Next Article in Journal
Impact of Demographic Developments and PCV13 Vaccination on the Future Burden of Pneumococcal Diseases in Germany—An Integrated Probabilistic Differential Equation Approach
Previous Article in Journal
Special Issue “Recent Advances of Discrete Optimization and Scheduling”
 
 
Font Type:
Arial Georgia Verdana
Font Size:
Aa Aa Aa
Line Spacing:
Column Width:
Background:
Article

Reinvestigating the Kinetic Model for the Suspended Sediment Concentration in an Open Channel Flow

1
Département de Physique et Géologie, Collège Montmorency, 475 Boulevard de l’Avenir, Laval, QC H7N 5H9, Canada
2
Laboratoire Quartz EA 7393, École Supérieure d’Ingénieurs ECAM-EPMI, 95092 Cergy-Pontoise, France
3
Laboratoire de Recherche en Éco-Innovation Industrielle et Énergétique LR2E, École Supérieure d’Ingénieurs ECAM-EPMI, 95092 Cergy-Pontoise, France
*
Author to whom correspondence should be addressed.
These authors contributed equally to this work.
Mathematics 2024, 12(6), 794; https://doi.org/10.3390/math12060794
Submission received: 31 January 2024 / Revised: 4 March 2024 / Accepted: 7 March 2024 / Published: 8 March 2024

Abstract

The prediction of sediment transport, related to different environmental and engineering problems, requires accurate mathematical models. Most available mathematical models for the concentrations of suspended sediments are based on the classical advection diffusion equation, which remains not efficient enough to describe the complete behavior related to sediment–water two-phase flows and the feedback between the turbulent unsteady flow and suspended sediments. The aim of this paper is to reinvestigate the kinetic model for turbulent two-phase flows, which accounts for both sediment–turbulence interactions and sediment–sediment collisions. The present study provides a detailed and rigorous derivation of the kinetic model equations, clarifications about the mathematical approach and more details about the main assumptions. An explicit link between the kinetic model and the classical advection diffusion equation is provided. Concentration profiles for suspended sediments in open channel flows show that the kinetic model is able to describe the near-bed behavior for coarse sediments.
MSC:
34-04; 34A34; 34A99; 34B99

1. Introduction

The study of sediment transport is an important topic related to different environmental and engineering problems. River, coastal and estuarine systems and hydraulic structures such as dams are affected by sediment transport. The study of sediment transport presents challenges related to the complex interactions between the flow and the sediments which constitute the movable bed [1]. Because of this behavior in this lower boundary condition, the physical models of sediment transport are named movable-bed models. To reproduce the sediment transport phenomena, modeling criteria are needed for deriving the scales of the sediment transport variables [2]. Different studies were conducted in relation with the scaling strategies and the dimensionless parameters of the models (Gorrick and Rodríguez [3], Ancey and Recking [4]). Interestingly, the scaling laws of sediment transport under turbulent flows over sediment beds have been associated with the phenomenological theory of turbulence (Ali and Dey [5,6]). A suspended load often predominates the total load in rivers [7]. The transport of suspended sediment has different consequences, such as silting, the reduction of reservoir capacity and the pier-scouring of bridges. Studies of flows carrying suspended loads are therefore of fundamental importance in fluvial hydraulics.
For engineering applications, the prediction of sediment transport requires accurate mathematical models. Before applying these models in real situations, one-dimensional vertical (1-DV) models are validated by comparisons to laboratory measurements of suspended sediment concentrations in open channel flows. Since the pioneer studies of Rouse [8], Hunt [9], and Einstein and Chien [10], different research studies were conducted during recent decades (Elata and Ippen [11]; Coleman [12]; Parker and Coleman [13]; Umeyama [14]; Cao et al. [15]; Chiu et al. [16]; Guo and Julien [17]; Graf and Cellino [18]; Cao et al. [19]; Wright and Parker [20]; Herrmann and Madsen [21]; Toorman [22]; Absi [23]; Pittaluga [24]; Dey et al. [25]; Sun et al. [26]; Ghoshal et al. [27]; Kumbhakar et al. [28]) to understand the distribution of sediments in suspension. Despite this large amount of research, most available mathematical models are from the classical approach based on the advection diffusion equation, an ordinary differential Equation (ODE) where concentrations of suspended sediment result from the balance between upward mixing and downward settling fluxes. These models remain not efficient enough to describe the complete behavior related to sediment–water two-phase flows and the feedback between the turbulent unsteady flow and suspended sediments. In order to better understand sediment transport, many studies adopted advanced theories and models of multiphase flows. On the one hand, two-phase flow studies were based on two-fluid models (Greimann et al. [29]; Wu and Wang [30]; Greimann and Holly [31]; Hsu et al. [32]; Jiang et al. [33]; Toorman citeToorman; Nguyen et al. [34]). However, these two-fluid models show difficulties and limitations related to the massive computations to numerically resolve coupled partial differential equations together with the additional uncertainties associated with the unclosed terms or coefficients (Ishii and Hibiki [35]). On the other hand, the kinetic model seems to be a promising tool to incorporate the effects of fluid–sediment and sediment–sediment interactions as well as sediment inertia to predict non-monotonic concentration profiles (Fu et al. [36]; Wang et al. [37]; Lei [38]; Ma and Fu [39]; Nie et al. [40]; Huang et al. [41]). In these studies, one-dimensional suspended sediment concentration distribution was obtained through kinetic-model-based simulations.
In this study, the mathematical model used for the prediction of suspended sediment transport in open channels is the kinetic model for turbulent two-phase flows, which accounts for both sediment–turbulence interactions and sediment–sediment collisions. The aim of this paper is to provide a detailed and rigorous derivation of the kinetic model equations. In particular, clarifications about the mathematical approach and more details about the main assumptions will be provided. This will allow for the writing of an explicit link between the kinetic model and the classical advection diffusion equation.

