Enhanced Dung Beetle Optimization Algorithm for Practical Engineering Optimization
Abstract
1. Introduction
2. Preliminary Preparation
2.1. Engineering Optimization Problem Description
2.1.1. Three Pole Truss Design Issues
2.1.2. Tension/Compression Spring Design
2.1.3. Pressure Vessel Design Issues
2.1.4. Cantilever Beam Design Issues
2.2. Dung Beetle Optimization Algorithm
2.2.1. Population Initialization
2.2.2. Rolling Dung Beetles
| Algorithm 1: α selection strategy |
| Require: The probability value λ Ensure: The natural coefficient α 1: η = rand (1) 2: if η > λ then 3: α = 1 4: else 5: α = −1 6: end if |
2.2.3. Dancing Dung Beetle
2.2.4. Breeding Dung Beetles
| Algorithm 2: The brood ball position updating strategy |
| Require: The maximum iteration number Tmax, the brood ball number n, and the present iteration number t. Ensure: The position of the i-th brood ball Bi 1: R = 1 − t/Tmax 2: for i ← 1 to n do 3: Update the brood ball’s position by Equation (5) 4: for j ← 1 to D do 5: if Bij > Ub* then 6: Bij ← Ub* 7: end if 8: if Bij < Lb* then 9: Bij ← Lb* 10: end if 11: end for 12: end for |
2.2.5. Foraging Dung Beetle
2.2.6. Stealing Dung Beetles
3. Improving the Dung Beetle Optimization Algorithm
3.1. Reasons for Improvements
3.2. Improved Rolling Dung Beetles
3.3. Improved Dancing Dung Beetles
3.4. Improved Foraging Dung Beetles
3.5. EDBO Algorithm Implementation Steps
| Algorithm 3: The framework of the EDBO algorithm. |
| Require: The largest iteration, Tmax, represents the particle’s population size N. Ensure: Ideal location Zb and its corresponding fitness measure fb. 1: Begin by setting the particle’s population i ← 1, 2, ……, N and establish its pertinent parameters 2: while t ≤ Tmax do 3: for i = 1 to Number of rolling dung beetles do 4: a = rand (1) 5: if a ≤ 0.9 then 6: Select α value by Algorithm 1 7: Update rolling dung beetle location by Equation (9). 8: else 9: Update dancing dung beetle location by Equation (10). 10: end if 11: end for 12: for i = 1 to Number of breeding dung beetles do 13: Update the brood ball’s position by using Algorithm 2 14: end for 15: for i = 1 to Number of foraging dung beetles do 16: Determination of the optimal foraging area according to Equation (6) 17: if rand < 0.5 then 18: Update the improved Jacobi position update curve according to Equation (11) 19: else 20: Update foraging dung beetle location by Equation (7). 21: end if 22: end for 23: for i = 1 to Number of stealing dung beetles do 24: Update stealing dung beetle location by Equation (8). 25: end for 26: if the newly generated position is better than before then 27: Update it 28: end if 29: t = t + 1 30: end while 31: Provide Zb along with its corresponding fitness value fb; |
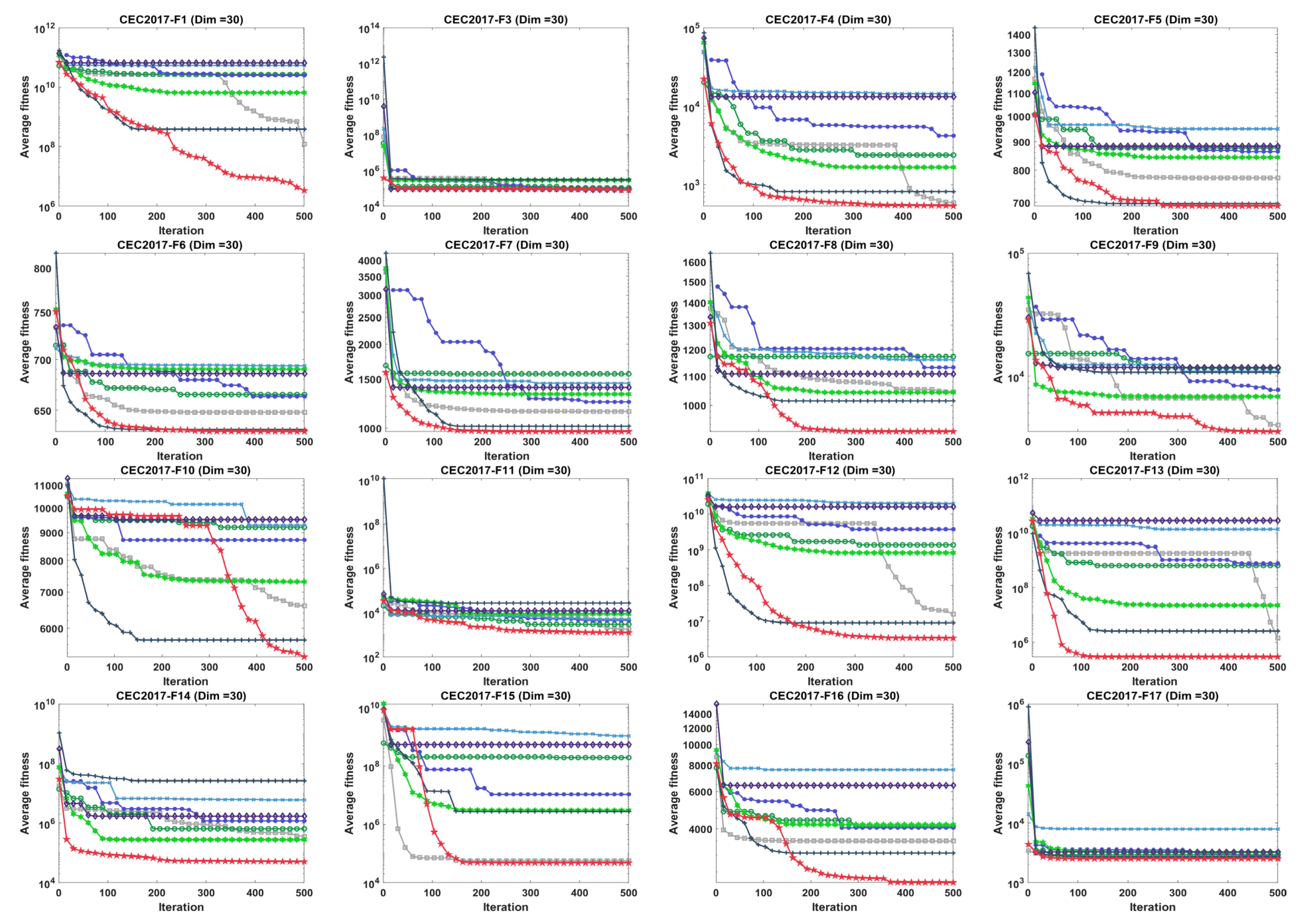
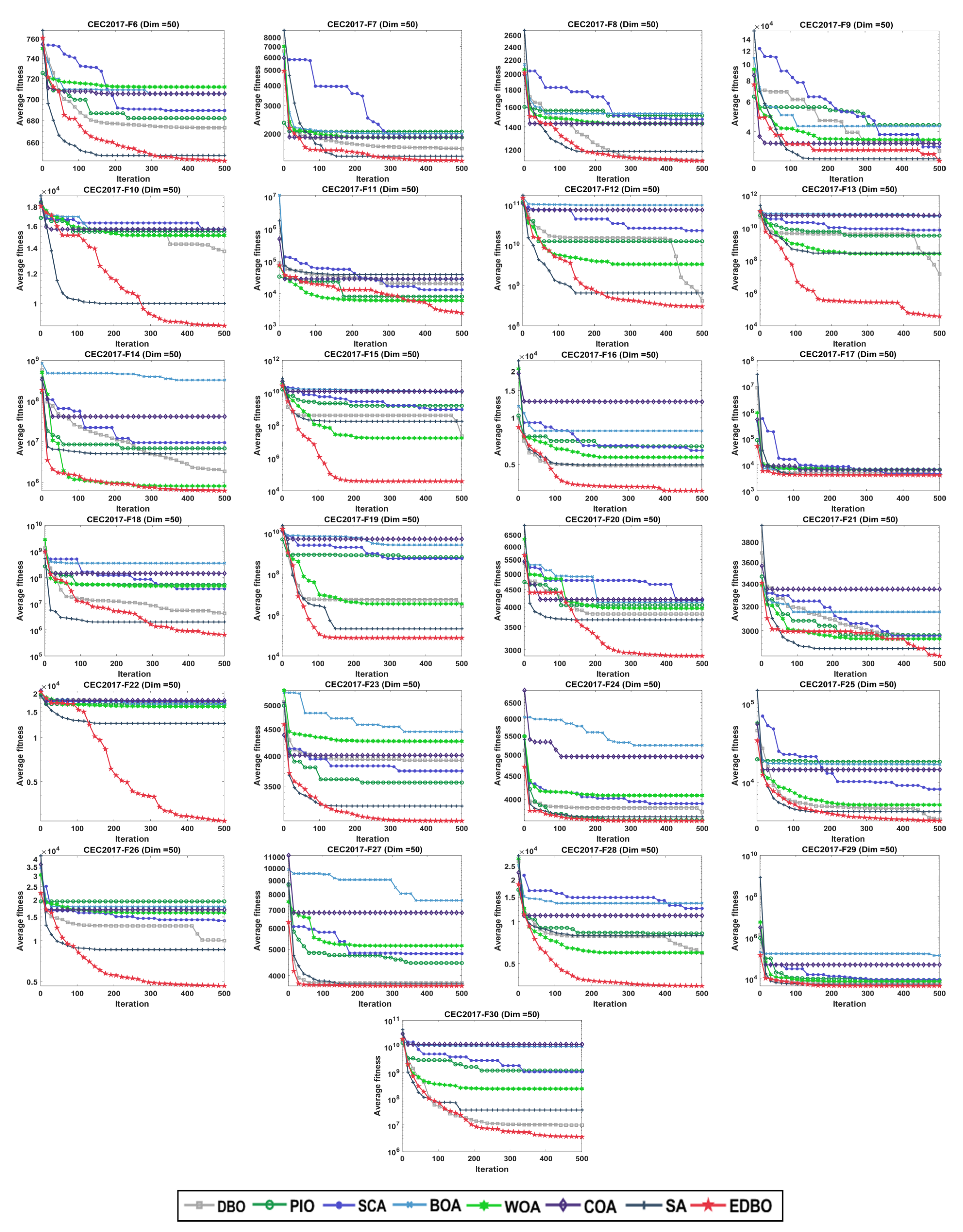
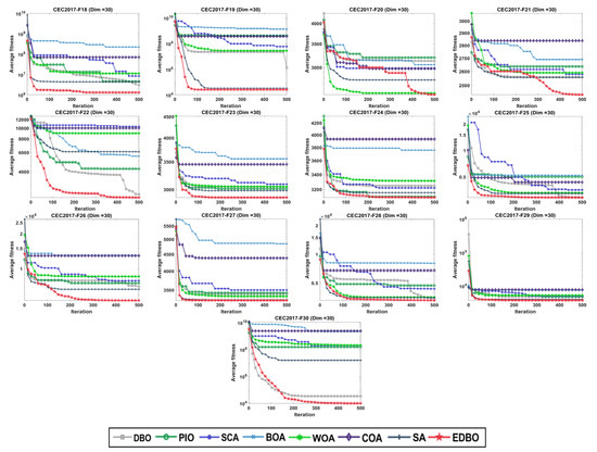
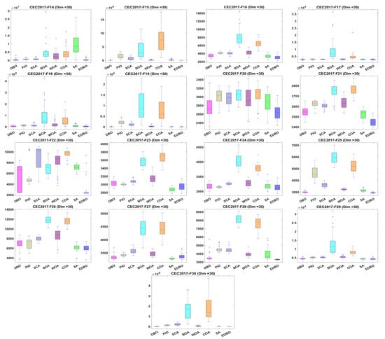
4. Experimental Results and Discussion
4.1. Experimental Design
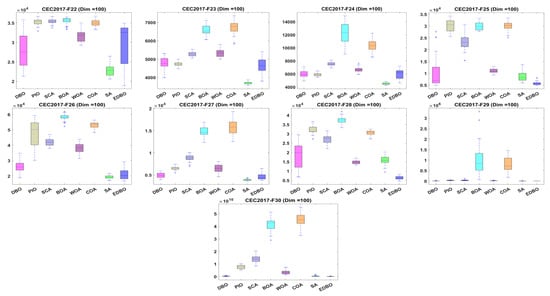
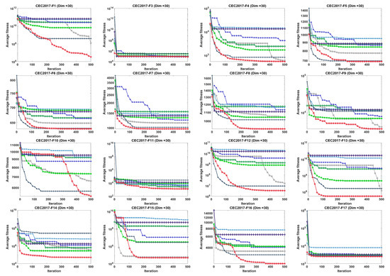
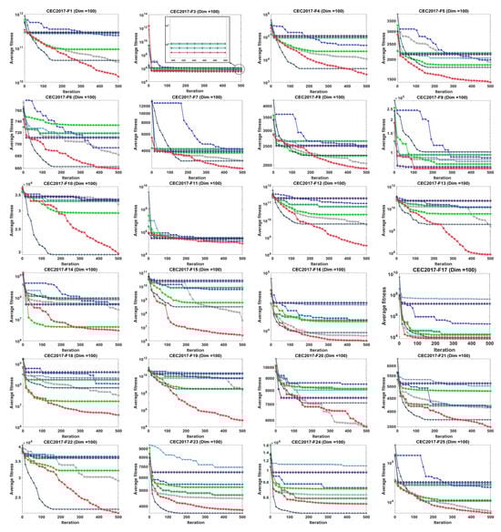
4.2. Results and Analysis
4.3. Wilcoxon Rank Sum Test
4.4. Friedman Test
5. Engineering Optimization Issues
- In the realm of viable and impractical solutions, the viable one is favored;
- When both options are viable, choose the one with the lower fitness score;
- Should both options prove impractical, choose the one that minimally breaches the constraints.
