Research on the Support Performance of Internal Feedback Hydrostatic Thrust and Journal Bearing Considering Load Effect
Abstract
1. Introduction
2. Theory
2.1. Mechanical Structure and Model
2.2. Governing Equations
2.3. Analysis Model for Uniform Load
2.4. Analysis Model for Eccentric Load
3. Simulation Verification
4. Results and Discussion
4.1. Analysis of Work Performance under Uniform Load
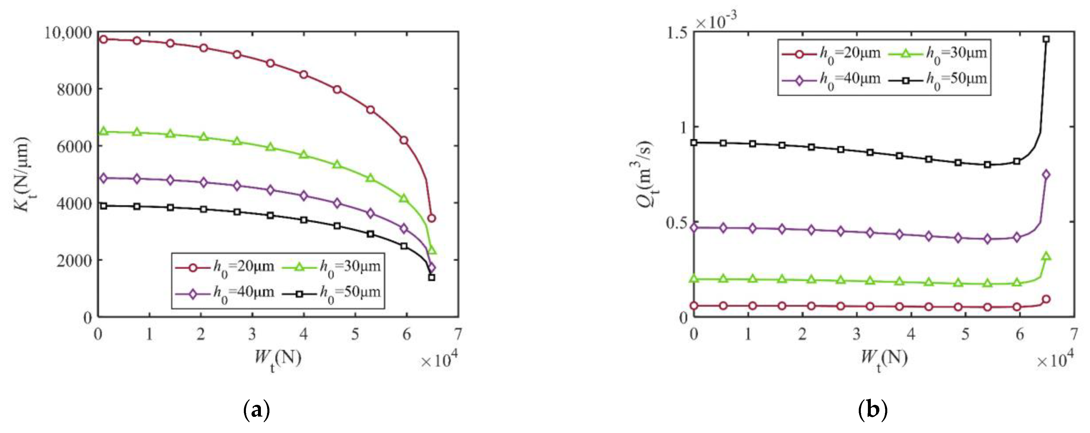
