AFSMWD: A Descriptor Flexibly Encoding Multiscale and Oriented Shape Features
Abstract
1. Introduction
- We propose the AFSMW and transform, which is an extended wavelet that allows us to perform multiscale wavelet transform from various directions around each shape point, even with different rotation angles in the vertex-frequency plan. The fractional order contributes to enhancing the transform coefficients among different shape vertices and revealing more hidden shape features, making the state-of-the-art manifold wavelet ASMW [8] just act our one special case.
- We propose a powerful descriptor, AFSMWD, which is verified to be more discriminative and localized than existing descriptors while maintaining lots of desirable properties such as isometric deformation invariance and robustness to shape noises.
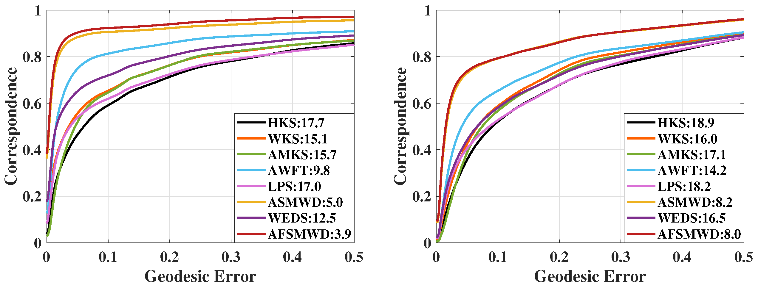
- Extensive experiments to evaluate the proposed descriptor are conducted. The results demonstrate that the AFSMWD outperforms state-of-the-art descriptors in shape-matching tasks. It achieves significant improvements in benchmark performance.
2. Related Work
3. Aisotropic Fractional Spectral Manifold Wavelet
3.1. Aisotropic Fractional Laplace–Beltrami Operator
3.2. Anisotropic Fractional Spectral Manifold Wavelet and Transform
4. Anisotropic Fractional Spectral Manifold Wavelet Descriptor
| Algorithm 1: AFSMWD Computation |
Input: The mesh with N vertices, the parameters Output: AFSMWD for
do According to [26], calculate the ALBO: ; Solve the generalized eigenproblem: to obtain the first K eigenvectors and eigenvalues ; for do Select the Meyer wavelet generating kernel functions and by utilizing the GSP-toolbox [37]; Compute using Equation (15); for do According to Equation (14), compute ; end ; end ; end AFSMWD of point v, i.e., . |
5. Experimental Results
5.1. Implementation Details
5.2. Descriptor Evaluation and Comparisons
6. Conclusions
Author Contributions
Funding
Data Availability Statement
Conflicts of Interest
References
- Liu, S.; Wang, H.; Yan, D.M.; Li, Q.; Luo, F.; Teng, Z.; Liu, X. Spectral Descriptors for 3D Deformable Shape Matching: A Comparative Survey. IEEE Trans. Vis. Comput. Graph. 2024, 1–20. [Google Scholar] [CrossRef] [PubMed]
- Sun, J.; Ovsjanikov, M.; Guibas, L. A concise and provably informative multi-scale signature based on heat diffusion. Comput. Graph. Forum 2009, 28, 1383–1392. [Google Scholar] [CrossRef]
- Aubry, M.; Schlickewei, U.; Cremers, D. The wave kernel signature: A quantum mechanical approach to shape analysis. In Proceedings of the International Conference on Computer Vision, Barcelona, Spain, 6–13 November 2011; pp. 1626–1633. [Google Scholar]
- Wang, Y.; Ren, J.; Yan, D.M.; Guo, J.; Zhang, X.; Wonka, P. MGCN: Descriptor learning using multiscale GCNs. ACM Trans. Graph. 2020, 39, 122:1–122:15. [Google Scholar] [CrossRef]