5.1. Three Pole Truss Design Issues
5.2. Tension/Compression Spring Design
5.3. Pressure Vessel Design Issues
5.4. Cantilever Beam Design Issues
6. Conclusions
Author Contributions
Funding
Data Availability Statement
Acknowledgments
Conflicts of Interest
References
- Wang, S.; Jia, H.; Abualigah, L.; Liu, Q.; Zheng, R. An improved hybrid aquila optimizer and harris hawks algorithm for solving industrial engineering optimization problems. Processes 2021, 9, 1551. [Google Scholar] [CrossRef]
- Kalananda, V.K.R.A.; Komanapalli, V.L.N. A combinatorial social group whale optimization algorithm for numerical and engineering optimization problems. Appl. Soft Comput. 2021, 99, 106903. [Google Scholar] [CrossRef]
- Kamboj, V.K.; Nandi, A.; Bhadoria, A.; Sehgal, S. An intensify Harris Hawks optimizer for numerical and engineering optimization problems. Appl. Soft Comput. 2020, 89, 106018. [Google Scholar] [CrossRef]
- Han, X.; Yue, L.; Dong, Y.; Xu, Q.; Xie, G.; Xu, X. Efficient hybrid algorithm based on moth search and fireworks algorithm for solving numerical and constrained engineering optimization problems. J. Supercomput. 2020, 76, 9404–9429. [Google Scholar] [CrossRef]
- Kumar, D.; Gandhi, B.R.; Bhattacharjya, R.K. Firefly algorithm and its applications in engineering optimization. In Nature-Inspired Methods for Metaheuristics Optimization: Algorithms and Applications in Science and Engineering; Springer: Berlin/Heidelberg, Germany, 2020; pp. 93–103. [Google Scholar]
- Castellanos, A.; Cruz-Reyes, L.; Fernández, E.; Rivera, G.; Gomez-Santillan, C.; Rangel-Valdez, N. Hybridisation of swarm intelligence algorithms with multi-criteria ordinal classification: A strategy to address many-objective optimisation. Mathematics 2022, 10, 322. [Google Scholar] [CrossRef]
- Emambocus, B.A.S.; Jasser, M.B.; Amphawan, A. A survey on the optimization of artificial neural networks using swarm intelligence algorithms. IEEE Access 2023, 11, 1280–1294. [Google Scholar] [CrossRef]
- Tang, J.; Liu, G.; Pan, Q. A review on representative swarm intelligence algorithms for solving optimization problems: Applications and trends. IEEE/CAA J. Autom. Sin. 2021, 8, 1627–1643. [Google Scholar] [CrossRef]
- Yao, L.; Yuan, P.; Tsai, C.Y.; Zhang, T.; Lu, Y.; Ding, S. ESO: An Enhanced Snake Optimizer for Real-world Engineering Problems. Expert Syst. Appl. 2023, 230, 120594. [Google Scholar] [CrossRef]
- Fei, T.; Wang, H.; Liu, L.; Zhang, L.; Wu, K.; Guo, J. Research on multi-strategy improved sparrow search optimization algorithm. Math. Biosci. Eng. MBE 2023, 20, 17220–17241. [Google Scholar] [CrossRef] [PubMed]
- Yang, C.; Yang, H.; Zhu, D.; Hu, Y.; Zhang, Y.; Ma, H.; Huang, Z. Chaotic sparrow search algorithm with manta ray spiral foraging for engineering optimization. Syst. Sci. Control Eng. 2023, 11, 2249021. [Google Scholar] [CrossRef]
- Zeng, N.; Song, D.; Li, H.; You, Y.; Liu, Y.; Alsaadi, F.E. A competitive mechanism integrated multi-objective whale optimization algorithm with differential evolution. Neurocomputing 2021, 432, 170–182. [Google Scholar] [CrossRef]
- Li, Y.; Liang, X.; Liu, J.; Zhou, H. Solving engineering optimization problems based on improved balanced optimizer algorithm. Comput. Integr. Manuf. Syst. 2023, 1–34. [Google Scholar]
- Wang, K.; Liu, J.; Li, W.; Tan, W.; Qin, T.; Yang, J. Multi-strategy Improved Hunter Prey Optimization Algorithm. Comput. Eng. Sci. 2024, 1–13. [Google Scholar]
- Xue, J.; Shen, B. Dung beetle optimizer: A new meta-heuristic algorithm for global optimization. J. Supercomput. 2023, 79, 7305–7336. [Google Scholar] [CrossRef]
- Qin, G.U.O.; Qiaoxian, Z.H.E.N.G. Multi-strategy improved dung beetle optimizer and its application. J. Front. Comput. Sci. Technol. 2024, 1–22. [Google Scholar]
- Li, L.; Liu, L.; Shao, Y.; Zhang, X.; Chen, Y.; Guo, C.; Nian, H. Enhancing Swarm Intelligence for Obstacle Avoidance with Multi-Strategy and Improved Dung Beetle Optimization Algorithm in Mobile Robot Navigation. Electronics 2023, 12, 4462. [Google Scholar] [CrossRef]
- Zhang, H.; Zhang, R. A Multi-Strategy Enhanced Dung Beetle Optimization Algorithm and Its Application in Engineering. Preprints 2024, 2024020368. [Google Scholar] [CrossRef]
- Zhu, F.; Li, G.; Tang, H.; Li, Y.; Lv, X.; Wang, X. Dung beetle optimization algorithm based on quantum computing and multi-strategy fusion for solving engineering problems. Expert Syst. Appl. 2024, 236, 121219. [Google Scholar] [CrossRef]
- Zilong, W.; Peng, S. A multi-strategy dung beetle optimization algorithm for optimizing constrained engineering problems. IEEE Access 2023, 11, 98805–98817. [Google Scholar] [CrossRef]
- Zhang, Y.; Li, T.; Ma, T.; Yang, D.; Sun, X. Short-Term Photovoltaic Power Prediction Based on Extreme Learning Machine with Improved Dung Beetle Optimization Algorithm. Energies 2024, 17, 960. [Google Scholar] [CrossRef]
- Cui, Z.; Zhang, J.; Wang, Y.; Cao, Y.; Cai, X.; Zhang, W.; Chen, J. A pigeon-inspired optimization algorithm for many-objective optimization problems. Sci. China Inf. Sci. 2019, 62, 70212. [Google Scholar] [CrossRef]
- Mirjalili, S.; Lewis, A. The whale optimization algorithm. Adv. Eng. Softw. 2016, 95, 51–67. [Google Scholar] [CrossRef]
- Arora, S.; Singh, S. Butterfly optimization algorithm: A novel approach for global optimization. Soft Comput. 2019, 23, 715–734. [Google Scholar] [CrossRef]
- Mirjalili, S. SCA: A sine cosine algorithm for solving optimization problems. Knowl.-Based Syst. 2016, 96, 120–133. [Google Scholar] [CrossRef]
- Dehghani, M.; Montazeri, Z.; Trojovská, E.; Trojovský, P. Coati Optimization Algorithm: A new bioinspired metaheuristic algorithm for solving optimization problems. Knowl.-Based Syst. 2023, 259, 110011. [Google Scholar] [CrossRef]
- Bertsimas, D.; Tsitsiklis, J. Simulated annealing. Stat. Sci. 1993, 8, 10–15. [Google Scholar] [CrossRef]
- Yildirim, A.E.; Karci, A. Application of three bar truss problem among engineering design optimization problems using artificial atom algorithm. In Proceedings of the 2018 International Conference on Artificial Intelligence and Data Processing (IDAP), Malatya, Turkey, 28–30 September 2018; pp. 1–5. [Google Scholar]
- Tzanetos, A.; Blondin, M. A qualitative systematic review of metaheuristics applied to tension/compression spring design problem: Current situation, recommendations, and research direction. Eng. Appl. Artif. Intell. 2023, 118, 105521. [Google Scholar] [CrossRef]
- Moss, D.R. Pressure Vessel Design Manual; Elsevier: Amsterdam, The Netherlands, 2004. [Google Scholar]
- Friswell, M.I.; Adhikari, S. Sensor shape design for piezoelectric cantilever beams to harvest vibration energy. J. Appl. Phys. 2010, 108, 014901. [Google Scholar] [CrossRef]
- Wu, G.; Mallipeddi, R.; Suganthan, P.N. Problem definitions and evaluation criteria for the CEC 2017 competition on constrained real-parameter optimization. In National University of Defense Technology, Changsha, Hunan, PR China and Kyungpook National University, Daegu, South Korea and Nanyang Technological University, Singapore, Technical Report; 2017. Available online: https://www.researchgate.net/publication/317228117_Problem_Definitions_and_Evaluation_Criteria_for_the_CEC_2017_Competition_and_Special_Session_on_Constrained_Single_Objective_Real-Parameter_Optimization (accessed on 1 March 2024).
