Cryptographic Algorithm Designed by Extracting Brainwave Patterns
Abstract
1. Introduction
2. Literature Review
- The protocol used in the EEG signals acquisition: A remarkable number of papers discuss the opportunity to design an authentication system, using resting state EEG signals. The resting state is used for the identification of the user and is applied on a larger scale as a source of reference. When designing a system for authentication, it is necessary to account that this approach does not allow for password reset or recovery. On a large scale, there are two such protocols used for acquisition, namely Rest Eyes Open (REO) and Rest Eyes Closed (REC) [12,35]. The main disadvantages of this protocol are the sensitivity of external stimuli, which can disturb users’ attention, or the modification of signals generated, and artifacts generated by controlled or uncontrolled movements, such as blinking, as well as significantly affecting the accuracy of the system [3,36,37,38].
- Classification: The most popular authentication mechanism relies on classification algorithms (number of classes = number of users) in order to gain access to the system. Such an approach, Single-Factor Authentication (SFA) [40], does not take into consideration the situations in which unknown persons outside of the database are trying to connect [1,33].
3. Materials and Methods
3.1. System Overview
3.2. Preprocessing
3.3. Channel Selection
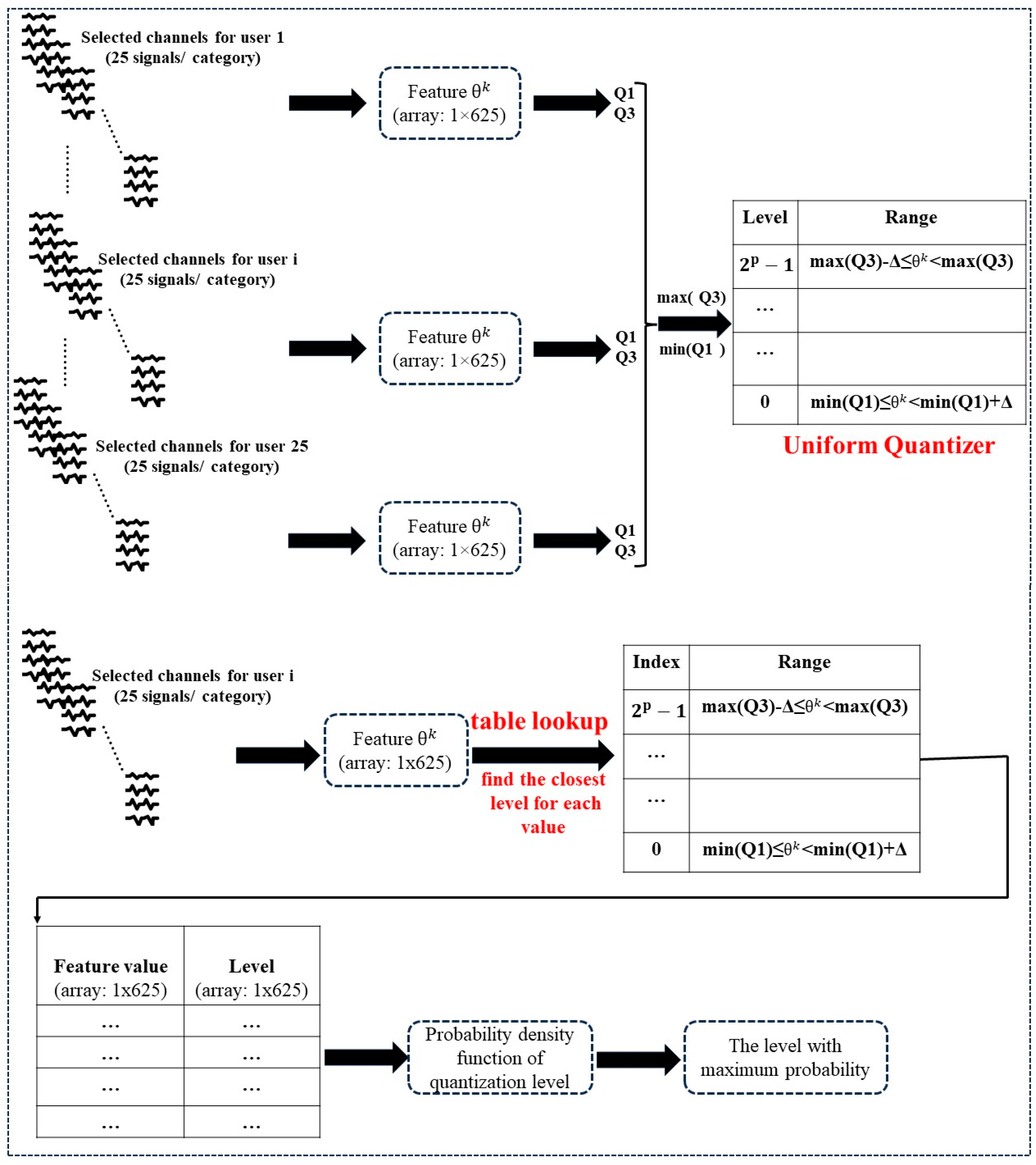
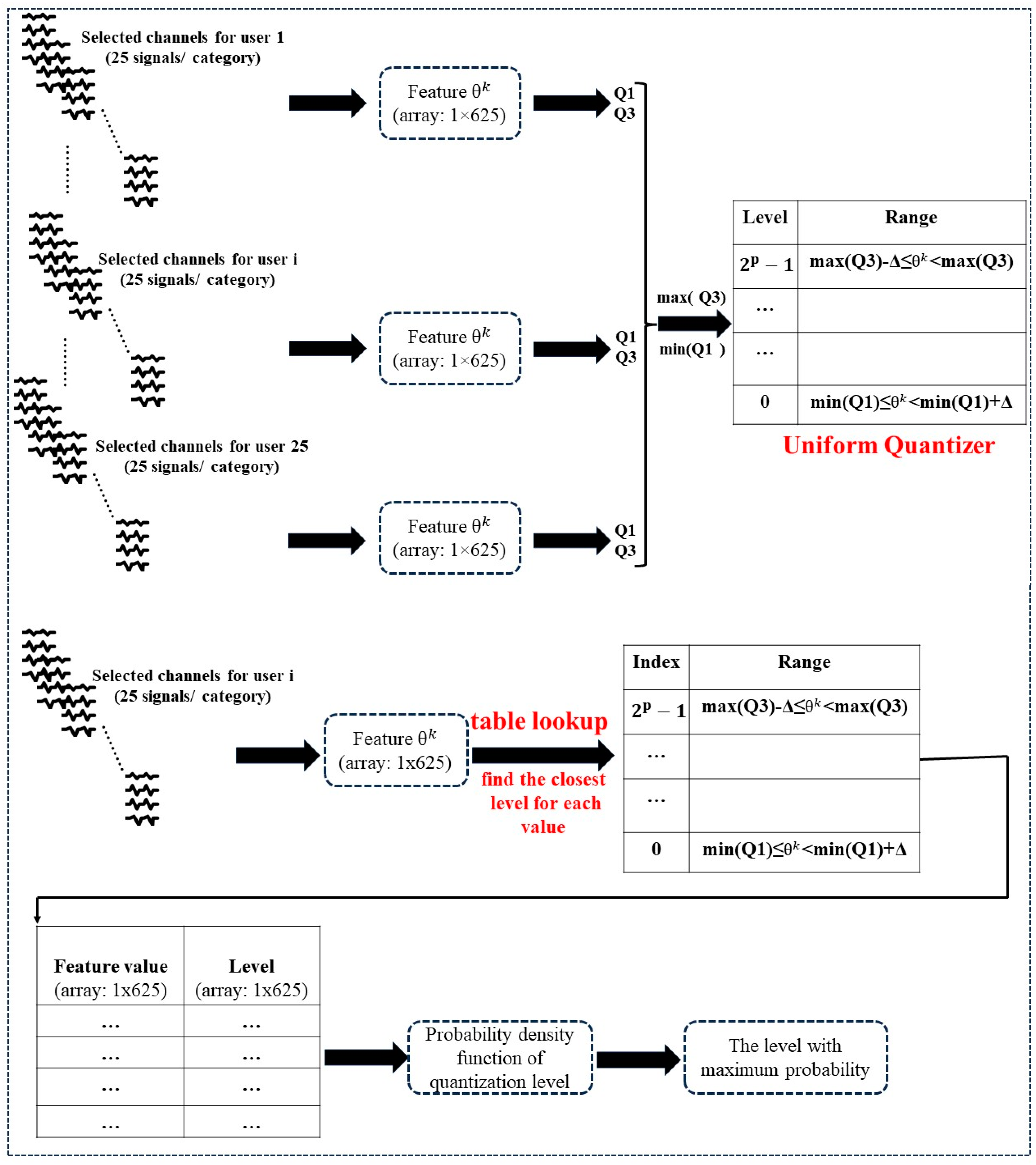
3.4. Password Generation
| Algorithm 1. Identification of uniqueness descriptors |
| Input: The extracted features, for all subjects For each feature:
|
| Algorithm 2. Processing EEG signals for password generation |
| Input: The selected features For each feature that was selected as a descriptor:
|
3.5. User Authentication
3.6. User Identification
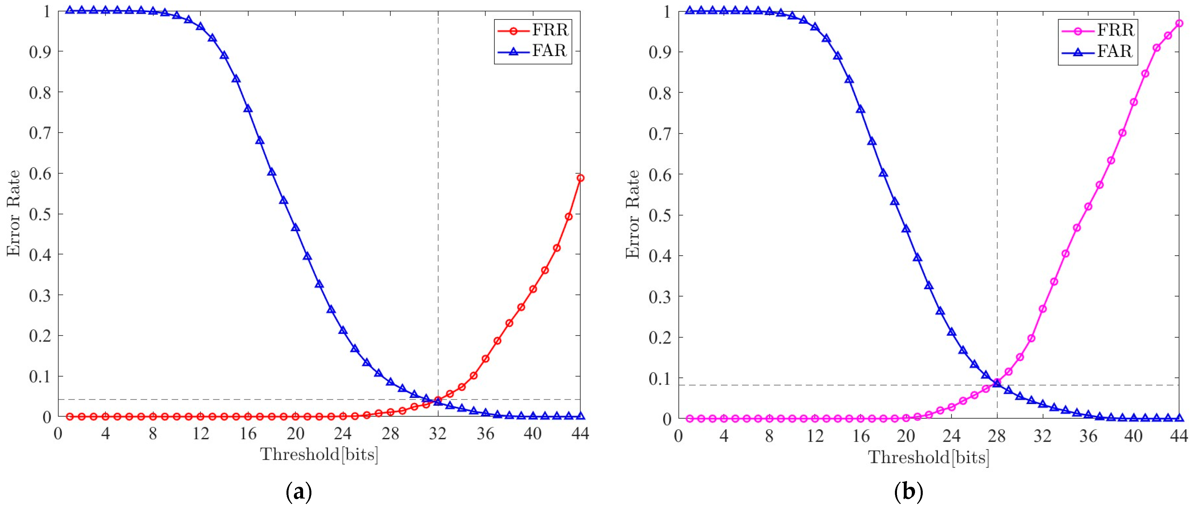
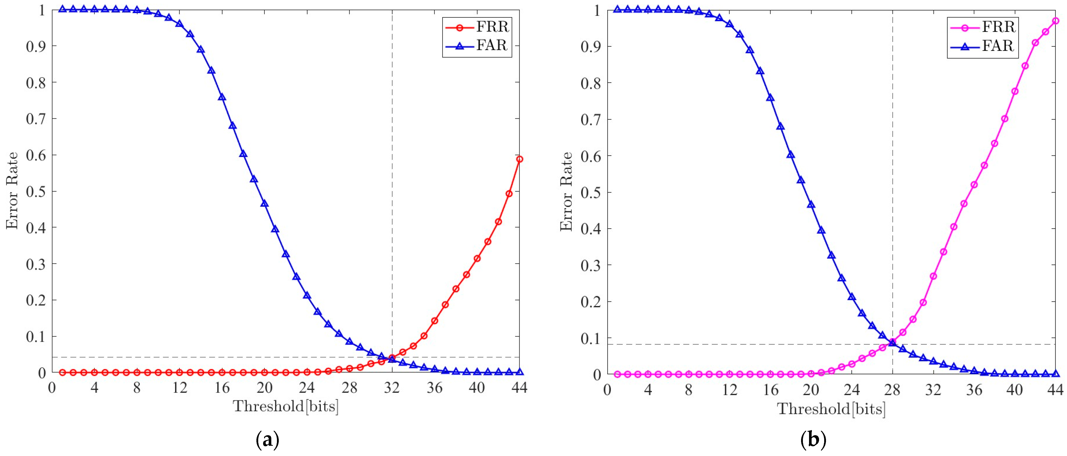
3.7. Evaluation Metrics
4. Experimental Design
5. Results
5.1. Channel Selection
5.2. Password Generation
6. Security Analysis
7. Conclusions
Author Contributions
Funding
Data Availability Statement
Conflicts of Interest
References
- Bidgoly, A.J.; Bidgoly, H.J.; Arezoumand, Z. A survey on methods and challenges in EEG based authentication. Comput. Secur. 2020, 93, 101788. [Google Scholar] [CrossRef]
- Kotiuchyi, I.; Pernice, R.; Popov, A.; Faes, L.; Kharytonov, V. A framework to assess the information dynamics of source EEG activity and its application to epileptic brain networks. Brain Sci. 2020, 10, 657. [Google Scholar] [CrossRef]
- TajDini, M.; Sokolov, V.; Kuzminykh, I.; Ghita, B. Brainwave-based authentication using features fusion. Comput. Secur. 2023, 129, 103198. [Google Scholar] [CrossRef]
