Study of Cayley Digraphs over Polygroups
Abstract
1. Introduction
2. Preliminaries
- (1)
- , which means that
- (2)
- .
- (i)
- Suppose that is a right scalar identity of H and there exists such that , where ; then we define = and moreover, is the right order of x. If such an does not exist, we say .
- (ii)
- If is a left scalar identity of a hypergroup H, and there exists such that , where , then = . Moreover, we have is the left order of x. If such an does not exist, we say .
- (iii)
- If e is a scalar identity of H and , we say is order of x and otherwise we say does not exist.
- (1)
- (2)
- such that
- (3)
- such that We denote
- (4)
- .
- (1)
- implies that ;
- (2)
- implies that .
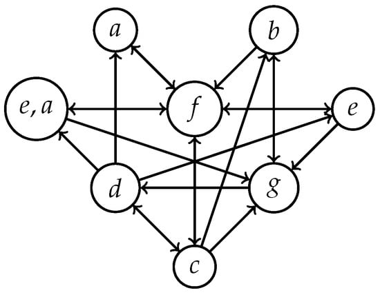
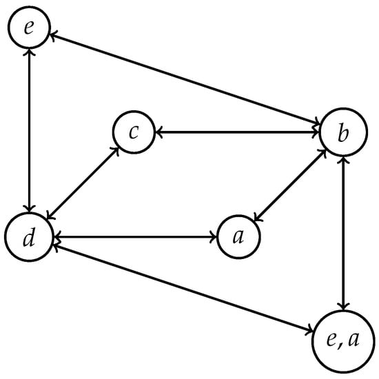
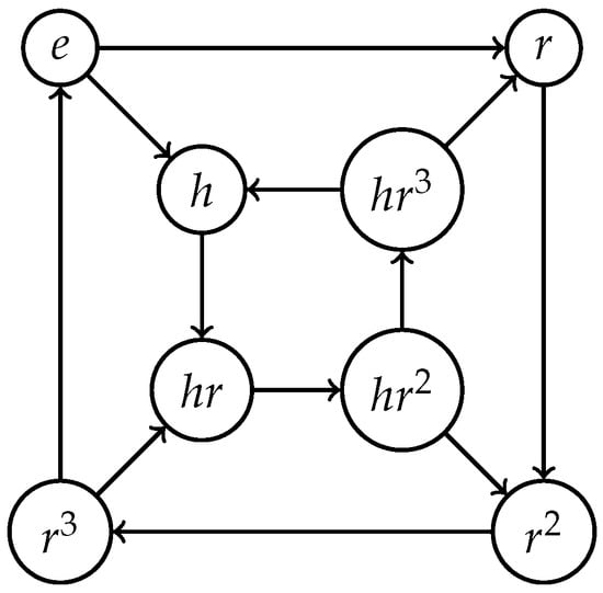
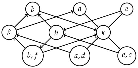
3. On Cayley Directed Graphs of Polygroups
- (1)
- is a good finitely generated polygroup.
- (2)
- .
- (I)
- The generalized Cayley digraph of P with respect to S, which is denoted by , is the pair , , where
- (1)
- is the set of all finite products of elements of S and A finite product is called positive if , where (), i.e., U is a finite product of elements of S.
- (2)
- = is the set of vertices consisting of distinct elements of P and .
- (3)
- = = {| , for all }. An ordered pair is an edge with direction from U to V and is called an
- (II)
- The generalized Cayley digraph is called minimal if S is a good minimal generator of P. In this case we denote P = . Moreover, the minimal generalized Cayley digraph is denoted by and is called a Cayley digraph of P.
- (1)
- An ordered pair is a directed adjacent and denoted by (or and say the direction is from U to V), where is an arc in .
- (2)
- An ordered pair is symmetrically adjacent and denoted by , where both and are arcs in .
- (3)
- An ordered pair is oriented adjacent and denoted by whenever is an arc in , but is not an arc in .
- (1)
- A simple walk in is a sequence of vertices in , beginning with U and ending with V such that consecutive vertices for are direction-adjacent in .
- (2)
- A simple walk in in which no vertex is repeated is called a path.
- (3)
- Two vertices are connected if there is a path in . Moreover, a itself is connected if every pair of vertices is connected.
- (1)
- A directed walk in is a sequence of vertices in , beginning with U and ending at V such that consecutive vertices for are arcs in .
- (2)
- A directed walk in in which no vertex is repeated, is called a directed path.
- (1)
- A symmetric walk in is a sequence of vertices in , beginning with U and ending with V such that consecutive vertices for are symmetrically adjacent in .
- (2)
- A symmetric walk in in which no vertex is repeated is called a symmetric path.
- (3)
- Two vertices are symmetrically connected if there is a symmetric path in . A itself is symmetrically connected if every pair of vertices are symmetrically connected.