2. The Kinetic Model

This section is devoted to the presentation of a kinetic-type model for sediment transport in an open channel flow.
The framework derived in [42] is used to obtain the equations for the time evolution of the sediment concentration and of the sediment average velocity. In particular, the present section aims to give a detailed and rigorous derivation of the equation for the two-dimensional steady flow.
The reader is referred to [36], where the same equations are used as starting points to obtain this equation for the two-dimensional steady flow. In [37], the equation of the fluid concentration is considered together with the equation of the sediment and the gravitational force term is also explicitly written.
The particle dynamics are ruled by the following equations:
d r p ( t ) d t = v p ( t ) ,
d v p ( t ) d t = u ( r p , t ) v p ( t ) τ + F ( r p , t ) + W ( r p , t )
where ( r p ( t ) , v p ( t ) ) : [ 0 , + [ Ω s × Ω v R 6 are the particle position and velocity, u ( x , t ) : R 3 × [ 0 , + [ R 3 is the velocity of the fluid-turbulent carrier flow, τ R + is the particle relaxation time, F ( x , t ) : R 3 × [ 0 , + [ R 3 is the external force, and W ( x , t ) : R 3 × [ 0 , + [ R 3 is the stochastic force due to the particles’ collisions.
According to [42], the flow u ( x , t ) is decomposed as follows:
u ( x , t ) = U ( x , t ) + u ( x , t ) , u ( x , t ) = U ( x , t ) , u ( x , t ) = 0 .
The probability density function of the particles is written as follows:
f ( x , v , t ) = δ ( x r p ( t ) ) δ ( v v p ( t ) ) ,
where the · indicates the average over the turbulent realizations, namely over the realizations of the flow u and the random field W .
In what follows, the dependence on the variables ( x , v , t ) is omitted when possible.
The particle density functions satisfy the following partial differential equation (here and in what follows, Einstein notation is employed for the sum over repeated indices):
f t + v i f x i + v i U i v i τ + F i f = u i u k α 2 f x i v k + β τ 2 f v i v k + D τ 2 δ i k 2 f v i v k ,
where
α u i u k = 1 τ 0 + u i ( x , t ) u k ( r p ( t 1 ) , t 1 ) ( 1 e t t 1 τ ) d t 1 ,
β u i u k = 1 τ 0 + u i ( x , t ) u k ( r p ( t 1 ) , t 1 ) e t t 1 τ d t 1 ,
and D is the Brownian diffusion coefficient.
In [36,37], a different term can be found because different assumptions are made on the stochastic field W . However, this term has no influence on the equations for the moments of f, because its integral with respect to d v is zero as a consequence of the boundary conditions considered [42].
The moments of the density function f represent the concentration and the average velocity:
C = Ω v f d v ,
V i = Ω v v i f d v C , i 1 , 2 , 3 .