- Levy, B. Laplace-beltrami eigenfunctions towards an algorithm that “understands” geometry. In Proceedings of the IEEE International Conference on Shape Modeling and Applications, Washington, DC, USA, 14–16 June 2006. [Google Scholar]
- Boscaini, D.; Masci, J.; Melzi, S.; Bronstein, M.M.; Castellani, U.; Vandergheynst, P. Learning class-specific descriptors for deformable shapes using localized spectral convolutional networks. Comput. Graph. Forum 2015, 34, 13–23. [Google Scholar] [CrossRef]
- Hammond, D.K.; Vandergheynst, P.; Gribonval, R. Wavelets on graphs via spectral graph theory. Appl. Comput. Harmon. Anal. 2011, 30, 129–150. [Google Scholar] [CrossRef]
- Li, Q.; Hu, L.; Liu, S.; Yang, D.; Liu, X. Anisotropic Spectral Manifold Wavelet Descriptor. Comput. Graph. Forum 2021, 40, 81–96. [Google Scholar] [CrossRef]
- Liu, S.; Luo, F.; Li, Q.; Liu, X.; Hu, L. AWEDD: A descriptor simultaneously encoding multiscale extrinsic and intrinsic shape features. Vis. Comput. 2024, 40, 2537–2554. [Google Scholar] [CrossRef]
- Andreux, M.; Rodola, E.; Aubry, M.; Cremers, D. Anisotropic Laplace-Beltrami operators for shape analysis. In Proceedings of the European Conference on Computer Vision, Zurich, Switzerland, 6–12 September 2014; Springer: Berlin, Germany, 2014; pp. 299–312. [Google Scholar]
- Manay, S.; Hong, B.W.; Yezzi, A.J.; Soatto, S. Integral invariant signatures. In Proceedings of the European Conference on Computer Vision, Prague, Czech Republic, 11–14 May 2004; Springer: Berlin, Germany, 2004; pp. 87–99. [Google Scholar]
- Osada, R.; Funkhouser, T.; Chazelle, B.; Dobkin, D. Shape distributions. Acm Trans. Graph. 2002, 21, 807–832. [Google Scholar] [CrossRef]
- Pauly, M.; Keiser, R.; Gross, M. Multi-scale feature extraction on point-sampled surfaces. Comput. Graph. Forum 2003, 22, 281–289. [Google Scholar] [CrossRef]
- Salti, S.; Tombari, F.; Di Stefano, L. SHOT: Unique signatures of histograms for surface and texture description. Comput. Vis. Image Underst. 2014, 125, 251–264. [Google Scholar] [CrossRef]
- Melzi, S.; Spezialetti, R.; Tombari, F.; Bronstein, M.M.; Stefano, L.D.; Rodola, E. Gframes: Gradient-based local reference frame for 3D shape matching. In Proceedings of the IEEE/CVF Conference on Computer Vision and Pattern Recognition, Long Beach, CA, USA, 15–20 June 2019; pp. 4629–4638. [Google Scholar]
- Shamai, G.; Kimmel, R. Geodesic distance descriptors. In Proceedings of the IEEE Conference on Computer Vision and Pattern Recognition, Honolulu, HI, USA, 21–26 July 2017; pp. 6410–6418. [Google Scholar]
- HU, L.; LI, Q.s.; LIU, S.j.; LIU, X.r. Spectral graph wavelet descriptor for three-dimensional shape matching. J. Zhejiang Univ. (Eng. Sci.) 2019, 53, 761–769. [Google Scholar]
- Wang, Y.; Guo, J.; Xiao, J.; Yan, D.M. A Wavelet Energy Decomposition Signature for Robust Non-Rigid Shape Matching. In SIGGRAPH Asia 2019 Posters; ACM: New York, NY, USA, 2019; pp. 1–2. [Google Scholar]
- Cosmo, L.; Minello, G.; Bronstein, M.; Rodolà, E.; Rossi, L.; Torsello, A. 3D Shape Analysis Through a Quantum Lens: The Average Mixing Kernel Signature. Int. J. Comput. Vis. 2022, 130, 1474–1493. [Google Scholar] [CrossRef]
