model-of-epidemics.html (accessed on 10 September 2024).
- Weiss, H.H. The SIR Model and the Foundations of Public Health. Mater. Mat. 2013, 2013, 17. Available online: https://mat.uab.cat/matmat_antiga/PDFv2013/v2013n03.pdf (accessed on 10 September 2024).
- COVID-19 and Influenza Surveillance. Virginia Department of Health. 2022. Available online: https://www.vdh.virginia.gov/coronavirus/2022/01/07/covid-19-and-influenza-surveillance/ (accessed on 21 September 2024).
- Wu, J. The Application of SIR Model in COVID-19. In Proceedings of the 3rd International Conference on Computing Innovation and Applied Physics, Stanford, CA, USA, 25 March 2023; pp. 38–44. [Google Scholar] [CrossRef]
- Mohajan, H.K. Mathematical Analysis of SIR Model for COVID-19 Transmission. J. Innov. Med. Res. 2022, 1, 35. Available online: https://mpra.ub.uni-muenchen.de/114390/ (accessed on 15 September 2024).
- Gupta, S.D.; Lal, V.; Jain, R.; Gupta, O.P. Modeling of H1N1 Outbreak in Rajasthan: Methods and Approaches. Indian J. Community Med. 2011, 36, 36–38. [Google Scholar] [CrossRef]
- Hossain, M.T.; Miah, M.M.; Hossain, M.J. A Numerical Study to Predict the Evolution of Yellow Fever Diseases Using Fourth Order Runge-Kutta Method. Int. J. Sci. Eng. Res. 2017, 7, 1040–1046. [Google Scholar] [CrossRef]
- Kim, M.; Kim, Y.; Nah, K. Predicting Seasonal Influenza Outbreaks with Regime Shift-Informed Dynamics for Improved Public Health Preparedness. Sci. Rep. 2024, 14, 12698. [Google Scholar] [CrossRef] [PubMed]
- Ruiz, J.A.; De Carvalho, J.M. SIR Model with Vital Dynamics for Homogeneous Behavior Populations. 2020. Available online: https://www.researchgate.net/publication/350936274_SIR_Model_with_Vital_Dynamics_for_Homogeneous_Behavior_Populations (accessed on 28 September 2024). [CrossRef]
- Hethcote, H.W.; Yorke, J.A. A Simple Model for Gonorrhea Dynamics. In Gonorrhea Transmission Dynamics and Control; Lecture Notes in Biomathematics; Springer: Berlin/Heidelberg, Germany, 1984; Volume 56. [Google Scholar] [CrossRef]
- Lewis, J.; White, P.J.; Price, M.J. Per-Partnership Transmission Probabilities for Chlamydia trachomatis Infection: Evidence Synthesis of Population-Based Survey Data. Int. J. Epidemiol. 2021, 50, 510–517. [Google Scholar] [CrossRef]
- Grunnill, M.; Hall, I.; Finnie, T. Check Your Assumptions: Further Scrutiny of Basic Model Frameworks of Antimicrobial Resistance. J. Theor. Biol. 2022, 554, 15. [Google Scholar] [CrossRef] [PubMed]
- Eichner, M.; Schwehm, M.; Eichner, L.; Gerlier, L. Direct and Indirect Effects of Influenza Vaccination. BMC Infect. Dis. 2017, 17, 308. [Google Scholar] [CrossRef]
- Feng, Z.; Towers, S.; Yang, Y. Modeling the Effects of Vaccination and Treatment on Pandemic Influenza. AAPS J. 2011, 13, 427–437. [Google Scholar] [CrossRef]
- Peter, O.J.; Afolabi, O.A.; Victor, A.A.; Akpan, C.E.; Oguntolu, F.A. Mathematical Model for the Control of Measles. J. Appl. Sci. Environ. Manag. 2018, 22, 571–576. [Google Scholar] [CrossRef]
- Rafiq, M.; Khan, Z.U.; Dayan, F. Numerical Analysis of Varicella Zoster Virus with Vaccination. Sci. Inq. Rev. 2022, 6, 89–104. [Google Scholar] [CrossRef]
- Dong, S.; Xu, L.; A, Y.; Lan, Z.-Z.; Xiao, D.; Gao, B. Application of a Time-Delay SIR Model with Vaccination in COVID-19 Prediction and Its Optimal Control Strategy. Nonlinear Dyn. 2023, 111, 10677–10692. [Google Scholar] [CrossRef] [PubMed]
- Peng, L.; Yang, W.; Zhang, D.; Zhuge, C.; Hong, L. Epidemic Analysis of COVID-19 in China by Dynamical Modeling. arXiv 2020, arXiv:2002.06563. [Google Scholar] [CrossRef]
- Chowell, G.; Nishiura, H. Transmission Dynamics and Control of Ebola Virus Disease (EVD): A Review. BMC Med. 2014, 12, 196. [Google Scholar] [CrossRef] [PubMed]
- Hamaya, Y.; Saito, K. Global Attractivity of a Delayed SEIR Epidemic Model of COVID-19 with Diffusion. J. Math. Sci. 2023, 271, 378–399. [Google Scholar] [CrossRef]
