HVAC Load Forecasting Based on the CEEMDAN-Conv1D-BiLSTM-AM Model
Abstract
:1. Introduction
2. Data Processing
2.1. Dataset Source and Fourier Spectrum Analysis
2.2. Correlation Analysis
2.2.1. Exogenous Variable Correlation Analysis
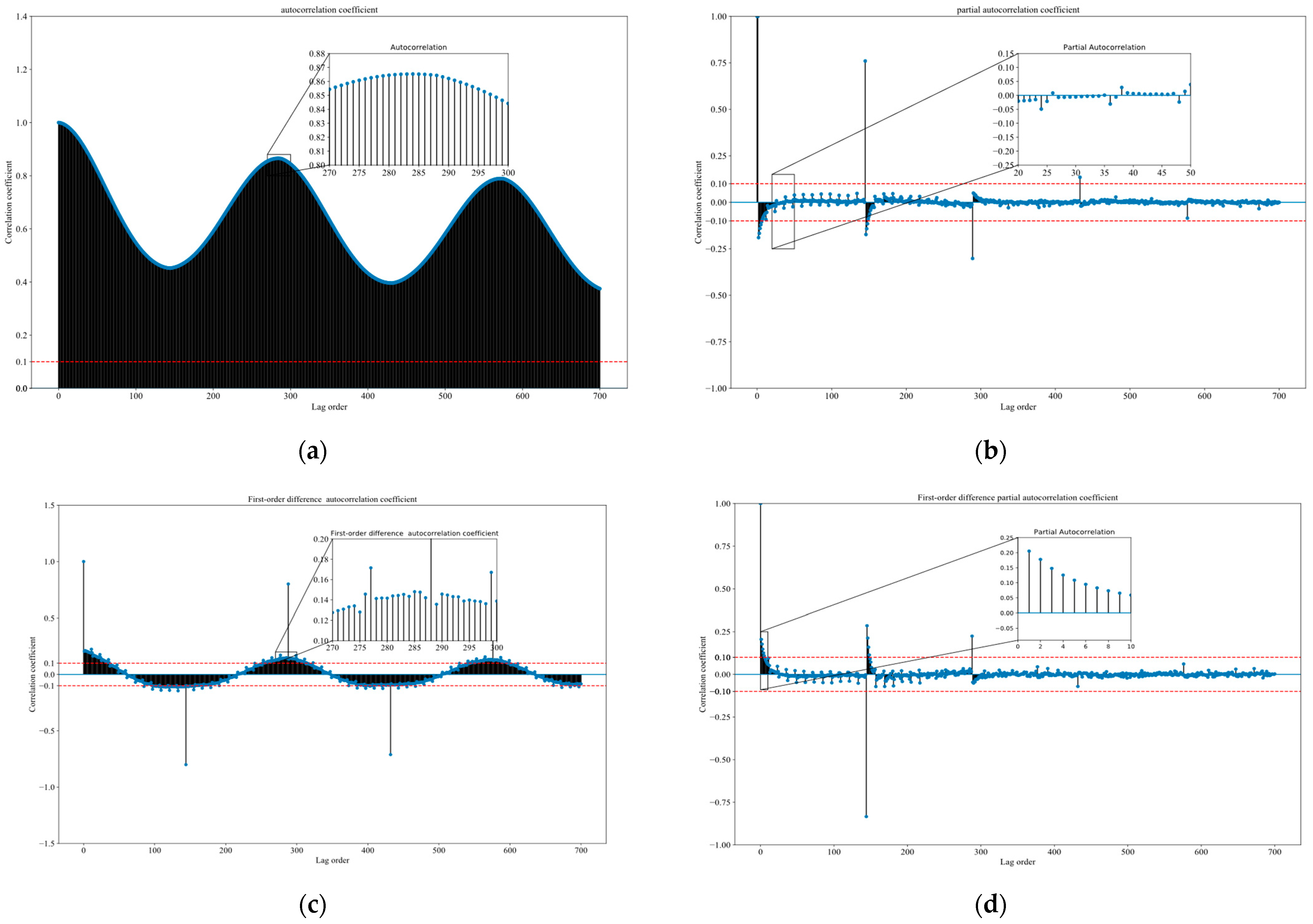
2.2.2. Autocorrelation Analysis
2.3. CEEMDAN Decomposition
2.4. Selecting Control Strategies and Partitioning Datasets
3. Network Model Creation
3.1. Model Architecture
3.2. Conv1D-BiLSTM-AM Neural Network
3.3. Functions of Each Model
3.4. Network Prediction Process
- Step 1. Data preprocessing work. This step includes normalization of original data, feature screening, and CEEMDAN decomposition.
