Abstract
Considering that the state transfer rules between nodes in existing rumor propagation models are mostly based on a single propagation mechanism, and most of the models have a single way of refuting rumors, in this paper, a new SEIOR rumor propagation model (ignorant (S), hesitators (E), spreaders (I), rumor debunkers (O), immunizers (R)) is proposed by introducing hesitators and rumor debunkers and combining different rumor-refuting ways of rumor debunkers. Firstly, the dynamics process of the propagation model is described by using the mean-field equations. Secondly, the equilibrium point and the basic regeneration number of the model are solved, and the existence and stability of the equilibrium point are discussed. Then, numerical simulations are used to analyze the effects of different factors on rumor propagation patterns. The results show that the rumor-spreading rate has the greatest effect on rumor propagation. With the increase in , the degree of influence of the hesitator-converting rate on the scale of rumor propagation first increases and then decreases. Different rumor-refuting ways have different inhibiting effects on the spread of rumors. Finally, based on the results of the theoretical proving and numerical analysis, some targeted measures to control the spread of rumors are proposed.
Keywords:
rumor propagation; basic regeneration number; hesitating mechanism; different rumor-refuting ways; complex network MSC:
91D30; 93D20
1. Introduction
Rumors usually refer to statements without factual basis related to issues or events of public interest [1,2,3]. Rumors can be spread through various channels, including communication means. With the rapid development of Internet services and the popularity of mobile communication tools, rumors spread faster and more forcefully on the network [4,5]. For example, in March 2011, the nuclear leakage accident at the Fukushima nuclear power plant in Japan triggered a rumor that iodized salt could completely prevent nuclear radiation, which caused some Chinese citizens to frantically buy salt. One citizen spent more than 27,000 yuan to buy 6500 kg of salt, causing market chaos. On the evening of 31 January 2020, the Weibo account of “Xinhua Viewpoint” published a piece of news that Shuang Huang Lian Oral Liquid could inhibit COVID-19, which aroused great public concern. A few hours after the news was published, this news was read by 620 million people, the Shuang Huang Lian Oral Liquid in online pharmacies was sold out [6], and even veterinary Shuang Huang Lian Oral Liquid was looted, causing a huge social panic. Therefore, it is of great practical significance to study the mechanism and law of rumor propagation and explore effective suppression strategies.
Because the spread dynamics of rumor information in the network are very similar to the dynamics of infectious diseases [7,8,9], most of the existing rumor propagation models draw on the infectious disease model. Daley and Kendall studied rumor propagation with the help of the stochastic process in 1965 and proposed the DK model [10]. In this model, they separated the population into three groups: people who heard nothing about the rumor, people who spread it, and people who heard it but chose not to spread it. After that, Maki et al. [11] proposed the MT model to study rumors. Based on this, scholars have studied different rumor propagation models according to different rumor propagation rules. Gu et al. [12] introduced the forgetting-remembering mechanism into the rumor propagation process and introduced forgetting-remembering functions with linear and exponential forms into the two-state model called the SI model [13]. They found that the forgetting–remembering mechanism may lead to the termination of rumor propagation. Huo et al. [14] believed that ignorant people would first experience an incubation period after contacting the spreader, i.e., they would become the latent people first. They also believed that the latent people could infect the ignorant people, and built a rumor propagation model with an incubation mechanism. In the subsequent study, Huo et al. further studied the law of rumor propagation under the condition that “the latent people do not infect the ignorant people” [15]. Zhao et al. [16] argued that spreaders would directly turn into stiflers due to forgetting. Based on a forgetting mechanism, Zhao et al. proposed a SIHR rumor propagation model with a remembering mechanism [17,18]. They found that the combined effect of the forgetting mechanism and remembering mechanism reduced the maximum impact of rumors and delayed the end of rumors. Meanwhile, Zhao et al. [19] proposed a rumor propagation model with a variable forgetting rate. Wang et al. [20] considered a containment mechanism and forgetting mechanism in the propagation of network information and believed that infected nodes would become immune nodes due to the containment mechanism. Since then, more and more scholars have proposed different rumor propagation mechanisms, such as the hesitating mechanism [21,22], trust mechanism [23], counterattack mechanism [24,25], recurrence mechanism [26], and propagation mechanism integrating multiple mechanisms [27].