- te Vrugt, M.; Bickmann, J.; Wittkowski, R. Effects of Social Distancing and Isolation on Epidemic Spreading Modeled via Dynamical Density Functional Theory. Nat. Commun. 2020, 11, 5576. [Google Scholar] [CrossRef]
- Li, X.; Wang, Y.; Liu, L. Optimal Control of Dengue Vector Based on a Reaction-Diffusion Model. Math. Comput. Simul. 2023, 203, 250–270. [Google Scholar] [CrossRef]
- Zhang, R.; Liu, L.; Feng, X.; Jin, Z. Existence of Traveling Wave Solutions for a Diffusive Tuberculosis Model with Fast and Slow Progression. Appl. Math. Lett. 2021, 112, 106848. [Google Scholar] [CrossRef]
- Al-Zoughool, M.; Oraby, T.; Vainio, H.; Gasana, J.; Longenecker, J.; Al Ali, W.; AlSeaidan, M.; Elsaadany, S.; Tyshenko, M.G. Using a Stochastic Continuous-Time Markov Chain Model to Examine Alternative Timing and Duration of the COVID-19 Lockdown in Kuwait: What Can Be Done Now? Arch. Public Health 2022, 80, 22. [Google Scholar] [CrossRef]
- Parsamanesh, M.; Abukhaled, M. Stochastic Modeling of Spreading an Infection with Standard Incidence Rate. J. Stat. Manag. Syst. 2024, 27, 1221–1241. [Google Scholar] [CrossRef]
- Maltezos, S.; Georgakopoulou, A. Novel Approach for Monte Carlo Simulation of the New COVID-19 Spread Dynamics. Infect. Genet. Evol. 2021, 92, 104896. [Google Scholar] [CrossRef] [PubMed]
- Maeno, Y. Detecting a Trend Change in Cross-Border Epidemic Transmission. Phys. A Stat. Mech. Appl. 2016, 457, 73–81. [Google Scholar] [CrossRef] [PubMed]
- Bestehorn, M.; Michelitsch, T.M. Epidemiological Model with Fluctuations. 2023, p. 7. Available online: https://hal.science/hal-04194275 (accessed on 12 October 2024).
- Kamina, K.M.; Mwalili, S.; Wanjoya, A. The Modeling of a Stochastic SIR Model for HIV/AIDS Epidemic Using Gillespie’s Algorithm. Int. J. Data Sci. Anal. 2019, 5, 117–122. [Google Scholar] [CrossRef]
- Tome, T.; de Oliveira, M.J. Stochastic Approach to Epidemic Spreading. Braz. J. Phys. 2020, 50, 832–843. [Google Scholar] [CrossRef]
- Jenkinson, G.; Goutsias, J. Numerical Integration of the Master Equation in Some Models of Stochastic Epidemiology. PLoS ONE 2012, 7, e36160. [Google Scholar] [CrossRef] [PubMed]
- Silva, C.J.; Cantin, G.; Cruz, C.; Fonseca-Pinto, R.; Passadouro, R.; Soares dos Santos, E.; Torres, D.F.M. Complex Network Model for COVID-19: Human Behavior, Pseudo-Periodic Solutions and Multiple Epidemic Waves. J. Math. Anal. Appl. 2022, 514, 125171. [Google Scholar] [CrossRef] [PubMed]
- Sanchez, F.; Calvo, J.G.; Mery, G.; García, Y.E.; Vásquez, P.; Barboza, L.A.; Pérez, M.D.; Rivas, T. A Multilayer Network Model of COVID-19: Implications in Public Health Policy in Costa Rica. Epidemics 2022, 39, 100577. [Google Scholar] [CrossRef] [PubMed]
- Armbruster, S.; Reinert, G. Network-Based Time Series Modeling for COVID-19 Incidence in the Republic of Ireland. Appl. Netw. Sci. 2024, 9, 23. [Google Scholar] [CrossRef]
- Kim, K.; Yoo, S.; Lee, S.; Lee, D.; Lee, K.-H. Network Analysis to Identify the Risk of Epidemic Spreading. Appl. Sci. 2021, 11, 2997. [Google Scholar] [CrossRef]
- Venkatraman, Y.; Narayanaa, Y.K.; Balas, V.E.; Rad, D. Graph Theory Applications to Comprehend Epidemics Spread of a Disease. BRAIN Broad Res. Artif. Intell. Neurosci. 2021, 12, 161–177. [Google Scholar] [CrossRef]
- Citron, D.T.; Guerra, C.A.; Dolgert, A.J.; Wu, S.L.; Henry, J.M.; Sánchez, H.M.; Smith, D.L. Comparing Metapopulation Dynamics of Infectious Diseases under Different Models of Human Movement. Proc. Natl. Acad. Sci. USA 2021, 118, e2007488118. [Google Scholar] [CrossRef]
- Wrona, Z.; Buchwald, W.; Ganzha, M.; Paprzycki, M.; Leon, F.; Noor, N.; Pal, C.-V. Overview of Software Agent Platforms Available in 2023. Information 2023, 14, 348. [Google Scholar] [CrossRef]
- Antelmi, A.; Cordasco, G.; D’Ambrosio, G.; De Vinco, D.; Spagnuolo, C. Experimenting with Agent-Based Model Simulation Tools. Appl. Sci. 2022, 13, 13. [Google Scholar] [CrossRef]