- Magnet, R.; Ovsjanikov, M. Dwks: A local descriptor of deformations between meshes and point clouds. In Proceedings of the IEEE/CVF International Conference on Computer Vision, Montreal, BC, Canada, 11–17 October 2021; pp. 3793–3802. [Google Scholar]
- Yan, Y.; Zhou, M.; Zhang, D.; Geng, S. Improved biharmonic kernel signature for 3D non-rigid shape matching and retrieval. Vis. Comput. 2024, 1–27. [Google Scholar] [CrossRef]
- Yan, Y.; Zhou, M.; Zhang, D.; Geng, S. Average increment scale-invariant heat kernel signature for 3D non-rigid shape analysis. Multimed. Tools Appl. 2024, 83, 8077–8115. [Google Scholar] [CrossRef]
- Melzi, S.; Rodola, E.; Castellani, U.; Bronstein, M.M. Shape analysis with anisotropic windowed fourier transform. In Proceedings of the International Conference on 3D Vision, Stanford, CA, USA, 26–28 October 2016; pp. 470–478. [Google Scholar]
- Rostami, R.; Bashiri, F.S.; Rostami, B.; Yu, Z. A survey on data-driven 3D shape descriptors. Comput. Graph. Forum 2019, 38, 356–393. [Google Scholar] [CrossRef]
- Litman, R.; Bronstein, A.M. Learning spectral descriptors for deformable shape correspondence. IEEE Trans. Pattern Anal. Mach. Intell. 2013, 36, 171–180. [Google Scholar] [CrossRef]
- Boscaini, D.; Masci, J.; Rodolà, E.; Bronstein, M.M.; Cremers, D. Anisotropic diffusion descriptors. Comput. Graph. Forum 2016, 35, 431–441. [Google Scholar] [CrossRef]
- Li, Q.; Liu, S.; Hu, L.; Liu, X. Shape correspondence using anisotropic Chebyshev spectral CNNs. In Proceedings of the IEEE/CVF Conference on Computer Vision and Pattern Recognition, Nashville, TN, USA, 20–25 June 2020; pp. 14658–14667. [Google Scholar]
- Huang, X.; Li, N.; Xia, Q.; Li, S.; Hao, A.; Qin, H. Multi-scale and multi-level shape descriptor learning via a hybrid fusion network. Graph. Model. 2022, 119, 101121. [Google Scholar] [CrossRef]
- Sandryhaila, A.; Moura, J.M. Discrete signal processing on graphs. IEEE Trans. Signal Process. 2013, 61, 1644–1656. [Google Scholar] [CrossRef]
- Shuman, D.I.; Ricaud, B.; Vandergheynst, P. Vertex-frequency analysis on graphs. Appl. Comput. Harmon. Anal. 2016, 40, 260–291. [Google Scholar] [CrossRef]
- Wang, Y.Q.; Li, B.Z.; Cheng, Q.Y. The fractional Fourier transform on graphs. In Proceedings of the 2017 Asia-Pacific Signal and Information Processing Association Annual Summit and Conference (APSIPA ASC), Kuala Lumpur, Malaysia, 12–15 December 2017; pp. 105–110. [Google Scholar]
- Wang, Y.; Li, B. The fractional Fourier transform on graphs: Sampling and recovery. In Proceedings of the 2018 14th IEEE International Conference on Signal Processing (ICSP), Beijing, China, 12–16 August 2018; pp. 1103–1108. [Google Scholar]
- Yan, F.J.; Li, B.Z. Windowed fractional Fourier transform on graphs: Properties and fast algorithm. Digit. Signal Process. 2021, 118, 103210. [Google Scholar] [CrossRef]
