Electro-Thermo-Convection of a Dielectric Liquid in the External DC and AC Electric Fields
Abstract
1. Introduction
2. Governing Equations
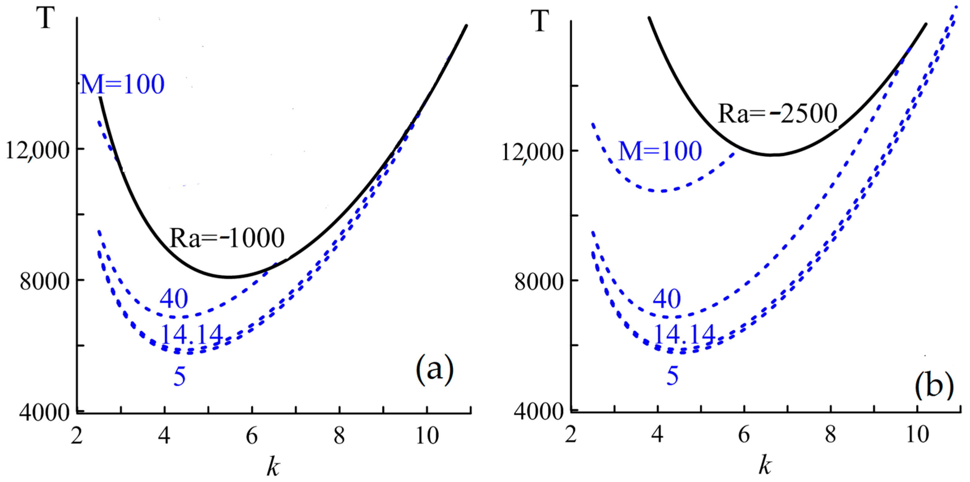
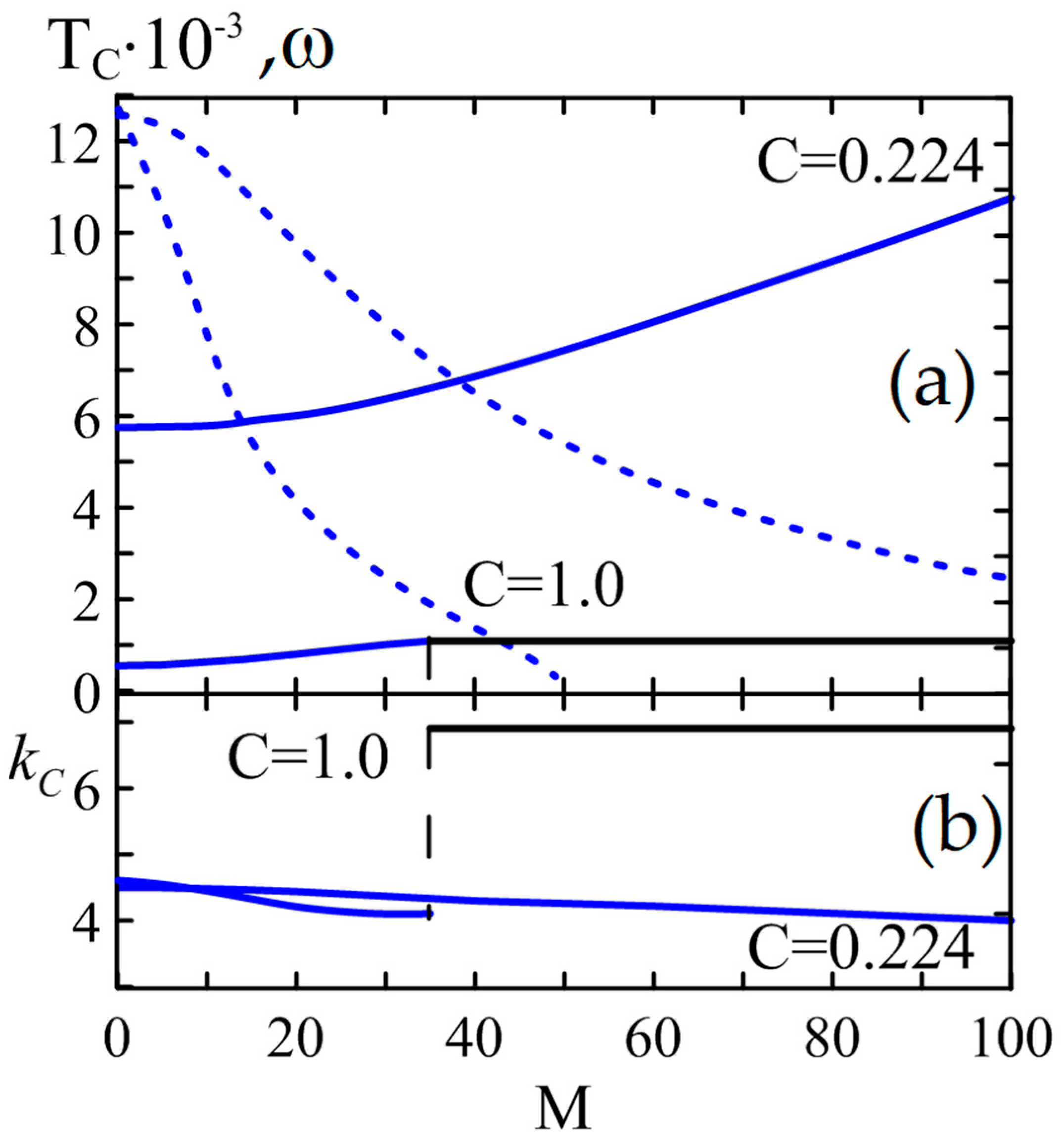
3. Linear Stability Analysis
4. Nonlinear Electro-Thermo-Convection: Method of Solution and Characteristics of Wave Regimes
5. Nonlinear Electro-Thermo-Convection: Results and Discussion
5.1. DC Electric Field
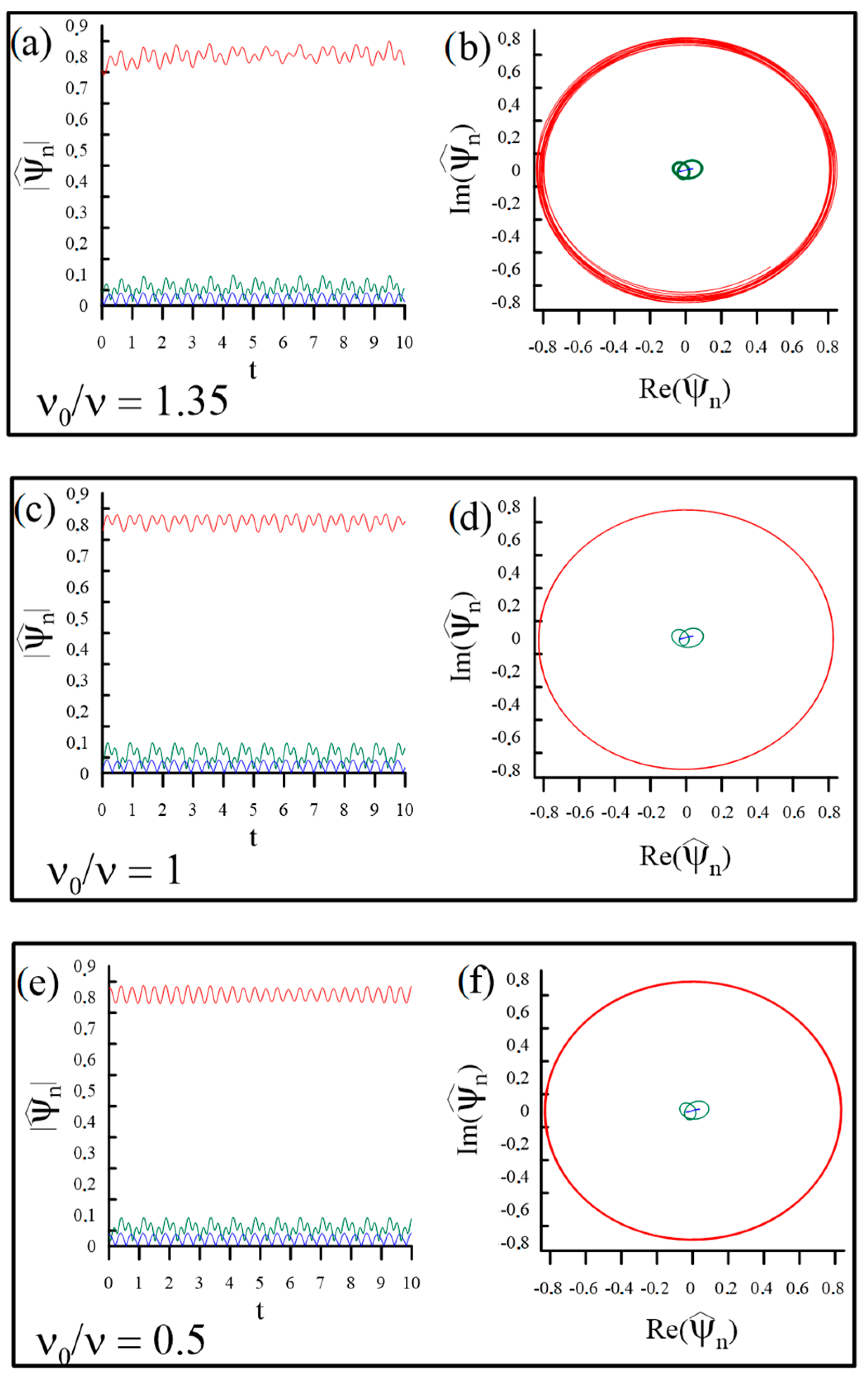
5.2. AC Electric Field
6. Conclusions
Author Contributions
Funding
Data Availability Statement
Conflicts of Interest
References
- Melcher, J.R. Continuum Electromechanics, 1st ed.; MIT Press: Boston, MA, USA, 1981. [Google Scholar]
- Gross, M.J.; Porter, J.E. Electrically induced convection in dielectric liquids. Nature 1966, 212, 1343–1345. [Google Scholar] [CrossRef]
- Lacroix, J.C.; Atten, P.; Hopfinger, E.J. Electroconvection in a dielectric liquid layer subjected to unipolar injection. J. Fluid Mech. 1975, 69, 539–563. [Google Scholar] [CrossRef]
- Ostroumov, G.A. Interaction of Electric and Electrohydrodynamic Fields; Nauka: Moscow, Russia, 1979. (In Russian) [Google Scholar]
- Castellanos, A.; Velarde, M.G. Electrohydrodynamic stability in the presence of a thermal gradient. Phys. Fluids 1981, 24, 1784–1786. [Google Scholar] [CrossRef]
- Mutabazi, I.; Yoshikawa, H.N.; Fogaing, M.T.; Travnikov, V.; Crumeyrolle, O.; Futterer, B.; Egbers, C. Thermo-electro-hydrodynamic convection under microgravity: A review. Fluid Dyn. Res. 2016, 48, 061413. [Google Scholar] [CrossRef]
- Pontiga, F.; Castellanos, A. Physical mechanisms of instability in a liquid layer subjected to an electric field and a thermal gradient. Phys. Fluids 1994, 6, 1684–1701. [Google Scholar] [CrossRef]
