Dominations in Intutionistic Fuzzy Directed Graphs with Applications towards Influential Graphs
Abstract
1. Introduction
- Firstly, we introduce different types of strong arcs in IFDGs, like semi- strong arcs, semi- strong arcs, etc. Then, we introduce the concepts of domination in IFDGs based on these strong arcs. Different characterizations of some special IFDGs are also explored.
- We also provide numerous important characterizations of domination in IFDGs based on minimal and maximal dominating sets. The lower and upper dominations of some IFDGs are also investigated.
- We introduce the terms status and structurally equivalent and find few relationships with the dominations in IFDGs.
- To demonstrate the usefulness of the terms that we have introduced, we offer their application in the context of influence graphs.
2. Preliminaries
- (i)
- the function represents the degree of membership of any element and represents the degree of non-membership of any element such that , for all
- (ii)
- the function is the degree of membership of any element , while is the degree of non-membership of any element satisfying and such that , for all
3. Domination in Intutionistic Fuzzy Digraphs
- Case Consider the arc ; = 0.3 and = 0.4. Now, = sup = 0.3 and = sup = 0.4. Therefore, = 0.3 and = 0.3. Hence, the arc is a strong arc.
- Case Let us consider an arc ; = 0.4 and = 0.3. Now, = sup = 0.4 and = inf = 0.3. Therefore, = 0.4 and = 0.3. Hence, the arc is a strong arc.
- Case Let us consider the arc ; = 0.4 and = 0.3. Now, = sup = 0.4 and = inf =0.3. Therefore, = 0.4 and = 0.3. Hence, the arc is a strong arc.
- Case Let us consider the arc ; = 0.3 and = 0.4. Now, = sup = 0.3 and = inf = 0.4. Therefore, = 0.3 and = 0.4. Hence, the arc is a strong arc.
- Case Consider the arc ; = 0.2 and = 0.2. Now, = sup = sup{0.3,0.4} = 0.4 and = inf = inf{0.4, 0.3} = 0.3. Therefore, and = 0.3. Hence, the arc is not a strong arc.
- (i)
- = {: is strong arc} is the SNbhd of . Similarly, the CNbhd of s is = .
- (ii)
- = {: arc is semi β-strong arc} is known as the semi β-SNbhd of and CNbhd of s is .
- (iii)
- = {: is semi δ-strong arc} is known as the semi δ-SNbhd of and CNbhd of s is.
- (iv)
- = is the minimum cardinality of the SNbhd.
- (v)
- = is the maximum cardinality of the SNbhd.
- When : Because is a connected IFDG, s and t are two nodes such that is an arc. From Theorem 1, only one strongest dipath between s and t exists such that and . Hence, is a strong arc.
- When : Assume that has at least one strong arc. Because is connected with , there exists more than one dipath between s and t such that at least one strong dipath exists. Thus, and (from Theorem 1). If this does not hold, there is no dipath between s and t. Hence, is a disconnected digraph, which contradicts our hypothesis that is connected. Therefore, if , then non-trivial connected IFDG has at least one strong arc. □
- (i)
- s semi β- dominates t, if the arc is a semi β-strong arc;
- (ii)
- s semi δ- dominates t, if an arc is a semi δ-strong arc.
- (ii)
- Semi δ - strong arc DN is described as . The number of elements in the minimum semi δ - strong arc DS is represented as
- (i)
- s is not an SN of any vertex in
- (ii)
- there exists a vertex such that
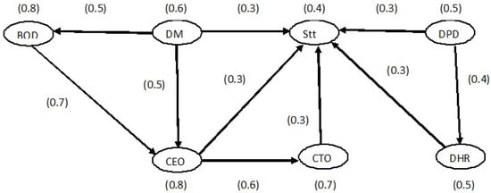
4. Application of Domination in IFDGs towards Social Networks
4.1. Fuzzy Influence Digraph
- (i)
- The CEO has worked with the DM for about 8 years, and, on strategic initiatives, he gives importance to his input.
- (ii)
- The BOD has been chaired for about 8 years and is associated with the DM. Similarly to the CEO, the BOD also values the DM.
- (iii)
- In reorganization, the whole marketing scheme is vital but the DHR is more vital.
- (iv)
- There is a history of disputes between the CTO and DHR.
- (v)
- The CTO has more influence on the DPD.
