An Adaptive Ant Colony Optimization for Solving Large-Scale Traveling Salesman Problem
Abstract
:1. Introduction
2. Related Work
3. Design of Algorithm Framework
3.1. Principles of the Experiments
3.2. Basic Ant Colony Algorithm
3.3. Improvements in State Transfer Rules
3.4. Local Optimization Strategy
3.5. Adaptive Pheromone Update Rules
3.6. The Algorithm Process of AACO-LST
| Algorithm 1: AACO-LST |
![]() |
4. Simulation Experiments and Results
4.1. Ablation Experiments
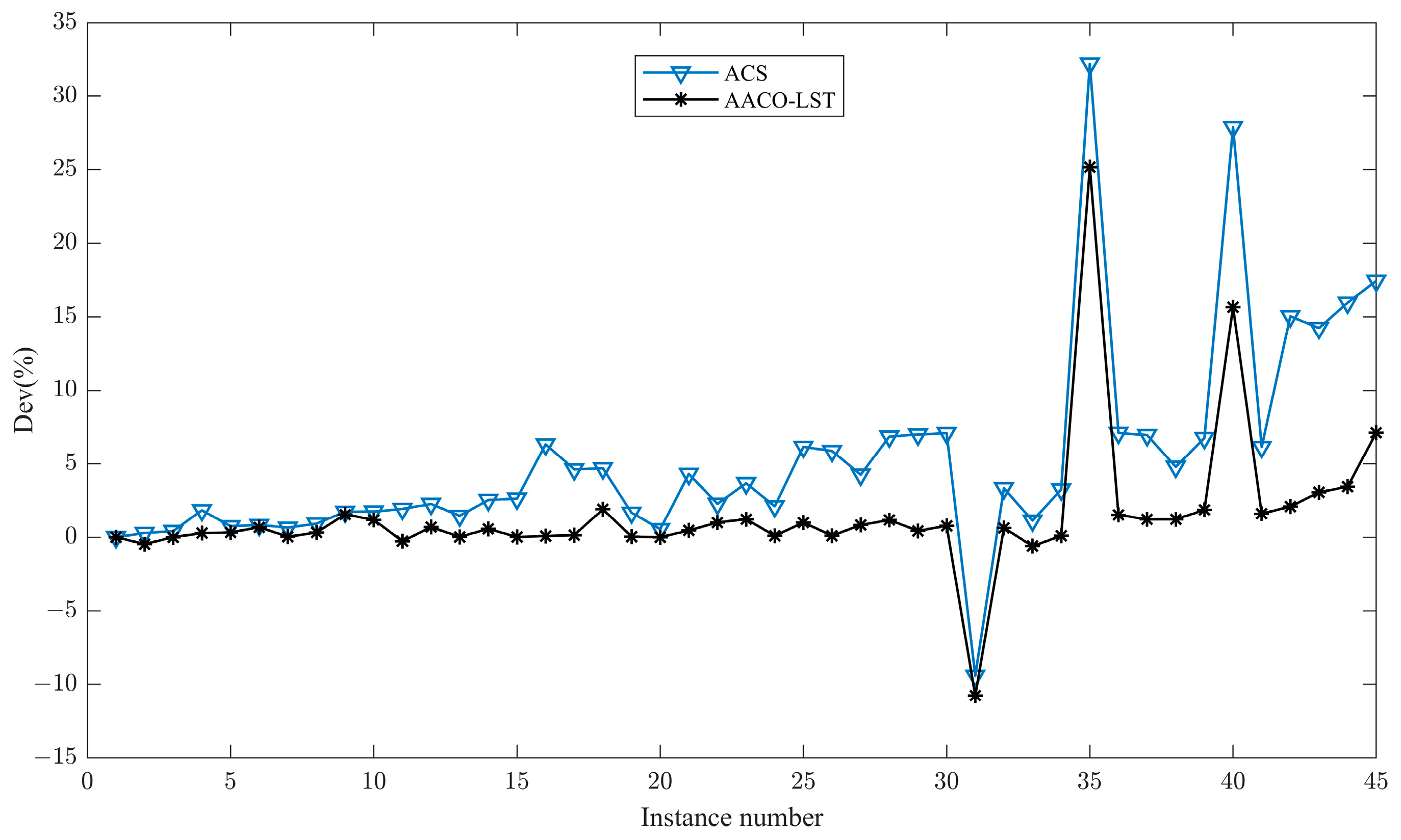
4.2. Comparison of Solution Quality
4.3. Statistical Comparison of Solution Quality
4.4. Convergence Speed Comparison
4.5. Population Diversity and Convergence Analysis of AACO-LST
5. Conclusions
Author Contributions
Funding
Data Availability Statement
Conflicts of Interest
References
- Tostado-Véliz, M.; Matos, M.A.; Lopes, J.A.P.; Jurado, F. An improved version of the continuous Newton’s method for efficiently solving the power-flow in ill-conditioned systems. Int. J. Electr. Power 2021, 124, 106389. [Google Scholar] [CrossRef]
- Yuan, W.; Hu, F.; Lu, L. A new non-adaptive optimization method: Stochastic gradient descent with momentum and difference. Appl. Intell. 2022, 52, 3939–3953. [Google Scholar] [CrossRef]
- Blum, C.; Roli, A. Metaheuristics in combinatorial optimization: Overview and conceptual comparison. ACM Comput. Surv. 2003, 35, 268–308. [Google Scholar] [CrossRef]
- Papadimitriou, C.H. On the complexity of integer programming. J. ACM 1981, 28, 765–768. [Google Scholar] [CrossRef]
- Rao, M.; Zionts, S. Allocation of transportation units to alternative trips—A column generation scheme with out-of-kilter subproblems. Oper. Res. 1968, 16, 52–63. [Google Scholar] [CrossRef]
- Lawler, E.L.; Wood, D.E. Branch-and-bound methods: A survey. Oper. Res. 1966, 14, 699–719. [Google Scholar] [CrossRef]
- Lera-Romero, G.; Miranda Bront, J.J.; Soulignac, F.J. Dynamic programming for the time-dependent traveling salesman problem with time windows. Informs. J. Comput. 2022, 34, 3292–3308. [Google Scholar] [CrossRef]
- Fisher, M.L. Optimal solution of vehicle routing problems using minimum k-trees. Oper. Res. 1994, 42, 626–642. [Google Scholar] [CrossRef]
- Yin, Y.-H.; Shen, L.-C.; Jiang, Y.-H.; Gao, S.; Song, J.; Yu, D.-J. Improving the prediction of DNA-protein binding by integrating multi-scale dense convolutional network with fault-tolerant coding. Anal. Biochem. 2022, 656, 114878. [Google Scholar] [CrossRef]
- Jiang, Y.-H.; Gao, S.; Yin, Y.-H.; Xu, Z.-F.; Wang, S.-Y. A control system of rail-guided vehicle assisted by transdifferentiation strategy of lower organisms. Eng. Appl. Artif. Intel. 2023, 123, 106353. [Google Scholar] [CrossRef]