- Step 2. Construction of input and output samples. This step includes dividing the preprocessed data into training sets, validation sets, and test sets, and converting the data into a supervised learning form.
- Step 3. Construction of network structure. This article uses a prediction model based on Conv1D, a bidirectional recurrent neural network, and attention mechanism.
- Step 4. After setting up the network model, we train it and finalize the parameter optimization by testing the model’s effectiveness.
- Step 5. Model evaluation. Once the model training has been completed, we utilize the test set data to generate predictions and convert the model output data back to its original format. We employ evaluation metrics to assess the accuracy of predictions.

4. Discussion
4.1. Experimental Platform and Test Indicators
4.2. Diebold–Mariano Test and Network Complexity Analysis
4.3. Model Simulation
4.3.1. Heating Load Forecast Results
4.3.2. Cold Load Forecast Results
4.3.3. The Impact of Exogenous Variables on Simulation Results
5. Conclusions
Author Contributions
Funding
Data Availability Statement
Conflicts of Interest
References
- Zhu, H.C.; Yu, C.W.; Cao, S.J. Ventilation online monitoring and control system from the perspectives of technology application. Indoor Built Environ. 2020, 29, 587–602. [Google Scholar] [CrossRef]
- Building Energy Conservation Research Center of Tsinghua University. China Building Energy Conservation Annual Development Research Report 2021; China Architecture and Building Press: Beijing, China, 2021; pp. 46–47. [Google Scholar]
- Shi, H.; Xu, M.H.; Li, R. Deep learning for household load forecasting—A novel pooling deep RNN. IEEE Trans. SmartGrid 2018, 9, 5271–5280. [Google Scholar] [CrossRef]
- Ioan, S.; Marius, A. Experimental and numerical investigations of the energy efficiency of conventional air conditioning systems in cooling mode and comfort assurance in office buildings. Energy Build. 2014, 85, 45e58. [Google Scholar]
- Fan, C.; Xiao, F.; Zhao, Y. A short-term building cooling load prediction method using deep learning algorithms. Appl. Energy June 2017, 195, 222e33. [Google Scholar] [CrossRef]
- Zhuang, G.Y.; Wang, S.B. The Carbon Neutral Strategy Game of Major Economies in the Period of Global Climate Governance Change [J/OL]. Social Science Series: 1–7 [2023-0821]. Available online: http://kns.cnki.net/kcms/detail/21.1012.c.20230810.1210.028.html (accessed on 8 August 2023).