- Kaur, B.; Singh, D.; Roy, P.P. A Novel framework of EEG-based user identification by analyzing music-listening behavior. Multimedia Tools Appl. 2016, 76, 25581–25602. [Google Scholar] [CrossRef]
- Kumar, P.; Saini, R.; Kaur, B.; Roy, P.P.; Scheme, E. Fusion of neuro-signals and dynamic signatures for person authentication. Sensors 2019, 19, 4641. [Google Scholar] [CrossRef]
- Damaševičius, R.; Maskeliūnas, R.; Kazanavičius, E.; Woźniak, M. Combining Cryptography with EEG Biometrics. Comput. Intell. Neurosci. 2018, 2018, 1867548. [Google Scholar] [CrossRef]
- Abdel-Ghaffar, E.A.; Daoudi, M. Personal authentication and cryptographic key generation based on electroencephalographic signals. J. King Saud Univ. Comput. Inf. Sci. 2023, 35, 101541. [Google Scholar] [CrossRef]
- Hernández-Álvarez, L.; Barbierato, E.; Caputo, S.; Mucchi, L.; Encinas, L.H. EEG Authentication System Based on One- and Multi-Class Machine Learning Classifiers. Sensors 2022, 23, 186. [Google Scholar] [CrossRef]
- Sun, Y.; Lo, F.P.-W.; Lo, B. EEG-based user identification system using 1D-convolutional long short-term memory neural networks. Expert Syst. Appl. 2019, 125, 259–267. [Google Scholar] [CrossRef]
- Wang, M.; Hu, J.; Abbass, H.A. BrainPrint: EEG biometric identification based on analyzing brain connectivity graphs. Pattern Recognit. 2020, 105, 107381. [Google Scholar] [CrossRef]
- Huang, G.; Hu, Z.; Chen, W.; Zhang, S.; Liang, Z.; Li, L.; Zhang, L.; Zhang, Z. M3CV: A multi-subject, multi-session, and multi-task database for EEG-based biometrics challenge. NeuroImage 2022, 264, 119666. [Google Scholar] [CrossRef] [PubMed]
- Zhang, R.; Yan, B.; Tong, L.; Shu, J.; Song, X.; Zeng, Y. Identity Authentication Using Portable Electroencephalography Signals in Resting States. IEEE Access 2019, 7, 160671–160682. [Google Scholar] [CrossRef]
- Zhao, H.; Chen, Y.; Pei, W.; Chen, H.; Wang, Y. Towards online applications of EEG biometrics using visual evoked potentials. Expert Syst. Appl. 2021, 177, 114961. [Google Scholar] [CrossRef]
- Kong, W.; Wang, L.; Xu, S.; Babiloni, F.; Chen, H. EEG Fingerprints: Phase Synchronization of EEG Signals as Biomarker for Subject Identification. IEEE Access 2019, 7, 121165–121173. [Google Scholar] [CrossRef]
- Salama, G.M.; El-Gazar, S.; Omar, B.; Hassan, A.A. Multimodal cancelable biometric authentication system based on EEG signal for IoT applications. J. Opt. 2023, 1–15. [Google Scholar] [CrossRef]
- Harakannanavar, S.S.; Renukamurthy, P.C.; Raja, K.B. Comprehensive Study of Biometric Authentication Systems, Challenges and Future Trends. Int. J. Adv. Netw. Appl. 2019, 10, 3958–3968. [Google Scholar] [CrossRef]
- Zhang, B.; Chai, C.; Yin, Z.; Shi, Y. Design and implementation of an EEG-based learning-style recognition mechanism. Brain Sci. 2021, 11, 613. [Google Scholar] [CrossRef] [PubMed]