- Salgotra, R.; Singh, U.; Saha, S. Improved cuckoo search with better search capabilities for solving CEC2017 benchmark problems. In Proceedings of the 2018 IEEE Congress on Evolutionary Computation (CEC), Rio de Janeiro, Brazil, 8–13 July 2018; pp. 1–7. [Google Scholar]
- Kreischer, V.; Magalhães, T.T.; Barbosa, H.J.C.; Krempser, E. Evaluation of bound constraints handling methods in differential evolution using the cec2017 benchmark. In Proceedings of the XIII Brazilian Congress on Computational Intelligence, Rio de Janeiro, Brazil, 30 October–1 November 2017. [Google Scholar]
- Cheng, R.; Li, M.; Tian, Y.; Zhang, X.; Yang, S.; Jin, Y.; Yao, X. Benchmark functions for CEC’2017 competition on evolutionary many-objective optimization. In Proceedings of the 2017 IEEE Congress on Evolutionary Computation (CEC), Donostia/San Sebastian, Spain, 5–8 June 2017; pp. 1–20. [Google Scholar]
- Wilcoxon, F.; Katti, S.K.; Wilcox, R.A. Critical values and probability levels for the Wilcoxon rank sum test and the Wilcoxon signed rank test. Sel. Tables Math. Stat. 1970, 1, 171–259. [Google Scholar]
- Zimmerman, D.W.; Zumbo, B.D. Relative power of the Wilcoxon test, the Friedman test, and repeated-measures ANOVA on ranks. J. Exp. Educ. 1993, 62, 75–86. [Google Scholar] [CrossRef]















| Algorithm | Population Size | Number of Iterations | Parameters |
|---|---|---|---|
| DBO | 30 | 500 | k = λ = 0.1, b = 0.3, S = 0.5 |
| PIO | 30 | 500 | R = 0.3, Vmax = 0.5, T1 = 290, T2 = 10 |
| SCA | 30 | 500 | a = 2, b = 5, h = 0.05 |
| BOA | 30 | 500 | α = 0.1, c = 0.01, p = 0.8 |
| WOA | 30 | 500 | a = 2 × (1 − t/tmax), k = 1 |
| COA | 30 | 500 | Consistent with the original |
| SA | 30 | 500 | T0 = 1000, α = 0.9, Tend = 0.001, k = 0 |
| EDBO | 30 | 500 | k = λ = 0.1; b = 0.3; S = 0.5 |
| DBO | PIO | SCA | BOA | WOA | COA | SA | EDBO | ||
|---|---|---|---|---|---|---|---|---|---|
| F1 | mean | 2.48E+08 | 2.32E+10 | 2.12E+10 | 5.44E+10 | 5.67E+09 | 5.92E+10 | 9.31E+08 | 4.31E+07 |
| std | 1.71E+08 | 5.74E+09 | 3.92E+09 | 7.53E+09 | 1.87E+09 | 6.93E+09 | 7.32E+08 | 8.98E+07 | |
| best | 3.81E+04 | 1.29E+10 | 9.86E+09 | 3.99E+10 | 2.92E+09 | 3.74E+10 | 1.49E+08 | 3.36E+04 | |
| F3 | mean | 9.50E+04 | 9.23E+04 | 8.33E+04 | 8.15E+04 | 2.66E+05 | 8.56E+04 | 3.42E+05 | 7.65E+04 |
| std | 3.14E+04 | 1.10E+04 | 1.53E+04 | 7.72E+03 | 6.87E+04 | 5.57E+03 | 7.84E+04 | 1.06E+04 | |
| best | 5.67E+04 | 5.60E+04 | 5.95E+04 | 6.58E+04 | 1.45E+05 | 6.52E+04 | 1.80E+05 | 5.28E+04 | |
| F4 | mean | 6.46E+02 | 2.96E+03 | 3.09E+03 | 2.11E+04 | 1.37E+03 | 1.53E+04 | 7.44E+02 | 5.49E+02 |
| std | 1.06E+02 | 7.47E+02 | 1.14E+03 | 3.85E+03 | 3.86E+02 | 2.98E+03 | 1.32E+02 | 5.58E+01 | |
| best | 4.41E+02 | 2.09E+03 | 1.22E+03 | 1.39E+04 | 8.43E+02 | 9.04E+03 | 5.90E+02 | 4.07E+02 | |
| F5 | mean | 7.51E+02 | 8.69E+02 | 8.34E+02 | 9.21E+02 | 8.46E+02 | 9.23E+02 | 7.28E+02 | 6.77E+02 |
| std | 6.39E+01 | 4.57E+01 | 2.82E+01 | 2.43E+01 | 4.86E+01 | 2.80E+01 | 5.12E+01 | 4.97E+01 | |
| best | 6.22E+02 | 7.76E+02 | 7.81E+02 | 8.77E+02 | 7.39E+02 | 8.41E+02 | 6.50E+02 | 6.00E+02 | |
| F6 | mean | 6.48E+02 | 6.67E+02 | 6.64E+02 | 6.91E+02 | 6.83E+02 | 6.90E+02 | 6.47E+02 | 6.35E+02 |
| std | 1.37E+01 | 9.97E+00 | 7.54E+00 | 5.51E+00 | 1.13E+01 | 5.48E+00 | 1.01E+01 | 9.48E+00 | |
| best | 6.22E+02 | 6.47E+02 | 6.52E+02 | 6.81E+02 | 6.63E+02 | 6.79E+02 | 6.21E+02 | 6.20E+02 | |
| F7 | mean | 1.02E+03 | 1.46E+03 | 1.25E+03 | 1.41E+03 | 1.31E+03 | 1.41E+03 | 1.07E+03 | 9.89E+02 |
| std | 6.88E+01 | 7.14E+01 | 5.85E+01 | 5.10E+01 | 9.42E+01 | 4.80E+01 | 8.23E+01 | 6.37E+01 | |
| best | 8.94E+02 | 1.30E+03 | 1.14E+03 | 1.27E+03 | 1.08E+03 | 1.31E+03 | 9.18E+02 | 8.60E+02 | |
| F8 | mean | 1.03E+03 | 1.15E+03 | 1.09E+03 | 1.15E+03 | 1.07E+03 | 1.14E+03 | 1.03E+03 | 9.47E+02 |
| std | 5.88E+01 | 1.80E+01 | 2.39E+01 | 1.48E+01 | 5.34E+01 | 2.48E+01 | 4.77E+01 | 3.82E+01 | |
| best | 9.09E+02 | 1.12E+03 | 1.02E+03 | 1.12E+03 | 9.82E+02 | 1.08E+03 | 9.40E+02 | 8.91E+02 | |
| F9 | mean | 6.66E+03 | 1.22E+04 | 8.35E+03 | 1.14E+04 | 1.23E+04 | 1.11E+04 | 1.27E+04 | 6.39E+03 |
| std | 2.32E+03 | 2.53E+03 | 2.03E+03 | 1.35E+03 | 4.52E+03 | 1.19E+03 | 4.17E+03 | 2.24E+03 | |
| best | 2.89E+03 | 8.07E+03 | 5.79E+03 | 8.64E+03 | 4.60E+03 | 8.74E+03 | 5.93E+03 | 1.53E+03 | |
| F10 | mean | 6.57E+03 | 9.02E+03 | 8.85E+03 | 9.21E+03 | 7.70E+03 | 9.03E+03 | 5.50E+03 | 7.00E+03 |
| std | 1.17E+03 | 3.09E+02 | 2.59E+02 | 3.75E+02 | 8.14E+02 | 4.47E+02 | 6.09E+02 | 1.30E+03 | |
| best | 4.52E+03 | 8.32E+03 | 8.18E+03 | 8.26E+03 | 5.88E+03 | 8.20E+03 | 4.44E+03 | 4.31E+03 | |
| F11 | mean | 1.97E+03 | 4.75E+03 | 4.03E+03 | 8.85E+03 | 8.55E+03 | 8.97E+03 | 1.63E+04 | 1.40E+03 |
| std | 1.15E+03 | 1.18E+03 | 1.20E+03 | 2.57E+03 | 3.96E+03 | 2.28E+03 | 8.84E+03 | 1.17E+02 | |
| best | 1.36E+03 | 2.86E+03 | 2.49E+03 | 4.69E+03 | 3.09E+03 | 4.12E+03 | 5.35E+03 | 1.22E+03 | |
| F12 | mean | 6.75E+07 | 2.01E+09 | 2.40E+09 | 1.34E+10 | 5.95E+08 | 1.33E+10 | 6.69E+07 | 1.16E+07 |
| std | 1.16E+08 | 4.36E+08 | 5.96E+08 | 3.70E+09 | 2.97E+08 | 3.77E+09 | 7.65E+07 | 2.23E+07 | |
| best | 2.43E+06 | 1.07E+09 | 1.37E+09 | 4.81E+09 | 1.34E+08 | 5.23E+09 | 1.20E+07 | 2.45E+05 | |
| F13 | mean | 1.53E+07 | 7.39E+08 | 1.35E+09 | 1.19E+10 | 1.47E+07 | 1.02E+10 | 1.99E+08 | 1.03E+07 |
| std | 2.60E+07 | 2.17E+08 | 7.53E+08 | 5.87E+09 | 2.13E+07 | 4.44E+09 | 7.24E+08 | 4.09E+07 | |
| best | 7.32E+04 | 3.09E+08 | 3.63E+08 | 3.55E+09 | 1.25E+06 | 1.51E+09 | 3.27E+05 | 1.19E+04 | |
| F14 | mean | 2.80E+05 | 7.78E+05 | 7.62E+05 | 5.98E+06 | 1.89E+06 | 4.24E+06 | 6.74E+06 | 2.61E+05 |
| std | 4.02E+05 | 6.38E+05 | 4.79E+05 | 8.38E+06 | 1.95E+06 | 3.87E+06 | 5.35E+06 | 3.44E+05 | |
| best | 5.17E+04 | 1.68E+05 | 1.72E+05 | 2.43E+05 | 5.04E+04 | 3.71E+05 | 2.95E+05 | 9.15E+03 | |
| F15 | mean | 8.70E+04 | 1.55E+08 | 5.94E+07 | 6.49E+08 | 9.09E+06 | 7.39E+08 | 2.17E+07 | 5.22E+04 |
| std | 1.02E+05 | 7.55E+07 | 5.99E+07 | 4.63E+08 | 1.22E+07 | 5.15E+08 | 4.27E+07 | 5.04E+04 | |
| best | 7.10E+03 | 3.42E+07 | 4.77E+06 | 3.53E+07 | 1.09E+05 | 4.49E+07 | 2.33E+04 | 4.37E+03 | |
| F16 | mean | 3.42E+03 | 4.08E+03 | 4.19E+03 | 7.79E+03 | 4.39E+03 | 6.51E+03 | 3.30E+03 | 3.25E+03 |
| std | 4.65E+02 | 1.76E+02 | 2.78E+02 | 2.26E+03 | 7.54E+02 | 1.19E+03 | 3.61E+02 | 4.41E+02 | |
| best | 2.37E+03 | 3.70E+03 | 3.44E+03 | 5.41E+03 | 3.38E+03 | 4.13E+03 | 2.30E+03 | 2.23E+03 | |
| F17 | mean | 2.71E+03 | 2.84E+03 | 2.82E+03 | 9.41E+03 | 2.88E+03 | 6.42E+03 | 2.70E+03 | 2.53E+03 |
| std | 2.79E+02 | 1.55E+02 | 2.01E+02 | 7.20E+03 | 3.25E+02 | 4.78E+03 | 3.52E+02 | 2.58E+02 | |
| best | 2.12E+03 | 2.56E+03 | 2.41E+03 | 3.77E+03 | 2.13E+03 | 2.93E+03 | 2.06E+03 | 1.96E+03 | |
| F18 | mean | 3.55E+06 | 1.23E+07 | 1.40E+07 | 6.11E+07 | 1.21E+07 | 5.75E+07 | 1.38E+07 | 2.80E+06 |
| std | 4.91E+06 | 6.57E+06 | 6.68E+06 | 6.14E+07 | 1.12E+07 | 4.62E+07 | 1.56E+07 | 5.15E+06 | |
| best | 1.42E+05 | 2.57E+06 | 2.49E+06 | 7.44E+06 | 1.07E+06 | 3.97E+06 | 8.22E+05 | 6.04E+04 | |
| F19 | mean | 2.41E+06 | 2.05E+08 | 9.07E+07 | 8.11E+08 | 2.53E+07 | 9.08E+08 | 1.34E+06 | 6.88E+05 |
| std | 4.86E+06 | 1.25E+08 | 5.68E+07 | 5.42E+08 | 2.05E+07 | 4.37E+08 | 2.43E+06 | 1.34E+06 | |
| best | 6.10E+03 | 4.24E+07 | 1.44E+07 | 4.12E+07 | 1.67E+06 | 1.43E+08 | 1.78E+04 | 2.80E+03 | |