It is worth noticing that V i depends on the space variable x .
The equations for the time evolution of the moments can be obtained by integration with respect to v of Equation (5). Specifically, one has
Ω v f t d v = t Ω v f d v = C t ,
Ω v v i f x i d v = x i Ω v v i f d v = C V i x i ,
and the integral of all the other terms in Equation (5) is equal to zero because of the following assumption:
Ω v f v i d v = 0 , i { 1 , 2 , 3 } ,
namely f ( x , v , t ) | Ω v = 0 , where Ω v denotes the boundary of domain Ω v . Bearing all the above in mind, one has the following equation:
C t + C V i x i = 0 .
The differential equation which describes the time evolution of the average velocity V i , i { 1 , 2 , 3 } is obtained by multiplying Equation (5) by v j , j { 1 , 2 , 3 } and integrating with respect to d v . Hence, one has the following:
Ω v v j f t d v = t Ω v v j f d v = ( C V j ) t = V j C t + C V j t ,
Ω v v j v i f x i d v = x i Ω v v j v i f d v = x i Ω v V j + v j V i + v j f d v = C V j V i x i + C v j v i x i ,
where
v j v i = Ω v v j v i f d v C , i , j 1 , 2 , 3 ,
and v i = 0 . For i { 1 , 2 , 3 } ,
Ω v v j v i U i v i τ + F i f d v = Ω v v i v j U i v i τ + F i f d v Ω v v j v i U i v i τ + F i f d v = 0 Ω v δ i j U i v i τ + F i f d v = U j V j τ + F j C ,
Ω v v j α u i u k 2 f x i v k d v = Ω v v k v j α u i u k f x i d v Ω v v j v k α u i u k f x i d v = 0 Ω v δ j k α u i u k f x i d v = α u i u j C x i ,
Ω v v j β τ u i u k 2 f v i v k + D τ 2 δ i k 2 f v i v k d v = 0 ,
because of assumption (8).
Bearing all the above in mind, the evolution of the average velocity V j , for j { 1 , 2 , 3 } , is determined by the following equation:
V j C t + C V j t + C V j V i x i + C v j v i x i U j V j τ + F j C = α u i u j C x i .
By means of straightforward calculations and bearing Equation (9) in mind, Equation (16) is rewritten as follows:
V j t + V i V j x i = v j v i x i + U j V j τ + F j ϵ i j τ ln C x i , j { 1 , 2 , 3 } ,
where ϵ i j = τ v i v j + α u i u j , for i , j { 1 , 2 , 3 } .
When a two-dimensional steady flow is taken into account, one has V j t = 0 , V j x 1 = 0 , v j v 1 x 1 = 0 and ln C x 1 = 0 , for j { 1 , 2 } , V 2 = 0 = U 2 . Equation (17), for V 2 , is rewritten as follows:
0 = v 2 v 2 x 2 + F 2 ϵ 22 τ C C x 2 .
The force, F 2 , in the vertical direction can be decomposed into a lift force, F L , and the effective gravity:
F 2 = F L 1 ρ f ρ s g ,
where g is the gravitational acceleration, ρ f is the fluid density and ρ s is the particle density. Bearing all this in mind, and assuming for the sake of clarity that x 2 = y , Equation (18) reads as follows:
ϵ y y C y = ω C + τ C F L v y v y y ,
where ω = 1 ρ f ρ s g τ (see also [36,37]).