- Beyrouthy, T.; Mostafa, N.; Roshdy, A.; Karar, A.S.; Alkork, S. Review of EEG-Based Biometrics in 5G-IoT: Current Trends and Future Prospects. Appl. Sci. 2024, 14, 534. [Google Scholar] [CrossRef]
- Oikonomou, V.P. Human Recognition Using Deep Neural Networks and Spatial Patterns of SSVEP Signals. Sensors 2023, 23, 2425. [Google Scholar] [CrossRef]
- Poulos, M.; Rangoussi, M.; Chrissikopoulos, V.; Evangelou, A. Person Identification Based on Parametric Processing of the EEG. In Proceedings of the ICECS ’99, 6th IEEE International Conference on Electronics, Circuits and Systems (Cat. No. 99EX357), Paphos, Cyprus, 5–8 September 1999. [Google Scholar]
- Chuang, J.; Nguyen, H.; Wang, C.; Johnson, B. LNCS 7862—I Think, Therefore I Am: Usability and Security of Authentication Using Brainwaves. In Financial Cryptography and Data Security: FC 2013 Workshops, USEC and WAHC 2013, Okinawa, Japan, April 1, 2013, Revised Selected Papers 17; Springer: Berlin/Heidelberg, Germany, 2013. [Google Scholar]
- Curran, M.T.; Merrill, N.; Chuang, J.; Gandhi, S. One-step, three-factor authentication in a single earpiece. In Proceedings of the UbiComp/ISWC 2017—Adjunct Proceedings of the 2017 ACM International Joint Conference on Pervasive and Ubiquitous Computing and Proceedings of the 2017 ACM International Symposium on Wearable Computers, Maui, HI, USA, 11–15 September 2017; Association for Computing Machinery: New York, NY, USA, 2017; pp. 21–24. [Google Scholar] [CrossRef]
- Stergiadis, C.; Kostaridou, V.-D.; Veloudis, S.; Kazis, D.; Klados, M.A. A Personalized User Authentication System Based on EEG Signals. Sensors 2022, 22, 6929. [Google Scholar] [CrossRef]
- Wu, Q.; Zeng, Y.; Zhang, C.; Tong, L.; Yan, B. An EEG-based person authentication system with open-set capability combining eye blinking signals. Sensors 2018, 18, 335. [Google Scholar] [CrossRef] [PubMed]
- Sooriyaarachchi, J.; Seneviratne, S.; Thilakarathna, K.; Zomaya, A.Y. MusicID: A Brainwave-Based User Authentication System for Internet of Things. arXiv 2020, arXiv:2006.01751. [Google Scholar] [CrossRef]
- Vidaurre, C.; Blankertz, B. Towards a Cure for BCI Illiteracy. Brain Topogr. 2009, 23, 194–198. [Google Scholar] [CrossRef] [PubMed]
- Das, B.B.; Ram, S.K.; Babu, K.S.; Mohapatra, R.K.; Mohanty, S.P. Person identification using autoencoder-CNN approach with multitask-based EEG biometric. Multimedia Tools Appl. 2024, 1–21. [Google Scholar] [CrossRef]
- Seyfizadeh, A.; Peach, R.L.; Tovote, P.; Isaias, I.U.; Volkmann, J.; Muthuraman, M. Enhancing security in brain computer interface applications with deep learning: Wavelet transformed electroencephalogram-based user identification. Expert Syst. Appl. 2024, 253, 124218. [Google Scholar] [CrossRef]