- Fan, C.; Yan, D.; Xiao, F.; Li, A.; An, J.; Kang, X. Advanced data analytics for enhancing building performances: From data-driven to big data-driven approaches. Build. Simul. 2021, 4, 3–24. [Google Scholar] [CrossRef]
- Pérez-Lombard, L.; Ortiz, J.; Pout, C. A review on buildings energy consumption information. Energy Build. 2008, 40, 394–398. [Google Scholar] [CrossRef]
- Eguía, P.; Granada, E.; Alonso, J.M.; Arce, E.; Saavedra, A. Weather datasets generated using kriging techniques to calibrate building thermal simulations with TRNSYS. J. Build. Eng. 2016, 7, 78–91. [Google Scholar] [CrossRef]
- Gao, Z.; Yu, J.; Zhao, A.; Hu, Q.; Yang, S. A hybrid method of cooling load forecasting for large commercial building based on extreme learning machine. Energy 2022, 238, 122073. [Google Scholar] [CrossRef]
- Rasp, S.; Dueben, P.D.; Scher, S.; Weyn, J.A.; Mouatadid, S.; Thuerey, N. WeatherBench: A benchmark data set for data-driven weather forecasting. J. Adv. Model. Earth Syst. 2020, 12, e2020MS002203. [Google Scholar] [CrossRef]
- Zhang, C.B.; Zhao, Y.; Fan, C.; Li, T.T.; Zhang, X.J.; Li, J.Y. A generic prediction interval estimation method for quantifying the uncertainties in ultra-short-term building cooling load prediction. Appl. Therm. Eng. 2020, 173, 115261. [Google Scholar] [CrossRef]
- Liu, L. Building Energy Consumption Simulation and Prediction under Data-Driven Model. Master’s Thesis, Southeast University, Nanjing, China, 2022. [Google Scholar] [CrossRef]
- Zhao, J.; Liu, X.J. A hybrid method of dynamic cooling and heating load forecasting for office buildings based on artificial intelligence and regression analysis. Energy Build. 2018, 174, 293e308. [Google Scholar] [CrossRef]
- Li, Q.; Meng, Q.L.; Cai, J.J. Yoshino H, Mochida A. Applying support vector machine to predict hourly cooling load in the building. Appl. Energy 2009, 86, 2249e56. [Google Scholar] [CrossRef]
- Li, Q.; Meng, Q.L.; Cai, J.J.; Yoshino, H.; Mochida, A. Predicting hourly cooling load in the building: A comparison of support vector machine and different artificial neural networks. Energy Convers. Manag. 2009, 50, 90e6. [Google Scholar] [CrossRef]
- Guo, Y.; Nazarian, E.; Koc, J.; Rajurkar, K. Hourly cooling load forecasting using time-indexed ARX models with two-stage weighted least squares regression. Energy Convers. Manag. 2014, 80, 46e53. [Google Scholar] [CrossRef]
- Li, Z.; Huang, G. Re-evaluation of building cooling load prediction models for use in humid subtropical area. Energy Build. 2013, 62, 442e9. [Google Scholar] [CrossRef]
- Sarwar, R.; Cho, H.; Cox, S.J.; Mago, P.J.; Luck, R. Field validation study of a time and temperature indexed autoregressive with exogenous (ARX) model for building thermal load prediction. Energy 2017, 119, 483e96. [Google Scholar] [CrossRef]