- (1)
- An oriented walk in is a sequence of vertices in , beginning with U and ending with V such that consecutive vertices for are oriented adjacent in .
- (2)
- An oriented walk in , in which no vertices are repeated, is called an oriented path.
- (1)
- for every finite product there is a path in ;
- (2)
- for every pair of finite products there is a path in .
- (1)
- Let U = for some and . We prove the first part of the Lemma by induction on n. If there is a path . Now suppose there is a path , where and . We need to show that there is a path , for every and . If , then the arc (,. Now suppose that , then the arc (, is the edge that we need. Therefore, we have the path which is constructed with the path and the consecutive vertices , and .
- (2)
- It is sufficient to show that for every pair of vertices , there is a path in . By part (1) there are the paths , . Therefore, there is a path in .
- (1)
- If . By the previous Lemma there is a path in . Thus x and y are connected.
- (2)
- If or , then we have or . Without losing the generality of the proof, let . There is a finite product such that , for some and . Now let , then are adjacent because . Further, is a finite product of elements of S; then, by the previous Lemma there is a path in . Consequently, there is the path , consisting of adjacent vertices and path in . Similarly, we have the path and so the path exists.
- (1)
- A cycle on vertices is a path in and it consists a sequence of consecutive vertices and the arc or
- (2)
- A directed cycle on vertices U,V is a directed path in and it consists of consecutive vertices and directed adjacent .
- (3)
- A symmetric cycle on vertices U,V is a symmetric path in and it consists of consecutive vertices and symmetricaly adjacent .
- (4)
- An oriented cycle on vertices U,V is an oriented path in and it consists of consecutive vertices and oriented adjacent .
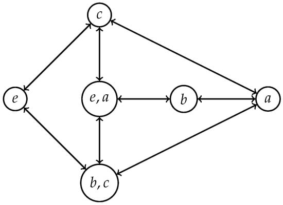
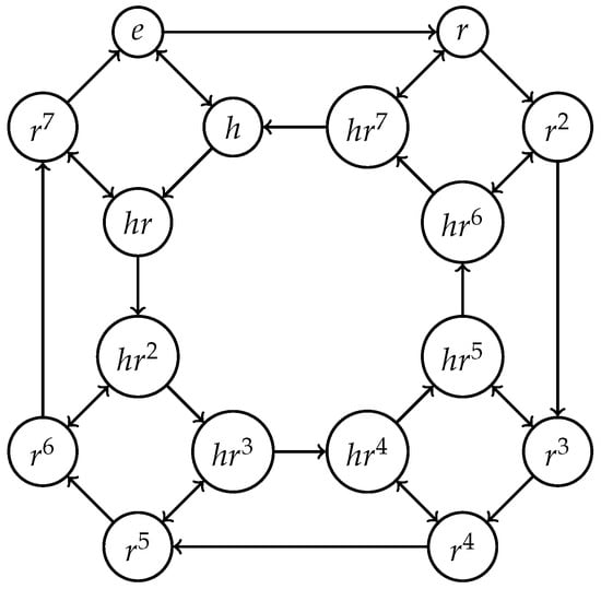
4. Polygroups Derived from Conjugacy Classes of Groups
- (1)
- if , then
- (2)
- The is symmetrically connected.
- (1)
- If , we have .
- (2)
- If , we have .
- (1)
- and , for all .
- (2)
- If then and for all . In this case
- (3)
- If , then , , and In this case
- (1)
- If and then
- (2)
- If and then
5. Conclusions
Author Contributions
Funding
Data Availability Statement
Acknowledgments
Conflicts of Interest
References
- Cayley, A. The theory of groups: Graphical representation. Am. J. Math. 1878, 1, 174–176. [Google Scholar] [CrossRef]
- Cannon, J.J. Construction of Defining Relators for Finite Groups. Discret. Math. 1973, 5, 105–129. [Google Scholar] [CrossRef][Green Version]
- Neumann, B.H. A problem of Paul Erdos on groups. J. Aust. Math. Soc. (Ser. A) 1976, 21, 467–472. [Google Scholar] [CrossRef]
- Abdollahi, A.; Zarrin, M. Non-nilpotent graph of a group. Commun. Algebra 2010, 38, 4390–4403. [Google Scholar] [CrossRef]
- Ballester-Bolinches, A.; Cosme-Llopez, E.; Esteban-Romero, R. Group extensions and graphs. Expo. Math. 2016, 34, 327–334. [Google Scholar] [CrossRef]
- Lucchini, A. The independence graph of a finite group. Monatshefte Math. 2020, 193, 845–856. [Google Scholar] [CrossRef]
- Marty, F. Sur une Generalization de la Notion de Groupe. In Proceedings of the 8th Congress of Scandinavian Mathematicians, Stockholm, Sweden, 14–18 August 1934; pp. 45–49. [Google Scholar]
- Bonansinga, P.; Corsini, P. On semihypergroup and hypergroup homomorphisms. (Italian) Boll. Un. Mat. Ital. B 1982, 2, 717–727. [Google Scholar]
- Davvaz, B. Polygroup Theory and Related Systems; World Scientific Publishing Co. Pte. Ltd.: Hackensack, NJ, USA, 2013. [Google Scholar]