| F20 | mean | 2.72E+03 | 2.98E+03 | 2.88E+03 | 3.13E+03 | 2.87E+03 | 3.10E+03 | 2.93E+03 | 2.68E+03 |
| std | 2.61E+02 | 1.42E+02 | 1.51E+02 | 1.25E+02 | 1.83E+02 | 1.71E+02 | 3.26E+02 | 2.01E+02 | |
| best | 2.30E+03 | 2.58E+03 | 2.51E+03 | 2.81E+03 | 2.54E+03 | 2.69E+03 | 2.26E+03 | 2.25E+03 | |
| F21 | mean | 2.54E+03 | 2.62E+03 | 2.60E+03 | 2.75E+03 | 2.65E+03 | 2.74E+03 | 2.51E+03 | 2.47E+03 |
| std | 5.11E+01 | 2.49E+01 | 2.48E+01 | 6.22E+01 | 6.90E+01 | 5.27E+01 | 3.92E+01 | 5.66E+01 | |
| best | 2.43E+03 | 2.58E+03 | 2.55E+03 | 2.59E+03 | 2.50E+03 | 2.65E+03 | 2.43E+03 | 2.38E+03 | |
| F22 | mean | 5.21E+03 | 5.31E+03 | 9.96E+03 | 7.22E+03 | 8.55E+03 | 9.74E+03 | 7.13E+03 | 3.51E+03 |
| std | 2.31E+03 | 1.89E+03 | 1.50E+03 | 1.27E+03 | 1.37E+03 | 6.47E+02 | 1.14E+03 | 2.14E+03 | |
| best | 2.41E+03 | 3.77E+03 | 4.08E+03 | 4.32E+03 | 3.77E+03 | 8.02E+03 | 2.42E+03 | 2.31E+03 | |
| F23 | mean | 3.02E+03 | 2.99E+03 | 3.09E+03 | 3.53E+03 | 3.15E+03 | 3.59E+03 | 2.97E+03 | 2.94E+03 |
| std | 8.21E+01 | 2.55E+01 | 3.88E+01 | 1.47E+02 | 1.21E+02 | 1.56E+02 | 6.06E+01 | 9.82E+01 | |
| best | 2.88E+03 | 2.94E+03 | 3.01E+03 | 3.12E+03 | 2.92E+03 | 3.31E+03 | 2.79E+03 | 2.79E+03 | |
| F24 | mean | 3.21E+03 | 3.13E+03 | 3.25E+03 | 4.07E+03 | 3.29E+03 | 3.85E+03 | 3.15E+03 | 3.15E+03 |
| std | 1.29E+02 | 2.78E+01 | 4.18E+01 | 1.92E+02 | 1.04E+02 | 1.50E+02 | 9.31E+01 | 1.02E+02 | |
| best | 2.96E+03 | 3.08E+03 | 3.19E+03 | 3.72E+03 | 3.03E+03 | 3.55E+03 | 3.03E+03 | 2.92E+03 | |
| F25 | mean | 2.99E+03 | 4.60E+03 | 3.57E+03 | 6.08E+03 | 3.20E+03 | 5.13E+03 | 3.17E+03 | 2.92E+03 |
| std | 5.05E+01 | 4.58E+02 | 2.07E+02 | 6.62E+02 | 1.04E+02 | 5.05E+02 | 3.06E+02 | 2.31E+01 | |
| best | 2.89E+03 | 3.78E+03 | 3.27E+03 | 4.75E+03 | 3.06E+03 | 3.95E+03 | 2.98E+03 | 2.88E+03 | |
| F26 | mean | 6.89E+03 | 7.22E+03 | 7.83E+03 | 1.21E+04 | 8.44E+03 | 1.18E+04 | 6.17E+03 | 6.09E+03 |
| std | 6.28E+02 | 9.48E+02 | 4.19E+02 | 7.39E+02 | 1.18E+03 | 8.82E+02 | 6.65E+02 | 8.39E+02 | |
| best | 5.57E+03 | 5.39E+03 | 7.13E+03 | 1.09E+04 | 6.03E+03 | 1.00E+04 | 5.11E+03 | 4.93E+03 | |
| F27 | mean | 3.33E+03 | 3.40E+03 | 3.55E+03 | 4.52E+03 | 3.50E+03 | 4.59E+03 | 3.27E+03 | 3.34E+03 |
| std | 6.40E+01 | 4.99E+01 | 9.15E+01 | 2.96E+02 | 1.29E+02 | 4.50E+02 | 3.06E+01 | 7.42E+01 | |
| best | 3.23E+03 | 3.31E+03 | 3.40E+03 | 4.02E+03 | 3.32E+03 | 3.68E+03 | 3.21E+03 | 3.21E+03 | |
| F28 | mean | 3.47E+03 | 4.59E+03 | 4.51E+03 | 8.08E+03 | 3.89E+03 | 7.67E+03 | 3.78E+03 | 3.32E+03 |
| std | 2.09E+02 | 2.91E+02 | 3.35E+02 | 5.66E+02 | 2.63E+02 | 5.78E+02 | 4.88E+02 | 7.33E+01 | |
| best | 3.24E+03 | 4.05E+03 | 3.96E+03 | 7.07E+03 | 3.57E+03 | 6.12E+03 | 3.31E+03 | 3.21E+03 | |
| F29 | mean | 4.62E+03 | 5.12E+03 | 5.30E+03 | 1.54E+04 | 5.36E+03 | 8.66E+03 | 4.39E+03 | 4.38E+03 |
| std | 4.33E+02 | 2.60E+02 | 3.43E+02 | 1.55E+04 | 5.23E+02 | 2.32E+03 | 3.04E+02 | 4.15E+02 | |
| best | 3.79E+03 | 4.69E+03 | 4.79E+03 | 6.69E+03 | 4.24E+03 | 5.82E+03 | 3.87E+03 | 3.78E+03 | |
| F30 | mean | 3.65E+06 | 1.41E+08 | 1.94E+08 | 1.75E+09 | 8.07E+07 | 1.76E+09 | 3.88E+06 | 1.30E+06 |
| std | 7.32E+06 | 5.13E+07 | 6.05E+07 | 1.04E+09 | 7.42E+07 | 1.18E+09 | 1.25E+07 | 2.67E+06 | |
| best | 1.87E+04 | 2.75E+07 | 5.34E+07 | 1.88E+08 | 1.15E+07 | 4.05E+08 | 1.97E+04 | 6.40E+03 |
| DBO | PIO | SCA | BOA | WOA | COA | SA | EDBO | ||
|---|---|---|---|---|---|---|---|---|---|
| F1 | mean | 5.64E+09 | 9.56E+10 | 6.77E+10 | 1.07E+11 | 2.19E+10 | 1.15E+11 | 5.72E+09 | 9.44E+08 |
| std | 1.12E+10 | 1.29E+10 | 9.01E+09 | 8.32E+09 | 5.18E+09 | 8.52E+09 | 2.86E+09 | 1.20E+09 | |
| best | 1.21E+09 | 7.04E+10 | 5.12E+10 | 8.90E+10 | 1.37E+10 | 9.58E+10 | 2.04E+09 | 7.28E+07 | |
| F3 | mean | 2.96E+05 | 2.59E+05 | 2.22E+05 | 4.03E+05 | 3.32E+05 | 2.88E+05 | 6.30E+05 | 2.88E+05 |
| std | 7.25E+04 | 3.77E+04 | 3.72E+04 | 1.84E+05 | 1.08E+05 | 2.05E+04 | 1.31E+05 | 1.09E+05 | |
| best | 1.74E+05 | 1.90E+05 | 1.55E+05 | 1.78E+05 | 1.76E+05 | 1.65E+05 | 3.98E+05 | 1.50E+05 | |
| F4 | mean | 1.97E+03 | 1.42E+04 | 1.41E+04 | 4.03E+04 | 5.00E+03 | 4.24E+04 | 1.40E+03 | 7.89E+02 |
| std | 2.55E+03 | 4.60E+03 | 2.09E+03 | 3.77E+03 | 1.33E+03 | 5.25E+03 | 6.47E+02 | 1.33E+02 | |
| best | 7.66E+02 | 8.33E+03 | 9.82E+03 | 3.29E+04 | 2.59E+03 | 3.22E+04 | 8.60E+02 | 5.87E+02 | |
| F5 | mean | 9.95E+02 | 1.23E+03 | 1.14E+03 | 1.19E+03 | 1.12E+03 | 1.19E+03 | 9.58E+02 | 8.64E+02 |
| std | 1.10E+02 | 4.24E+01 | 4.06E+01 | 2.83E+01 | 6.88E+01 | 3.23E+01 | 7.44E+01 | 6.73E+01 | |
| best | 7.71E+02 | 1.14E+03 | 1.07E+03 | 1.10E+03 | 1.01E+03 | 1.14E+03 | 8.21E+02 | 7.35E+02 | |
| F6 | mean | 6.70E+02 | 6.92E+02 | 6.85E+02 | 7.04E+02 | 7.00E+02 | 7.01E+02 | 6.56E+02 | 6.49E+02 |
| std | 1.16E+01 | 9.67E+00 | 6.01E+00 | 5.07E+00 | 1.31E+01 | 5.11E+00 | 8.10E+00 | 8.65E+00 | |
| best | 6.42E+02 | 6.71E+02 | 6.74E+02 | 6.90E+02 | 6.80E+02 | 6.91E+02 | 6.31E+02 | 6.30E+02 | |
| F7 | mean | 1.51E+03 | 2.15E+03 | 1.89E+03 | 2.01E+03 | 1.89E+03 | 2.04E+03 | 1.48E+03 | 1.39E+03 |
| std | 1.43E+02 | 3.82E+01 | 1.14E+02 | 3.93E+01 | 9.11E+01 | 6.11E+01 | 1.14E+02 | 9.88E+01 | |
| best | 1.28E+03 | 2.08E+03 | 1.59E+03 | 1.93E+03 | 1.72E+03 | 1.86E+03 | 1.24E+03 | 1.18E+03 | |
| F8 | mean | 1.30E+03 | 1.56E+03 | 1.46E+03 | 1.52E+03 | 1.40E+03 | 1.49E+03 | 1.27E+03 | 1.13E+03 |
| std | 9.49E+01 | 4.82E+01 | 3.51E+01 | 2.51E+01 | 5.98E+01 | 3.14E+01 | 6.69E+01 | 5.66E+01 | |
| best | 1.13E+03 | 1.46E+03 | 1.38E+03 | 1.44E+03 | 1.30E+03 | 1.44E+03 | 1.11E+03 | 1.04E+03 | |
| F9 | mean | 2.72E+04 | 4.16E+04 | 3.35E+04 | 3.96E+04 | 3.97E+04 | 3.83E+04 | 3.32E+04 | 2.92E+04 |
| std | 8.02E+03 | 7.38E+03 | 5.52E+03 | 2.50E+03 | 9.77E+03 | 3.47E+03 | 1.03E+04 | 8.06E+03 | |
| best | 1.10E+04 | 2.38E+04 | 2.44E+04 | 3.48E+04 | 2.46E+04 | 2.93E+04 | 1.67E+04 | 1.08E+04 | |
| F10 | mean | 1.08E+04 | 1.57E+04 | 1.55E+04 | 1.57E+04 | 1.36E+04 | 1.51E+04 | 8.97E+03 | 1.23E+04 |
| std | 2.16E+03 | 4.34E+02 | 5.38E+02 | 3.96E+02 | 7.83E+02 | 4.51E+02 | 9.25E+02 | 2.34E+03 | |
| best | 6.95E+03 | 1.46E+04 | 1.35E+04 | 1.50E+04 | 1.18E+04 | 1.43E+04 | 7.21E+03 | 6.43E+03 | |
| F11 | mean | 5.21E+03 | 1.59E+04 | 1.25E+04 | 2.42E+04 | 9.04E+03 | 2.58E+04 | 4.08E+04 | 2.86E+03 |
| std | 4.20E+03 | 4.92E+03 | 2.23E+03 | 2.24E+03 | 2.18E+03 | 3.26E+03 | 1.53E+04 | 8.35E+02 | |
| best | 1.89E+03 | 8.27E+03 | 7.90E+03 | 1.96E+04 | 5.55E+03 | 1.83E+04 | 1.17E+04 | 1.74E+03 | |
| F12 | mean | 1.38E+09 | 1.44E+10 | 2.40E+10 | 8.22E+10 | 4.22E+09 | 8.76E+10 | 8.15E+08 | 2.32E+08 |
| std | 1.05E+09 | 3.11E+09 | 6.37E+09 | 1.43E+10 | 1.68E+09 | 1.54E+10 | 5.17E+08 | 4.80E+08 | |
| best | 3.47E+08 | 7.65E+09 | 1.34E+10 | 5.64E+10 | 1.83E+09 | 5.84E+10 | 2.46E+08 | 8.82E+06 | |
| F13 | mean | 1.10E+08 | 4.67E+09 | 6.19E+09 | 4.64E+10 | 5.00E+08 | 5.00E+10 | 2.88E+08 | 2.13E+07 |
| std | 1.09E+08 | 8.71E+08 | 2.51E+09 | 1.60E+10 | 2.92E+08 | 1.42E+10 | 2.31E+08 | 5.70E+07 | |
| best | 2.18E+05 | 2.96E+09 | 3.02E+09 | 1.39E+10 | 1.10E+08 | 2.22E+10 | 2.52E+07 | 8.00E+04 | |
| F14 | mean | 5.52E+06 | 4.91E+06 | 8.02E+06 | 1.52E+08 | 1.05E+07 | 8.70E+07 | 2.63E+07 | 7.36E+06 |
| std | 6.95E+06 | 2.28E+06 | 3.35E+06 | 1.09E+08 | 1.03E+07 | 5.76E+07 | 2.12E+07 | 1.83E+07 | |
| best | 8.55E+04 | 8.50E+05 | 1.50E+06 | 3.61E+07 | 5.62E+05 | 1.58E+07 | 2.59E+06 | 7.79E+04 | |
| F15 | mean | 1.58E+07 | 1.81E+09 | 1.16E+09 | 8.25E+09 | 6.26E+07 | 9.11E+09 | 1.62E+08 | 6.05E+05 |