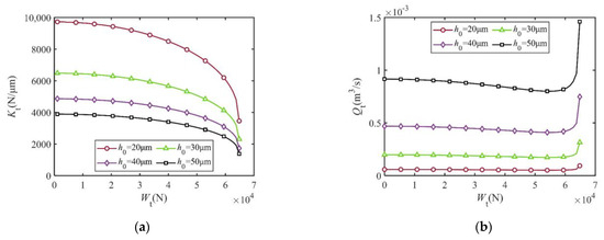
4.1.1. Influence of Oil Film Thickness
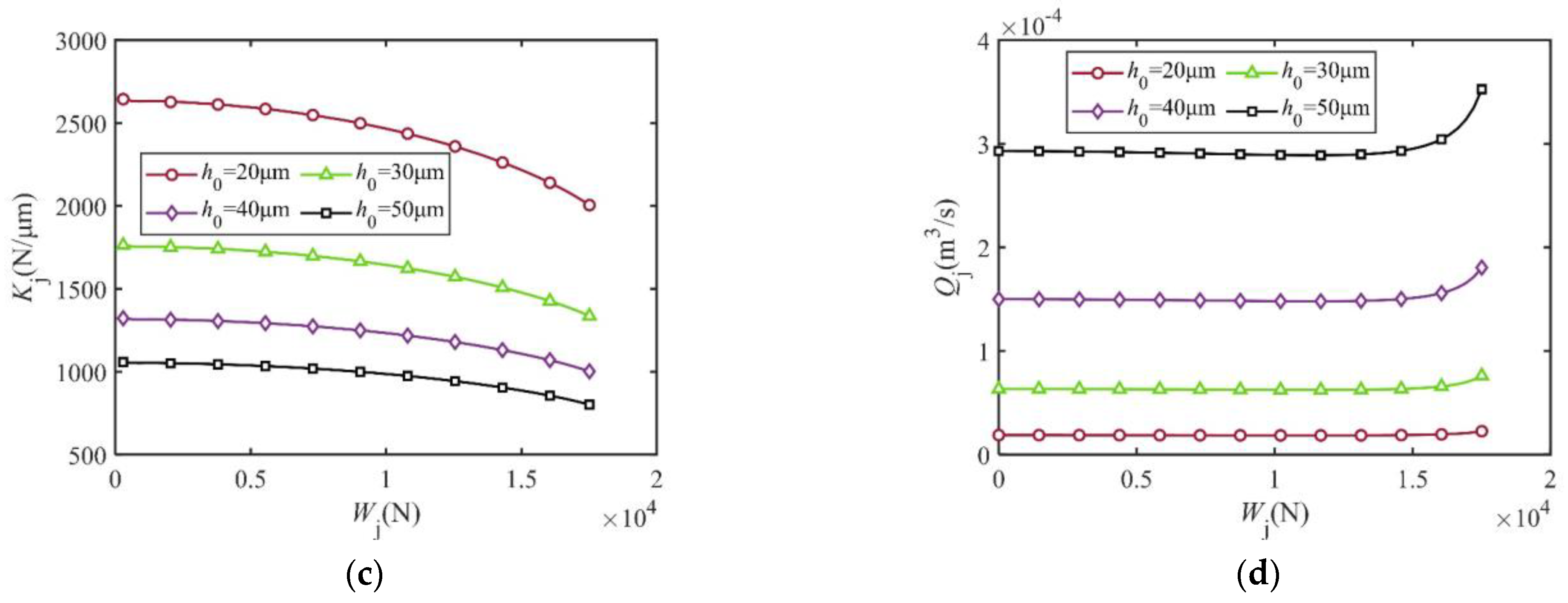
4.1.2. Influence of Inlet Pressure
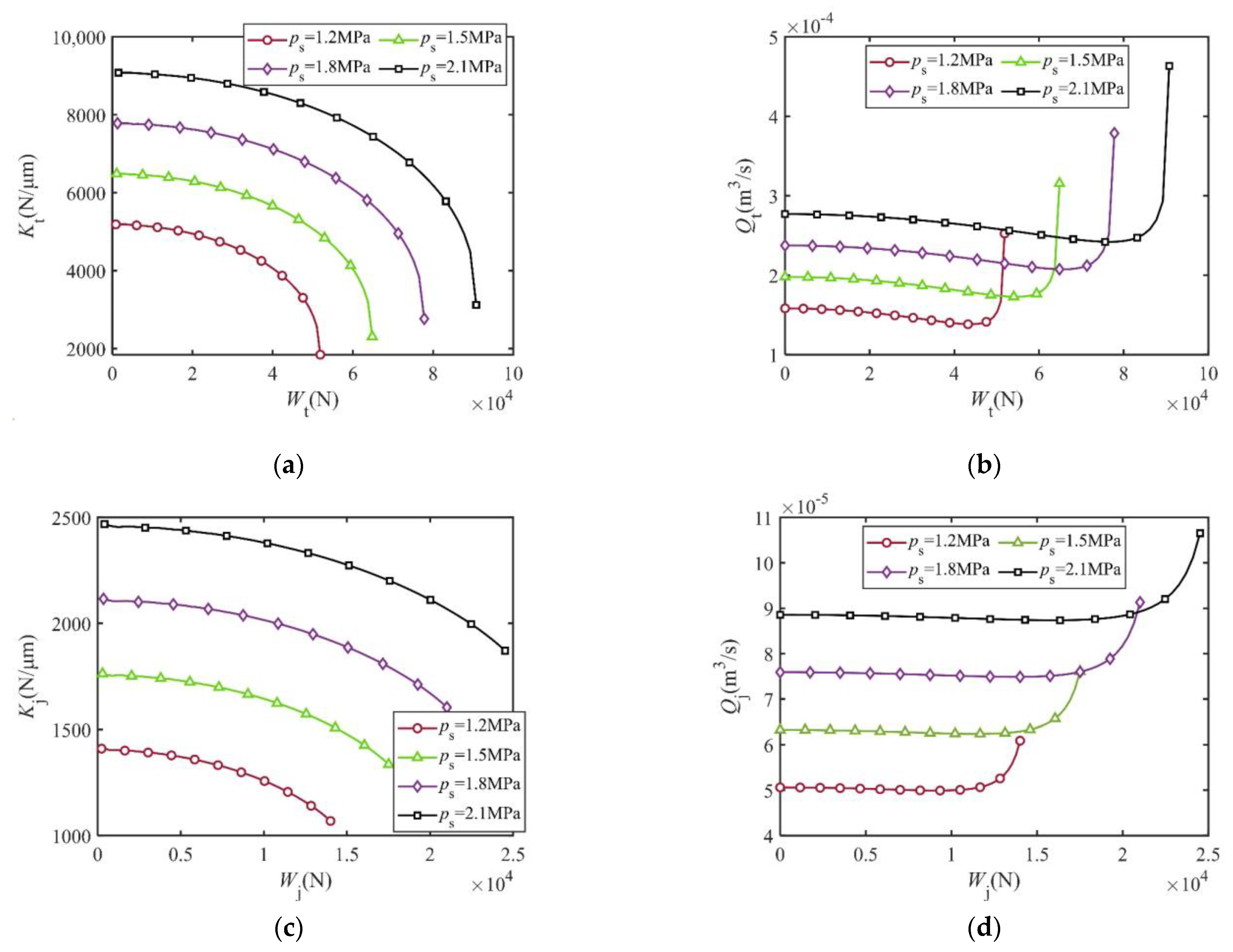
4.1.3. Influence of Eccentric Load Angle
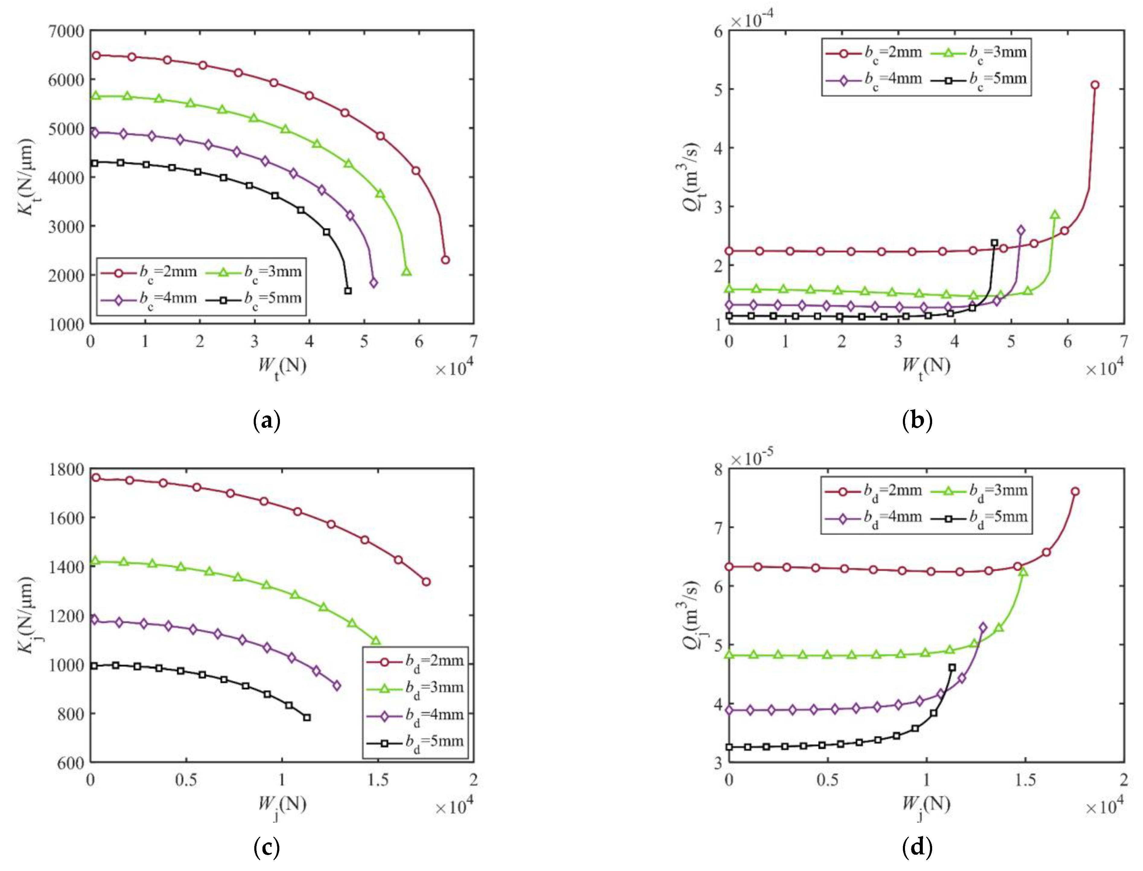
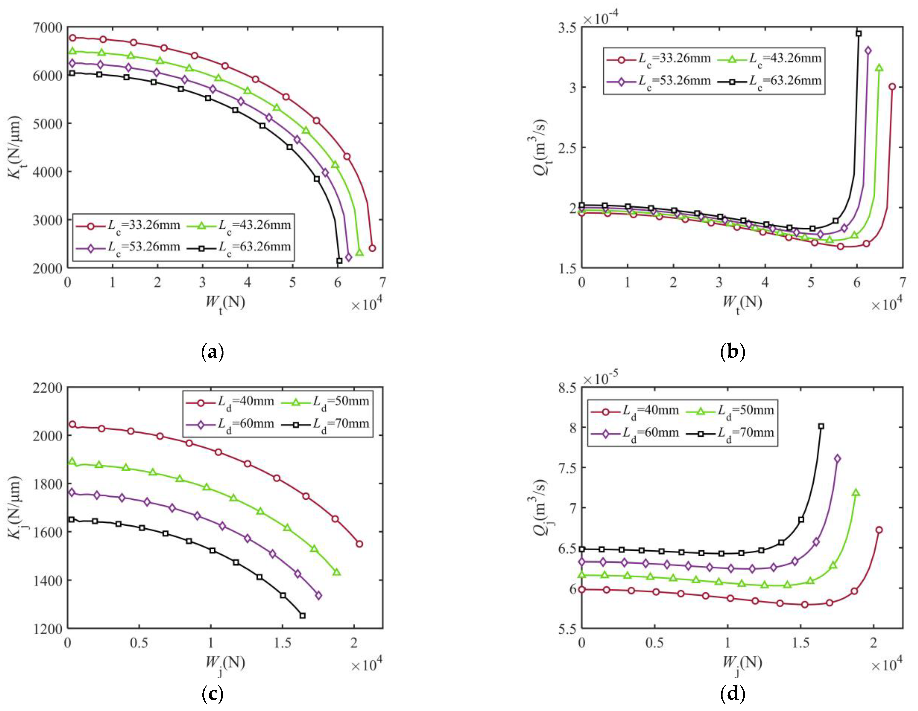
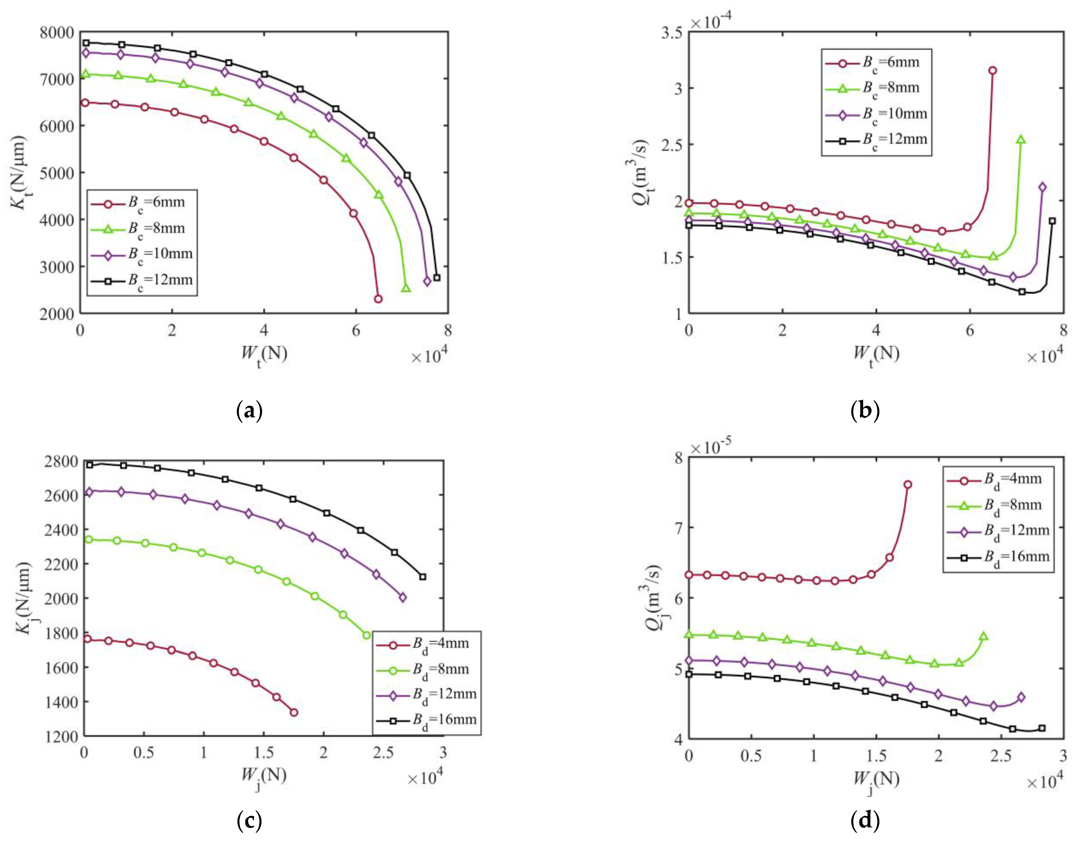
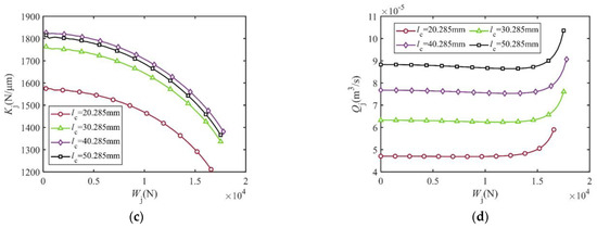
4.1.4. The Influence of Restrictor Size
4.2. Analysis of Work Performance under Eccentric Load