- Heidari, D.; Amooshahi, M.; Davvaz, B. Generalized Cayley graphs over polygroups. Commun. Algebr. 2019, 47, 2209–2219. [Google Scholar] [CrossRef]
- Arabpur, F.; Jafarpour, M.; Aminizadeh, M.; Hoskova-Mayerova, S. On geometric polygroups. An. St. Univ. Ovidius Constanta 2020, 28, 17–33. [Google Scholar] [CrossRef]
- Abughazalah, N.; Yaqoob, N.; Bashir, A. Cayley Graphs over LA-Groups and LA-Polygroups. Math. Probl. Eng. 2021, 9, 4226232. [Google Scholar] [CrossRef]
- Bondy, J.A.; Murty, U.S. Graph Theory; Springer: Berlin/Heidelberg, Germany, 2008. [Google Scholar]
- Corsini, P. Prolegomena of Hypergroup Theory; Aviani Editore: Tricesimo, Italy, 1993. [Google Scholar]
- Corsini, P.; Leoreanu, V. Applications of Hyperstructure Theory; Kluwer Academical Publications: Dordrecht, The Netherlands, 2003. [Google Scholar]
- Vougiouklis, T. Hyperstructures and Their Representations; Hadronic Press: Palm Harbor, FL, USA, 1994. [Google Scholar]
- Jantani, F.; Jafarpour, M.; Mousavi, S.S.; Leoreanu, V. On order of elements in hypergroups and p-Sylow subhypergroups. Commun. Algebr. 2017, 45, 5092–5102. [Google Scholar] [CrossRef]
- Bonansinga, P.; Corsini, P. Sugli omomorfismi di semi-ipergruppi e di ipergruppi. BUMI B 1982, 1, 717–725. [Google Scholar]
- Mousavi, S.S.; Jafarpour, M.; Cristea, I. From HX-Groups to HX-Polygroups. Axioms 2023, 13, 7. [Google Scholar] [CrossRef]
- Comer, S.D. Extension of polygroups by polygroups and their representations using colour schemes. In Universal Algebra and Lattice Theory, Proceedings of the Fourth International Conference Held at Puebla, Mexico, 1982; Lecture Notes in Mathematics, No 1004; Springer: Berlin/Heidelberg, Germany, 1982; pp. 91–103. [Google Scholar]
- Cayley, A. On the theory of groups, as depending on the symbolic equation θn = 1. Philos. Mag. 4th Ser. 1854, 7–42, 40–47. [Google Scholar] [CrossRef]
- Witte, D. Cayley digraphs of prime-power order are Hamiltonian. J. Combin. Theory Ser. B40 1986, 40, 107–112. [Google Scholar] [CrossRef]
- Campaigne, H. Partition hypergroups. Am. J. Math. 1940, 6, 599–612. [Google Scholar] [CrossRef]









Disclaimer/Publisher’s Note: The statements, opinions and data contained in all publications are solely those of the individual author(s) and contributor(s) and not of MDPI and/or the editor(s). MDPI and/or the editor(s) disclaim responsibility for any injury to people or property resulting from any ideas, methods, instructions or products referred to in the content. |
© 2024 by the authors. Licensee MDPI, Basel, Switzerland. This article is an open access article distributed under the terms and conditions of the Creative Commons Attribution (CC BY) license (https://creativecommons.org/licenses/by/4.0/).
Share and Cite
Sanjabi, A.; Jafarpour, M.; Hoskova-Mayerova, S.; Aghabozorgi, H.; Vagaska, A. Study of Cayley Digraphs over Polygroups. Mathematics 2024, 12, 2711. https://doi.org/10.3390/math12172711
Sanjabi A, Jafarpour M, Hoskova-Mayerova S, Aghabozorgi H, Vagaska A. Study of Cayley Digraphs over Polygroups. Mathematics. 2024; 12(17):2711. https://doi.org/10.3390/math12172711
Chicago/Turabian StyleSanjabi, Ali, Morteza Jafarpour, Sarka Hoskova-Mayerova, Hossien Aghabozorgi, and Alena Vagaska. 2024. "Study of Cayley Digraphs over Polygroups" Mathematics 12, no. 17: 2711. https://doi.org/10.3390/math12172711
APA StyleSanjabi, A., Jafarpour, M., Hoskova-Mayerova, S., Aghabozorgi, H., & Vagaska, A. (2024). Study of Cayley Digraphs over Polygroups. Mathematics, 12(17), 2711. https://doi.org/10.3390/math12172711