Many scholars have also noted that rumor propagation was often accompanied by rumor elimination. Wan et al. [28] believed that there was a public who spread the truth in the real rumor spreading, so they introduced two roles: rumor eliminator and stop eliminator. Fan et al. [29] believed that the true information released by the official media could transform the rumor-spreading group into an emergency management group. Wang et al. [30] argued that ignorant people and the spreader would become emigrants at a rate due to the government’s rumor-refuting strategy. Qiu [31] introduced truth-knowers and truth-spreaders based on the SIR model. The authors argued that ignorant people transformed into truth-knowers first after being exposed to truth-spreaders, and then transformed into truth-spreaders and immunizers with different probabilities. Ran et al. [3] divided spreaders into strong spreaders and weak spreaders and argued that the two types of spreaders would be transformed into rumor debunkers with different probabilities under the influence of the government’s rumor-refuting information. Chen et al. [32] believed that individuals with critical ability would first become hesitators, and then hesitators could become immunizers who believe in rumors and immunizers who do not believe in rumors according to whether they have obtained rumor-refuting information. Zhang et al. [33] considered truth-spreaders and established the SITR rumor propagation model. They believed that ignorant people and the spreader would turn into truth-spreaders with the same probability after contacting truth-spreaders. Zhu et al. [34] proposed a rumor propagation model with a rumor-refuting mechanism. This model considered the government’s rumor-refuting strategy and the phenomenon of time delay in the rumor-refuting process [35,36,37,38,39]. Pei et al. [40] established the UETDR rumor propagation model by introducing the latent and the rumor debunker and believed that ignorant people would transform into latent people, spreaders, rumor debunkers, and immunizers with different probabilities after contacting spreaders, respectively.
The spread of rumors is very similar to the spread of diseases, and the spreading behavior is carried out in a large range. Since the social relationships of individuals are composed of near and far connections, the network connections of individuals are not fixed within a certain area [41,42]. Meanwhile, as early as the 1980s, rumor propagation models entered the research stage of considering network topology. Many scholars also found that social networks with different topologies had different effects on rumor propagation laws [43,44,45,46]. Zanette [47,48] and Nekovee et al. [49] first introduced complex networks into rumor propagation models and established rumor propagation models on the small-world network and scale-free networks respectively. The results show that network structure has a huge impact on rumor propagation. Zhou et al. [50] considered the network topology and the unequal status of infected nodes’ neighbors when spreading rumors, and found that the total number of infected nodes depended on the network topology. Sathe [51] and Zhao et al. [16] studied the laws of rumor propagation on the blogging LiveJournal and analyzed the influence of network average degree and forgetting rate on rumor propagation. Zhao et al. studied the rumor propagation characteristics on the homogeneous network [52], scale-free network [18], and Barrat–Barthelemy–Vespignani (BBV) weighted network [53], and deduced the rumor propagation thresholds on different networks. Since then, more and more scholars have studied the dynamic behavior of rumor propagation models with different propagation mechanisms in complex networks [21,24,27,54,55,56,57,58,59]. These studies show that complex networks can more truly reflect real social networks and that many real social networks are very close to heterogeneous networks whose topologies are more complex than homogeneous networks.
In summary, the existing rumor propagation models cannot fully reflect reality, which has the following limitations:
- (1)
- The classification of node types is relatively rough, with only three or four categories;
- (2)
- The state transfer rules between nodes are mostly based on a single propagation mechanism;
- (3)
- The models considering the rumor-refuting mechanism only aim at spreaders, and the way of rumor-refuting is single.
Therefore, this paper combined the hesitating and rumor-refuting mechanisms and divides rumor-spreading nodes into five categories. This paper also considered the impact of different rumor-refuting ways on rumor propagation from the behavioral perspective of rumor-refuting subjects. Based on this, the SEIOR rumor propagation model was established. Since complex networks can truly reflect real social networks, we discussed the propagation process of the SEIOR rumor propagation model in complex networks. The arrangement of this paper is as follows. Section 2 introduces the SEIOR rumor propagation model in detail and discusses the existence and stability of the equilibrium point of the model. In Section 3, the numerical study is carried out to verify the theoretical analysis. Section 4 presents the conclusions.