- Abar, S.; Theodoropoulos, G.K.; Lemarinier, P.; O’Hare, G.M.P. Agent-Based Modelling and Simulation Tools: A Review of the State-of-Art Software. Comput. Sci. Rev. 2017, 24, 13–33. [Google Scholar] [CrossRef]
- Robertson, D.A. Agent-Based Modeling Toolkits: NetLogo, RePast, and Swarm. Acad. Manag. Learn. Educ. 2005, 4, 524–527. [Google Scholar] [CrossRef]
- Repenning, A.; Sumner, T. Agentsheets: A Medium for Creating Domain-Oriented Visual Languages. Computer 1995, 28, 17–25. [Google Scholar] [CrossRef]
- Wilensky, U.; Rand, W. An Introduction to Agent-Based Modeling: Modeling Natural, Social, and Engineered Complex Systems with NetLogo; MIT Press: Cambridge, MA, USA, 2015; 504p. [Google Scholar]
- North, M.J.; Collier, N.T.; Ozik, J.; Tatara, E.R.; Macal, C.M.; Bragen, M.; Sydelko, P. Complex Adaptive Systems Modeling with Repast Simphony. Complex Adapt. Syst. Model. 2013, 1, 3. [Google Scholar] [CrossRef]
- Emrich, S.; Suslov, S.; Judex, F. Fully Agent-Based Modeling of Epidemic Spread Using AnyLogic. In Proceedings of the EUROSIM 2007—6th EUROSIM Congress on Modeling and Simulation, Ljubljana, Slovenia, 9–13 September 2007; Zupancic, B., Karba, R., Blazic, S., Eds.; 2007; p. 7. Available online: http://hdl.handle.net/20.500.12708/40733 (accessed on 15 September 2024).
- Kou, L.; Wang, X.; Li, Y.; Guo, X.; Zhang, H. A Multi-Scale Agent-Based Model of Infectious Disease Transmission to Assess the Impact of Vaccination and Non-Pharmaceutical Interventions: The COVID-19 Case. J. Saf. Sci. Resil. 2021, 2, 199–207. [Google Scholar] [CrossRef]
- Harweg, T.; Wagner, M.; Weichert, F. Agent-Based Simulation for Infectious Disease Modelling over a Period of Multiple Days, with Application to an Airport Scenario. Int. J. Environ. Res. Public Health 2023, 20, 545. [Google Scholar] [CrossRef] [PubMed]
- Hunter, E.; Mac Namee, B.; Kelleher, J.D. A Taxonomy for Agent-Based Models in Human Infectious Disease Epidemiology. J. Artif. Soc. Soc. Simul. 2017, 20, 2. [Google Scholar] [CrossRef]
- Kim, Y.; Cho, N. A Simulation Study on Spread of Disease and Control Measures in Closed Population Using ABM. Computation 2022, 10, 2. [Google Scholar] [CrossRef]
- Hunter, E.; MacNamee, B.; Kelleher, J. A Comparison of Agent-Based Models and Equation-Based Models for Infectious Disease Epidemiology. CEUR Workshop Proc. 2018, 2259, 33–44. Available online: https://ceur-ws.org/Vol-2259/aics_5.pdf (accessed on 15 October 2024).
- Ginters, E. SIR Agent-Based Model Without Demographics in the NetLogo Environment. Zenodo 2024. [Google Scholar] [CrossRef]
- Nazemi, K.; Burkhardt, D.; Kock, A. Visual Analytics for Technology and Innovation Management. Multimed. Tools Appl. 2022, 81, 14803–14830. [Google Scholar] [CrossRef]
- Sina, L.B.; Secco, C.A.; Blazevic, M.; Nazemi, K. Guided Visual Analytics—A Visual Analytics Guidance Approach for Systematic Reviews in Research. In Artificial Intelligence and Visualization: Advancing Visual Knowledge Discovery; Kovalerchuk, B., Nazemi, K., Andonie, R., Datia, N., Banissi, E., Eds.; Studies in Computational Intelligence, Vol. 1126; Springer: Cham, Switzerland, 2024. [Google Scholar] [CrossRef]
Disclaimer/Publisher’s Note: The statements, opinions and data contained in all publications are solely those of the individual author(s) and contributor(s) and not of MDPI and/or the editor(s). MDPI and/or the editor(s) disclaim responsibility for any injury to people or property resulting from any ideas, methods, instructions or products referred to in the content. |
© 2024 by the authors. Licensee MDPI, Basel, Switzerland. This article is an open access article distributed under the terms and conditions of the Creative Commons Attribution (CC BY) license (https://creativecommons.org/licenses/by/4.0/).





