- Yap, H.Y.; Choo, Y.H.; Yusoh, Z.I.M.; Khoh, W.H. Person authentication based on eye-closed and visual stimulation using EEG signals. Brain Inform. 2021, 8, 21. [Google Scholar] [CrossRef] [PubMed]
- Sabeti, M.; Boostani, R.; Moradi, E. Event related potential (ERP) as a reliable biometric indicator: A comparative approach. Array 2020, 6, 100026. [Google Scholar] [CrossRef]
- Merrill, N.; Curran, M.T.; Gandhi, S.; Chuang, J. One-step, three-factor passthought authentication with custom-fit, in-ear EEG. Front. Neurosci. 2019, 13, 354. [Google Scholar] [CrossRef] [PubMed]
- Wen, D.; Jiao, W.; Li, X.; Wan, X.; Zhou, Y.; Dong, X.; Lan, X.; Han, W. The EEG signals encryption algorithm with K-sine-transform-based coupling chaotic system. Inf. Sci. 2023, 622, 962–984. [Google Scholar] [CrossRef]
- Tasci, G.; Loh, H.W.; Barua, P.D.; Baygin, M.; Tasci, B.; Dogan, S.; Tuncer, T.; Palmer, E.E.; Tan, R.-S.; Acharya, U.R. Automated accurate detection of depression using twin Pascal’s triangles lattice pattern with EEG Signals. Knowl.-Based Syst. 2023, 260, 110190. [Google Scholar] [CrossRef]
- Ben Salem, S.; Lachiri, Z. CNN-SVM approach for EEG-Based Person Identification using Emotional dataset. In Proceedings of the 2019 International Conference on Signal, Control and Communication, SCC 2019, Hammamet, Tunisia, 16–18 December 2019; Institute of Electrical and Electronics Engineers Inc.: Piscataway Township, NJ, USA, 2019; pp. 241–245. [Google Scholar] [CrossRef]
- Fidas, C.A.; Lyras, D. A Review of EEG-Based User Authentication: Trends and Future Research Directions. IEEE Access 2023, 11, 22917–22934. [Google Scholar] [CrossRef]
- Cheng, S.; Wang, J.; Sheng, D.; Chen, Y. Identification With Your Mind: A Hybrid BCI-Based Authentication Approach for Anti-Shoulder-Surfing Attacks Using EEG and Eye Movement Data. IEEE Trans. Instrum. Meas. 2023, 72, 2505814. [Google Scholar] [CrossRef]
- Zhang, S.; Sun, L.; Mao, X.; Hu, C.; Liu, P. Review on EEG-Based Authentication Technology. Comput. Intell. Neurosci. 2021, 2021, 5229576. [Google Scholar] [CrossRef]
- Di, Y.; An, X.; He, F.; Liu, S.; Ke, Y.; Ming, D. Robustness Analysis of Identification Using Resting-State EEG Signals. IEEE Access 2019, 7, 42113–42122. [Google Scholar] [CrossRef]
- Wan, X.; Zhang, K.; Ramkumar, S.; Deny, J.; Emayavaramban, G.; Ramkumar, M.S.; Hussein, A.F. A Review on Electroencephalogram Based Brain Computer Interface for Elderly Disabled. IEEE Access 2019, 7, 36380–36387. [Google Scholar] [CrossRef]
- Petcu, A.; Pahontu, B.; Frunzete, M.; Stoichescu, D.A. A Secure and Decentralized Authentication Mechanism Based on Web 3.0 and Ethereum Blockchain Technology. Appl. Sci. 2023, 13, 2231. [Google Scholar] [CrossRef]
- Alotaiby, T.; El-Samie, F.E.A.; Alshebeili, S.A.; Ahmad, I. A review of channel selection algorithms for EEG signal processing. EURASIP J. Adv. Signal Process. 2015, 2015, 66. [Google Scholar] [CrossRef]