- Katoch, S.; Chauhan, S.S.; Kumar, V. A review on genetic algorithm: Past, present, and future. Multimed. Tools. Appl. 2021, 80, 8091–8126. [Google Scholar] [CrossRef] [PubMed]
- George, T.; Amudha, T. Genetic algorithm based multi-objective optimization framework to solve traveling salesman problem. In Proceedings of the Advances in Computing and Intelligent Systems: Proceedings of ICACM 2019; Springer: Singapore, 2020; pp. 141–151. [Google Scholar] [CrossRef]
- Gao, P.; Zhou, L.; Zhao, X.; Shao, B. Research on ship collision avoidance path planning based on modified potential field ant colony algorithm. Ocean. Coast. Manag. 2023, 235, 106482. [Google Scholar] [CrossRef]
- Karimi, F.; Dowlatshahi, M.B.; Hashemi, A. SemiACO: A semi-supervised feature selection based on ant colony optimization. Expert. Syst. Appl. 2023, 214, 119130. [Google Scholar] [CrossRef]
- Liu, D.; Hu, X.; Jiang, Q. Design and optimization of logistics distribution route based on improved ant colony algorithm. Optik 2023, 273, 170405. [Google Scholar] [CrossRef]
- Ren, T.; Luo, T.; Jia, B.; Yang, B.; Wang, L.; Xing, L. Improved ant colony optimization for the vehicle routing problem with split pickup and split delivery. Swarm. Evol. Comput. 2023, 77, 101228. [Google Scholar] [CrossRef]
- Dorigo, M.; Gambardella, L.M. Ant colony system: A cooperative learning approach to the traveling salesman problem. IEEE Trans. Evol. Comput. 1997, 1, 53–66. [Google Scholar] [CrossRef]
- Minh, H.-L.; Khatir, S.; Rao, R.V.; Abdel Wahab, M.; Cuong-Le, T. A variable velocity strategy particle swarm optimization algorithm (VVS-PSO) for damage assessment in structures. Eng. Comput. 2023, 39, 1055–1084. [Google Scholar] [CrossRef]
- Sedighizadeh, D.; Masehian, E.; Sedighizadeh, M.; Akbaripour, H. GEPSO: A new generalized particle swarm optimization algorithm. Math. Comput. Simulat. 2021, 179, 194–212. [Google Scholar] [CrossRef]
- Wang, X.; Dong, F.; Liu, J.; Tan, Y.; Hu, S.; Zhao, H. The self-healing of Bacillus subtilis biofilms. Arch. Microbiol. 2021, 203, 5635–5645. [Google Scholar] [CrossRef]
- Wu, X.; Han, J.; Wang, D.; Gao, P.; Cui, Q.; Chen, L.; Liang, Y.; Huang, H.; Lee, H.P.; Miao, C.; et al. Incorporating Surprisingly Popular Algorithm and Euclidean distance-based adaptive topology into PSO. Swarm. Evol. Comput. 2023, 76, 101222. [Google Scholar] [CrossRef]
- Chai, Z.; Li, W.; Li, Y. Symmetric uncertainty based decomposition multi-objective immune algorithm for feature selection. Swarm. Evol. Comput. 2023, 78, 101286. [Google Scholar] [CrossRef]