4.2.1. Influence of Oil Film Thickness
4.2.2. Influence of Inlet Pressure
4.2.3. The Influence of Restrictor Size
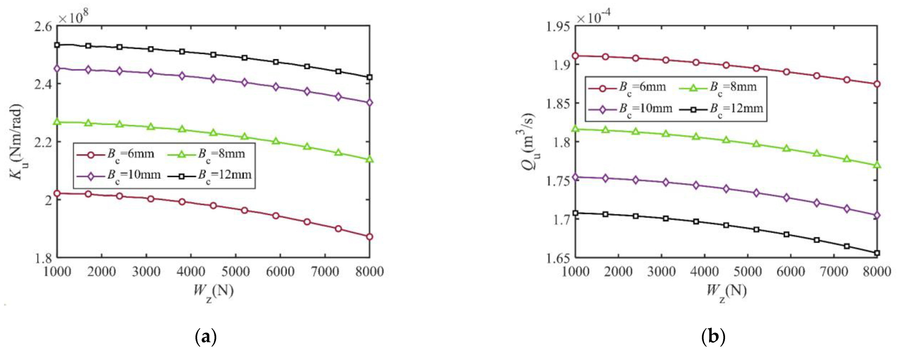
4.2.4. Speed Adjustment of Journal Bearing
5. Conclusions
- (1)
- Both the support and overturning stiffness of the thrust bearings are enhanced with an increase in inlet pressure, oil inlet groove length, and internal flow edge width and a decrease in oil film thickness, oil return edge width, and restrictor length. In comparison to other parameters, the effects of restrictor length and oil inlet groove length on stiffness and flow rate are relatively small.
- (2)
- The eccentric load angle significantly influences the stiffness of the journal bearing, with stiffness noticeably smaller at a bias load angle of 0° compared to other angles. Moreover, adjusting the centrifugal force under an eccentric load can be achieved by changing the rotational speed, making it more adaptable to various working conditions.
- (3)
- For both thrust and journal bearings, the relationship between the flow rate and load capacity can be roughly categorized into two stages: stabilization and rapid growth. Moreover, increased flow rate results in enhanced power, demonstrating that the internal feedback hydrostatic bearing plays a role in stabilizing the power within a specific load range.