2. The Rumor Propagation Model
2.1. The State Transfer Rules between Individuals
This paper combined the hesitating and rumor-refuting mechanisms based on the literature [31,40] and divided the population into the following five categories:
- Ignorant people. Individuals who do not receive rumor information and rumor-refuting information [58];
- Hesitators. Individuals who are suspicious of rumors do not express their opinions temporarily. They have not contacted individuals in other states [21];
- Spreaders. Individuals who believe rumors and spread rumors;
- Rumor debunkers. Individuals who know the truth behind the rumor and oppose the rumor after receiving the rumor information. They spread rumor-refuting information [40];
- Immunizers. Individuals who know the rumor information but never spread it; or who stop spreading it after contacting a rumor debunker; or who stop spreading it because of forgetting and losing interest [40].
These five types of individuals are represented by S, E, I, O, and R. Each individual is only in one state, and the state changes after contacting individuals in other states. The state transfer rules for the five types of individuals are as follows:
- (1)
- In the beginning, the individuals in the system are all ignorant people. An ignorant person has four state transitions after contacting a rumor spreader. They will become an immunizer, a hesitator, a spreader, or a rumor debunker with probabilities (forgetting rate), (hesitator-converting rate), (rumor-spreading rate), and (debunker-converting rate), respectively;
- (2)
- A hesitator becomes a spreader with probability (hesitator-spreading rate) after contacting a spreader. The hesitator becomes a rumor debunker with probability (hesitator-refuting rate) after contacting a rumor debunker;
- (3)
- A spreader becomes a rumor debunker with probability (spreader-refuting rate) after contacting a rumor debunker. After contacting other spreaders or immunizers, the spreader becomes an immunizer with probability . A fraction of spreaders who do not believe the true information are refuted by the rumor debunkers and become immunizers with probability (refuting rate) [31]. Alternatively, they are reported and become immunizers with probability (reporting rate) [31];
- (4)
- Because of forgetting or losing interest in the rumor information, all individuals become immunizers with probability .
Based on the above state transfer rules, we construct a structural diagram of the rumor propagation process of the SEIOR model, as shown in Figure 1. The descriptions of the parameters in the model are shown in Table 1.
Figure 1.
Structural diagram of the rumor propagation process of the SEIOR model.
Table 1.
The descriptions of the parameters in the SEIOR model.
According to the degree distribution of networks, complex networks can be divided into two categories: homogeneous and heterogeneous networks. Next, we used mean-field theory to give mean-field equations for the SEIOR rumor propagation model on homogeneous and heterogeneous networks to describe the dynamics of rumor propagation.
2.2. Spreading Threshold of SEIOR Model in Homogeneous Networks
In homogeneous networks, S(t), E(t), I(t), O(t), and R(t) ewre used to represent the individual densities of ignorant people, hesitators, spreaders, rumor debunkers, and immunizers at time t, respectively, where S(t) ≥ 0, E(t) ≥ 0, I(t) ≥ 0, O(t) ≥ 0, R(t) ≥ 0, t > 0, and satisfy the normalization condition: S(t) + E(t) + I(t) + O(t) + R(t) = 1. Based on the mean-field theory, the mean-field equations of the model are obtained as:
To obtain the equilibrium point of Equation (1), we let the right side of Equation (1) be equal to zero. We obtained:
By solving Equation (2), we can obtain:
where S(t)* and R(t)* represent the individual densities of ignorant people and immunizers when the system reaches the equilibrium state, and take the non-negative values satisfying the constraint condition S(t)* + R(t)* = 1. From Equation (1), it can be seen that rumor propagation begins when ignorant people contact spreaders until a new equilibrium state is eventually reached. At the equilibrium state, E(t) = 0, I(t) = 0, O(t) = 0, i.e., there are no hesitators, spreaders, and immunizers in the system, so the final equilibrium state of the system is the rumor-free equilibrium state, corresponding to the rumor-free equilibrium point E* = (S(t)*, 0, 0, 0, R(t)*) = (x, 0, 0, 0, 1 − x). The system is in the initial equilibrium state when there is no spreader in the system, where S(t)* = 1, R(t)* = 0. Let the equilibrium point corresponding to the equilibrium state be the initial equilibrium point E0 = (1, 0, 0, 0, 0).