- Guo, F.; Han, W.; Su, X.-C.; Liu, Y.-J.; Cui, R.-W. A bi-population immune algorithm for weapon transportation support scheduling problem with pickup and delivery on aircraft carrier deck. Def. Technol. 2021, 22, 119–134. [Google Scholar] [CrossRef]
- Lian, L. Reactive power optimization based on adaptive multi-objective optimization artificial immune algorithm. Ain. Shams. Eng. J. 2022, 13, 101677. [Google Scholar] [CrossRef]
- Wei, W.; Chen, S.; Lin, Q.; Ji, J.; Chen, J. A multi-objective immune algorithm for intrusion feature selection. Appl. Soft Comput. 2020, 95, 106522. [Google Scholar] [CrossRef]
- Wang, Y.; Han, Z. Ant colony optimization for traveling salesman problem based on parameters optimization. Appl. Soft Comput. 2021, 107, 107439. [Google Scholar] [CrossRef]
- Yang, K.; You, X.; Liu, S.; Pan, H. A novel ant colony optimization based on game for traveling salesman problem. Appl. Intell. 2020, 50, 4529–4542. [Google Scholar] [CrossRef]
- Dahan, F.; El Hindi, K.; Mathkour, H.; AlSalman, H. Dynamic flying ant colony optimization (DFACO) for solving the traveling salesman problem. Sensors 2019, 19, 1837. [Google Scholar] [CrossRef]
- Zhang, Z.; Xu, Z.; Luan, S.; Li, X.; Sun, Y. Opposition-based ant colony optimization algorithm for the traveling salesman problem. Mathematics 2020, 8, 1650. [Google Scholar] [CrossRef]
- Shahadat, A.S.B.; Akhand, M.; Kamal, M.A.S. Visibility adaptation in ant colony optimization for solving traveling salesman problem. Mathematics 2022, 10, 2448. [Google Scholar] [CrossRef]
- Yu, X.; Yu, L.; Zheng, M.; Lu, J.; Zhang, L. Firefly algorithm and ant colony algorithm to optimize the traveling salesman problem. J. Phys. Conf. Ser. 2022, 2253, 012010. [Google Scholar] [CrossRef]
- Li, W.; Wang, C.; Huang, Y.; Cheung, Y.-M. Heuristic smoothing ant colony optimization with differential information for the traveling salesman problem. Appl. Soft Comput. 2023, 133, 109943. [Google Scholar] [CrossRef]
- Pérez-Carabaza, S.; Gálvez, A.; Iglesias, A. Rank-Based Ant System with Originality Reinforcement and Pheromone Smoothing. Appl. Sci. 2022, 12, 11219. [Google Scholar] [CrossRef]
- Miller, C.E.; Tucker, A.W.; Zemlin, R.A. Integer programming formulation of traveling salesman problems. J. ACM. 1960, 7, 326–329. [Google Scholar] [CrossRef]
- Nikolaev, A.; Batsyn, M. Branch-and-bound algorithm for symmetric travelling salesman problem. In Combinatorial Algorithms: 29th International Workshop; Springer: New York, NY, USA, 2018; pp. 311–322. [Google Scholar] [CrossRef]
- Held, M.; Karp, R.M. The traveling-salesman problem and minimum spanning trees: Part II. Math Program. 1971, 1, 6–25. [Google Scholar] [CrossRef]