- Denat, A.; Gosse, B.; Gosse, J.P. Ion injections in hydrocarbons. J. Electrost. 1979, 7, 205–225. [Google Scholar] [CrossRef]
- Tobazeon, R. Electrohydrodynamic instabilities and electroconvection in the transient and A.C. regime of unipolar injection in insulating liquids: A review. J. Electrost. 1984, 15, 359–384. [Google Scholar] [CrossRef]
- Vereshchaga, A.N.; Tarunin, E.L. Supercritical modes of unipolar convection in a closed cavity. In Numerical and Experimental Simulation of Hydrodynamic Phenomena under Weightlessness; Briskman, V.A., Ed.; Ural Branch of the Academy of Sciences of the Soviet Union: Ekaterinburg, Russia, 1988; pp. 92–99. (In Russian) [Google Scholar]
- Mordvinov, A.N.; Smorodin, B.L. Electroconvection under injection from cathode and heating from above. J. Exp. Theor. Phys. 2012, 114, 870–877. [Google Scholar] [CrossRef]
- Smorodin, B.L. Wave regimes of electroconvection under cathode injection and heating from above. J. Exp. Theor. Phys. 2022, 134, 112–122. [Google Scholar] [CrossRef]
- Malrison, B.; Atten, P. Chaotic behaviour of instability due to unipolar injection in a dielectric liquid. Phys. Rev. Lett. 1982, 49, 723–726. [Google Scholar] [CrossRef]
- Polyanskiǐ, V.A.; Pankrat’eva, I.L. Generation of strong electric fields by fluid flows in narrow channels. Dokl. Phys. 2005, 50, 397–400. [Google Scholar] [CrossRef]
- Polyansky, V.A.; Pankrat’eva, I.L. Electric current oscillations in low-conducting liquids. J. Electrost. 1999, 48, 27–41. [Google Scholar] [CrossRef]
- Zhang, Y.; Chen, D.; Liu, A.; Luo, K.; Wu, J.; Yi, H.-L.; Yi, H.-L. Full bifurcation scenarios and pattern formation of laminar electroconvection in a cavity. Phys. Fluids 2022, 34, 103612. [Google Scholar] [CrossRef]