In similar studies, the basic regeneration number (represented as R0) was defined as the expected number of secondary cases generated by an infected individual in a fully susceptible population during the average disease period at the beginning of the disease [11,60,61]. When R0 < 1, it means that each infected individual produces less than one new infected individual during the average disease period and the number of infected individuals does not increase. There is a unique disease-free equilibrium point in the system that is globally asymptotically stable. When R0 > 1, it means that each infected individual produces more than one new infected individual during the average disease period and the disease keeps spreading in the population. Thus, R0 = 1 can be used as a threshold value to decide whether the rumor dies out or not.
First, we used the next generation matrix method [60,62] to calculate the basic regeneration number : , where denotes the next generation matrix and denotes the spectral radius of .
We let , then Equation (1) can be expressed as:
F(x) denotes the newly added spreaders. V(x) is denoted as , where refers to the transfer rate of individuals into the system, and refers to the transfer rate of individuals removed from the system. Then:
We solved the Jacobian matrix of matrix F(x) and V(x) at E0 = (1, 0, 0, 0, 0) and recorded them as and , respectively:
where:
Then:
Thus, we define R0 as follows:
Then, the Jacobian matrix of Equation (1) at the rumor-free equilibrium point E0 = (1, 0, 0, 0, 0) can be calculated as:
The characteristic equation of is given as:
Calculating the eigenvalues of the Jacobian matrix according to Equation (12), we can obtain:
According to the Routh–Hurwitz stability criterion [63], if , then , , and E0 was locally asymptotically stable. When there were spreaders in the system, the system deviated from the equilibrium state and then gradually returned to the initial equilibrium state. If , then , , and E0 was unstable. When there are spreaders in the system, the system moves away from the equilibrium state and the rumor is spread out in the system.
If , let , we can construct the Lyapunov function as follows:
From the mean-field equations Equation (1), the full derivative of this Lyapunov function can be obtained by deriving the derivative along the system trajectory as follows:
It can be seen that when , i.e., , for all , when , there is , when, and only when E(t) = I(t) = 0. Thus, E0 is the unique solution of V(t) = 0. According to the LaSalle invariance principle [64], when , each solution of Equation (1) is not far from the equilibrium point E0, so the rumor-free equilibrium point E0 = (1, 0, 0, 0, 0) is globally asymptotically stable.
2.3. Spreading Threshold of SEIOR Model in Heterogeneous Networks
In heterogeneous networks, the N nodes are classified by degree. Sk(t), Ek(t), Ik(t), Ok(t), and Rk(t) represent the densities of ignorant people, hesitators, spreaders, rumor debunkers, and immunizers of degree k at time t, respectively. If P(k) represents the degree distribution function of the heterogeneous network, which is the ratio of all nodes with degree k to the total nodes. Then is satisfied. The expressions of E(t), I(t), O(t), and R(t) are similar to S(t). In addition, they satisfy the normalization condition Sk(t) + Ek(t) + Ik(t) + Ok(t) + Rk(t) = 1 and S(t) + E(t) + I(t) + O(t) + R(t) = 1. Based on the mean-field theory, the mean-field equations of the model are obtained as:
where represents the conditional probability that a node with degree k is connected to a node with degree . denotes the probability that an edge of a node with degree k at time t is connected to a node in rumor spreading state with degree . denotes the probability that an edge of a node with degree k at time t is connected to a node in the refuting state with degree . denotes the probability that an edge of a node with degree k at time t is connected to a node in the spreading state or immune state with degree . In Equation (16), we ignore the correlation of degree between different nodes in the network and consider only the uncorrelated heterogeneous network. We let , and denote the degree distribution and average degree of the heterogeneous network, respectively.