- Roy, A.; Manna, A.; Maity, S. A novel memetic genetic algorithm for solving traveling salesman problem based on multi-parent crossover technique. Decis. Making Appl. Manag. Eng. 2019, 2, 100–111. [Google Scholar] [CrossRef]
- Emambocus, B.A.S.; Jasser, M.B.; Hamzah, M. An enhanced swap sequence-based particle swarm optimization algorithm to solve TSP. IEEE Access. 2021, 9, 164820–164836. [Google Scholar] [CrossRef]
- İlhan, İ.; Gökmen, G. A list-based simulated annealing algorithm with crossover operator for the traveling salesman problem. Neural Comput. Appl. 2022, 34, 7627–7652. [Google Scholar] [CrossRef]
- Ma, Q.; Ge, S.; He, D.; Thaker, D.; Drori, I. Combinatorial optimization by graph pointer networks and hierarchical reinforcement learning. arXiv 2019, arXiv:1911.04936. [Google Scholar]
- Zheng, J.; He, K.; Zhou, J.; Jin, Y.; Li, C.M. Combining reinforcement learning with Lin-Kernighan-Helsgaun algorithm for the traveling salesman problem. In Proceedings of the AAAI Conference on Artificial Intelligence; AAAI: California, CA, USA, 2021; pp. 12445–12452. [Google Scholar] [CrossRef]
- Dorigo, M.; Maniezzo, V.; Colorni, A. Ant system: Optimization by a colony of cooperating agents. IEEE Trans. Syst. Man Cybern. Part B 1996, 26, 29–41. [Google Scholar] [CrossRef]
- Kumar, S.; Parhi, D.R.; Muni, M.K. Optimal path search and control of mobile robot us-ing hybridized sine-cosine algorithm and ant colony optimization technique. Ind. Robot 2020, 47, 535–545. [Google Scholar] [CrossRef]
- Tuani, A.F.; Keedwell, E.; Collett, M. Heterogenous adaptive ant colony optimization with 3-opt local search for the travelling salesman problem. Appl. Soft Comput. 2020, 97, 106720. [Google Scholar] [CrossRef]
- Du, P.-Z.; Tang, Z.-M.; Sun, Y. An object-oriented multi-role ant colony optimization algorithm for solving TSP problem. Control. Decis. 2014, 29, 1729–1736. [Google Scholar] [CrossRef]
- Rokbani, N.; Kumar, R.; Abraham, A.; Alimi, A.M.; Long, H.V.; Priyadarshini, I.; Son, L.H. Bi-heuristic ant colony optimization-based approaches for traveling salesman problem. Soft Comput. 2021, 25, 3775–3794. [Google Scholar] [CrossRef]
- Cinar, A.C.; Korkmaz, S.; Kiran, M.S. A discrete tree-seed algorithm for solving symmetric traveling salesman problem. Eng. Sci. Technol. 2020, 23, 879–890. [Google Scholar] [CrossRef]
- Cui, Y.; Zhong, J.; Yang, F.; Li, S.; Li, P. Multi-subdomain grouping-based particle swarm optimization for the traveling salesman problem. IEEE Access. 2020, 8, 227497–227510. [Google Scholar] [CrossRef]