- Guo, Q.; Tian, Z.; Ding, Y.; Zhu, N. An improved office building cooling load prediction model based on multivariable linear regression. Energy Build. 2015, 107, 445e55. [Google Scholar]
- Huang, S.; Zuo, W.D.; Sohn, M.D. A Bayesian network model for predicting cooling load of commercial buildings. Build. Simul. 2018, 11, 87e101. [Google Scholar] [CrossRef]
- Rao, A.R.; Reimherr, M. Modern non-linear function-on-function regression. Stat. Comput. 2023, 33, 1–12. [Google Scholar] [CrossRef]
- Li, Q.; Meng, Q. Building Hourly Air Conditioning Load Forecasting Model Based on RBF Neural Network. J. South China Univ. Technol. (Nat. Sci. Ed.) 2008, 265, 25–30. [Google Scholar]
- Luo, Q.; Chen, Y.; Gong, C. Research on Short-Term Air Conditioning Cooling Load Forecasting Based on Bidirectional LSTM. In Proceedings of the 2022 4th International Conference on Intelligent Control, Measurement and Signal Processing (ICMSP), Hangzhou, China, 8–10 July 2022; pp. 507–511. [Google Scholar]
- Wang, F.; Cen, J.; Yu, Z. Research on a hybrid model for cooling load prediction based on wavelet threshold denoising and deep learning: A study in China. Energy Rep. 2022, 8, 10950–10962. [Google Scholar] [CrossRef]
- Yu, M.; Niu, D.; Zhao, J.; Li, M.; Sun, L.; Yu, X. Building cooling load forecasting of IES considering spatiotemporal coupling based on hybrid deep learning model. Appl. Energy 2023, 349, 121547. [Google Scholar] [CrossRef]
- Lin, R.; Lv, X.; Hu, H.; Ling, L.; Yu, Z.; Zhang, D. Dual-stage ensemble approach using online knowledge distillation for forecasting carbon emissions in the electric power industry. Data Sci. Manag. 2023. [Google Scholar] [CrossRef]
- Cai, P.; Zhang, C.; Chai, J. Forecasting hourly PM2. 5 concentrations based on decomposition-ensemble-reconstruction framework incorporating deep learning algorithms. Data Sci. Manag. 2023, 6, 46–54. [Google Scholar] [CrossRef]
- Yu, H.; Zhong, F.; Du, Y.; Xie, X.; Wang, Y.; Zhang, X.; Huang, S. Short-term cooling and heating loads forecasting of building district energy system based on data-driven models. Energy Build. 2023, 298, 113513. [Google Scholar] [CrossRef]
- Ben-Nakhi, A.E.; Mahmoud, M.A. Cooling load prediction for buildings using general regression neural networks. Energy Convers. Manag. 2004, 45, 2127–2141. [Google Scholar] [CrossRef]
- Yu, Q.; Huo, X.D.; He, J. Prediction of power outage accident trend in China based on Spearman correlation coefficient and system inertia. Proc. CSEE 2023, 43, 5372–5381. (In Chinese) [Google Scholar] [CrossRef]
- Gong, G.; Cai, H.; Yang, J. Ultra-short-term power load forecasting model based on MIC and MA-LSTNet. J. North China Electr. Power Univ. (Nat. Sci. Ed.) 2023, 1–13. Available online: http://kns.cnki.net/kcms/detail/13.1212.TM.20230208.1101.002.html (accessed on 2 August 2023).
- Zhu, Y.; Sun, D.; He, X. Short-term wind speed prediction based on the combination of EMD-GRNN and probability statistics. Comput. Sci. 2014, 41, 72–75. [Google Scholar]