To obtain the equilibrium point of Equation (16), we let the right side of Equation (16) be equal to zero. We obtained:
From Equation (16), it can be seen that rumor propagation begins when ignorant people contact spreaders, until a new equilibrium state is eventually reached. The rumor-free equilibrium point of Equation (16) is the same as Equation (1). At the equilibrium state, Ek(t) = 0, Ik(t) = 0, and Ok(t) = 0, i.e., there were no hesitators, spreaders, and immunizers in the system. Therefore, the final equilibrium state of the system is the rumor-free equilibrium state, and the rumor propagation-free equilibrium point is E* = (Sk(t)*, 0, 0, 0, Rk(t)*) = (x′, 0, 0, 0, P(k) − x′).
We still used the next-generation matrix method [60,62] to calculate the basic regeneration number. Similarly, we let , then Equation (16) can be expressed as:
F(x) denotes the newly added spreaders. V(x) is denoted as , where refers to the transfer rate of individuals into the system, and refers to the transfer rate of individuals removed from the system. Then:
We solved the Jacobian matrix of matrix F(x) and V(x) at E* = (Sk(t)*, 0, 0, 0, Rk(t)*) = (x’, 0, 0, 0, P(k) − x′) and recorded them as and , respectively:
where:
Then:
Thus, we define R0 as follows:
If , the system is stable at the point E* and the rumor would not be spread further. Conversely, when , the rumor would be spread out in the system. It can be found that in heterogeneous networks, the basic regeneration number R0 derived from the initial rumor equilibrium point E0 = (1, 0, 0, 0, 0) corresponded to the derived result in homogeneous networks.
3. Numerical Simulation
3.1. Analysis of the General Laws of Rumor Propagation by Monte-Carlo Simulation
The Monte–Carlo method is a random simulation method that can randomly select an initial spreader in the topology graph represented by the network adjacency matrix, and it can simulate the rumor propagation process according to the state transfer rules of the model. Compared with the Runge–Kutta method, the Monte–Carlo method can simulate the rumor propagation dynamics more realistically. Therefore, we used the Monte–Carlo method for simulation. If not otherwise specified, the Monte–Carlo method was used in the simulation section. The homogeneous network during the simulation was constructed by the Watts–Strogatz small-world network (i.e., WS small-world network) model [65]. The total number of individuals in the rumor propagation system N = 5000. The number of adjacent nodes of each individual = 6 [23]. The randomized reconnection probability between nodes p = 0.4 [23]. There is only one rumor spreader in the network at the initial time, i.e., S(0) = 4999/5000 = 0.9998, E(0) = 0, I(0) = 1/5000 = 0.0002, O(0) = 0, and R(0) = 0. The heterogeneous network was constructed by the Barabasi–Albert scale-free network (i.e., BA scale-free network) model [66], which first generates a degree sequence satisfying a power rate distribution and then generates a scale-free network with a given degree distribution index. The total number of individuals N = 5000. The number of initial nodes m0 = 3 [18]. The number of newly generated edges m = 3 [18] when entering a new node. The network structure of the two types of networks is shown in Figure 2.
Figure 2.
(a) WS small-world network structure; (b) BA scale-free network structure.
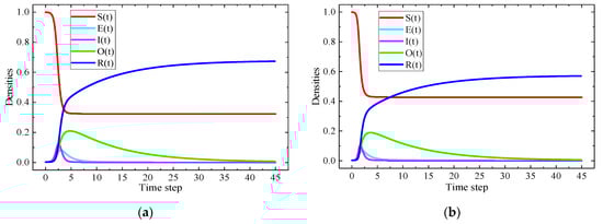
Figure 3 shows the evolution results of SEIOR rumor propagation model in WS small-world network and BA scale-free network. The degree distributions of the two types of networks obey Poisson distribution and power law distribution respectively. In order to reduce random errors, the experimental results in this paper are the average results after 500 times of rumor propagation evolution independently. The parameters of the SEIOR model are set as shown in Table 2.
Figure 3.
(a) Monte–Carlo solution results in WS small-world network; (b) Monte–Carlo solution results in BA scale-free network.
Table 2.
Model parameter settings during Monte–Carlo simulation.