Author Contributions
Funding
Data Availability Statement
Conflicts of Interest
References
- Niu, P.; Cheng, Q.; Chen, C. An approach for crucial geometric error analysis and accuracy enhancement of gantry milling machines based on generalized correlation sensitivity. J. Manuf. Processes. 2024, 119, 401–413. [Google Scholar] [CrossRef]
- Marinescu, A.; Cicone, T.; Fatu, A. The Study of a Novel Hydrostatic Thrust Bearing with A Structurally Elastic Component: Theory and Experiments. Tribol. Int. 2023, 189, 108954. [Google Scholar] [CrossRef]
- Zhang, P.; Chen, Y.; Zha, J. Relationship between geometric errors of thrust plates and error motions of hydrostatic thrust bearings under quasi-static condition. Precis. Eng. 2017, 50, 119–131. [Google Scholar] [CrossRef]
- Michalec, M.; Svoboda, P.; Křupka, I.; Hartl, M. A review of the design and optimization of large-scale hydrostatic bearing systems. Eng. Sci. Technol. Int. J. 2021, 24, 936–958. [Google Scholar] [CrossRef]
- Yang, C.; Shao, S.; Cheng, Y.; Liu, Z.; Zhao, Y. Analysis and Optimization of an Internal Feedback Hydrostatic Turntable Oil Pad Power Consumption Based on Finite Difference Method. Int. J. Precis. Eng. Manuf. 2023, 24, 2211–2228. [Google Scholar] [CrossRef]
- Kim, S.; Shin, D.; Palazzolo, A.B. A review of journal bearing induced nonlinear rotordynamic vibrations. J. Tribol. 2021, 143, 111802. [Google Scholar] [CrossRef]
- Wang, J.; Jiang, S.; Huang, J.; Xiong, W.; Hu, J.; Meng, Z. Simplified calculation of recess pressure considering the hydrodynamic effect. J. Tribol. 2023, 145, 064101. [Google Scholar] [CrossRef]
- Wei, B.; Jiao, Y.; Wu, X. Numerical calculation of fluid film force on journal bearings based on a biconjugate gradient-stabilized algorithm. J. Tribol. 2022, 144, 114502. [Google Scholar] [CrossRef]
- Gohara, M.; Somaya, K.; Miyatake, M.; Yoshimoto, S. Static characteristics of a water-lubricated hydrostatic thrust bearing using a membrane restrictor. Tribol. Int. 2014, 75, 111–116. [Google Scholar] [CrossRef]
- Liang, P.; Lu, C.; Pan, W.; Li, S. A new method for calculating the static performance of hydrostatic journal bearing. Tribol. Int. 2014, 77, 72–77. [Google Scholar] [CrossRef]
- Branagan, M.; Morgan, N.; Goyne, C.; Fittro, R.; Rockwell, R.; He, M. Hydrodynamic performance characteristics of a fluid film journal bearing with a rectangular jacking pocket. J. Tribol. 2020, 142, 021801. [Google Scholar] [CrossRef]
- Wang, J.; Huang, J.; Jiang, S.; Kouediatouka, A.N.; Liu, Q.; Dong, G. Analysis of maximum radial load capacity of hydrostatic journal bearing considering supply pressure limitation by a novel method. Tribol. Int. 2023, 184, 108484. [Google Scholar] [CrossRef]
- Yu, X.; Zhang, R.; Zhou, D.; Zhao, Y.; Chen, M.; Han, Z.; Li, S.; Jiang, H. Effects of oil recess structural parameters on comprehensive tribological properties in multi-pad hydrostatic thrust bearing for CNC vertical processing equipment based on low power consumption. Energy. Rep. 2021, 7, 8258–8264. [Google Scholar] [CrossRef]
- Zhang, Y.; Sun, J.; Kong, P.; Kong, X.; Yu, X. The dynamic simulation and experiment of bearing capacity of multi oil cushion static bearing with double rectangular cavities. Ind. Lubr. Tribol. 2019, 71, 1072–1079. [Google Scholar] [CrossRef]
- Tripkewitz, F.A.; Lazák, T.; Fritz, M.; Stach, E.; Weigold, M.; Sulitka, M. Experimental and theoretical study on the dynamic stiffness of circular oil hydrostatic shallow recess thrust bearings. Tribol. Int. 2023, 183, 108356. [Google Scholar] [CrossRef]