- Xin, J.; Zhong, J.; Yang, F.; Cui, Y.; Sheng, J. An improved genetic algorithm for path-planning of unmanned surface vehicle. Sensors 2019, 19, 2640. [Google Scholar] [CrossRef] [PubMed]
- Rao, W.; Jin, C.; Lu, L. An Improved Greedy Algorithm with Information of Edges’ Location for Solving the Euclidean Traveling Salesman Problem. Chin. J. Comput. 2013, 36, 836–850. [Google Scholar] [CrossRef]
- Chen, B.; Liu, W. SAC Model Based Improved Genetic Algorithm for Solving TSP. J. Front. Comput. Sci. Technol. 2021, 15, 1680–1693. [Google Scholar] [CrossRef]
- Sun, J.; Liu, S.; Wu, X. Simulated Annealing Algorithm Based on Large Neighborhood Search To Solve TSP. Comput. Simul. 2023, 40, 415–420. [Google Scholar] [CrossRef]









| Algorithm | Parameter |
|---|---|
| ACO | m = 1.5n, α = 2, β = 4, ε = 0.1, ρ = 0.3, Q = 100 |
| ACO-ISTR | m = 1.5n, ε = 0.1, ρ = 0.3, Q = 100 |
| ACO-LOS-AP | m = 1.5n, α = 2, β = 4, ε = 0.1, λ = 0.1, ρ0 = 0.3, ω = 0.7, s0 = 30, γ = 0.8, Q = 100 |
| AACO-LST | m = 1.5n, ε = 0.1, λ = 0.1, ρ0 = 0.3, ω = 0.7, s0 = 30, γ = 0.8, Q = 100 |
| TSP (BKS) | Algorithm | Best | Avg | Std |
|---|---|---|---|---|
| eil51 (426) | ACO | 429.53 | 433.62 | 4.30 |
| ACO-ISTR | 428.98 | 431.70 | 3.41 | |
| ACO-LOS-AP | 428.98 | 430.25 | 2.78 | |
| AACO-LST | 428.87 | 429.88 | 1.83 | |
| st70 (675) | ACO | 681.22 | 687.81 | 7.68 |
| ACO-ISTR | 678.62 | 684.70 | 6.10 | |
| ACO-LOS-AP | 680.50 | 682.80 | 4.46 | |
| AACO-LST | 677.11 | 680.83 | 2.87 | |
| eil76 (538) | ACO | 547.40 | 558.56 | 6.50 |
| ACO-ISTR | 546.39 | 554.95 | 6.10 | |
| ACO-LOS-AP | 545.39 | 549.32 | 3.70 | |
| AACO-LST | 544.37 | 548.75 | 2.71 | |
| Rat99 (1211) | ACO | 1238.48 | 1295.16 | 15.76 |
| ACO-ISTR | 1223.80 | 1243.11 | 15.23 | |
| ACO-LOS-AP | 1220.36 | 1230.13 | 8.62 | |
| AACO-LST | 1219.24 | 1225.07 | 5.21 |
| Tag | TSP | BKS | Best | Dev (%) | ||
|---|---|---|---|---|---|---|
| ACS | AACO-LST | ACS | AACO-LST | |||
| 1 | burma14 | 30.88 | 30.88 | 30.88 | 0 | 0 |
| 2 | ulysses22 * | 75.67 | 75.88 | 75.31 | 0.28 | −0.47 |
| 3 | bays29 | 9074.15 | 9111.6 | 9074.15 | 0.41 | 0 |
| 4 | oliver30 | 423.74 | 425.08 | 424.87 | 1.84 | 0.27 |
| 5 | att48 | 33,523.71 | 33,772.05 | 33,523.71 | 0.74 | 0.32 |
| 6 | eil51 | 426 | 429.53 | 428.87 | 0.83 | 0.67 |
| 7 | berlin52 | 7542 | 7590.07 | 7544.37 | 0.64 | 0.03 |
| 8 | st70 | 675 | 681.22 | 677.11 | 0.92 | 0.31 |
| 9 | pr76 | 108,159.4 | 110,032.63 | 109,840.83 | 1.73 | 1.55 |
| 10 | eil76 | 538 | 547.4 | 544.37 | 1.75 | 1.18 |
| 11 | gr96 * | 512.31 | 522.18 | 510.89 | 1.93 | −0.28 |
| 12 | rat99 | 1211 | 1238.48 | 1219.24 | 2.27 | 0.68 |