- Traore, P.; Perez, A.T.; Koulova, D.; Romat, H.J. Numerical modelling of finite-amplitude electro-thermo-convection in a dielectric liquid layer subjected to both unipolar injection and temperature gradient. J. Fluid Mech. 2010, 658, 279–293. [Google Scholar] [CrossRef]
- Smorodin, B.L.; Taraut, A.V. Parametric convection of a low-conducting liquid in an alternating electric field. Fluid Dyn. 2010, 45, 1–9. [Google Scholar] [CrossRef]
- Su, Z.-G.; Li, T.-F.; Su, W.-T.; Yi, H.-L. Numerical simulation of electrothermal convection in dielectric liquids enclosed within rectangular cavities. Fluid Dyn. 2021, 56, 922–935. [Google Scholar] [CrossRef]
- Li, T.F.; Luo, K.; Yi, H.L. Suppression of Rayleigh-Bénard secondary instability in dielectric fluids by unipolar charge injection. Phys. Fluids 2019, 31, 064106. [Google Scholar] [CrossRef]
- Selvakumar, R.D.; Wu, J.; Huang, J.; Traoré, P. Electro-thermo-convection in a differentially heated square cavity under arbitrary unipolar injection of ions. Int. J. Heat Fluid Flow 2021, 89, 108787. [Google Scholar] [CrossRef]
- Il’in, V.A.; Aleksandrova, V.N. Wave Regimes of Electroconvection of a Low Conducting Liquid under Unipolar Injection of a Charge in a Steady Electric Field. J. Exp. Theor. Phys. 2020, 130, 293. [Google Scholar] [CrossRef]
- Nekrasov, O.O.; Smorodin, B.L. Effect of charge modulation on the electroconvective flow of a low conducting liquid. Math. Model. Nat. Phenom. 2021, 16, 35. [Google Scholar] [CrossRef]
- Kapitza, P.L. Dynamic stability of a pendulum with an oscillating point of suspension. J. Exp. Theor. Phys. 1951, 21, 588–597. [Google Scholar]
- Gershuni, G.Z.; Zhukhovitsky, E.M. Convective Stability of Incompressible Fluids; Keter: Jerusalem, Israel, 1976. [Google Scholar]