3. Results and Discussion

Equation (20) has a form similar to the classical 1-DV ADE advection diffusion equation, which results, in equilibrium conditions, from the balance between an upward mixing flux q m and a downward settling flux q s = C ω as q m C ω = 0 , where ω is the particle settling velocity and the mixing flux is assumed to be proportional to the concentration gradient as q m = ϵ y y C y (gradient diffusion model), where ϵ y y is the sediment diffusivity and y is the vertical distance from the bed.
ϵ y y C y = ω C .
It is possible to write Equation (20) in two different forms related to Equation (21).
In the first form, Equation (20) is written as follows:
ϵ y y C y = ω * C ,
where
ω * = 1 τ F L v y v y y ω ω .
In Equation (23), the effect of the kinetic model is in the form of a hindered settling with a modified or “apparent” settling velocity ω * . For τ F L v y v y y ω , Equation (22) reverts to Equation (21).
In the second form, Equation (20) is written as
ϵ y y * C y = ω C ,
where
ϵ y y * = 1 1 τ F L v y v y y ω ϵ y y .
In Equation (25), the effect of the kinetic model is in the form of a modified or “apparent” sediment diffusivity ϵ y y * . The same condition τ F L v y v y y ω allows Equation (24) to revert to (21). It is possible to write both Equations (22) and (24) in the following form:
C y = 1 R C ,
where R is the ratio between the sediment diffusivity and the “apparent” settling velocity or the ratio between the “apparent” sediment diffusivity and the settling velocity, given, respectively, by
R = ϵ y y ω * = ϵ y y * ω .
A criterion for the concentration profile shapes is given as follows. The derivative of Equation (26) gives