| std | 5.80E+07 | 5.81E+08 | 5.34E+08 | 3.09E+09 | 7.68E+07 | 3.66E+09 | 3.42E+08 | 2.83E+06 | |
| best | 3.69E+04 | 8.48E+08 | 2.42E+08 | 1.01E+09 | 7.27E+06 | 4.18E+09 | 1.17E+06 | 6.33E+03 | |
| F16 | mean | 4.88E+03 | 6.38E+03 | 6.23E+03 | 1.10E+04 | 6.38E+03 | 1.02E+04 | 4.54E+03 | 4.45E+03 |
| std | 5.74E+02 | 5.02E+02 | 4.50E+02 | 1.48E+03 | 1.08E+03 | 1.66E+03 | 5.10E+02 | 7.52E+02 | |
| best | 3.62E+03 | 5.51E+03 | 5.06E+03 | 8.08E+03 | 3.87E+03 | 7.17E+03 | 3.71E+03 | 2.66E+03 | |
| F17 | mean | 4.11E+03 | 5.77E+03 | 5.18E+03 | 1.65E+04 | 4.65E+03 | 1.32E+04 | 4.06E+03 | 3.66E+03 |
| std | 4.75E+02 | 4.53E+02 | 6.25E+02 | 8.95E+03 | 5.11E+02 | 8.89E+03 | 6.09E+02 | 3.74E+02 | |
| best | 3.11E+03 | 4.87E+03 | 4.48E+03 | 5.32E+03 | 3.66E+03 | 5.11E+03 | 2.90E+03 | 2.87E+03 | |
| F18 | mean | 1.12E+07 | 5.75E+07 | 5.87E+07 | 2.38E+08 | 6.89E+07 | 2.23E+08 | 5.68E+07 | 6.74E+06 |
| std | 1.32E+07 | 2.13E+07 | 2.81E+07 | 1.37E+08 | 4.00E+07 | 8.10E+07 | 4.20E+07 | 6.76E+06 | |
| best | 6.03E+05 | 1.85E+07 | 1.59E+07 | 2.92E+07 | 1.74E+06 | 9.39E+07 | 6.23E+06 | 3.28E+05 | |
| F19 | mean | 1.29E+07 | 7.32E+08 | 7.12E+08 | 4.54E+09 | 2.29E+07 | 4.57E+09 | 1.40E+07 | 2.54E+06 |
| std | 1.87E+07 | 2.40E+08 | 4.52E+08 | 1.93E+09 | 2.22E+07 | 1.81E+09 | 2.88E+07 | 4.46E+06 | |
| best | 5.63E+04 | 3.52E+08 | 2.60E+08 | 1.70E+09 | 1.48E+06 | 1.28E+09 | 5.26E+04 | 2.65E+03 | |
| F20 | mean | 3.84E+03 | 4.35E+03 | 4.32E+03 | 4.38E+03 | 3.93E+03 | 4.25E+03 | 3.79E+03 | 3.54E+03 |
| std | 3.65E+02 | 2.03E+02 | 1.84E+02 | 1.70E+02 | 3.61E+02 | 2.71E+02 | 4.15E+02 | 3.85E+02 | |
| best | 3.12E+03 | 3.89E+03 | 3.93E+03 | 3.91E+03 | 3.07E+03 | 3.62E+03 | 3.00E+03 | 2.78E+03 | |
| F21 | mean | 2.88E+03 | 3.00E+03 | 2.96E+03 | 3.25E+03 | 3.08E+03 | 3.27E+03 | 2.79E+03 | 2.67E+03 |
| std | 8.31E+01 | 4.65E+01 | 5.69E+01 | 6.85E+01 | 1.29E+02 | 1.17E+02 | 8.80E+01 | 7.77E+01 | |
| best | 2.70E+03 | 2.90E+03 | 2.81E+03 | 3.11E+03 | 2.86E+03 | 3.08E+03 | 2.67E+03 | 2.53E+03 | |
| F22 | mean | 1.29E+04 | 1.72E+04 | 1.72E+04 | 1.70E+04 | 1.48E+04 | 1.71E+04 | 1.07E+04 | 1.27E+04 |
| std | 3.05E+03 | 3.00E+02 | 3.63E+02 | 1.38E+03 | 1.14E+03 | 4.78E+02 | 8.44E+02 | 3.37E+03 | |
| best | 2.96E+03 | 1.66E+04 | 1.65E+04 | 1.16E+04 | 1.29E+04 | 1.60E+04 | 8.89E+03 | 2.53E+03 | |
| F23 | mean | 3.56E+03 | 3.50E+03 | 3.71E+03 | 4.76E+03 | 3.83E+03 | 4.55E+03 | 3.46E+03 | 3.34E+03 |
| std | 1.36E+02 | 6.36E+01 | 7.24E+01 | 2.06E+02 | 1.88E+02 | 2.26E+02 | 7.33E+01 | 1.77E+02 | |
| best | 3.29E+03 | 3.37E+03 | 3.55E+03 | 4.35E+03 | 3.56E+03 | 4.07E+03 | 3.07E+03 | 3.07E+03 | |
| F24 | mean | 3.70E+03 | 3.60E+03 | 3.91E+03 | 5.37E+03 | 3.91E+03 | 4.85E+03 | 3.72E+03 | 3.62E+03 |
| std | 1.37E+02 | 5.05E+01 | 7.43E+01 | 3.64E+02 | 1.57E+02 | 2.85E+02 | 1.90E+02 | 1.99E+02 | |
| best | 3.49E+03 | 3.51E+03 | 3.74E+03 | 4.65E+03 | 3.57E+03 | 4.43E+03 | 3.41E+03 | 3.31E+03 | |
| F25 | mean | 4.27E+03 | 1.37E+04 | 8.91E+03 | 1.61E+04 | 5.27E+03 | 1.56E+04 | 4.04E+03 | 3.25E+03 |
| std | 1.78E+03 | 2.04E+03 | 1.19E+03 | 1.17E+03 | 4.89E+02 | 1.38E+03 | 8.56E+02 | 8.63E+01 | |
| best | 3.14E+03 | 8.82E+03 | 6.41E+03 | 1.39E+04 | 4.50E+03 | 1.09E+04 | 3.32E+03 | 3.12E+03 | |
| F26 | mean | 1.08E+04 | 1.66E+04 | 1.40E+04 | 1.77E+04 | 1.56E+04 | 1.72E+04 | 8.85E+03 | 8.28E+03 |
| std | 1.07E+03 | 1.95E+03 | 7.91E+02 | 6.78E+02 | 1.46E+03 | 6.89E+02 | 1.05E+03 | 2.42E+03 | |
| best | 8.61E+03 | 1.25E+04 | 1.25E+04 | 1.62E+04 | 1.25E+04 | 1.57E+04 | 6.78E+03 | 3.99E+03 | |
| F27 | mean | 3.92E+03 | 4.26E+03 | 4.85E+03 | 7.14E+03 | 4.87E+03 | 7.11E+03 | 4.67E+03 | 3.97E+03 |
| std | 2.00E+02 | 1.12E+02 | 2.63E+02 | 6.34E+02 | 7.43E+02 | 6.63E+02 | 1.08E+02 | 3.43E+02 | |
| best | 3.60E+03 | 4.00E+03 | 4.36E+03 | 6.15E+03 | 3.71E+03 | 5.81E+03 | 3.44E+03 | 3.38E+03 | |
| F28 | mean | 6.51E+03 | 9.54E+03 | 8.60E+03 | 1.43E+04 | 6.06E+03 | 1.41E+04 | 5.95E+03 | 3.62E+03 |
| std | 2.05E+03 | 1.10E+03 | 8.82E+02 | 1.02E+03 | 6.78E+02 | 1.29E+03 | 1.39E+03 | 1.29E+02 | |
| best | 3.87E+03 | 7.69E+03 | 7.35E+03 | 1.13E+04 | 5.03E+03 | 1.16E+04 | 3.83E+03 | 3.42E+03 | |
| F29 | mean | 6.16E+03 | 7.95E+03 | 8.90E+03 | 3.51E+05 | 9.18E+03 | 1.90E+05 | 5.11E+03 | 5.71E+03 |
| std | 6.67E+02 | 6.06E+02 | 1.04E+03 | 3.30E+05 | 1.54E+03 | 1.98E+05 | 3.78E+02 | 6.73E+02 | |
| best | 4.84E+03 | 6.94E+03 | 6.66E+03 | 3.44E+04 | 6.33E+03 | 2.45E+04 | 4.40E+03 | 4.11E+03 | |
| F30 | mean | 5.35E+07 | 1.38E+09 | 1.26E+09 | 7.61E+09 | 2.94E+08 | 8.13E+09 | 5.30E+07 | 3.40E+07 |
| std | 6.44E+07 | 2.93E+08 | 2.83E+08 | 3.28E+09 | 1.25E+08 | 2.96E+09 | 1.31E+08 | 3.66E+07 | |
| best | 5.01E+06 | 7.66E+08 | 8.26E+08 | 3.03E+09 | 7.10E+07 | 2.69E+09 | 7.21E+08 | 2.78E+06 |
| DBO | PIO | SCA | BOA | WOA | COA | SA | EDBO | ||
|---|---|---|---|---|---|---|---|---|---|
| F1 | mean | 1.09E+11 | 2.72E+11 | 2.12E+11 | 2.61E+11 | 1.10E+11 | 2.72E+11 | 3.90E+10 | 2.59E+10 |
| std | 7.37E+10 | 1.48E+10 | 1.23E+10 | 1.38E+10 | 1.18E+10 | 9.96E+09 | 1.20E+10 | 9.91E+09 | |
| best | 2.48E+10 | 2.31E+11 | 1.91E+11 | 2.30E+11 | 7.84E+10 | 2.50E+11 | 2.14E+10 | 1.14E+10 | |
| F3 | mean | 7.56E+05 | 4.77E+05 | 6.11E+05 | 5.69E+05 | 8.94E+05 | 3.56E+05 | 1.20E+06 | 4.39E+05 |
| std | 3.14E+05 | 1.68E+05 | 1.02E+05 | 3.41E+05 | 2.02E+05 | 1.39E+04 | 1.42E+05 | 1.04E+05 | |
| best | 3.62E+05 | 3.67E+05 | 4.65E+05 | 3.45E+05 | 3.56E+05 | 3.21E+05 | 8.20E+05 | 3.21E+05 | |
| F4 | mean | 1.39E+04 | 7.01E+04 | 5.34E+04 | 1.16E+05 | 2.23E+04 | 1.10E+05 | 4.88E+03 | 3.21E+03 |
| std | 1.27E+04 | 1.50E+04 | 1.04E+04 | 1.09E+04 | 4.76E+03 | 1.47E+04 | 1.50E+03 | 8.59E+02 | |
| best | 3.40E+03 | 4.92E+04 | 3.42E+04 | 9.67E+04 | 1.36E+04 | 7.77E+04 | 2.90E+03 | 1.85E+03 | |
| F5 | mean | 1.70E+03 | 2.21E+03 | 2.07E+03 | 2.10E+03 | 1.98E+03 | 2.13E+03 | 1.81E+03 | 1.56E+03 |
| std | 2.08E+02 | 5.48E+01 | 5.66E+01 | 3.49E+01 | 1.01E+02 | 4.45E+01 | 1.39E+02 | 1.69E+02 | |
| best | 1.42E+03 | 2.10E+03 | 1.95E+03 | 2.00E+03 | 1.79E+03 | 2.03E+03 | 1.50E+03 | 1.35E+03 | |
| F6 | mean | 6.81E+02 | 7.17E+02 | 7.06E+02 | 7.13E+02 | 7.08E+02 | 7.13E+02 | 6.53E+02 | 6.68E+02 |
| std | 1.25E+01 | 4.96E+00 | 5.43E+00 | 2.37E+00 | 9.95E+00 | 3.42E+00 | 5.66E+00 | 6.06E+00 | |
| best | 6.63E+02 | 7.04E+02 | 6.97E+02 | 7.07E+02 | 6.91E+02 | 7.06E+02 | 6.63E+02 | 6.57E+02 | |
| F7 | mean | 3.02E+03 | 4.13E+03 | 4.06E+03 | 3.97E+03 | 3.82E+03 | 4.02E+03 | 3.23E+03 | 2.85E+03 |
| std | 2.49E+02 | 7.04E+01 | 2.62E+02 | 6.42E+01 | 1.41E+02 | 7.13E+01 | 3.01E+02 | 1.87E+02 | |
| best | 2.55E+03 | 3.94E+03 | 3.54E+03 | 3.79E+03 | 3.52E+03 | 3.85E+03 | 2.67E+03 | 2.47E+03 | |
| F8 | mean | 2.15E+03 | 2.66E+03 | 2.41E+03 | 2.58E+03 | 2.41E+03 | 2.59E+03 | 2.11E+03 | 1.94E+03 |
| std | 2.39E+02 | 4.98E+01 | 7.51E+01 | 2.98E+01 | 1.09E+02 | 5.04E+01 | 1.31E+02 | 2.30E+02 | |
| best | 1.75E+03 | 2.53E+03 | 2.30E+03 | 2.50E+03 | 2.18E+03 | 2.49E+03 | 1.85E+03 | 1.56E+03 | |
| F9 | mean | 7.91E+04 | 1.02E+05 | 9.08E+04 | 8.32E+04 | 8.19E+04 | 8.00E+04 | 9.72E+04 | 7.53E+04 |
| std | 9.84E+03 | 4.67E+03 | 9.65E+03 | 3.86E+03 | 1.80E+04 | 4.77E+03 | 1.61E+04 | 1.08E+04 | |
| best | 4.17E+04 | 9.22E+04 | 7.42E+04 | 7.54E+04 | 6.04E+04 | 6.89E+04 | 7.07E+04 | 3.94E+04 | |
| F10 | mean | 2.96E+04 | 3.32E+04 | 3.31E+04 | 3.32E+04 | 2.96E+04 | 3.28E+04 | 2.07E+04 | 2.98E+04 |