- Chung, F.R. Spectral Graph Theory; American Mathematical Soc.: Providence, RI, USA, 1997; Volume 92. [Google Scholar]
- Wu, J.; Wu, F.; Yang, Q.; Zhang, Y.; Liu, X.; Kong, Y.; Senhadji, L.; Shu, H. Fractional spectral graph wavelets and their applications. Math. Probl. Eng. 2020, 2020, 2568179. [Google Scholar] [CrossRef]
- Higham, N.J.; Lin, L. A Schur–Padé algorithm for fractional powers of a matrix. Siam J. Matrix Anal. Appl. 2011, 32, 1056–1078. [Google Scholar] [CrossRef]
- Perraudin, N.; Paratte, J.; Shuman, D.; Martin, L.; Kalofolias, V.; Vandergheynst, P.; Hammond, D.K. GSPBOX: A toolbox for signal processing on graphs. arXiv 2014, arXiv:1408.5781. [Google Scholar]
- Hou, T.; Qin, H. Continuous and discrete Mexican hat wavelet transforms on manifolds. Graph. Model. 2012, 74, 221–232. [Google Scholar] [CrossRef]
- Benedetto, J.J.; Fickus, M. Finite normalized tight frames. Adv. Comput. Math. 2003, 18, 357–385. [Google Scholar] [CrossRef]
- Bogo, F.; Romero, J.; Loper, M.; Black, M.J. FAUST: Dataset and evaluation for 3D mesh registration. In Proceedings of the IEEE Conference on Computer Vision and Pattern Recognition, Columbus, OH, USA, 23–28 June 2014; pp. 3794–3801. [Google Scholar]
- Ren, J.; Poulenard, A.; Wonka, P.; Ovsjanikov, M. Continuous and orientation-preserving correspondences via functional maps. Acm Trans. Graph. 2018, 37, 1–16. [Google Scholar] [CrossRef]
- Anguelov, D.; Srinivasan, P.; Koller, D.; Thrun, S.; Rodgers, J.; Davis, J. Scape: Shape completion and animation of people. In ACM SIGGRAPH 2005 Papers; ACM: New York, NY, USA, 2005; pp. 408–416. [Google Scholar]
- Bronstein, A.M.; Bronstein, M.M.; Kimmel, R. Numerical Geometry of Non-Rigid Shapes; Springer Science & Business Media: Berlin, Germany, 2008. [Google Scholar]
- Melzi, S.; Marin, R.; Rodolà, E.; Castellani, U.; Ren, J.; Poulenard, A.; Wonka, P.; Ovsjanikov, M. SHREC 2019: Matching Humans with Different Connectivity. In Proceedings of the Eurographics Workshop on 3D Object Retrieval, Genova, Italy, 5–6 May 2019; Volume 7. [Google Scholar]
- Zuffi, S.; Kanazawa, A.; Jacobs, D.W.; Black, M.J. 3D menagerie: Modeling the 3D shape and pose of animals. In Proceedings of the IEEE/CVF Conference on Computer Vision and Pattern Recognition, Honolulu, HI, USA, 21–26 July 2017; pp. 6365–6373. [Google Scholar]
- Robinette, K.M.; Daanen, H.; Paquet, E. The CAESAR project: A 3-D surface anthropometry survey. In Proceedings of the Second International Conference on 3-D Digital Imaging and Modeling (Cat. No. PR00062), Ottawa, ON, Canada, 8 October 1999; pp. 380–386. [Google Scholar]
- Pickup, D.; Sun, X.; Rosin, P.L.; Martin, R.R.; Cheng, Z.; Lian, Z.; Aono, M.; Hamza, A.B.; Bronstein, A.; Bronstein, M.; et al. Shape retrieval of non-rigid 3d human models. Int. J. Comput. Vis. 2016, 120, 169–193. [Google Scholar] [CrossRef]
- Cosmo, L.; Rodola, E.; Bronstein, M.M.; Torsello, A.; Cremers, D.; Sahillioglu, Y. SHREC’16: Partial matching of deformable shapes. Proc. 3DOR 2016, 2, 12. [Google Scholar]