| 13 | kroA100 | 21,282 | 21,593.58 | 21,285.44 | 1.46 | 0.02 |
| 14 | kroB100 | 22,141 | 22,704.05 | 22,263.98 | 2.54 | 0.56 |
| 15 | kroC100 | 20,749 | 21,294.39 | 20,750.76 | 2.63 | 0.01 |
| 16 | kroD100 | 21,294 | 22,640.24 | 21,309.58 | 6.32 | 0.07 |
| 17 | kroE100 | 22,068 | 23,085.56 | 22,098.13 | 4.61 | 0.14 |
| 18 | eil101 | 629 | 658.44 | 640.98 | 4.68 | 1.9 |
| 19 | lin105 | 14,379 | 14,618.75 | 14,383 | 1.67 | 0.03 |
| 20 | pr107 * | 44,303 | 44,541.26 | 44,301.68 | 0.54 | −0.003 |
| 21 | bier127 | 118,282 | 123,365.27 | 118,816.98 | 4.3 | 0.45 |
| 22 | ch130 | 6110.86 | 6250.02 | 6171.96 | 2.28 | 1 |
| 23 | gr137 | 698.53 | 724.14 | 707.02 | 3.67 | 1.22 |
| 24 | ch150 | 6528 | 6665.42 | 6533.81 | 2.11 | 0.09 |
| 25 | kroA150 | 26,524 | 28,155.86 | 26,787.78 | 6.15 | 0.99 |
| 26 | kroB150 | 26,130 | 27,660.02 | 26,156.38 | 5.86 | 0.1 |
| 27 | rat195 | 2323 | 2421.73 | 2342.13 | 4.25 | 0.82 |
| 28 | d198 | 15,780 | 16,861.08 | 15,965.24 | 6.85 | 1.17 |
| 29 | kroA200 | 29,368 | 31,419.63 | 29,491.02 | 6.99 | 0.42 |
| 30 | kroB200 | 29,437 | 31,523.68 | 29,662.52 | 7.09 | 0.77 |
| 31 | gr202 * | 550 | 498.18 | 490.74 | −9.42 | −10.77 |
| 32 | ts225 | 126,643 | 130,864.42 | 127,441.15 | 3.33 | 0.63 |
| 33 | tsp225 * | 3916 | 3960.36 | 3892.06 | 1.13 | −0.61 |
| 34 | pr226 | 80,369 | 82,983.87 | 80,440.1 | 3.25 | 0.09 |
| 35 | gr229 | 1346.02 | 1779.42 | 1684.5 | 32.2 | 25.15 |
| 36 | gil262 | 2378 | 2546.8 | 2414.13 | 7.1 | 1.52 |
| 37 | lin318 | 42,029 | 44,949.7 | 42,371.29 | 6.95 | 1.21 |
| 38 | rd400 | 15,281 | 16,011.51 | 15,467.56 | 4.78 | 1.22 |
| 39 | fl417 | 11,861 | 12,661.42 | 12,081.41 | 6.75 | 1.86 |
| 40 | gr431 | 1714.14 | 2192.29 | 1982.37 | 27.89 | 15.65 |
| 41 | pr439 | 107,217 | 113,797.02 | 108,937.9 | 6.14 | 1.61 |
| 42 | pcb442 | 50,778 | 58,410.35 | 51,837.94 | 15.03 | 2.09 |
| 43 | d493 | 35,002 | 39,983.51 | 36,074.31 | 14.23 | 3.06 |
| 44 | u574 | 36,905 | 42,789.92 | 38,169.74 | 15.95 | 3.43 |
| 45 | vm1084 | 239,297 | 280,979.88 | 256,344.84 | 17.42 | 7.12 |
| TSP (BKS) | Algorithm | Avg | Err (%) |
|---|---|---|---|
| eil51 (426) | ASFPA-Ls | 437.13 | 2.61 |
| AACO-LST | 429.88 | 0.9 | |
| st70 (675) | ASFPA-Ls | 768.00 | 2.84 |
| AACO-LST | 683.78 | 1.3 | |
| eil76 (538) | ASFPA-Ls | 620.00 | 5.26 |
| AACO-LST | 549.40 | 2.1 | |
| Rat99 (538) | ASFPA-Ls | 1271.22 | 4.95 |
| AACO-LST | 1229.68 | 0.68 | |
| kroA100 (21,282) | ASFPA-Ls | 22,003.405 | 3.53 |
| AACO-LST | 21,416.6 | 0.63 |
| TSP (BKS) | Algorithm | Best | Avg | Err (%) | PE (%) |
|---|---|---|---|---|---|
| kroC100 (20,749) | MSGPSO | 21,161.51 | 22,657.77 | 1.99 | 7 |
| MDIGA | 21,394.58 | 23,138.13 | 3.11 | 8 | |