| std | 3.65E+03 | 6.96E+02 | 6.05E+02 | 7.63E+02 | 1.49E+03 | 6.37E+02 | 1.36E+03 | 3.40E+03 | |
| best | 2.07E+04 | 3.08E+04 | 3.18E+04 | 3.12E+04 | 2.67E+04 | 3.13E+04 | 2.80E+04 | 2.03E+04 | |
| F11 | mean | 2.21E+05 | 2.39E+05 | 1.77E+05 | 4.28E+05 | 2.83E+05 | 2.69E+05 | 2.39E+05 | 2.93E+05 |
| std | 5.01E+04 | 5.02E+04 | 3.67E+04 | 2.01E+05 | 1.18E+05 | 6.36E+04 | 4.66E+04 | 8.77E+04 | |
| best | 1.40E+05 | 1.04E+05 | 1.03E+05 | 2.09E+05 | 1.42E+05 | 1.48E+05 | 1.73E+05 | 9.14E+04 | |
| F12 | mean | 6.96E+09 | 9.56E+10 | 1.03E+11 | 1.98E+11 | 3.01E+10 | 2.02E+11 | 7.86E+09 | 2.29E+09 |
| std | 2.35E+09 | 1.20E+10 | 1.38E+10 | 2.13E+10 | 6.02E+09 | 2.62E+10 | 4.24E+09 | 1.55E+09 | |
| best | 3.17E+09 | 7.59E+10 | 7.95E+10 | 1.42E+11 | 1.82E+10 | 1.19E+11 | 1.74E+09 | 6.68E+08 | |
| F13 | mean | 2.32E+08 | 1.54E+10 | 1.86E+10 | 4.69E+10 | 2.73E+09 | 4.94E+10 | 5.06E+08 | 1.96E+07 |
| std | 1.71E+08 | 3.89E+09 | 3.31E+09 | 5.54E+09 | 9.33E+08 | 5.97E+09 | 2.96E+08 | 3.83E+07 | |
| best | 1.69E+07 | 6.77E+09 | 1.28E+10 | 2.77E+10 | 1.30E+09 | 3.75E+10 | 1.24E+08 | 1.67E+05 | |
| F14 | mean | 1.63E+07 | 7.60E+07 | 6.49E+07 | 1.26E+08 | 1.74E+07 | 1.01E+08 | 7.72E+07 | 4.15E+06 |
| std | 1.41E+07 | 2.14E+07 | 2.64E+07 | 6.85E+07 | 8.92E+06 | 3.97E+07 | 4.32E+07 | 2.39E+06 | |
| best | 9.95E+05 | 2.67E+07 | 1.86E+07 | 3.35E+07 | 7.47E+06 | 5.15E+07 | 1.88E+07 | 9.05E+05 | |
| F15 | mean | 7.69E+07 | 5.02E+09 | 6.86E+09 | 2.27E+10 | 4.09E+08 | 2.58E+10 | 1.25E+08 | 1.16E+06 |
| std | 8.72E+07 | 1.26E+09 | 1.85E+09 | 4.88E+09 | 2.32E+08 | 4.70E+09 | 1.33E+08 | 3.11E+06 | |
| best | 1.57E+05 | 2.64E+09 | 3.77E+09 | 1.12E+10 | 1.16E+08 | 1.60E+10 | 1.37E+07 | 4.12E+04 | |
| F16 | mean | 9.34E+03 | 1.43E+04 | 1.51E+04 | 2.66E+04 | 1.69E+04 | 2.53E+04 | 8.06E+03 | 7.48E+03 |
| std | 1.47E+03 | 6.09E+02 | 9.51E+02 | 2.29E+03 | 2.49E+03 | 3.10E+03 | 9.71E+02 | 1.41E+03 | |
| best | 7.15E+03 | 1.32E+04 | 1.35E+04 | 1.97E+04 | 1.32E+04 | 1.89E+04 | 6.20E+03 | 6.20E+03 | |
| F17 | mean | 9.06E+03 | 2.58E+04 | 7.76E+04 | 1.60E+07 | 3.12E+04 | 1.00E+07 | 1.46E+04 | 6.94E+03 |
| std | 1.39E+03 | 1.31E+04 | 6.90E+04 | 1.05E+07 | 3.67E+04 | 8.20E+06 | 1.69E+04 | 8.61E+02 | |
| best | 6.35E+03 | 1.20E+04 | 1.25E+04 | 2.44E+06 | 8.41E+03 | 4.67E+05 | 6.09E+03 | 5.09E+03 | |
| F18 | mean | 2.56E+07 | 1.21E+08 | 1.33E+08 | 2.87E+08 | 2.12E+07 | 3.30E+08 | 7.60E+07 | 1.02E+07 |
| std | 1.48E+07 | 3.45E+07 | 5.72E+07 | 1.31E+08 | 9.63E+06 | 1.13E+08 | 5.10E+07 | 6.26E+06 | |
| best | 7.57E+06 | 6.05E+07 | 6.59E+07 | 8.25E+07 | 3.66E+06 | 1.35E+08 | 1.02E+07 | 6.93E+05 | |
| F19 | mean | 8.94E+07 | 5.42E+09 | 5.40E+09 | 2.56E+10 | 4.93E+08 | 2.71E+10 | 1.79E+08 | 8.19E+06 |
| std | 8.17E+07 | 1.34E+09 | 1.46E+09 | 4.97E+09 | 2.21E+08 | 4.90E+09 | 2.04E+08 | 1.35E+07 | |
| best | 1.92E+07 | 2.94E+09 | 2.29E+09 | 1.07E+10 | 2.02E+08 | 1.49E+10 | 7.79E+06 | 1.03E+05 | |
| F20 | mean | 7.49E+03 | 8.11E+03 | 8.03E+03 | 8.17E+03 | 7.19E+03 | 7.79E+03 | 7.33E+03 | 7.05E+03 |
| std | 6.77E+02 | 3.73E+02 | 3.67E+02 | 2.97E+02 | 6.37E+02 | 3.09E+02 | 5.69E+02 | 7.25E+02 | |
| best | 5.99E+03 | 6.98E+03 | 7.27E+03 | 7.29E+03 | 5.82E+03 | 6.99E+03 | 5.93E+03 | 5.39E+03 | |
| F21 | mean | 4.03E+03 | 4.11E+03 | 4.21E+03 | 4.92E+03 | 4.44E+03 | 5.07E+03 | 3.68E+03 | 3.50E+03 |
| std | 1.65E+02 | 1.03E+02 | 1.05E+02 | 1.80E+02 | 1.95E+02 | 2.01E+02 | 1.89E+02 | 2.11E+02 | |
| best | 3.71E+03 | 3.95E+03 | 4.01E+03 | 4.60E+03 | 4.04E+03 | 4.57E+03 | 3.40E+03 | 3.12E+03 | |
| F22 | mean | 3.10E+04 | 3.56E+04 | 3.55E+04 | 3.57E+04 | 3.21E+04 | 3.50E+04 | 2.28E+04 | 3.05E+04 |
| std | 3.68E+03 | 7.51E+02 | 5.56E+02 | 5.87E+02 | 1.48E+03 | 8.55E+02 | 1.37E+03 | 4.56E+03 | |
| best | 2.29E+04 | 3.34E+04 | 3.43E+04 | 3.43E+04 | 2.84E+04 | 3.34E+04 | 2.26E+04 | 2.20E+04 | |
| F23 | mean | 4.75E+03 | 4.69E+03 | 5.23E+03 | 6.62E+03 | 5.30E+03 | 6.71E+03 | 4.70E+03 | 4.59E+03 |
| std | 2.51E+02 | 1.13E+02 | 1.05E+02 | 2.09E+02 | 2.98E+02 | 3.57E+02 | 7.67E+01 | 3.81E+02 | |
| best | 4.30E+03 | 4.46E+03 | 5.04E+03 | 6.29E+03 | 4.76E+03 | 5.83E+03 | 4.57E+03 | 3.85E+03 | |
| F24 | mean | 6.13E+03 | 5.90E+03 | 7.42E+03 | 1.24E+04 | 6.74E+03 | 1.03E+04 | 4.52E+03 | 6.25E+03 |
| std | 4.60E+02 | 2.23E+02 | 3.05E+02 | 1.51E+03 | 4.07E+02 | 9.95E+02 | 1.51E+02 | 7.80E+02 | |
| best | 5.24E+03 | 5.45E+03 | 6.90E+03 | 9.44E+03 | 5.88E+03 | 8.59E+03 | 5.24E+03 | 4.96E+03 | |
| F25 | mean | 9.79E+03 | 3.02E+04 | 2.27E+04 | 2.95E+04 | 1.10E+04 | 2.98E+04 | 8.57E+03 | 5.67E+03 |
| std | 6.85E+03 | 2.30E+03 | 3.86E+03 | 1.60E+03 | 1.27E+03 | 1.90E+03 | 1.84E+03 | 7.02E+02 | |
| best | 4.88E+03 | 2.56E+04 | 1.66E+04 | 2.68E+04 | 9.10E+03 | 2.51E+04 | 5.95E+03 | 4.63E+03 | |
| F26 | mean | 2.66E+04 | 4.59E+04 | 4.07E+04 | 5.76E+04 | 3.78E+04 | 5.30E+04 | 2.92E+04 | 2.12E+04 |
| std | 3.36E+03 | 1.04E+04 | 2.38E+03 | 2.39E+03 | 3.06E+03 | 2.17E+03 | 1.19E+03 | 3.46E+03 | |
| best | 2.13E+04 | 2.94E+04 | 3.73E+04 | 5.29E+04 | 3.21E+04 | 4.83E+04 | 1.70E+04 | 1.66E+04 | |
| F27 | mean | 4.84E+03 | 6.42E+03 | 8.76E+03 | 1.51E+04 | 6.38E+03 | 1.55E+04 | 3.92E+03 | 3.63E+03 |
| std | 4.85E+02 | 5.35E+02 | 6.27E+02 | 1.35E+03 | 1.21E+03 | 1.34E+03 | 1.15E+02 | 6.49E+02 | |
| best | 4.13E+03 | 5.54E+03 | 7.58E+03 | 1.25E+04 | 4.87E+03 | 1.29E+04 | 3.68E+03 | 3.59E+03 | |
| F28 | mean | 1.84E+04 | 3.29E+04 | 2.76E+04 | 3.67E+04 | 1.48E+04 | 3.06E+04 | 1.58E+04 | 6.41E+03 |
| std | 5.75E+03 | 1.45E+03 | 2.26E+03 | 1.63E+03 | 1.08E+03 | 1.28E+03 | 2.48E+03 | 7.82E+02 | |
| best | 7.36E+03 | 2.76E+04 | 2.33E+04 | 3.31E+04 | 1.22E+04 | 2.73E+04 | 9.42E+03 | 5.27E+03 | |
| F29 | mean | 1.22E+04 | 3.25E+04 | 3.88E+04 | 9.64E+05 | 2.13E+04 | 8.02E+05 | 1.01E+04 | 8.78E+03 |
| std | 1.55E+03 | 1.43E+04 | 1.72E+04 | 5.43E+05 | 4.03E+03 | 3.66E+05 | 2.91E+03 | 8.14E+02 | |
| best | 9.56E+03 | 2.19E+04 | 1.73E+04 | 1.78E+05 | 1.43E+04 | 1.73E+05 | 6.77E+03 | 6.67E+03 | |
| F30 | mean | 2.90E+08 | 7.39E+09 | 1.27E+10 | 4.09E+10 | 3.26E+09 | 4.51E+10 | 3.45E+08 | 7.58E+07 |
| std | 1.86E+08 | 1.67E+09 | 2.53E+09 | 6.81E+09 | 1.01E+09 | 5.36E+09 | 3.38E+08 | 1.17E+08 | |
| best | 7.44E+07 | 4.52E+09 | 8.10E+09 | 2.86E+10 | 1.85E+09 | 3.26E+10 | 6.36E+07 | 2.67E+06 |
| DBO | PIO | SCA | BOA | WOA | SA | COA | |
|---|---|---|---|---|---|---|---|
| F1 | 6.53E-08 < 0.05 | 2.12E-11 < 0.05 | 2.12E-11 < 0.05 | 3.02E-11 < 0.05 | 3.02E-11 < 0.05 | 1.96E-10 < 0.05 | 3.02E-11 < 0.05 |
| F3 | 3.78E-02 < 0.05 | 6.53E-07 < 0.05 | 4.33E-01 | 4.55E-01 | 3.02E-11 < 0.05 | 1.70E-08 < 0.05 | 1.91E-01 |
| F4 | 1.85E-08 < 0.05 | 1.82E-11 < 0.05 | 7.02E-10 < 0.05 | 3.02E-11 < 0.05 | 3.69E-11 < 0.05 | 7.69E-08 < 0.05 | 3.02E-11 < 0.05 |
| F5 | 7.12E-09 < 0.05 | 2.92E-11 < 0.05 | 5.11E-10 < 0.05 | 8.02E-09 < 0.05 | 1.02E-11 < 0.05 | 6.36E-05 < 0.05 | 1.55E-09 < 0.05 |
| F6 | 9.52E-04 < 0.05 | 3.01E-10 < 0.05 | 2.69E-09 < 0.05 | 1.77E-10 < 0.05 | 4.02E-08 < 0.05 | 1.25E-05 < 0.05 | 4.04E-08 < 0.05 |
| F7 | 7.73E-03 < 0.05 | 3.02E-11 < 0.05 | 7.39E-11 < 0.05 | 3.02E-11 < 0.05 | 4.50E-11 < 0.05 | 1.63E-02 < 0.05 | 3.02E-11 < 0.05 |
| F8 | 4.11E-07 < 0.05 | 5.02E-09 < 0.05 | 3.02E-11 < 0.05 | 3.02E-11 < 0.05 | 1.21E-10 < 0.05 | 5.09E-08 < 0.05 | 3.02E-11 < 0.05 |
| F9 | 1.76E-01 | 1.29E-09 < 0.05 | 1.24E-03 < 0.05 | 1.41E-09 < 0.05 | 6.01E-08 < 0.05 | 2.60E-08 < 0.05 | 2.03E-09 < 0.05 |