From the simulation results, it can be seen that the whole propagation process is roughly divided into the latent period, progressive period, intense period, and recession period [35]. In the latent period, ignorant people contact with rumor information at a low rate. The changes in each group are not obvious and the duration is short. In the progressive period, with the speed of ignorant people contacting the rumor information gradually accelerating, the density of various types of individuals began to change significantly. The density of ignorant people gradually decreases. The density change trends of hesitators, spreaders, and rumor debunkers are roughly the same, all gradually increasing first. The density of immunizers increases with time. In the intense period, the densities of hesitators, spreaders, and rumor debunkers all reach their peak, and the rumor-spreading scale reaches the maximum. In the recession period, the densities of ignorant people and immunizers gradually reach an equilibrium state. The densities of hesitators, spreaders, and rumor debunkers begin to gradually decrease until they reach a steady state. Eventually, only ignorant people and immunizers exist in the system. These phenomena are consistent with the analytical conclusions of Equations (1) and (16). By comparing Figure 3a,b, it can be found that the density of immunizers is greater and the density of ignorant people is smaller when rumor propagation reaches a steady state in the WS small-world network. Thus, under the same conditions, the rumor propagation scale in WS small-world networks is larger than that in BA scale-free networks. Meanwhile, we found that the time step for hesitators, spreaders, and rumor debunkers to reach the peak in the WS network is almost twice as long as that in BA networks. This is because in BA networks, there are nodes with extremely high degree values, i.e., hub nodes. These nodes have a low probability of being infected by spreaders, but once infected by spreaders, there are more ways to spread the rumors which accelerates the spread of rumors. On the contrary, when hub nodes are transformed into rumor debunkers or immunizers, they can be considered firewalls that interrupt the spread of information and can effectively inhibit the spread of rumors [67].
3.2. Sensitivity Analysis of the Basic Regeneration Number
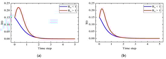
In order to clearly observe the effect of R0 on rumor propagation, we assumed that there are 750 spreaders at the initial time, i.e., I(0) = 0.15 (only set as such in this section). Then we observed the changes of the spreaders when R0 < 1 and R0 > 1.
Figure 4a describes the influence of R0 on the spreader in the WS network. We let = 6, = 0.02, δ = 0.2, and calculate R0 = 0.6 from Equation (10). It can be found that the density of spreaders does not increase at all and directly decrease to zero, indicating that the rumor would not spread further. Then we let = 6, = 0.6, δ = 0.2, and calculate R0 = 18 from Equation (10). It can be found that the density of spreaders firstly increases and then decreases, indicating that the rumor would spread. Figure 4b describes the influence of R0 on the spreader in the BA network, which is similar to that in the WS network. However, in the BA network, spreaders reach the equilibrium state earlier and the peak density of spreaders decreases. Figure 5 shows the changes in the densities of hesitators, spreaders, and rumor debunkers under different initial values of ignorant people and spreaders.
Figure 4.
The changes of spreaders in (a) WS network and (b) BA network over time when R0 < 1 and R0 > 1.
Figure 5.
(a) The changes of spreaders, hesitators and rumor debunkers when the initial densities of ignorant people and spreaders are randomly given in 7 groups (The star symbols represent the initial values of densities of each type of individual, the dot represents the steady-state value of rumor propagation.); (b) density evolution curves of each type of individual when S(0) = 0.59, E(0) = 0.05, I(0) = 0.3, O(0) = 0.05, and R(0) = 0.01.
Figure 5a shows the density evolution curves of spreaders, hesitators and rumor debunkers when the initial densities of ignorant people and spreaders are randomly given in 7 groups. The star symbols represent the initial values of densities of each type of individual, the dot represents the steady-state value of rumor propagation. E(0) = 0.05, O(0) = 0.05, R(0) = 0.01, δ = 0.3 and other parameters are set as shown in Table 2. We can find that the density curves of all types of individuals converge to a point E* = (S(t)*, 0, 0, 0, R(t)*) under different initial conditions, indicating that the rumor disappears, which is consistent with the results derived from the previous theory. Figure 5b shows the density evolution curves of each type of individual when S(0) = 0.59, E(0) = 0.05, I(0) = 0.3, O(0) = 0.05, and R(0) = 0.01, which coincides with Figure 5a.
3.3. The Effect of Hesitating Mechanism on Rumor Propagation
We changed the hesitator-converting rate , rumor-spreading rate and debunker-converting rate and plotted the density evolution curves of each type of individual under different hesitating situations respectively, as shown in Figure 6. Except for , and , other parameters were set as shown in Table 2.