4.2. Intuitionistic Fuzzy Influence Digraph
5. Conclusions
Author Contributions
Funding
Data Availability Statement
Conflicts of Interest
References
- Zadeh, L.A. Fuzzy sets. Inform. Control. 1965, 8, 338–353. [Google Scholar] [CrossRef]
- Zadeh, L.A. The concept of a linguistic variable and its application to approximate reasoning-I. Inform. Sci. 1975, 8, 199–249. [Google Scholar] [CrossRef]
- Atanassov, K.T.; Stoeva, S. Intuitionistic fuzzy sets. Fuzzy Sets Syst. 1986, 20, 87–96. [Google Scholar] [CrossRef]
- Rosenfield, A. Fuzzy Graphs, Fuzzy Sets and Their Applications to Cognitive and Decision Processes; Academic Press: New York, NY, USA, 1975; pp. 77–95. [Google Scholar]
- Kauffman, A. Introduction a 1a Theories des Sous-Emsembles Flous; Masson et cie: Paris, France, 1973; p. 1. [Google Scholar]
- Bhattacharya, P. Some remarks on fuzzy graphs. Pattern Recognit. Lett. 1987, 6, 297–302. [Google Scholar] [CrossRef]
- Mordeson, J.N.; Peng, C.S. Operations on fuzzy graphs. Inform. Sci. 1994, 79, 159–170. [Google Scholar] [CrossRef]
- Borzooei, R.A.; Rashmanlou, H. Cayley interval-valued fuzzy graphs. Upb Sci. Bull. Ser. Appl. Math. Phys. 2016, 78, 83–94. [Google Scholar]
- Sunitha, M.S.; Vijayakumar, A. Complement of a fuzzy graphs. Indian J. Pure Appl. Math. 2002, 33, 1451–1464. [Google Scholar]
- Poulik, S.; Ghorial, G. Estimation of most effected cycles and busiest network route based on complexity function of graph in fuzzy environment. Artif. Intell. Rev. 2022, 55, 4557–4574. [Google Scholar] [CrossRef]
- Mordeson, J.; Nair, P. Successor and source of (fuzzy) finite state machines and (fuzzy) directed graphs. Inf. Sci. 1996, 95, 113–124. [Google Scholar] [CrossRef]
- Kumar, P.K.K.; Lavanya, S. On fuzzy digraphs. Int. J. Pure Appl. Math. 2017, 115, 599–606. [Google Scholar] [CrossRef]
- Akram, M.; Alshehri, N.; Davvaz, B.; Ashraf, A. Bipolar Fuzzy Digraphs in Decision Support Systems. J. Mult. Valued Log. Soft Comput. 2016, 27, 553–572. [Google Scholar]
- Shannon, A.; Atanassov, K.T. A first step to a theory of the intuitionistic fuzzy graphs. In Proceedings of the FUBEST, Sofia, Bulgaria, 28–30 September 1994; Lakov, D., Ed.; Sofia: Paris, France, 1994; pp. 59–61. [Google Scholar]
- Yaqoob, N.; Gulistan, M.; Kadry, S.; Wahab, H.A. Complex Intuitionistic Fuzzy Graphs with Application in Cellular Network Provider Companies. Mathematics 2019, 7, 35. [Google Scholar] [CrossRef]
- Akram, M.; Davvaz, B. Strong intuitionistic fuzzy graphs. Filomat 2012, 26, 177–195. [Google Scholar] [CrossRef]
- Akram, M.; Dudek, W.A. Intuitionistic fuzzy hypergraphs with applications. Inform. Sci. 2013, 218, 182–193. [Google Scholar] [CrossRef]
- Akram, M.; Al-Shehrie, N.O. Intuitionistic fuzzy cycles and intuitionistic fuzzy trees. Sci. World J. 2014, 2014, 305836. [Google Scholar] [CrossRef] [PubMed]
- Akram, M.; Ashraf, A.; Sarwar, M. Novel applications of intuitionistic fuzzy digraphs in decision support systems. Sci. World J. 2014, 2014, 904606. [Google Scholar] [CrossRef] [PubMed]
- Shao, Z.; Kosari, S.; Rashmanlou, H.; Shoaib, M. New concepts in intuitionistic fuzzy graph with application in water supplier systems. Mathematics 2020, 8, 1241. [Google Scholar] [CrossRef]
- Talebi, A.A.; Rashmanlou, H.; Sadati, S.H. Interval-valued Intuitionistic Fuzzy Competition Graph. J. Mult. Valued Log. Soft Comput. 2020, 34, 335. [Google Scholar]
- Rashmanlou, H.; Borzooei, R.A.; Samanta, S.; Pal, M. Properties of interval valued intuitionistic (s, t)–fuzzy graphs. Pac. Sci. Rev. Nat. Sci. Eng. 2016, 18, 30–37. [Google Scholar] [CrossRef]