| F10 | 7.01E-03 < 0.05 | 2.23E-09 < 0.05 | 1.41E-09 < 0.05 | 9.92E-11 < 0.05 | 2.89E-03 < 0.05 | 1.73E-07 < 0.05 | 1.17E-09 < 0.05 |
| F11 | 1.87E-07 < 0.05 | 2.02E-11 < 0.05 | 2.02E-11 < 0.05 | 2.02E-11 < 0.05 | 2.02E-11 < 0.05 | 2.02E-11 < 0.05 | 3.02E-11 < 0.05 |
| F12 | 1.05E-01 | 4.08E-11 < 0.05 | 3.42E-10 < 0.05 | 6.88E-10 < 0.05 | 6.70E-11 < 0.05 | 1.89E-04 < 0.05 | 3.02E-11 < 0.05 |
| F13 | 1.50E-02 < 0.05 | 4.08E-11 < 0.05 | 3.69E-11 < 0.05 | 3.02E-11 < 0.05 | 1.47E-07 < 0.05 | 2.39E-08 < 0.05 | 3.02E-11 < 0.05 |
| F14 | 9.82E-03 < 0.05 | 6.20E-04 < 0.05 | 2.39E-04 < 0.05 | 1.43E-08 < 0.05 | 2.32E-06 < 0.05 | 1.10E-08 < 0.05 | 1.43E-08 < 0.05 |
| F15 | 4.06E-02 < 0.05 | 7.52E-09 < 0.05 | 6.24E-08 < 0.05 | 9.25E-10 < 0.05 | 2.02E-11 < 0.05 | 5.46E-09 < 0.05 | 3.02E-11 < 0.05 |
| F16 | 4.84E-02 < 0.05 | 4.08E-11 < 0.05 | 1.21E-10 < 0.05 | 3.02E-11 < 0.05 | 2.23E-09 < 0.05 | 2.17E-01 | 3.02E-11 < 0.05 |
| F17 | 6.10E-01 | 1.37E-03 < 0.05 | 2.40E-01 | 4.50E-11 < 0.05 | 2.07E-02 < 0.05 | 7.17E-01 | 2.87E-10 < 0.05 |
| F18 | 2.06E-02 < 0.05 | 5.09E-06 < 0.05 | 1.10E-08 < 0.05 | 5.07E-10 < 0.05 | 1.11E-04 < 0.05 | 1.49E-06 < 0.05 | 1.78E-10 < 0.05 |
| F19 | 1.17E-04 < 0.05 | 2.02E-10 < 0.05 | 3.02E-11 < 0.05 | 3.02E-11 < 0.05 | 2.92E-09 < 0.05 | 8.15E-05 < 0.05 | 3.02E-11 < 0.05 |
| F20 | 1.26E-01 | 1.16E-07 < 0.05 | 2.32E-06 < 0.05 | 8.48E-09 < 0.05 | 2.25E-04 < 0.05 | 3.83E-05 < 0.05 | 1.29E-09 < 0.05 |
| F21 | 1.87E-07 < 0.05 | 3.69E-11 < 0.05 | 5.49E-11 < 0.05 | 9.92E-11 < 0.05 | 1.21E-10 < 0.05 | 7.96E-03 < 0.05 | 3.02E-11 < 0.05 |
| F22 | 1.68E-04 < 0.05 | 5.46E-06 < 0.05 | 1.61E-10 < 0.05 | 5.53E-08 < 0.05 | 8.10E-10 < 0.05 | 1.47E-07 < 0.05 | 1.09E-10 < 0.05 |
| F23 | 2.34E-02 < 0.05 | 6.31E-01 | 1.03E-06 < 0.05 | 3.02E-11 < 0.05 | 1.10E-08 < 0.05 | 1.17E-04 < 0.05 | 3.02E-11 < 0.05 |
| F24 | 7.84E-01 | 2.97E-01 | 3.83E-05 < 0.05 | 3.02E-11 < 0.05 | 1.24E-03 < 0.05 | 6.84E-01 | 3.02E-11 < 0.05 |
| F25 | 2.32E-06 < 0.05 | 5.14E-10 < 0.05 | 2.62E-10 < 0.05 | 7.58E-10 < 0.05 | 2.12E-11 < 0.05 | 5.49E-11 < 0.05 | 3.02E-11 < 0.05 |
| F26 | 1.64E-05 < 0.05 | 1.32E-04 < 0.05 | 1.96E-10 < 0.05 | 3.02E-11 < 0.05 | 1.10E-08 < 0.05 | 1.33E-02 < 0.05 | 3.02E-11 < 0.05 |
| F27 | 5.69E-01 | 4.08E-05 < 0.05 | 2.37E-10 < 0.05 | 3.02E-11 < 0.05 | 3.81E-07 < 0.05 | 1.49E-04 < 0.05 | 3.02E-11 < 0.05 |
| F28 | 3.96E-08 < 0.05 | 2.37E -11 < 0.05 | 2.37E -11 < 0.05 | 5.02E-09 < 0.05 | 3.02E-11 < 0.05 | 2.61E-10 < 0.05 | 3.02E-11 < 0.05 |
| F29 | 1.26E-02 < 0.05 | 4.18E-09 < 0.05 | 2.15E-10 < 0.05 | 5.32E-10 < 0.05 | 8.10E-10 < 0.05 | 5.20E-03 < 0.05 | 3.02E-11 < 0.05 |
| F30 | 1.49E-02 < 0.05 | 7.88E-09 < 0.05 | 1.25E-10 < 0.05 | 2.04E-11 < 0.05 | 5.49E-11 < 0.05 | 2.58E-04 < 0.05 | 3.02E-11 < 0.05 |
| DBO | PIO | SCA | BOA | WOA | SA | COA | |
|---|---|---|---|---|---|---|---|
| F1 | 1.46E-10 < 0.05 | 2.63E-11 < 0.05 | 2.98E-10 < 0.05 | 6.74E-10 < 0.05 | 3.02E-11 < 0.05 | 3.02E-11 < 0.05 | 3.02E-11 < 0.05 |
| F3 | 2.58E-01 | 1.58E-01 | 3.79E-01 | 2.39E-04 < 0.05 | 5.83E-03 < 0.05 | 1.29E-09 < 0.05 | 3.37E-04 < 0.05 |
| F4 | 5.00E-09 < 0.05 | 3.02E-11 < 0.05 | 5.33E-10 < 0.05 | 3.02E-11 < 0.05 | 3.02E-11 < 0.05 | 2.83E-08 < 0.05 | 3.02E-11 < 0.05 |
| F5 | 1.49E-06 < 0.05 | 3.02E-11 < 0.05 | 8.15E-11 < 0.05 | 3.34E-11 < 0.05 | 8.99E-11 < 0.05 | 7.69E-08 < 0.05 | 3.02E-11 < 0.05 |
| F6 | 8.20E-07 < 0.05 | 3.02E-11 < 0.05 | 2.95E-10 < 0.05 | 8.33E-10 < 0.05 | 3.02E-11 < 0.05 | 5.60E-07 < 0.05 | 3.02E-11 < 0.05 |
| F7 | 1.08E-02 < 0.05 | 3.02E-11 < 0.05 | 7.66E-10 < 0.05 | 2.12E-10 < 0.05 | 3.02E-11 < 0.05 | 3.03E-03 < 0.05 | 3.02E-11 < 0.05 |
| F8 | 2.39E-08 < 0.05 | 3.01E-11 < 0.05 | 3.02E-11 < 0.05 | 9.13E-10 < 0.05 | 4.88E-10 < 0.05 | 2.00E-06 < 0.05 | 3.02E-11 < 0.05 |
| F9 | 6.84E-01 | 1.41E-09 < 0.05 | 1.12E-01 | 1.69E-09 < 0.05 | 1.68E-03 < 0.05 | 2.89E-03 < 0.05 | 2.02E-08 < 0.05 |
| F10 | 3.40E-02 < 0.05 | 1.21E-10 < 0.05 | 2.15E-10 < 0.05 | 1.09E-10 < 0.05 | 5.09E-06 < 0.05 | 3.16E-05 < 0.05 | 3.47E-10 < 0.05 |
| F11 | 1.11E-06 < 0.05 | 3.02E-11 < 0.05 | 2.99E-11 < 0.05 | 3.02E-11 < 0.05 | 2.99E-11 < 0.05 | 3.02E-11 < 0.05 | 3.02E-11 < 0.05 |
| F12 | 1.07E-07 < 0.05 | 8.36E-10 < 0.05 | 2.99E-11 < 0.05 | 3.02E-11 < 0.05 | 2.63E-11 < 0.05 | 2.39E-08 < 0.05 | 3.02E-11 < 0.05 |
| F13 | 1.07E-07 < 0.05 | 6.45E-10 < 0.05 | 3.02E-11 < 0.05 | 1.88E-10 < 0.05 | 1.96E-10 < 0.05 | 1.55E-09 < 0.05 | 3.02E-11 < 0.05 |
| F14 | 5.49E-03 < 0.05 | 4.22E-04 < 0.05 | 1.29E-06 < 0.05 | 3.34E-11 < 0.05 | 2.75E-03 < 0.05 | 2.57E-07 < 0.05 | 3.69E-11 < 0.05 |
| F15 | 2.39E-04 < 0.05 | 6.35E-11 < 0.05 | 3.02E-11 < 0.05 | 7.41E-11 < 0.05 | 3.02E-11 < 0.05 | 6.33E-11 < 0.05 | 3.02E-11 < 0.05 |
| F16 | 3.04E-01 | 4.98E-11 < 0.05 | 1.09E-10 < 0.05 | 3.02E-11 < 0.05 | 4.62E-10 < 0.05 | 4.83E-01 | 3.02E-11 < 0.05 |
| F17 | 1.11E-06 < 0.05 | 2.36E-10 < 0.05 | 3.02E-11 < 0.05 | 6.54E-10 < 0.05 | 1.86E-09 < 0.05 | 1.17E-04 < 0.05 | 3.02E-11 < 0.05 |
| F18 | 3.67E-03 < 0.05 | 6.07E-11 < 0.05 | 3.02E-11 < 0.05 | 3.02E-11 < 0.05 | 1.78E-10 < 0.05 | 1.78E-10 < 0.05 | 3.02E-11 < 0.05 |
| F19 | 1.08E-02 < 0.05 | 3.02E-11 < 0.05 | 6.02E-10 < 0.05 | 3.02E-11 < 0.05 | 1.69E-09 < 0.05 | 1.44E-03 < 0.05 | 3.02E-11 < 0.05 |
| F20 | 6.67E-03 < 0.05 | 3.50E-09 < 0.05 | 8.89E-10 < 0.05 | 1.41E-09 < 0.05 | 4.84E-02 < 0.05 | 2.40E-01 | 4.62E-10 < 0.05 |
| F21 | 7.09E-08 < 0.05 | 5.49E-11 < 0.05 | 8.99E-11 < 0.05 | 3.02E-11 < 0.05 | 4.98E-11 < 0.05 | 1.34E-05 < 0.05 | 3.02E-11 < 0.05 |
| F22 | 1.71E-01 | 6.28E-06 < 0.05 | 2.92E-09 < 0.05 | 6.12E-10 < 0.05 | 9.63E-02 | 2.77E-05 < 0.05 | 5.09E-08 < 0.05 |
| F23 | 1.08E-02 < 0.05 | 2.27E-03 < 0.05 | 7.77E-09 < 0.05 | 3.02E-11 < 0.05 | 6.12E-10 < 0.05 | 4.06E-02 < 0.05 | 3.02E-11 < 0.05 |
| F24 | 2.17E-01 | 1.44E-02 < 0.05 | 3.39E-02 < 0.05 | 3.02E-11 < 0.05 | 3.03E-02 < 0.05 | 1.99E-02 < 0.05 | 3.02E-11 < 0.05 |
| F25 | 5.57E-03 < 0.05 | 3.02E-11 < 0.05 | 9.35E-10 < 0.05 | 3.02E-11 < 0.05 | 4.33E-10 < 0.05 | 7.38E-10 < 0.05 | 3.02E-11 < 0.05 |
| F26 | 4.74E-06 < 0.05 | 3.34E-11 < 0.05 | 3.69E-11 < 0.05 | 3.02E-11 < 0.05 | 5.49E-11 < 0.05 | 1.05E-01 | 3.02E-11 < 0.05 |
| F27 | 6.95E-01 | 1.25E-04 < 0.05 | 4.08E-11 < 0.05 | 3.02E-11 < 0.05 | 7.77E-09 < 0.05 | 1.11E-03 < 0.05 | 3.02E-11 < 0.05 |
| F28 | 8.10E-10 < 0.05 | 9.35E-10 < 0.05 | 8.18E-10 < 0.05 | 3.02E-11 < 0.05 | 6.25E-10 < 0.05 | 3.02E-11 < 0.05 | 2.14E-10 < 0.05 |
| F29 | 4.36E-02 < 0.05 | 3.69E-11 < 0.05 | 3.69E-10 < 0.05 | 5.25E-10 < 0.05 | 6.23E-10 < 0.05 | 4.86E-03 < 0.05 | 3.02E-11 < 0.05 |
| F30 | 8.77E-03 < 0.05 | 3.02E-11 < 0.05 | 1.18E-11 < 0.05 | 2.02E-11 < 0.05 | 4.50E-11 < 0.05 | 4.73E-04 < 0.05 | 3.02E-11 < 0.05 |
| DBO | PIO | SCA | BOA | WOA | SA | COA | |
|---|---|---|---|---|---|---|---|
| F1 | 1.10E-08 < 0.05 | 3.02E-11 < 0.05 | 3.02E-11 < 0.05 | 3.02E-11 < 0.05 | 3.02E-11 < 0.05 | 1.04E-04 < 0.05 | 3.02E-11 < 0.05 |
| F3 | 1.08E-02 < 0.05 | 4.84E-02 < 0.05 | 5.57E-10 < 0.05 | 1.19E-01 | 1.78E-10 < 0.05 | 3.69E-11 < 0.05 | 2.19E-08 < 0.05 |
| F4 | 4.20E-10 < 0.05 | 3.02E-11 < 0.05 | 3.02E-11 < 0.05 | 3.02E-11 < 0.05 | 3.02E-11 < 0.05 | 6.05E-07 < 0.05 | 3.02E-11 < 0.05 |
| F5 | 9.07E-03 < 0.05 | 3.02E-11 < 0.05 | 2.15E-10 < 0.05 | 4.98E-11 < 0.05 | 4.62E-10 < 0.05 | 1.07E-09 < 0.05 | 3.69E-11 < 0.05 |
| F6 | 4.22E-04 < 0.05 | 3.02E-11 < 0.05 | 3.02E-11 < 0.05 | 3.02E-11 < 0.05 | 3.02E-11 < 0.05 | 5.07E-10 < 0.05 | 3.02E-11 < 0.05 |