- Jaiswal, A.K.; Banka, H. Local pattern transformation based feature extraction techniques for classification of epileptic EEG signals. Biomed. Signal Process. Control 2017, 34, 81–92. [Google Scholar] [CrossRef]
- Kuncan, F.; Kaya, Y.; Kuncan, M. A novel approach for activity recognition with down-sampling 1D local binary pattern features. Adv. Electr. Comput. Eng. 2018, 19, 35–44. [Google Scholar] [CrossRef]
- Zickerick, B.; Thönes, S.; Kobald, S.O.; Wascher, E.; Schneider, D.; Küper, K. Differential Effects of Interruptions and Distractions on Working Memory Processes in an ERP Study. Front. Hum. Neurosci. 2020, 14, 84. [Google Scholar] [CrossRef]
- Proverbio, A.M.; Pischedda, F. Measuring brain potentials of imagination linked to physiological needs and motivational states. Front. Hum. Neurosci. 2023, 17, 1146789. [Google Scholar] [CrossRef] [PubMed]
- Wati, V.; Kusrini, K.; Al Fatta, H.; Kapoor, N. Security of facial biometric authentication for attendance system. Multimed. Tools Appl. 2021, 80, 23625–23646. [Google Scholar] [CrossRef]
- Bisogni, C.; Castiglione, A.; Hossain, S.; Narducci, F.; Umer, S. Impact of Deep Learning Approaches on Facial Expression Recognition in Healthcare Industries. IEEE Trans. Ind. Inform. 2022, 18, 5619–5627. [Google Scholar] [CrossRef]
- Louis, W.; Komeili, M.; Hatzinakos, D. Continuous Authentication Using One-Dimensional Multi-Resolution Local Binary Patterns (1DMRLBP) in ECG Biometrics. IEEE Trans. Inf. Forensics Secur. 2016, 11, 2818–2832. [Google Scholar] [CrossRef]
- Golec, M.; Gill, S.S.; Bahsoon, R.; Rana, O. BioSec: A Biometric Authentication Framework for Secure and Private Communication among Edge Devices in IoT and Industry 4.0. IEEE Consum. Electron. Mag. 2022, 11, 51–56. [Google Scholar] [CrossRef]
- Srivastava, S.; Chandra, M.; Sahoo, G. Speaker identification and its application in automobile industry for automatic seat adjustment. Microsyst. Technol. 2018, 25, 2339–2347. [Google Scholar] [CrossRef]
- Kamiński, K.A.; Dobrowolski, A.P.; Piotrowski, Z.; Ścibiorek, P. Enhancing Web Application Security: Advanced Biometric Voice Verification for Two-Factor Authentication. Electronics 2023, 12, 3791. [Google Scholar] [CrossRef]
- Ma, Z.; Yang, Y.; Liu, X.; Liu, Y.; Ma, S.; Ren, K.; Yao, C. EmIr-Auth: Eye Movement and Iris-Based Portable Remote Authentication for Smart Grid. IEEE Trans. Ind. Inform. 2020, 16, 6597–6606. [Google Scholar] [CrossRef]
- Harezlak, K.; Blasiak, M.; Kasprowski, P. Biometric identification based on eye movement dynamic features. Sensors 2021, 21, 6020. [Google Scholar] [CrossRef]
- Zhang, Y.; Juhola, M. On Biometrics With Eye Movements. IEEE J. Biomed. Health Inform. 2016, 21, 1360–1366. [Google Scholar] [CrossRef]