- Rashmanlou, H.; Borzooei, R.A. New concepts of interval-valued intuitionistic (S, T)-fuzzy graphs. J. Intell. Fuzzy Syst. 2016, 30, 1893–1901. [Google Scholar] [CrossRef]
- Talebi, A.A.; Rashmanlou, H.; Sadati, S.H. New concepts on m-polar interval-valued intuitionistic fuzzy graph. TWMS J. Appl. Eng. Math. 2020, 10, 806–818. [Google Scholar]
- Singh, S.; Barve, A.; Muduli, K.; Kumar, A.; Luthra, S. Evaluating roadblocks to implementing a green freight transportation system an interval valued intuitionistic fuzzy digraph matrix approach. IEEE Trans. Eng. Manag. 2022, 71, 2758–2771. [Google Scholar] [CrossRef]
- Nithyanandham, D.; Augustin, F.; Micheal, D.R.; Pillai, N.D. Energy based bipolar intuitionistic fuzzy digraph decision-making system in selecting COVID-19 vaccines. Appl. Soft Comput. 2023, 147, 110793. [Google Scholar] [CrossRef]
- Shi, X.; Kosari, S.; Talebi, A.A.; Sadati, S.H.; Rashmanlou, H. Investigation of the main energies of picture fuzzy graph and its applications. Int. J. Comput. Intell. Syst. 2022, 15, 31. [Google Scholar] [CrossRef]
- Yue, J.; Wei, M.; Li, M.; Liu, G. On the double Roman domination of graphs. Appl. Math. Comput. 2018, 338, 669–675. [Google Scholar] [CrossRef]
- Ahangar, H.A.; Álvarez, M.; Chellali, M.; Sheikholeslami, S.; Valenzuela-Tripodoro, J. Triple Roman domination in graphs. Appl. Math. Comput. 2021, 391, 125444. [Google Scholar]
- Henning, M.A.; MacGillivray, G.; Yang, F. Broadcast domination in graphs. In Structures of Domination in Graphs; Haynes, T.W., Hedetniemi, S.T., Henning, M.A., Eds.; Springer International Publishing: Cham, Switzerland, 2021; pp. 15–46. [Google Scholar]
- Dayap, J.A.; Enriquez, E.L. Outer-convex domination in graphs. Discret. Math. Algorithms Appl. 2019, 12, 2050008. [Google Scholar] [CrossRef]
- Desormeaux, W.J.; Haynes, T.W.; Henning, M.A. Paired Domination in Graphs. In Topics in Domination in Graphs; Springer International Publishing: Cham, Switzerland, 2020; pp. 31–77. [Google Scholar]
- Kosari, S.; Asgharsharghi, L. The l-distance k-rainbow domination numbers of graphs. Asian-Eur. J. Math. 2023, 16, 2350040. [Google Scholar] [CrossRef]
- Mihara, S.; Tsugawa, S.; Ohsaki, H. Influence maximization problem for unknown social networks. In Proceedings of the 2015 IEEE/ACM International Conference on Advances in Social Networks Analysis and Mining 2015, Paris, France, 25–28 August 2015; pp. 1539–1546. [Google Scholar]
- Chen, W.; Wang, Y.; Yang, S. Efficient influence maximization in social networks. In Proceedings of the 15th ACM SIGKDD International Conference on Knowledge Discovery and Data Mining, Paris, France, 28 June–1 July 2009; pp. 199–208. [Google Scholar]
- Somasundaram, A.; Somasundaram, S. Domination in fuzzy graphs-I. Pattern Recognit. Lett. 1998, 19, 787–791. [Google Scholar] [CrossRef]
- Nagoorgani, A.; Chandrasekaran, V.T. Domination in Fuzzy graph. Adv. Fuzzy Syst. 2006, 1, 17–26. [Google Scholar]
- Manjusha, O.T. Global domination in Fuzzy graphs using Strong arcs. J. Fuzzy Ext. Appl. 2023, 4, 8–17. [Google Scholar]
- Shanmugam, S.; Aishwarya, T.P.; Shreya, N. Bridge domination in fuzzy graphs. J. Fuzzy Ext. Appl. 2023, 4, 148–154. [Google Scholar]
- Enriquez, E.; Estrada, G.; Loquias, C.; Bacalso, R.J.; Ocampo, L. Domination in fuzzy directed graphs. Mathematics 2021, 9, 2143. [Google Scholar] [CrossRef]
- Noppakaew, P.; Hengthonglert, K.; Sakuntasathien, S. Dominating broadcasts in fuzzy graphs. Mathematics 2022, 10, 281. [Google Scholar] [CrossRef]