2 C y 2 = C R 2 R y + 1 .
Equation (28) shows that the upward concavity/convexity of the concentration profiles, which is associated with the sign of 2 C y 2 , is related to the sign of R y + 1 since C R 2 is always positive ( 2 C y 2 and R y + 1 have the same sign). Therefore, an upward concave concentration profile corresponds to R y > 1 , while an upward convex concentration profile corresponds to R y < 1 [43,44].
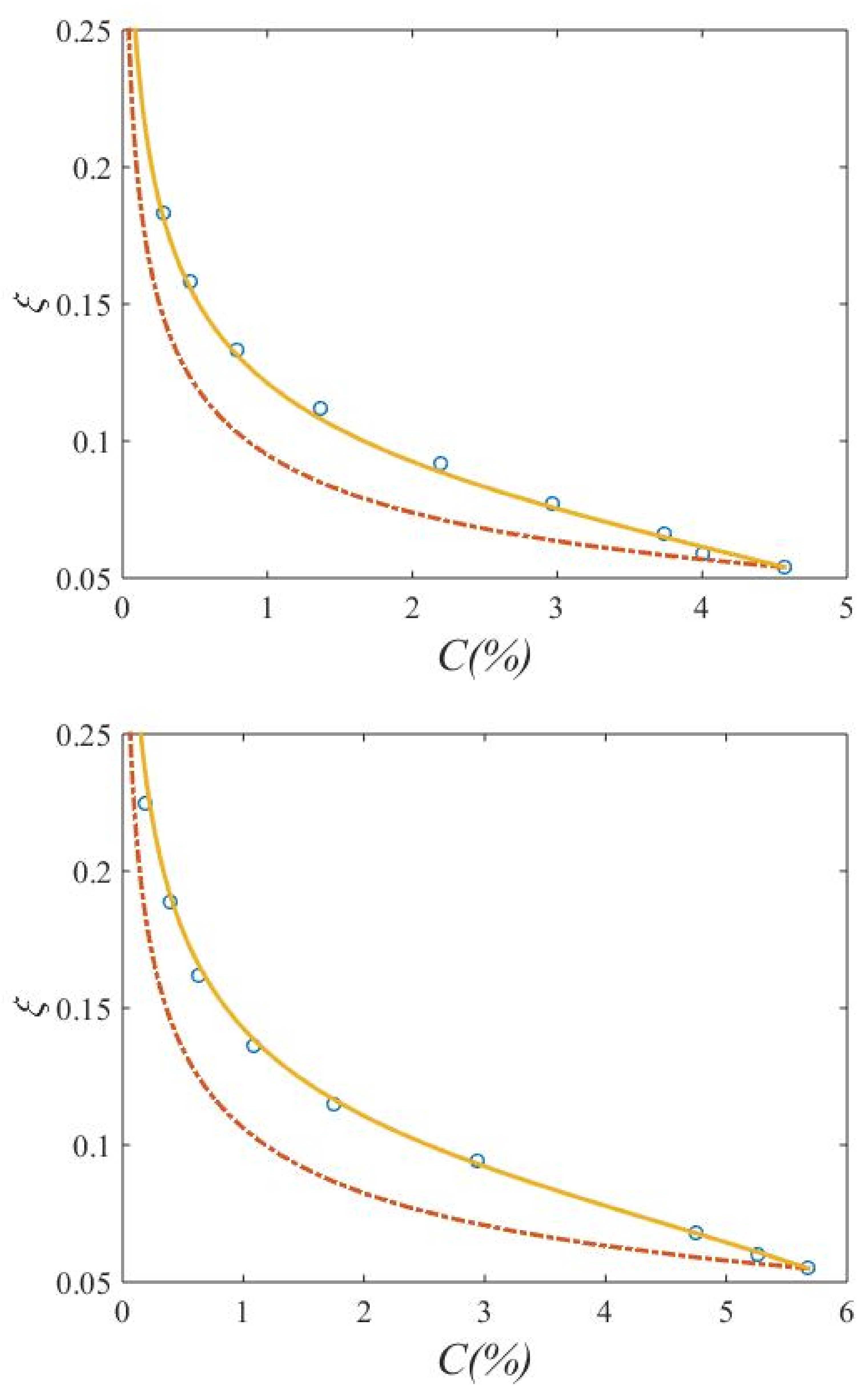
The model was applied for computations of suspended sediment concentrations in open channel flows. The results were compared to the experimental data of Einstein and Chien [10] for two conditions (see Table 1). These data are for coarse sediments with a particle diameter, d p = 1.3 mm.
The simulations presented in Figure 1 were obtained using the following equations and parameters. The settling velocity is given by ω = 0.14 m/s for the coarse sediments of the experiments in Table 1. The sediment diffusivity is obtained from an algebraic eddy viscosity given by [45]:
ν t ( ξ ) = C α u * y e C 1 ξ ,
where ξ = y h and the two coefficients C α = 0.477 and C 1 = 2.17 . For simplicity, the term which multiplies the sediment diffusivity in Equation (25) was approximated by a former formulation, see [23], given by 1 + α s e y h s with the following parameters: α s = 32 , h s = 0.019 for (S2) and α s = 50 , h s = 0.019 for (S3).
Figure 1 shows that for both experimental conditions, at the opposite of the classical ADE (dashed lines), the kinetic model (solid lines) is able to describe the near-bed behavior.