- Said Gaci, A. New Ensemble Empirical Mode Decomposition (EEMD) Denoising Method for Seismic Signals. Energy Procedia 2016, 97, 84–91. [Google Scholar] [CrossRef]
- Yan, B.; Aasma, M. A novel deep learning framework: Prediction and analysis of financial time series using CEEMD and LSTM. Expert Syst. Appl. 2020, 159, 113609. [Google Scholar]
- Cao, J.; Li, Z.; Li, J. Financial time series forecasting model based on CEEMDAN and LSTM. Phys. A Stat. Mech. Its Appl. 2019, 519, 127–139. [Google Scholar] [CrossRef]
- Xiang, D.; Ge, S. Fault feature extraction method based on EMD sample entropy-LLTSA. Acta Aerodyn. 2014, 29, 1535–1542. [Google Scholar]
- Bancilhon, F.; Ramakrishnan, R. An amateur’s introduction to recursive query processing strategies. In Proceedings of the 1986 ACM SIGMOD International Conference on Management of Data, Washington, DC, USA, 28–30 May 1986; pp. 16–52. [Google Scholar]
- Sorjamaa, A.; Lendasse, A. Time series prediction using DirRec strategy. In Proceedings of the ESANN’2006 proceedings—European Symposium on Artificial Neural Networks, Bruges, Belgium, 26–28 April 2006. [Google Scholar]
- Bontempi, G. Long Term Time Series Prediction with Multi-Input Multi-Output Local Learning. In Proceedings of the 2nd European Symposium on Time Series Prediction (TSP), Helsinki, Finland, 17–19 September 2008. [Google Scholar]
- Taieb, S.B.; Bontempi, G.; Atiya, A.F.; Sorjamaa, A. A review and comparison of strategies for multi-step ahead time series forecasting based on the NN5 forecasting competition. Expert Syst. Appl. 2012, 39, 7067–7083. [Google Scholar] [CrossRef]
- Wang, J.; Song, Y.; Liu, F.; Hou, R. Analysis and application of forecasting models in wind power integration: A review of multi-step-ahead wind speed forecasting models. Renew. Sustain. Energy Rev. 2016, 60, 960–981. [Google Scholar] [CrossRef]
- LeCun, Y.; Bottou, L.; Bengio, Y. Gradient-based learning applied to document recognition. Proc. IEEE 1998, 86, 2278–2324. [Google Scholar] [CrossRef]
- Luo, L.; Yang, Z.; Yang, P.; Zhang, Y.; Wang, L.; Lin, H.; Wang, J. An attention-based BiLSTM-CRF approach to document-level chemical named entity recognition. Bioinformatics 2018, 34, 1381–1388. [Google Scholar] [CrossRef]
- Yu, Y.; Si, X.; Hu, C.; Zhang, J. A review of recurrent neural networks: LSTM cells and network architectures. Neural Comput. 2019, 31, 1235–1270. [Google Scholar] [CrossRef]
- Delrio, F.; Randazzo, V.; Cirrincione, G.; Pasero, E. Non-Invasive Arterial Blood Pressure Estimation from Electrocardiogram and Photoplethysmography Signals Using a Conv1D-BiLSTM Neural Network. Eng. Proc. 2023, 39, 78. [Google Scholar]