- Tripkewitz, F.A.; Fritz, M.; Weigold, M. Analytical derivation and experimental verification of principle of a 3 DOF sensor integrated in an oil hydrostatic shallow recess thrust bearing. CIRP Ann. 2023, 72, 457–460. [Google Scholar] [CrossRef]
- Yi, H.; Jung, H.; Kim, K.; Ryu, K. Static load characteristics of hydrostatic journal bearings: Measurements and predictions. Sensors 2022, 22, 7466. [Google Scholar] [CrossRef] [PubMed]
- Du, J.; Liang, G. Performance comparative analysis of hydrostatic bearings lubricated with low-viscosity cryogenic fluids. Tribol. Int. 2019, 137, 139–151. [Google Scholar] [CrossRef]
- Khakse, P.G.; Phalle, V.M.; Mantha, S.S. Performance analysis of a nonrecessed hybrid conical journal bearing compensated with capillary restrictors. J. Tribol. 2016, 138, 011703. [Google Scholar] [CrossRef]
- Wang, S.; Lu, J.; Zhang, Y.; Ge, K.; Zhong, C. Analytical Research on the Bearing Characteristics of Oil Film Supplied with Constant Oil Flow Hydrostatic Turntables under Fixed Eccentric Load Condition. Processes 2022, 10, 2017. [Google Scholar] [CrossRef]
- Hu, J.; Liu, C. Effect of working parameters on performance characteristics of hydrostatic turntable by using FSI-thermal model. J. Cent. South. Univ. 2018, 25, 2589–2600. [Google Scholar] [CrossRef]
- Liu, C.; Hu, J. A FSI-thermal model to analyze performance characteristics of hydrostatic turntable. Ind. Lubr. Tribol. 2018, 70, 1692–1698. [Google Scholar] [CrossRef]
- Liu, Z.; Guo, J.; Wang, Y.; Dong, X.; Wu, Y.; Yan, Z.; Gong, J. Influence of rotational speed of a heavy-duty hydrostatic turret on bearing performance under tilt. Ind. Lubr. Tribol. 2020, 72, 575–579. [Google Scholar] [CrossRef]
- Liu, Z.; Zhan, C.; Cheng, Q.; Zhao, Y.; Li, X.; Wang, Y. Thermal and tilt effects on bearing characteristics of hydrostatic oil pad in rotary table. J. Hydrodyn. 2016, 28, 585–595. [Google Scholar] [CrossRef]
- Yu, X.; Tang, B.; Wang, S.; Han, Z.; Li, S.; Chen, M.; Zhang, R.; Wang, J.; Jiao, J.; Jiang, H. High-speed and heavy-load tribological properties of hydrostatic thrust bearing with double rectangular recess. Int. J. Hydrogen Energy 2022, 47, 21273–21286. [Google Scholar] [CrossRef]
- Yu, X.; Feng, Y.; Gao, W.; Shi, G.; Li, S.; Chen, M.; Zhang, R.; Wang, J.; Jia, W.; Jiao, J.; et al. Study on lubrication performance of hydrostatic clearance oil film considering multi-factor coupling. Int. J. Hydrogen Energy 2022, 47, 40083–40098. [Google Scholar] [CrossRef]
- Zhang, Y.; Li, J.; Wu, Y.; Wang, M.; Kong, P. Study of the lubricity of oil film at constant cutting speed under different loads of a hydrostatic turntable. Tribol. Trans. 2023, 66, 135–143. [Google Scholar] [CrossRef]
- Yu, X.; Li, S.; Chen, M.; Wang, S.; Han, Z.; Tang, B.; Wang, J.; Jiang, H.; Jia, W. Prediction and improvement on anti-eccentric load characteristics of high-speed and heavy-type hydrostatic bearing. J. Braz. Soc. Mech. Sci. Eng. 2022, 44, 558. [Google Scholar] [CrossRef]
- Wang, Y.; Liu, Z.; Cai, L.; Cheng, Q. Modeling and optimization of nonlinear support stiffness of hydrostatic ram under the impact of cutting force. Ind. Lubr. Tribol. 2018, 70, 316–324. [Google Scholar] [CrossRef]
- Zhang, P.; Chen, Y.; Zha, J.; Lei, Z. Prediction of motion accuracy in five degrees of freedom for hydrostatic rotary table with any recess number. Proc. Inst. Mech. Eng. Part C J. Mech. Eng. Sci. 2021, 235, 3389–3406. [Google Scholar] [CrossRef]