- Nepomnyashchy, A.; Symanovskii, I. Generation of nonlinear Marangoni waves in a two-layer film by heating modulation. J. Fluid Mech. 2015, 771, 159–192. [Google Scholar] [CrossRef]
- Smorodin, B.L.; Lücke, M. Convection in binary fluid mixtures with modulated heating. Phys. Rev. E 2009, 79, 026315. [Google Scholar] [CrossRef] [PubMed]
- Smorodin, B.L.; Kartavykh, N.N. Periodic and chaotic oscillations in a low conducting liquid in an alternating electric field. Microgravity Sci. Technol. 2020, 32, 423–434. [Google Scholar] [CrossRef]
- Smorodin, B.L.; Taraut, A.V. Dynamics of electroconvective wave flows in a modulated electric field. J. Exp. Theor. Phys. 2014, 118, 158–165. [Google Scholar] [CrossRef]
- Zhou, C.-T.; Yao, Z.-Z.; Chen, D.-L.; Luo, K.; Wu, J.; Yi, H.-L. Numerical prediction of transient electrohydrodynamic instabilities under an alternating current electric field and unipolar injection. Heliyon 2023, 9, e12812. [Google Scholar] [CrossRef]
- Atten, P.; McCluskey, F.M.J.; Perez, A.T. Electroconvection and its effect on heat transfer. IEEE Trans. Electr. Insul. 1988, 23, 659–667. [Google Scholar] [CrossRef]
- McCluskey, F.M.J.; Atten, P.; Perez, A.T. Heat transfer enhancement by electroconvection resulting from an injected space charge between parallel plates. Int. J. Heat Mass Tran. 1991, 34, 2237–2250. [Google Scholar] [CrossRef]
- Ascher, U.M.; Mattheij, R.M.M.; Russell, R.D. Numerical Solution of Boundary Value Problems for Ordinary Differential Equations; Prentice Hall Series in Computational Mathematics; Prentice-Hall: Englewood Cliffs, NJ, USA, 1988. [Google Scholar]
- Castellanos, A.; Atten, P. Numerical modeling of finite amplitude convection of liquids subjected to unipolar injection. IEEE Trans. Ind. Appl. 1987, IA-23, 825–830. [Google Scholar] [CrossRef]