- Nagi, J.; Ducatelle, F.; Di Caro, G.A.; Cireşan, D.; Meier, U.; Giusti, A.; Nagi, F.; Schmidhuber, J.; Gambardella, L.M. Max-pooling convolutional neural networks for vision-based hand gesture recognition. In Proceedings of the 2011 IEEE International Conference on Signal and Image Processing Applications (ICSIPA), Kuala Lumpur, India, 16–18 November 2011; pp. 342–347. [Google Scholar]
- Yin, W.; Kann, K.; Yu, M.; Schütze, H. Comparative study of CNN and RNN for natural language processing. arXiv 2017, arXiv:1702.01923. [Google Scholar]
- Liu, G.; Guo, J. Bidirectional LSTM with attention mechanism and convolutional layer for text classification. Neurocomputing 2019, 337, 325–338. [Google Scholar] [CrossRef]
- Diebold, F.X. Comparing predictive accuracy, twenty years later: A personal perspective on the use and abuse of Diebold–Mariano tests. J. Bus. Econ. Stat. 2015, 33, 1. [Google Scholar] [CrossRef]
- Diebold, F.X.; Mariano, R.S. Comparing predictive accuracy. J. Bus. Econ. Stat. 2002, 20, 134–144. [Google Scholar] [CrossRef]
- Bianchi, F.M.; Scardapane, S.; Uncini, A.; Rizzi, A.; Sadeghian, A. Prediction of telephone calls load using echo state network with exogenous variables. Neural Netw. 2015, 71, 204–213. [Google Scholar] [CrossRef]















| D-T | S-T | S-Z | G-T | S-A | Imf1 | Imf2 | Imf3 | Ref | Load |
|---|---|---|---|---|---|---|---|---|---|
| 3.633333 | −8.19559 | 90 | 9.642298 | −90 | −259.32 | 4746.297 | −3658.65 | 20,980.53 | 21,808.86 |
| 3.7 | −7.51537 | 90 | 9.642025 | −90 | −309.665 | 4711.959 | −3663.33 | 20,980.58 | 21,719.55 |
| 3.766667 | −6.84367 | 90 | 9.641751 | −90 | −356.966 | 4674.557 | −3667.98 | 20,980.64 | 21,630.25 |
| 3.833333 | −6.18034 | 90 | 9.641478 | −90 | −401.448 | 4634.303 | −3672.59 | 20,980.69 | 21,540.96 |
| … | … | … | … | … | … | … | … | … | … |
| 7.525 | −10.6815 | 90 | 11.7427 | −89.326 | −362.3 | 6920.52 | −2509.58 | 12,405.46 | 16,454.08 |
| D-T | S-T | S-Z | G-T | S-A | Imf1 | Imf2 | Imf3 | Ref | Load |
|---|---|---|---|---|---|---|---|---|---|
| 27.95833 | 24.11169 | 15.20138 | 18.22106 | −20.9263 | −230.765 | −1162.96 | 16,539.76 | 18,838.1 | −3692.02 |
| 28.02917 | 24.18542 | 14.85611 | 18.2216 | −16.494 | 240.534 | −1104.27 | 16,540.82 | 18,838.9 | −3161.79 |
| 28.0875 | 24.23724 | 14.59222 | 18.22215 | −11.8881 | 28.73273 | −1046.52 | 16,540.45 | 18,839.7 | −3317.03 |
| … | … | … | … | … | … | … | … | … | … |
| 33.575 | 30.5028 | 20.281 | 25.895 | 1.481 | 1681.939 | 922.7564 | −21,011.8 | −24,342.1 | −42,749.2 |
| Parameters | Value |
|---|---|
| Convolution layer filters | 64 |
| Convolution layer kernel size | 3 |
| Convolution layer activation function | ReLU |
| Pooling layer pool size | 4 |
| Number of hidden units in Bi-LSTM layer | 32 |
| Dropout rate | 0.1 |
| Model | DM | p |
|---|---|---|
| LSTM | −42.958 | 0 |
| GRU | −38.636 | 3.16 × 10−301 |
| SVR | −54.762 | 0 |
| BiLSTM | −13.38 | 1.83 × 10−40 |
| Cov1D-BiLSTM | −24.47 | 2.64 × 10−128 |
| Model | Infer Time (s) | Total Parameters (32 bit) | GFlops (109) |