- Zhang, P.; Chen, Y.; Liu, X. Relationship between roundness errors of shaft and radial error motions of hydrostatic journal bearings under quasi-static condition. Precis. Eng. 2018, 51, 564–576. [Google Scholar] [CrossRef]
- Zha, J.; Chen, Y.; Zhang, P.; Chen, R. Effect of design parameters and operational conditions on the motion accuracy of hydrostatic thrust bearing. Proc. Inst. Mech. Eng. Part C J. Mech. Eng. Sci. 2020, 234, 1481–1491. [Google Scholar] [CrossRef]
- Zha, J.; Chen, Y.; Zhang, P. Precision design of hydrostatic thrust bearing in rotary table and spindle. Proc. Inst. Mech. Eng. Part B J. Eng. Manuf. 2018, 232, 2044–2053. [Google Scholar] [CrossRef]



























| Symbol | Name | Symbol | Name |
|---|---|---|---|
| R1 | Inner diameter of pad | R2 | Inner diameter of recess |
| R3 | Out diameter of recess | R4 | Out diameter of pad |
| φ2 | Half the angle of the pad | φ1 | Half the angle of the recess |
| bc | Width of the oil return edge | lc | Length of the oil inlet groove |
| tc | Width of oil inlet / return groove | Tc | Length of restrictor |
| Bc | Width of internal flow edge | Lc | Length of oil return groove |
| Symbol | Name | Symbol | Name |
|---|---|---|---|
| Xd | Length of pad | Yd | Width of pad |
| xd | Length of recess | yd | Width of recess |
| Ld | Length of restrictor | ld | Width of oil inlet / return groove |
| bd | Width of the return oil edge | td | Width of the inlet oil groove |
| Bd | Width of internal flow edge | Rd | Radius of journal bearing |
| Symbol | Input Value | Symbol | Input Value |
|---|---|---|---|
| R1/mm | 239 | R2/mm | 249 |
| R3/mm | 298 | R4/mm | 308 |
| φ2/° | 28.9 | φ1/° | 26.9 |
| bc/mm | 2 | lc/mm | 63.26 |
| tc/mm | 3 | Tc/mm | 85 |
| Bc/mm | 6 | Lc/mm | 70 |
| Xd/mm | 164.37 | Yd/mm | 110 |
| xd/mm | 144.51 | yd/mm | 90 |
| Ld/mm | 60 | ld/mm | 60 |
| bd/mm | 2 | td/mm | 6 |
| Bd/mm | 4 | Rd/mm | 180 |
| ω/r·min−1 | 60 | η0/Pa·s | 0.008 |
| ps/Pa | 1.5 × 106 | ρ/kg·m3 | 897.1 |
Disclaimer/Publisher’s Note: The statements, opinions and data contained in all publications are solely those of the individual author(s) and contributor(s) and not of MDPI and/or the editor(s). MDPI and/or the editor(s) disclaim responsibility for any injury to people or property resulting from any ideas, methods, instructions or products referred to in the content. |
© 2024 by the authors. Licensee MDPI, Basel, Switzerland. This article is an open access article distributed under the terms and conditions of the Creative Commons Attribution (CC BY) license (https://creativecommons.org/licenses/by/4.0/).
Share and Cite
Ma, H.; Liu, Z.; Yang, C.; Cheng, Q.; Zhao, Y. Research on the Support Performance of Internal Feedback Hydrostatic Thrust and Journal Bearing Considering Load Effect. Mathematics 2024, 12, 1367. https://doi.org/10.3390/math12091367
Ma H, Liu Z, Yang C, Cheng Q, Zhao Y. Research on the Support Performance of Internal Feedback Hydrostatic Thrust and Journal Bearing Considering Load Effect. Mathematics. 2024; 12(9):1367. https://doi.org/10.3390/math12091367
Chicago/Turabian StyleMa, Honglie, Zhifeng Liu, Congbin Yang, Qiang Cheng, and Yongsheng Zhao. 2024. "Research on the Support Performance of Internal Feedback Hydrostatic Thrust and Journal Bearing Considering Load Effect" Mathematics 12, no. 9: 1367. https://doi.org/10.3390/math12091367
APA StyleMa, H., Liu, Z., Yang, C., Cheng, Q., & Zhao, Y. (2024). Research on the Support Performance of Internal Feedback Hydrostatic Thrust and Journal Bearing Considering Load Effect. Mathematics, 12(9), 1367. https://doi.org/10.3390/math12091367