- Kim, V.G.; Lipman, Y.; Funkhouser, T. Blended intrinsic maps. Acm Trans. Graph. 2011, 30, 1–12. [Google Scholar]
- Wang, Z.; Lin, H.; Yu, X.; Hamza, Y.F. A dimensional reduction guiding deep learning architecture for 3D shape retrieval. Comput. Graph. 2019, 81, 82–91. [Google Scholar] [CrossRef]
- Rodolà, E.; Cosmo, L.; Bronstein, M.M.; Torsello, A.; Cremers, D. Partial functional correspondence. Comput. Graph. Forum 2017, 36, 222–236. [Google Scholar] [CrossRef]
- Lähner, Z.; Rodola, E.; Bronstein, M.M.; Cremers, D.; Burghard, O.; Cosmo, L.; Dieckmann, A.; Klein, R.; Sahillioglu, Y. SHREC’16: Matching of deformable shapes with topological noise. Proc. 3DOR 2016, 2, 55–60. [Google Scholar]






| Descriptors | FAUST | SCAPE | TOSCA | SHREC’19 | SMAL | SHREC’16 HOLES | ||
|---|---|---|---|---|---|---|---|---|
| Original | Remesh | Original | Remesh | Remesh | ||||
| HKS | 17.71 | 17.61 | 18.86 | 19.24 | 21.01 | 26.49 | 34.40 | 31.89 |
| WKS | 15.14 | 15.14 | 16.04 | 16.44 | 16.83 | 21.65 | 29.79 | 33.69 |
| AMKS | 15.72 | 15.22 | 17.08 | 16.48 | 15.27 | 21.88 | 35.79 | 32.55 |
| AWFT | 9.84 | 13.74 | 14.20 | 14.87 | 13.63 | 27.35 | 24.48 | 24.45 |
| LPS | 16.96 | 17.76 | 18.20 | 18.91 | 18.50 | 27.17 | 34.62 | 27.38 |
| ASMWD | 4.99 | 8.64 | 8.18 | 11.65 | 11.77 | 19.00 | 29.29 | 24.42 |
| WEDS | 12.52 | 12.12 | 16.52 | 16.23 | 16.60 | 25.40 | 31.98 | 25.16 |
| AFSMWD | 3.89 | 8.42 | 8.03 | 11.55 | 11.17 | 18.71 | 27.88 | 22.31 |
Disclaimer/Publisher’s Note: The statements, opinions and data contained in all publications are solely those of the individual author(s) and contributor(s) and not of MDPI and/or the editor(s). MDPI and/or the editor(s) disclaim responsibility for any injury to people or property resulting from any ideas, methods, instructions or products referred to in the content. |
© 2024 by the authors. Licensee MDPI, Basel, Switzerland. This article is an open access article distributed under the terms and conditions of the Creative Commons Attribution (CC BY) license (https://creativecommons.org/licenses/by/4.0/).
Share and Cite
Hu, L.; Wang, H.; Yang, X.; Xu, H.; Liao, Y. AFSMWD: A Descriptor Flexibly Encoding Multiscale and Oriented Shape Features. Mathematics 2024, 12, 2946. https://doi.org/10.3390/math12182946
Hu L, Wang H, Yang X, Xu H, Liao Y. AFSMWD: A Descriptor Flexibly Encoding Multiscale and Oriented Shape Features. Mathematics. 2024; 12(18):2946. https://doi.org/10.3390/math12182946
Chicago/Turabian StyleHu, Ling, Haibo Wang, Xuguang Yang, Haojun Xu, and Yongzhong Liao. 2024. "AFSMWD: A Descriptor Flexibly Encoding Multiscale and Oriented Shape Features" Mathematics 12, no. 18: 2946. https://doi.org/10.3390/math12182946
APA StyleHu, L., Wang, H., Yang, X., Xu, H., & Liao, Y. (2024). AFSMWD: A Descriptor Flexibly Encoding Multiscale and Oriented Shape Features. Mathematics, 12(18), 2946. https://doi.org/10.3390/math12182946