|---|---|---|---|
| GRU | 1.41 | 5697 | 3.05 × 10−6 |
| LSTM | 1.43 | 6543 | 8.8 × 10−4 |
| BilSTM | 1.44 | 12,559 | 1.47 × 10−3 |
| Conv1D-BiLSTM | 1.77 | 30,031 | 1.83 × 10−3 |
| This Article | 1.86 s | 226,703 | 2.56 × 10−3 |
| Model | Index | 1 | 2 | 3 | 4 | 5 | 6 | 7 | 8 | 9 | 10 | 11 | 12 | 13 | 14 | 15 | Mean |
|---|---|---|---|---|---|---|---|---|---|---|---|---|---|---|---|---|---|
| SVR | MAPE | 0.043 | 0.049 | 0.052 | 0.056 | 0.065 | 0.080 | 0.081 | 0.082 | 0.083 | 0.086 | 0.090 | 0.097 | 0.100 | 0.104 | 0.107 | 0.078 |
| SMAPE | 0.045 | 0.053 | 0.056 | 0.061 | 0.070 | 0.087 | 0.088 | 0.089 | 0.090 | 0.094 | 0.098 | 0.105 | 0.107 | 0.112 | 0.115 | 0.085 | |
| R2 | 0.985 | 0.983 | 0.981 | 0.98 | 0.976 | 0.968 | 0.966 | 0.965 | 0.963 | 0.959 | 0.955 | 0.95 | 0.946 | 0.941 | 0.936 | 0.963 | |
| LSTM | MAPE | 0.058 | 0.054 | 0.051 | 0.049 | 0.047 | 0.047 | 0.048 | 0.050 | 0.053 | 0.057 | 0.061 | 0.066 | 0.071 | 0.076 | 0.081 | 0.058 |
| SMAPE | 0.059 | 0.056 | 0.053 | 0.050 | 0.049 | 0.049 | 0.050 | 0.052 | 0.055 | 0.059 | 0.063 | 0.067 | 0.072 | 0.077 | 0.082 | 0.059 | |
| R2 | 0.975 | 0.979 | 0.982 | 0.984 | 0.985 | 0.985 | 0.985 | 0.983 | 0.981 | 0.979 | 0.975 | 0.971 | 0.967 | 0.962 | 0.956 | 0.9766 | |
| BiLSTM | MAPE | 0.044 | 0.045 | 0.047 | 0.049 | 0.048 | 0.051 | 0.056 | 0.058 | 0.056 | 0.059 | 0.064 | 0.068 | 0.069 | 0.073 | 0.075 | 0.057 |
| SMAPE | 0.044 | 0.048 | 0.050 | 0.052 | 0.050 | 0.055 | 0.061 | 0.064 | 0.059 | 0.063 | 0.070 | 0.074 | 0.074 | 0.079 | 0.081 | 0.061 | |
| R2 | 0.983 | 0.984 | 0.984 | 0.982 | 0.982 | 0.981 | 0.979 | 0.977 | 0.975 | 0.973 | 0.97 | 0.966 | 0.964 | 0.961 | 0.959 | 0.974 | |
| MAPE | 0.058 | 0.055 | 0.053 | 0.052 | 0.052 | 0.053 | 0.056 | 0.059 | 0.063 | 0.067 | 0.072 | 0.077 | 0.082 | 0.087 | 0.093 | 0.065 | |
| GRU | SMAPE | 0.055 | 0.052 | 0.050 | 0.049 | 0.049 | 0.050 | 0.052 | 0.055 | 0.059 | 0.063 | 0.067 | 0.071 | 0.076 | 0.081 | 0.086 | 0.061 |
| R2 | 0.969 | 0.971 | 0.974 | 0.975 | 0.976 | 0.976 | 0.975 | 0.974 | 0.972 | 0.969 | 0.965 | 0.961 | 0.957 | 0.951 | 0.946 | 0.967 | |
| MAPE | 0.044 | 0.044 | 0.046 | 0.049 | 0.051 | 0.052 | 0.055 | 0.059 | 0.062 | 0.065 | 0.067 | 0.072 | 0.075 | 0.078 | 0.081 | 0.060 | |
| Conv1D- | SMAPE | 0.042 | 0.043 | 0.045 | 0.047 | 0.048 | 0.050 | 0.052 | 0.056 | 0.058 | 0.061 | 0.064 | 0.066 | 0.070 | 0.072 | 0.075 | 0.056 |
| BiLSTM | R2 | 0.982 | 0.981 | 0.981 | 0.98 | 0.98 | 0.978 | 0.977 | 0.974 | 0.972 | 0.97 | 0.966 | 0.965 | 0.961 | 0.959 | 0.955 | 0.972 |
| CEEMDAN-Conv1D- BiLSTM-AM | MAPE | 0.025 | 0.026 | 0.025 | 0.026 | 0.026 | 0.027 | 0.028 | 0.029 | 0.030 | 0.032 | 0.035 | 0.037 | 0.039 | 0.041 | 0.043 | 0.031 |
| SMAPE | 0.026 | 0.027 | 0.026 | 0.027 | 0.027 | 0.027 | 0.028 | 0.029 | 0.031 | 0.032 | 0.035 | 0.037 | 0.039 | 0.041 | 0.044 | 0.031 | |