- Kaczmarek, T.; Ozturk, E.; Tsudik, G. Assentication: User Deauthentication and Lunchtime Attack Mitigation with Seated Posture Biometric. arXiv 2017, arXiv:1708.03978. [Google Scholar]
- Mare, S.; Markham, A.M.; Cornelius, C.; Peterson, R.; Kotz, D. ZEBRA: Zero-effort bilateral recurring authentication. In Proceedings of the IEEE Symposium on Security and Privacy, Berkeley, CA, USA, 18–21 May 2014; Institute of Electrical and Electronics Engineers Inc.: Piscataway Township, NJ, USA, 2014; pp. 705–720. [Google Scholar] [CrossRef]
- Wells, A.; Usman, A.B. Privacy and biometrics for smart healthcare systems: Attacks, and techniques. Inf. Secur. J. A Glob. Perspect. 2023, 33, 307–331. [Google Scholar] [CrossRef]















| Category | Feature | Definition | |
|---|---|---|---|
| a. The extracted and analyzed features in time domain. | |||
| Time domain (t.d) | 1 | Average | The arithmetic mean of EEG samples |
| 2 | Median | The middle value when the samples are arranged in ascending order | |
| 3 | Standard Deviation | The dispersion relative to the mean | |
| 4 | Variance | A measure of dispersion around the mean | |
| 5 | Skewness | A measure of asymmetry | |
| 6 | Kurtosis | A measure of a distribution’s tails | |
| 7 | Number of waves | ||
| 8 | Zero-crossing rate | The number of times that signal crosses the horizontal axis | |
| 9 | Minimum | The minimum value of EEG signal | |
| 10 | Maximum | The maximum value of EEG signal | |
| 11 | Minimum arguments | Inidices of the minimum values | |
| 12 | Maximum arguments | Inidices of the maximum values | |
| 13 | Activity | A measure of the squared standard deviation of the amplitude of the signal | |
| 14 | Peak-to-peak amplitude | The difference between the highest and the lowest values in a waveform | |
| 15 | Mean square | The arithmetic mean of squared amplitude values | |
| 16 | Mobility | The square root of the activity of the first derivative of the signal divided by the activity of the signal | |
| 17 | Complexity | The ratio between the mobility of the first derivative and the mobility of the signal | |
| 18 | Energy | The sum of squared amplitude values | |
| b. The extracted and analyzed features in frequency domain. | |||
| Frequency domain (f.d) | 19 | Average | |
| 20 | Median | ||
| 21 | Standard Deviation | The dispersion relative to the mean | |
| 22 | Variance | A measure of dispersion around the mean | |
| 23 | Skewness | A measure of asymmetry | |
| 24 | Kurtosis | A measure of a distribution’s tails | |
| 25 | δ | Relative power of δ-band (0.5–4 Hz) | |
| 26 | θ | Relative power of θ-band (4–8 Hz) | |
| 27 | α | Relative power of α-band (8–12 Hz) | |
| 28 | β | Relative power of β -band (12–30 Hz) | |
| 29 | γ | Relative power of β-band (>30 Hz) | |
| 30 | σ | Relative power of σ-band (12–14Hz) | |
| 31 | β/α | The ratios between relative power bands | |