Figure 6.
(a–e) show the density evolution curves of ignorant people, hesitators, spreaders, rumor debunkers, immunizers in the two types of networks with different hesitating situations (the large figure represents the simulation on the WS network and the small figure represents the simulation on the BA network); (f) shows the changes of immunizers in the WS network with and when time step, t = 45.
As shown in Figure 6a, with the increase in , more and more ignorant people know the rumor information, and the density of ignorant people when they reached the steady state decreases. With the increase in , the density of ignorant people when they reach the steady state increases. As shown in Figure 6b, with the increase in , the peak density of hesitators increases and the density changes rapidly, indicating that individuals have a great controversy about the truth or falsity of rumor information, and both spreaders and rumor debunkers have a great influence on the next shift of hesitators. With the increase in , the peak density of hesitators decreases. In Figure 6c, the peak density of spreaders decreases slightly and there is essentially no change. Under the parameter settings shown in Table 2, the influence of on the peak density of spreaders is 0.025 at most. This is because spreaders in the progressive period are mainly transformed from ignorant people and are greatly affected by . With the increase in , the peak density of spreaders decreases. In Figure 6d, with the increase in , the trend of the density of rumor debunkers is approximately the same as that of hesitators. The increase in directly increases the density of rumor debunkers and reduces the scope and scale of rumor propagation. In Figure 6e, with the increase in , the density of immunizers increases, i.e., more individuals know the rumor information and the negative impact of rumor propagation increases. With the increase in , the density of immunizers decreases, helping to control the negative influence of rumor propagation. According to the figures, with the increase in , the density change trends of each type of individual are the same as that when increases, but more obvious. The increase in directly leads to the increase in the peak density of spreaders and each type of individual reaches the peak densities and steady states earlier with the increase in . This is because rumor propagation is explosive. The more spreaders there are in the intense period, the faster the propagation speed is and the time to reach the peak density and steady state is shorter. In the BA network, the density variations of each type of individual are similar to that in the WS network, but the densities of each type of individual reach peak and equilibrium state earlier. The time difference to reach the peak is smaller than that in the WS network. Because the hub nodes in BA networks accelerate the spread of rumor information. Figure 6f gives the variation of the density of immunizers on the WS network at the time step, t = 45 with and . The increase in and both enhance the spreading scale of the rumor, but with the same multiplier of influence, the color shift in the direction of is weaker than that of . With the increase in , the value only increases in a small range. With the increase in , the color span is obvious, indicating that has a greater impact on the expansion of the rumor propagation scale than . It is worth noting that when the value of is around 0.35, has the greatest effect on the density of immunizers, i.e., the extent of the effect of on the density of immunizers first increases and then decreases as increases.
The above shows that to quickly reduce the scope and impact of rumors, it is important to make preparations during the progressive period. First of all, we should reduce the spread rate of rumors. When monitoring or detecting rumors, we should promptly refute them through official channels to reduce the density of rumor spreaders. Secondly, before and after the outbreak of rumors, we should popularize knowledge related to emergencies to the public more through the media, community preaching, and other ways, so that the public can quickly and accurately identify the truth or falsity of rumors in the absence of official rumor-refuting information. This helps to reduce the hesitator-converting rate of ignorant people and the density of hesitators in the propagation process.
3.4. The Effect of the Ability of Rumor Debunker on Rumor Propagation
We change the hesitator-refuting rate and spreader-refuting rate . The larger and are, the greater the intensity of the rumor debunker. Except for and , the other parameters are set as shown in Table 2. The density evolution curves of each type of individual under different refuting strengths are plotted respectively, as shown in Figure 7.
Figure 7.
(a–e) show the density evolution curves of ignorant people, hesitators, spreaders, rumor debunkers, immunizers in the two networks under the influence of different rumor-refuting intensities (the large figure represents the simulation on the WS network and the small figure represents the simulation on the BA network); (f) shows the changes of immunizers in the WS network with and when the time step, t = 45..