- Ahmad, U.; Batool, T. Domination in rough fuzzy digraphs with application. Soft Comput. 2023, 27, 2425–2442. [Google Scholar] [CrossRef]
- Qiang, X.; Akhoundi, M.; Kou, Z.; Liu, X.; Kosari, S. Novel concepts of domination in vague graphs with application in medicine. Math. Probl. Eng. 2021, 2021, 6121454. [Google Scholar] [CrossRef]
- Shi, X.; Kosari, S. Certain properties of domination in product vague graphs with an application in medicine. Front. Phys. 2021, 9, 680634. [Google Scholar] [CrossRef]
- Kosari, S.; Shao, Z.; Rao, Y.; Liu, X.; Cai, R.; Rashmanlou, H. Some Types of Domination in Vague Graphs with Application in Medicine. J. Mult. Valued Log. Soft Comput. 2023, 41, 203. [Google Scholar]
- Shao, Z.; Kosari, S.; Rao, Y.; Rashmanlou, H.; Mofidnakhaei, F. New Kind of Vague Graphs With Novel Application. J. Mult. Valued Log. Soft Comput. 2023, 40, 323. [Google Scholar]
- Parvathi, R.; Thamizhendhi, G. Domination in intuitionistic fuzzy graphs. Notes Intuitionistic Fuzzy Sets 2010, 16, 39–49. [Google Scholar]
- Nagoorgani, A.; Akram, M.; Anupriya, S. Double domination on intuitionistic fuzzy graphs. J. Appl. Math. Comput. 2016, 52, 515–528. [Google Scholar] [CrossRef]
- Khan, W.A.; Taouti, A. Dominations in bipolar picture fuzzy graphs and social networks. Results Nonlinear Anal. 2023, 6, 60–74. [Google Scholar]
- Diestel, R. Graph Theory; Springer: New York, NY, USA, 2000. [Google Scholar]
- Senthilkumar, V. Types of domination in intuitionistic fuzzy graph by strong arc and effective arc. Bull. Pure Appl. Sci. Math. Stat. 2018, 37, 490–498. [Google Scholar] [CrossRef]




| Designation | Abbreviation |
|---|---|
| Board of Directors | BOD |
| Chief Executive officer | CEO |
| Chief Technology officer | CTO |
| Director of Marketing | DM |
| Director of Product Development | DPD |
| Director of Human Resources | DHR |
| Staff | Stt |
| BOD | CEO | CTO | DM | DPD | DHR | Stt | |
|---|---|---|---|---|---|---|---|
| 0.8 | 0.8 | 0.7 | 0.6 | 0.5 | 0.5 | 0.4 | |
| 0.1 | 0.1 | 0.2 | 0.2 | 0.2 | 0.3 | 0.2 |
Disclaimer/Publisher’s Note: The statements, opinions and data contained in all publications are solely those of the individual author(s) and contributor(s) and not of MDPI and/or the editor(s). MDPI and/or the editor(s) disclaim responsibility for any injury to people or property resulting from any ideas, methods, instructions or products referred to in the content. |
© 2024 by the authors. Licensee MDPI, Basel, Switzerland. This article is an open access article distributed under the terms and conditions of the Creative Commons Attribution (CC BY) license (https://creativecommons.org/licenses/by/4.0/).
Share and Cite
Guan, H.; Khan, W.A.; Fida, A.; Ali, K.; Shafi, J.; Khan, A. Dominations in Intutionistic Fuzzy Directed Graphs with Applications towards Influential Graphs. Mathematics 2024, 12, 872. https://doi.org/10.3390/math12060872
Guan H, Khan WA, Fida A, Ali K, Shafi J, Khan A. Dominations in Intutionistic Fuzzy Directed Graphs with Applications towards Influential Graphs. Mathematics. 2024; 12(6):872. https://doi.org/10.3390/math12060872
Chicago/Turabian StyleGuan, Hao, Waheed Ahmad Khan, Amna Fida, Khadija Ali, Jana Shafi, and Aysha Khan. 2024. "Dominations in Intutionistic Fuzzy Directed Graphs with Applications towards Influential Graphs" Mathematics 12, no. 6: 872. https://doi.org/10.3390/math12060872
APA StyleGuan, H., Khan, W. A., Fida, A., Ali, K., Shafi, J., & Khan, A. (2024). Dominations in Intutionistic Fuzzy Directed Graphs with Applications towards Influential Graphs. Mathematics, 12(6), 872. https://doi.org/10.3390/math12060872