- Coddington, E.A.; Levinson, N. Theory of Ordinary Differential Equations; McGraw-Hill: New York, NY, USA, 1955. [Google Scholar]
- Rabinovich, M.I.; Trubetskov, D.I. Introduction to the Theory of Oscillations and Waves; Kluwer: Dordrecht, The Netherlands, 1989. [Google Scholar]










Disclaimer/Publisher’s Note: The statements, opinions and data contained in all publications are solely those of the individual author(s) and contributor(s) and not of MDPI and/or the editor(s). MDPI and/or the editor(s) disclaim responsibility for any injury to people or property resulting from any ideas, methods, instructions or products referred to in the content. |
© 2023 by the authors. Licensee MDPI, Basel, Switzerland. This article is an open access article distributed under the terms and conditions of the Creative Commons Attribution (CC BY) license (https://creativecommons.org/licenses/by/4.0/).
Share and Cite
Nekrasov, O.; Smorodin, B. Electro-Thermo-Convection of a Dielectric Liquid in the External DC and AC Electric Fields. Mathematics 2023, 11, 1188. https://doi.org/10.3390/math11051188
Nekrasov O, Smorodin B. Electro-Thermo-Convection of a Dielectric Liquid in the External DC and AC Electric Fields. Mathematics. 2023; 11(5):1188. https://doi.org/10.3390/math11051188
Chicago/Turabian StyleNekrasov, Oleg, and Boris Smorodin. 2023. "Electro-Thermo-Convection of a Dielectric Liquid in the External DC and AC Electric Fields" Mathematics 11, no. 5: 1188. https://doi.org/10.3390/math11051188
APA StyleNekrasov, O., & Smorodin, B. (2023). Electro-Thermo-Convection of a Dielectric Liquid in the External DC and AC Electric Fields. Mathematics, 11(5), 1188. https://doi.org/10.3390/math11051188