| 32 | θ/α | ||
| 33 | θ/β | ||
| 34 | γ/δ | ||
| 35 | (θ + α)/β | ||
| 36 | (θ + α)/(α + β) | ||
| 37 | (γ + β)/(γ + α) | ||
| Entropies | 38 | Shannon Entropy | A measure of randomness in the EEG signal |
| Nonlinear | 39 | Lyapunov Exponent | A measure to determine chaotic behavior |
| Subject | The Number of Selected Channels | Selected Channels |
|---|---|---|
| 1 | 4 | FZ, POZ, FC4, FC3 |
| 2 | 2 | FCZ, CZ |
| 3 | 2 | POO4, OZ |
| 4 | 6 | CPPZ, FZ, P4, POZ, C4, FCZ |
| 5 | 1 | CPPZ |
| 6 | 4 | P4, POZ, CPPZ, FZ |
| 7 | 2 | P4, POZ |
| 8 | 5 | P4, POZ, CPPZ, CZ, FZ |
| 9 | 4 | POO4, POZ, CPPZ, FCZ |
| 10 | 2 | CP3, CP4 |
| 11 | 8 | FP2, FZ, FCZ, POZ, CZ, P3, F4, FPZ |
| 12 | 4 | POZ, POO4, CPPZ, P4 |
| 13 | 6 | POZ, P4, POO4, CPPZ, OZ, CZ |
| 14 | 4 | POZ, FZ, POO4, CPPZ |
| 15 | 4 | POZ, FZ, CPPZ, CZ |
| 16 | 6 | POZ, FZ, C4, FCZ, C3, POO4 |
| 17 | 5 | POO4, P4, FCZ, OI2, POZ |
| 18 | 3 | FZ, POZ, C4 |
| 19 | 3 | POZ, C3, POO4 |
| 20 | 4 | FZ, POZ, POO3, POO4 |
| 21 | 4 | FZ, POZ, FCZ, POO4 |
| 22 | 2 | OZ, POO3 |
| 23 | 3 | OZ, POZ, POO3 |
| 24 | 3 | POZ, C4, OI1 |
| 25 | 3 | TP7, FP2, F7 |
| Subject | Features | The Applied Regression Model | R2 |
|---|---|---|---|
| 1 | Complexity—Lyapunov Exponent | Polynomial (degree 7) | 0.97 |
| 2 | Relative power of β-band–Variance (f.d) | Linear | 0.98 |
| 3 | (θ + α)/β − (θ + α)/β (relative power ratios) | Linear | 0.98 |
| 4 | Relative power of δ–band–Variance (f.d) | Polynomial (degree 4) | 0.98 |
| 5 | Mobility—Lyapunov Exponent | Linear | 0.97 |
| 6 | Relative power of σ-band–Relative power of β-band | Linear | 0.96 |
| 7 | Relative power of α-band–Standard deviation (f.d) | Polynomial (degree 2) | 0.99 |
| 8 | Relative power of β-band–Minimum | Linear | 0.95 |
| 9 | Mean (f.d)–Square mean | Polynomial (degree 2) | 0.98 |
| 10 | Minimum–Maximum | Polynomial (degree 2) | 0.97 |
| 11 | Relative power of γ-band–Variance (t.d) | Linear | 0.93 |
| 12 | θ/β − (θ + α)/β (relative power ratios) | Linear | 0.97 |
| 13 | Relative power of θ-band–Standard deviation (f.d) | Polynomial (degree 5) | 0.98 |
| 14 | Mean (f.d)–Peak-to-peak distance | Polynomial (degree 2) | 0.98 |
| 15 | Relative power of σ-band–Relative power of γ-band | Polynomial (degree 2) | 0.98 |
| 16 | Mean (f.d)–Energy | Polynomial (degree 2) | 0.93 |
| 17 | Square mean–Maximum value | Linear | 0.91 |
| 18 | Standard deviation (f.d)–Maximum value | Linear | 0.97 |
| 19 | Zero crossing rate–Mobility | Polynomial (degree 2) | 0.98 |
| 20 | Linear | 0.92 | |
| 21 | Relative power of σ-band–Standard deviation (f.d) | Linear | 0.97 |
| 22 | Relative power of θ-band–Standard deviation (f.d) | Linear | 0.97 |
| 23 | Relative power of α-band–Variance (f.d) | Linear | 0.96 |
| 24 | Relative power of β-band–Standard deviation (t.d) | Linear | 0.94 |