4. Conclusions

This study reinvestigated the kinetic model for turbulent two-phase flows, which accounts for both sediment–turbulence interactions and sediment–sediment collisions. The present study provided a detailed and rigorous derivation of the kinetic model equations, clarifications about the mathematical approach and more details about the main assumptions. An explicit link between the kinetic model and the classical advection diffusion equation was provided.
A criterion for the concentration profile shapes shows that the upward concavity/convexity of the concentration profiles is related to the derivative of the ratio between the sediment diffusivity and the “apparent” settling velocity or between the “apparent” sediment diffusivity and the settling velocity.
The model was applied for the computation of suspended sediment concentrations in open channel flows. The results show that the kinetic model was able to describe the near-bed behavior for coarse sediments.

Author Contributions

M.D.V., conceptualization, methodology, data curation, formal analysis, software, validation, investigation, methodology, visualization, writing—original draft preparation, writing—review and editing; R.A., conceptualization, methodology, data curation, software, validation, investigation, methodology, visualization, supervision, project administration, writing—original draft preparation, writing—review and editing. All authors have read and agreed to the published version of the manuscript.

Funding

This research received no external funding.

Data Availability Statement

The data presented in this study are available in Reference [10].

Conflicts of Interest

The authors declare no conflicts of interest.

References

  1. Yalin, M.S. Mechanics of Sediment Transport; Pergamon Press: Oxford, UK, 1972. [Google Scholar]
  2. Longo, S.G. Physical Models with Sediment Transport. In Principles and Applications of Dimensional Analysis and Similarity. Mathematical Engineering; Springer: Cham, Switzerland, 2021; pp. 351–382. [Google Scholar]
  3. Gorrick, S.; Rodríguez, J.F. Scaling of sediment dynamics in a laboratory model of a sand-bed stream. J. Hydro-Environ. Res. 2014, 8, 77–87. [Google Scholar] [CrossRef]
  4. Ancey, C.; Recking, A. Scaling behavior of bedload transport: What if Bagnold was right? Earth-Sci. Rev. 2023, 246, 104571. [Google Scholar] [CrossRef]
  5. Ali, S.Z.; Dey, S. Origin of the scaling laws of sediment transport. Proc. R. Soc. A Math. Phys. Eng. Sci. 2017, 473, 20160785. [Google Scholar] [CrossRef]
  6. Ali, S.Z.; Dey, S. Impact of phenomenological theory of turbulence on pragmatic approach to fluvial hydraulics. Phys. Fluids 2018, 30, 045105. [Google Scholar] [CrossRef]
  7. Zhong, D.; Wang, G.; Wu, B. Drift velocity of suspended sediment in turbulent open channel flows. J. Hydraul. Eng. 1937, 140, 35–47. [Google Scholar] [CrossRef]
  8. Rouse, H. Modern conceptions of the mechanics of fluid turbulence. Trans. ASCE 1937, 102, 463–543. [Google Scholar] [CrossRef]
  9. Hunt, J. The turbulent transport of suspended sediment in open channels. Proc. R. Soc. Lond. Ser. A 1954, 224, 322–335. [Google Scholar]
  10. Einstein, H.; Chien, N. Effects of Heavy Sediment Concentration Near the Bed on Velocity and Sediment Distribution; Missoury River Division, USACE: Washington, DC, USA, 1955.
  11. Elata, C.; Ippen, A.T. Dynamics of Open Channel Flow with Suspensions of Neutrally Buoyant Particles; Hydrodynamics Laboratory, Department of Civil and Sanitary Engineering, Massachusetts Institute of Technology: Cambridge, MA, USA, 1961. [Google Scholar]
  12. Coleman, N.L. Effects of suspended sediment on the open-channel velocity distribution. Water Resour. Res. 1986, 22, 1377–1384. [Google Scholar] [CrossRef]
  13. Parker, G.; Coleman, N.L. Simple-model of sediment-laden flows. J. Hydraul. Eng. 1986, 112, 356–375. [Google Scholar] [CrossRef]