| R2 | 0.994 | 0.994 | 0.994 | 0.994 | 0.994 | 0.994 | 0.994 | 0.993 | 0.992 | 0.991 | 0.989 | 0.988 | 0.987 | 0.985 | 0.983 | 0.991 |
| Model | Index | 1 | 2 | 3 | 4 | 5 | 6 | 7 | 8 | 9 | 10 | 11 | 12 | 13 | 14 | 15 | Mean |
|---|---|---|---|---|---|---|---|---|---|---|---|---|---|---|---|---|---|
| SVR | MAPE | 0.307 | 0.301 | 0.308 | 0.282 | 0.286 | 0.284 | 0.295 | 0.330 | 0.360 | 0.406 | 0.447 | 0.494 | 0.520 | 0.550 | 0.574 | 0.383 |
| SMAPE | 0.120 | 0.123 | 0.129 | 0.124 | 0.127 | 0.129 | 0.134 | 0.145 | 0.155 | 0.169 | 0.181 | 0.196 | 0.201 | 0.209 | 0.216 | 0.157 | |
| R2 | 0.983 | 0.985 | 0.975 | 0.974 | 0.970 | 0.966 | 0.960 | 0.952 | 0.945 | 0.935 | 0.926 | 0.916 | 0.907 | 0.898 | 0.889 | 0.945 | |
| CEEMDAN-Conv1D- BiLSTM-AM | MAPE | 0.120 | 0.121 | 0.154 | 0.177 | 0.198 | 0.177 | 0.205 | 0.195 | 0.170 | 0.191 | 0.238 | 0.265 | 0.309 | 0.320 | 0.293 | 0.209 |
| SMAPE | 0.113 | 0.122 | 0.128 | 0.132 | 0.139 | 0.140 | 0.147 | 0.155 | 0.150 | 0.154 | 0.156 | 0.160 | 0.165 | 0.172 | 0.175 | 0.147 | |
| R2 | 0.984 | 0.982 | 0.980 | 0.978 | 0.975 | 0.972 | 0.968 | 0.963 | 0.960 | 0.956 | 0.949 | 0.944 | 0.938 | 0.931 | 0.926 | 0.960 |
| Model | Index | 1 | 5 | 10 | 15 | Mean |
|---|---|---|---|---|---|---|
| Contains exogenous variables | MAPE | 0.120 | 0.198 | 0.191 | 0.293 | 0.2 |
| R2 | 0.984 | 0.975 | 0.956 | 0.926 | 0.960 | |
| Does not contain exogenous variables | MAPE | 0.176 | 0.258 | 0.331 | 0.545 | 0.328 |
| R2 | 0.995 | 0.979 | 0.946 | 0.909 | 0.957 |
Disclaimer/Publisher’s Note: The statements, opinions and data contained in all publications are solely those of the individual author(s) and contributor(s) and not of MDPI and/or the editor(s). MDPI and/or the editor(s) disclaim responsibility for any injury to people or property resulting from any ideas, methods, instructions or products referred to in the content. |
© 2023 by the authors. Licensee MDPI, Basel, Switzerland. This article is an open access article distributed under the terms and conditions of the Creative Commons Attribution (CC BY) license (https://creativecommons.org/licenses/by/4.0/).
Share and Cite
Xiao, Z.; Yu, L.; Zhang, H.; Zhang, X.; Su, Y. HVAC Load Forecasting Based on the CEEMDAN-Conv1D-BiLSTM-AM Model. Mathematics 2023, 11, 4630. https://doi.org/10.3390/math11224630
Xiao Z, Yu L, Zhang H, Zhang X, Su Y. HVAC Load Forecasting Based on the CEEMDAN-Conv1D-BiLSTM-AM Model. Mathematics. 2023; 11(22):4630. https://doi.org/10.3390/math11224630
Chicago/Turabian StyleXiao, Zhicheng, Lijuan Yu, Huajun Zhang, Xuetao Zhang, and Yixin Su. 2023. "HVAC Load Forecasting Based on the CEEMDAN-Conv1D-BiLSTM-AM Model" Mathematics 11, no. 22: 4630. https://doi.org/10.3390/math11224630
APA StyleXiao, Z., Yu, L., Zhang, H., Zhang, X., & Su, Y. (2023). HVAC Load Forecasting Based on the CEEMDAN-Conv1D-BiLSTM-AM Model. Mathematics, 11(22), 4630. https://doi.org/10.3390/math11224630