| F7 | 6.79E-03 < 0.05 | 3.02E-11 < 0.05 | 3.34E-11 < 0.05 | 3.02E-11 < 0.05 | 4.50E-11 < 0.05 | 2.15E-06 < 0.05 | 3.02E-11 < 0.05 |
| F8 | 3.03E-03 < 0.05 | 3.02E-11 < 0.05 | 1.96E-10 < 0.05 | 3.02E-11 < 0.05 | 2.61E-10 < 0.05 | 1.11E-06 < 0.05 | 3.02E-11 < 0.05 |
| F9 | 5.89E-01 | 1.09E-10 < 0.05 | 8.89E-10 < 0.05 | 1.86E-06 < 0.05 | 1.22E-02 < 0.05 | 4.94E-05 < 0.05 | 1.08E-02 < 0.05 |
| F10 | 8.77E-02 | 7.12E-09 < 0.05 | 4.18E-09 < 0.05 | 1.55E-09 < 0.05 | 4.64E-01 | 1.43E-08 < 0.05 | 1.86E-06 < 0.05 |
| F11 | 2.46E-02 < 0.05 | 1.19E-01 | 5.97E-05 < 0.05 | 3.59E-05 < 0.05 | 2.58E-01 | 6.84E-01 | 3.87E-01 |
| F12 | 3.69E-11 < 0.05 | 3.02E-11 < 0.05 | 3.02E-11 < 0.05 | 3.02E-11 < 0.05 | 3.02E-11 < 0.05 | 6.70E-11 < 0.05 | 3.02E-11 < 0.05 |
| F13 | 4.20E-10 < 0.05 | 3.02E-11 < 0.05 | 3.02E-11 < 0.05 | 3.02E-11 < 0.05 | 3.02E-11 < 0.05 | 4.08E-11 < 0.05 | 3.02E-11 < 0.05 |
| F14 | 1.86E-06 < 0.05 | 3.02E-11 < 0.05 | 4.98E-11 < 0.05 | 3.02E-11 < 0.05 | 7.77E-09 < 0.05 | 3.34E-11 < 0.05 | 6.22E-10 < 0.05 |
| F15 | 2.19E-08 < 0.05 | 6.87E-10 < 0.05 | 3.02E-11 < 0.05 | 3.14E-10 < 0.05 | 5.49E-11 < 0.05 | 2.37E-10 < 0.05 | 3.02E-11 < 0.05 |
| F16 | 1.60E-07 < 0.05 | 3.02E-11 < 0.05 | 6.88E-10 < 0.05 | 3.02E-11 < 0.05 | 3.02E-11 < 0.05 | 2.27E-03 < 0.05 | 5.85E-10 < 0.05 |
| F17 | 1.29E-09 < 0.05 | 3.02E-11 < 0.05 | 3.02E-11 < 0.05 | 2.52E-10 < 0.05 | 3.34E-11 < 0.05 | 8.15E-05 < 0.05 | 3.02E-11 < 0.05 |
| F18 | 1.60E-07 < 0.05 | 7.65E-10 < 0.05 | 1.66E-10 < 0.05 | 3.02E-11 < 0.05 | 1.34E-05 < 0.05 | 4.08E-11 < 0.05 | 2.03E-10 < 0.05 |
| F19 | 6.12E-10 < 0.05 | 3.02E-11 < 0.05 | 2.03E-10 < 0.05 | 9.28E-10 < 0.05 | 3.02E-11 < 0.05 | 2.03E-09 < 0.05 | 3.02E-11 < 0.05 |
| F20 | 1.67E-01 | 3.08E-08 < 0.05 | 7.69E-08 < 0.05 | 3.01E-07 < 0.05 | 3.04E-01 | 3.01E-07 < 0.05 | 1.53E-05 < 0.05 |
| F21 | 9.76E-10 < 0.05 | 3.34E-11 < 0.05 | 3.34E-11 < 0.05 | 3.02E-11 < 0.05 | 3.02E-11 < 0.05 | 1.30E-03 < 0.05 | 3.02E-11 < 0.05 |
| F22 | 9.35E-01 | 1.09E-10 < 0.05 | 1.21E-10 < 0.05 | 2.15E-10 < 0.05 | 3.26E-01 | 8.29E-06 < 0.05 | 2.44E-09 < 0.05 |
| F23 | 4.51E-02 < 0.05 | 1.09E-01 | 2.57E-07 < 0.05 | 3.02E-11 < 0.05 | 3.96E-08 < 0.05 | 3.02E-11 < 0.05 | 3.02E-11 < 0.05 |
| F24 | 5.49E-01 | 1.22E-01 | 1.47E-07 < 0.05 | 3.02E-11 < 0.05 | 1.44E-02 < 0.05 | 4.08E-11 < 0.05 | 6.12E-10 < 0.05 |
| F25 | 2.39E-04 < 0.05 | 5.07E-10 < 0.05 | 3.02E-11 < 0.05 | 3.02E-11 < 0.05 | 3.02E-11 < 0.05 | 1.01E-08 < 0.05 | 3.02E-11 < 0.05 |
| F26 | 1.11E-06 < 0.05 | 3.02E-11 < 0.05 | 5.21E-10 < 0.05 | 3.02E-11 < 0.05 | 3.34E-11 < 0.05 | 1.15E-01 | 9.99E-09 < 0.05 |
| F27 | 6.20E-01 | 1.17E-09 < 0.05 | 3.02E-11 < 0.05 | 3.02E-11 < 0.05 | 1.36E-07 < 0.05 | 1.29E-09 < 0.05 | 3.02E-11 < 0.05 |
| F28 | 3.02E-11 < 0.05 | 2.33E-10 < 0.05 | 3.02E-11 < 0.05 | 4.12E-10 < 0.05 | 3.02E-11 < 0.05 | 3.02E-11 < 0.05 | 6.54E-10 < 0.05 |
| F29 | 1.55E-09 < 0.05 | 3.02E-11 < 0.05 | 6.33E-10 < 0.05 | 3.02E-11 < 0.05 | 3.02E-11 < 0.05 | 1.76E-01 | 3.02E-11 < 0.05 |
| F30 | 1.03E-06 < 0.05 | 9.02E-10 < 0.05 | 3.02E-11 < 0.05 | 3.87E-10 < 0.05 | 3.69E-11 < 0.05 | 3.09E-06 < 0.05 | 3.02E-11 < 0.05 |
| Test Functions and Dimensions | Algorithm and the Friedman Test | ||||||||
|---|---|---|---|---|---|---|---|---|---|
| CEC2017-30D | Algorithm | BDO | PIO | SCA | BOA | WOA | COA | SA | EDBO |
| Friedman | 2.122986 | 4.050576 | 3.994252 | 5.511493 | 3.788507 | 6.935641 | 3.224138 | 1.532186 | |
| CEC2017-50D | Algorithm | BDO | PIO | SCA | BOA | WOA | COA | SA | EDBO |
| Friedman | 2.108041 | 4.316079 | 3.963214 | 5.5954 | 3.486203 | 6.801145 | 2.885055 | 1.531034 | |
| CEC2017-100D | Algorithm | BDO | PIO | SCA | BOA | WOA | COA | SA | EDBO |
| Friedman | 2.211503 | 4.342528 | 4.277007 | 5.4115 | 3.203452 | 6.596548 | 2.627586 | 1.554017 | |
| Rankings | 2 | 6 | 5 | 7 | 4 | 8 | 3 | 1 | |
| Algorithm | Most Advantageous Position | Best Value |
|---|---|---|
| DBO | X = (0.7843;0.42081) | 263.9154549 |
| PIO | X = (0.79892;0.38318) | 264.2871197 |
| SCA | X = (0.76229;0.49137) | 264.7455824 |
| BOA | X = (0.7957;0.41871) | 266.9286327 |
| WOA | X = (0.76922;0.46627) | 264.1942308 |
| SA | X = (0.69476;0.79537) | 276.0448999 |
| COA | X = (0.78732;0.41279) | 263.9679101 |
| EDBO | X = (0.78821;0.40958) | 263.8979156 |
| Algorithm | The most Beneficial Location | Best Value |
|---|---|---|
| DBO | X = (0.05;0.310429;15) | 0.013193249 |
| PIO | X = (0.067722;0.69411;4.59) | 0.022283434 |
| SCA | X = (0.066288;0.79908;2.6516) | 0.017556138 |
| BOA | X = (0.056344;0.47512;7.8358) | 0.015083554 |
| WOA | X = (0.064287;0.74234;2.8655) | 0.015339879 |
| SA | X = (0.060185;0.596;4.6405) | 0.015111848 |
| COA | X = (0.0501237;0.320184;14.4667) | 0.012870821 |
| EDBO | X = (0.0500156;0.31777;13.7778) | 0.012718751 |
| Algorithm | The Most Beneficial Location | Best Value |
|---|---|---|
| DBO | X = (0.7957831;0.4341257;40.43576;200) | 6176.694769 |
| PIO | X = (1.009464;1.065502;50.87082;160.2901) | 11,571.59679 |
| SCA | X = (1.17576;0.619755;56.9765;52.5413) | 7560.760675 |
| BOA | X = (5.15699;12.7202;60.0022;53.773) | 127,973.3055 |
| WOA | X = (1.42882;1.01459;65.2253;10) | 10,961.59586 |
| SA | X = (7.485178;0.8613189;45.66248;137.3964) | 107,552.6368 |
| COA | X = (8.130678;23.99003;42.98162;166.7742) | 206,360.2719 |
| EDBO | X = (0.7827496;0.3943;40.38594;200) | 5957.489796 |
| Algorithm | The most Beneficial Location | Best Value |
|---|---|---|
| DBO | X = (6.0419;5.2816;4.492;3.6087;2.0708) | 1.341291 |
| PIO | X = (6.8658;6.435;3.4065;3.4238;4.3872) | 1.529946 |
| SCA | X = (5.7684;4.9723;4.8006;4.8217;3.3963) | 1.482581 |
| BOA | X = (6.6943;5.6047;4.6167;2.7226;7.2026) | 1.674873 |
| WOA | X = (20.2078;5.89624;7.51354;4.54595;1.13014) | 2.451924 |
| SA | X = (15.6704;20.8237;4.12633;42.0047;4.88989) | 5.460936 |
| COA | X = (5.0241;5.0241;5.0241;5.0241;3.7965) | 1.490924 |
| EDBO | X = (5.9955;5.3997;4.399;3.4997;2.1914) | 1.340687 |
Disclaimer/Publisher’s Note: The statements, opinions and data contained in all publications are solely those of the individual author(s) and contributor(s) and not of MDPI and/or the editor(s). MDPI and/or the editor(s) disclaim responsibility for any injury to people or property resulting from any ideas, methods, instructions or products referred to in the content. |
© 2024 by the authors. Licensee MDPI, Basel, Switzerland. This article is an open access article distributed under the terms and conditions of the Creative Commons Attribution (CC BY) license (https://creativecommons.org/licenses/by/4.0/).
Share and Cite
Li, Q.; Shi, H.; Zhao, W.; Ma, C. Enhanced Dung Beetle Optimization Algorithm for Practical Engineering Optimization. Mathematics 2024, 12, 1084. https://doi.org/10.3390/math12071084
Li Q, Shi H, Zhao W, Ma C. Enhanced Dung Beetle Optimization Algorithm for Practical Engineering Optimization. Mathematics. 2024; 12(7):1084. https://doi.org/10.3390/math12071084
Chicago/Turabian StyleLi, Qinghua, Hu Shi, Wanting Zhao, and Chunlu Ma. 2024. "Enhanced Dung Beetle Optimization Algorithm for Practical Engineering Optimization" Mathematics 12, no. 7: 1084. https://doi.org/10.3390/math12071084
APA StyleLi, Q., Shi, H., Zhao, W., & Ma, C. (2024). Enhanced Dung Beetle Optimization Algorithm for Practical Engineering Optimization. Mathematics, 12(7), 1084. https://doi.org/10.3390/math12071084