  14. Umeyama, M. Vertical distribution of suspended sediment in uniform open-channel flow. J. Hydraul. Eng. 1992, 118, 936–941. [Google Scholar] [CrossRef]
  15. Cao, Z.X.; Wei, L.Y.; Xie, J.H. Sediment-laden flow in open-channels from two-phase flow viewpoint. J. Hydraul. Eng. 1995, 121, 725–735. [Google Scholar] [CrossRef]
  16. Chiu, C.-L.; Jin, W.; Chen, Y.-C. Mathematical models of distribution of sediment concentration. J. Hydraul. Eng. 2000, 126, 16–23. [Google Scholar] [CrossRef]
  17. Guo, J.K.; Julien, P.Y. Turbulent velocity profiles in sediment-laden flows. J. Hydraul. Res. 2001, 39, 11–23. [Google Scholar] [CrossRef]
  18. Graf, W.H.; Cellino, M. Suspension flows in open channels; experimental study. J. Hydraul. Res. 2002, 40, 435–447. [Google Scholar] [CrossRef]
  19. Cao, Z.X.; Egashira, S.J.; Carling, P.A. Role of suspended-sediment particle size in modifying velocity profiles in open channel flows. Water Resour. Res. 2003, 39, 1029. [Google Scholar] [CrossRef]
  20. Wright, S.; Parker, G. Density stratification effects in sand-bed rivers. J. Hydraul. Eng. 2004, 130, 783–795. [Google Scholar] [CrossRef]
  21. Herrmann, M.J.; Madsen, O.S. Effect of stratification due to suspended sand on velocity and concentration distribution in unidirectional flows. J. Geophys. Res. Oceans 2007, 112, C02006. [Google Scholar] [CrossRef]
  22. Toorman, E.A. Vertical mixing in the fully developed turbulent layer of sediment-laden open-channel flow. J. Hydraul. Eng. 2008, 134, 1225–1235. [Google Scholar] [CrossRef]
  23. Absi, R. Concentration profiles for fine and coarse sediments suspended by waves over ripples: An analytical study with the 1-DV gradient diffusion model. Adv. Water Resour. 2010, 33, 411–418. [Google Scholar] [CrossRef]
  24. Pittaluga, M.B. Stratification effects on flow and bed topography in straight and curved erodible streams. J. Geophys. Res. 2011, 116, F03026. [Google Scholar] [CrossRef]
  25. Dey, S.; Ali, S.Z.; Padhi, E. Advances in analytical modeling of suspended sediment transport. J. Hydro-Environ. Res. 2018, 20, 11066126. [Google Scholar] [CrossRef]
  26. Sun, H.; Nie, S.; Packman, A.I.; Zhang, Y.; Chen, D.; Lu, C.; Zheng, C. Application of Hausdorff fractal derivative to the determination of the vertical sediment concentration distribution. Int. J. Sediment Res. 2023, 38, 12–23. [Google Scholar] [CrossRef]
  27. Ghoshal, K.; Jain, P.; Absi, R. Nonlinear partial differential equation for unsteady vertical distribution of suspended sediments in open channel flows: Effects of hindered settling and concentration-dependent mixing length. J. Eng. Mech. 2022, 148, 04021123. [Google Scholar] [CrossRef]
  28. Kumbhakar, M.; Tsai, C.W.; Absi, R. Semi-Analytical Modelling of Sediment-Laden Open-Channel Flows with the Effects of Stratification, Hindered Settling, and Eddy Viscosities. Chaos Interdiscip. J. Nonlinear Sci. 2023, 33, 083113. [Google Scholar] [CrossRef]
  29. Greimann, B.P.; Muste, M.; Holly, F.M. Two-phase formulation of suspended sediment transport. J. Hydraul. Res. 1999, 37, 479–500. [Google Scholar] [CrossRef]
  30. Wu, W.M.; Wang, S.Y. Mathematical models for liquid–solid two-phase flow. Int. J. Sediment Res. 2000, 15, 288–298. [Google Scholar]
  31. Greimann, B.P.; Holly, F.M. Two-phase flow analysis of concentration profiles. J. Hydraul. Eng. 2001, 127, 753–762. [Google Scholar] [CrossRef]
  32. Hsu, T.J.; Jenkins, J.T.; Liu, P.L.F. On two-phase sediment transport: Sheet flow of massive particles. Proc. R. Soc. Lon. A 2004, 460, 2223–2250. [Google Scholar] [CrossRef]
  33. Jiang, J.S.; Law, A.W.K.; Cheng, N.S. Two-phase modeling of suspended sediment distribution in open channel flows. J. Hydraul. Res. 2004, 42, 273–281. [Google Scholar] [CrossRef]
  34. Nguyen, K.D.; Guillou, S.; Chauchat, J.; Barbry, N. A two-phase numerical model for suspended-sediment transport in estuaries. Adv. Water Resour. 2009, 32, 1187–1196. [Google Scholar] [CrossRef]