| DTSA | - | 21,506.78 | 1.06 | - | |
| IMGRA | 22,506.83 | - | - | - | |
| AACO-LST | 20,750.76 | 20,927.37 | 0.86 | 0.85 |
| TSP (BKS) | Algorithm | Best | Avg | Err (%) | PE (%) |
|---|---|---|---|---|---|
| eil51 (426) | SALNS | 426 | 426 | 0 | 0 |
| GA-SAC | 426 | 427.40 | 0.33 | 0.33 | |
| IMGRA | 429.53 | - | - | - | |
| AACO-LST | 428.87 | 430.80 | 1.13 | 0.45 | |
| st70 (675) | SALNS | 675 | 675 | 0 | 0 |
| GA-SAC | 675 | 678.90 | 0.58 | 0.58 | |
| IMGRA | 725.51 | - | - | - | |
| AACO-LST | 677.11 | 683.78 | 1.3 | 0.99 | |
| rat99 (1211) | SALNS | 1211 | 1212 | 0.08 | 0.08 |
| GA-SAC | 1211 | 1222.45 | 0.95 | 0.95 | |
| IMGRA | 1313.76 | - | - | - | |
| AACO-LST | 1219.24 | 1225.79 | 1.22 | 0.54 | |
| tsp225 (3916) | SALNS | 3896 | 3910 | −0.15 | 0.36 |
| GA-SAC | 3900 | 3918.60 | 0.07 | 0.47 | |
| IMGRA | 4170 | - | - | - | |
| AACO-LST | 3892.06 | 3906.42 | −0.24 | 0.37 | |
| lin318 (42,029) | SALNS | - | - | - | - |
| GA-SAC | 42,329 | 42,902.40 | 2.08 | 1.35 | |
| IMGRA | 45,036.36 | - | - | - | |
| AACO-LST | 42,371.29 | 42,726.78 | 1.66 | 0.84 |
Disclaimer/Publisher’s Note: The statements, opinions and data contained in all publications are solely those of the individual author(s) and contributor(s) and not of MDPI and/or the editor(s). MDPI and/or the editor(s) disclaim responsibility for any injury to people or property resulting from any ideas, methods, instructions or products referred to in the content. |
© 2023 by the authors. Licensee MDPI, Basel, Switzerland. This article is an open access article distributed under the terms and conditions of the Creative Commons Attribution (CC BY) license (https://creativecommons.org/licenses/by/4.0/).
Share and Cite
Tang, K.; Wei, X.-F.; Jiang, Y.-H.; Chen, Z.-W.; Yang, L. An Adaptive Ant Colony Optimization for Solving Large-Scale Traveling Salesman Problem. Mathematics 2023, 11, 4439. https://doi.org/10.3390/math11214439
Tang K, Wei X-F, Jiang Y-H, Chen Z-W, Yang L. An Adaptive Ant Colony Optimization for Solving Large-Scale Traveling Salesman Problem. Mathematics. 2023; 11(21):4439. https://doi.org/10.3390/math11214439
Chicago/Turabian StyleTang, Kezong, Xiong-Fei Wei, Yuan-Hao Jiang, Zi-Wei Chen, and Lihua Yang. 2023. "An Adaptive Ant Colony Optimization for Solving Large-Scale Traveling Salesman Problem" Mathematics 11, no. 21: 4439. https://doi.org/10.3390/math11214439
APA StyleTang, K., Wei, X.-F., Jiang, Y.-H., Chen, Z.-W., & Yang, L. (2023). An Adaptive Ant Colony Optimization for Solving Large-Scale Traveling Salesman Problem. Mathematics, 11(21), 4439. https://doi.org/10.3390/math11214439