| 25 | Relative power of θ-band–Relative power of σ-band | Linear | 0.99 |
| Biometrics | Universality | Uniqueness | Collectability | Permanence | Paper | Sample Size | Performance |
|---|---|---|---|---|---|---|---|
| Face | ■ | ○ | ▲ | ○ | [46] | 40 | Accuracy: Group: 88%, Individual: 75% |
| [47] | 48 | Accuracy: 98% | |||||
| ECG | ■ | ○ | ■ | ▲ | [48] | 1020 | False positive rate: 0.39% False negative rate: 1.57% |
| Fingerprint | ■ | ■ | ■ | ■ | [49] | 10 | Accuracy: 70% |
| Voice | ▲ | ○ | ▲ | ○ | [50] | 10 | Accuracy: 94% |
| [51] | 330 | Accuracy: 93% | |||||
| Iris eye movement | [52] | 8 | Accuracy: 89% | ||||
| ■ | ■ | ▲ | ▲ | [53] | 24 | Accuracy: 79% | |
| [54] | 109 | Accuracy: 85% | |||||
| Posture pattern | ▲ | ○ | ▲ | ○ | [55] | 30 | True positive rate:91% False positive rate: 033% False negative rate: 8.68% |
| Wrist movement | ■ | ○ | ○ | ▲ | [56] | 20 | Accuracy: 85% |
| Our work | ▲ | ■ | ▲ | n/a | 25 | Accuracy: 93.5% |
| Work | Method | Accuracy (%) | FAR | FRR |
|---|---|---|---|---|
| Proposed method | 93.50 | 0.025 | 0.021 | |
| [23] | Classification procedure: the algorithm “WEKA” | 95.60 | 0.023 | 0.023 |
| [24] | Classification procedure: CNN | 92.40 | 0.067 | 0.021 |
| [8] | Classification procedure: SVM | 98.00 | ||
| [6] | Cryptographic algorithms | 89.50 | 0.026 | |
| [7] | Cryptographic algorithms | 96.23 | 0.003 | 0.0003 |
Disclaimer/Publisher’s Note: The statements, opinions and data contained in all publications are solely those of the individual author(s) and contributor(s) and not of MDPI and/or the editor(s). MDPI and/or the editor(s) disclaim responsibility for any injury to people or property resulting from any ideas, methods, instructions or products referred to in the content. |
© 2024 by the authors. Licensee MDPI, Basel, Switzerland. This article is an open access article distributed under the terms and conditions of the Creative Commons Attribution (CC BY) license (https://creativecommons.org/licenses/by/4.0/).
Share and Cite
Dragu, M.-A.; Nicolae, I.-E.; Frunzete, M.-C. Cryptographic Algorithm Designed by Extracting Brainwave Patterns. Mathematics 2024, 12, 1971. https://doi.org/10.3390/math12131971
Dragu M-A, Nicolae I-E, Frunzete M-C. Cryptographic Algorithm Designed by Extracting Brainwave Patterns. Mathematics. 2024; 12(13):1971. https://doi.org/10.3390/math12131971
Chicago/Turabian StyleDragu, Marius-Alin, Irina-Emilia Nicolae, and Mădălin-Corneliu Frunzete. 2024. "Cryptographic Algorithm Designed by Extracting Brainwave Patterns" Mathematics 12, no. 13: 1971. https://doi.org/10.3390/math12131971
APA StyleDragu, M.-A., Nicolae, I.-E., & Frunzete, M.-C. (2024). Cryptographic Algorithm Designed by Extracting Brainwave Patterns. Mathematics, 12(13), 1971. https://doi.org/10.3390/math12131971