  35. Ishii, M.; Hibiki, T. Thermo-Fluid Dynamics of Two-Phase Flow; Springer: New York, NY, USA, 2006. [Google Scholar]
  36. Fu, X.; Wang, G.; Shao, X. Vertical dispersion of fine and coarse sediments in turbulent open-channel flows. J. Hydraul. Eng. 2005, 131, 877–888. [Google Scholar] [CrossRef]
  37. Wang, G.; Fu, X.; Huang, Y.; Huang, G. Analysis of suspended sediment transport in open-channel flows: Kinetic-model-based simulation. J. Hydraul. Eng. 2008, 134, 328–339. [Google Scholar] [CrossRef]
  38. Lei, Z.; Zhong, D.; Baosheng, W. Particle inertia effect on sediment dispersion in turbulent open-channel flows. Sci. China Technol. Sci. 2014, 57, 1977–1987. [Google Scholar]
  39. Ma, H.; Fu, X. Stochastic formulation of particle kinetics in wall-bounded two-phase flows. Sci. China Technol. Sci. 2014, 57, 2001–2011. [Google Scholar] [CrossRef]
  40. Nie, S.; Sun, H.; Zhang, Y.; Chen, D.; Chen, W.; Chen, L.; Schaefer, S. Vertical Distribution of Suspended Sediment under Steady Flow: Existing Theories and Fractional Derivative Model. Discret. Dyn. Nat. Soc. 2017, 16307, 5481531. [Google Scholar] [CrossRef]
  41. Huang, H.; Zhang, H.; Zhong, D.; Zhang, Y.J. Turbulent mechanisms in open channel sediment-laden flows. Int. J. Sediment Res. 2019, 34, 550–563. [Google Scholar] [CrossRef]
  42. Derevich, I.V.; Zaichik, L.I. Particle deposition from a turbulent flow. Fluid Dyn. 1988, 23, 722–729. [Google Scholar] [CrossRef]
  43. Absi, R. Suspended Sediments in Environmental Flows: Interpretation of Concentration Profiles Shapes. Hydrology 2023, 10, 5. [Google Scholar] [CrossRef]
  44. Absi, R.; Tanaka, H. Analytical Eddy Viscosity Model for Turbulent Wave Boundary Layers: Application to Suspended Sediment Concentrations over Wave Ripples. J. Mar. Sci. Eng. 2023, 11, 226. [Google Scholar] [CrossRef]
  45. Absi, R. Reinvestigating the parabolic-shaped eddy viscosity profile for free surface flows. Hydrology 2021, 8, 126. [Google Scholar] [CrossRef]
Figure 1. Concentration profiles for two conditions: top: S2, bottom: S3; symbols: experimental data; dashed lines: classical ADE; solid lines: kinetic model.
Figure 1. Concentration profiles for two conditions: top: S2, bottom: S3; symbols: experimental data; dashed lines: classical ADE; solid lines: kinetic model.
Mathematics 12 00794 g001
Table 1. Flow conditions of experiments of Einstein and Chien.
Table 1. Flow conditions of experiments of Einstein and Chien.
Run Numberh (cm) d p (mm) u * (cm/s) ρ s / ρ f
S212.01.312.852.65
S311.71.313.262.65
Disclaimer/Publisher’s Note: The statements, opinions and data contained in all publications are solely those of the individual author(s) and contributor(s) and not of MDPI and/or the editor(s). MDPI and/or the editor(s) disclaim responsibility for any injury to people or property resulting from any ideas, methods, instructions or products referred to in the content.

Share and Cite

MDPI and ACS Style

Dalla Via, M.; Absi, R. Reinvestigating the Kinetic Model for the Suspended Sediment Concentration in an Open Channel Flow. Mathematics 2024, 12, 794. https://doi.org/10.3390/math12060794

AMA Style

Dalla Via M, Absi R. Reinvestigating the Kinetic Model for the Suspended Sediment Concentration in an Open Channel Flow. Mathematics. 2024; 12(6):794. https://doi.org/10.3390/math12060794

Chicago/Turabian Style

Dalla Via, Marco, and Rafik Absi. 2024. "Reinvestigating the Kinetic Model for the Suspended Sediment Concentration in an Open Channel Flow" Mathematics 12, no. 6: 794. https://doi.org/10.3390/math12060794

APA Style

Dalla Via, M., & Absi, R. (2024). Reinvestigating the Kinetic Model for the Suspended Sediment Concentration in an Open Channel Flow. Mathematics, 12(6), 794. https://doi.org/10.3390/math12060794

Note that from the first issue of 2016, this journal uses article numbers instead of page numbers. See further details here.

Article Metrics

Back to TopTop