As shown in Figure 7a, with the increase in and , the density of ignorant people when they reached the steady state decreases, and the time to reach the steady state is advanced, i.e., the rumor propagation range decreases. In Figure 7b, with the increase in and , the peak density of hesitators decreases. The time for hesitators to reach a steady-state decrease under the influence in and the role of the rumor debunkers on the hesitators is more obvious. In Figure 7c, the influence in on the peak density of spreaders is 0.004 at most, while has a greater impact on the peak density of spreaders. In Figure 7d, with the increase in and , the density of rumor debunkers increases, helping to control the spread of rumors. In Figure 7e, with the increase in and , the density of immunizers decreases, i.e., the negative impact of rumor propagation decreases. In the BA network, the density variation of each type of individual is similar to that in the WS network. This is because the existence of hub nodes in the BA network accelerates the spread of rumor information. The hub nodes make the time for various nodes to reach peak density and steady-state smaller than that in the WS network. Figure 7f shows the variation of the density of immunizers in the WS network with and when time step, t = 45. The increase in and is conducive to reducing the spreading scale of rumors, but it is better to increase first. Because there is a time delay before hesitators become spreaders and hesitators may be refuted by rumor debunkers, the harm is less than that of spreaders.
In the intense period, it is important to strengthen the intensity of refuting for hesitators and spreaders. In addition to making use of new media, official departments can also make use of influential users to release highly identifiable and credible information to refute rumors. This can improve the ability of rumor debunkers and increase the hesitator-refuting rate and spreader-refuting rate, so that more individuals will become rumor debunkers and rumors will be eliminated quickly.
3.5. The Effect of the Forced Refuting Ability of Rumor Debunker on Rumor Propagation
There are a large number of active and positive users on social networks. When they encounter stubborn rumor spreaders, they persuade them to stop spreading rumors out of a sense of justice. We call this behavior “rumor refutation”. If the persuasion fails, they report the spreaders. Both the “rumor refutation” behavior and the reporting behavior prompt rumor spreaders to become immunizers. In this paper, these two kinds of rumor-refuting behaviors of users are regarded as forced rumor-refuting behaviors.
We changed the refuting rate and the reporting rate by encouraging more active and positive users to compulsorily refute rumors. The larger and are, the greater the intensity of forced refuting on spreaders. Except for and , the other parameters were set as shown in Table 2. The density evolution curves of each type of individual under different forced refuting intensities were plotted respectively, as shown in Figure 8.

Figure 8.
(a–e) show the density evolution curves of ignorant people, hesitators, spreaders, rumor debunkers, immunizers in the two networks under different forced debunking intensities (the large figure represents the simulation on the WS network and the small figure represents the simulation on the BA network); (f) shows the change of the density of immunizers in the WS network with and when the time step, t = 45.
As shown in Figure 8a, with the increase in and , the density of ignorant people when they reach the steady state increases, i.e., the rumor propagation range decreases. In Figure 8b, with the increase in and , the peak density of hesitators decreases slightly, and the time to reach the steady state remains basically unchanged. The rumor-refuting behavior of the rumor debunkers has little impact on hesitators. In Figure 8c, with the increase in and , the peak density of spreaders decreases, and could promote the time when the rumor propagation reaches a steady state. In Figure 8d, the peak density of rumor debunkers decreases with the increase in and , i.e., the demand for rumor debunkers needed to control rumors decreases. In Figure 8e, with the increase in and , the density of immunizers decreases, i.e., the negative impact of rumor propagation decreases. In addition, by comparing the density changes of various users without considering and , it is confirmed that the forced refuting behaviors of users help to reduce the spread of rumors. In the BA network, the density variations of each type of individual are similar to that in the WS network. However, the existence of hub nodes in the BA network accelerates the spread of rumor information. The hub nodes make the time for various nodes to reach peak density and steady-state smaller than that in the WS network. Figure 8f shows the variation of the density of immunizers in the WS network with and when time step, t = 45. The larger and are, the more conducive it is to control the spread of rumors, and the two forced refuting behaviors have the same effect.
This shows that for rumor spreaders, it is necessary to give warnings and punishments such as deleting posts and gagging while strengthening persuasion and education. Sometimes, the lack of credibility of the rumor-refuting information and the low scientific literacy of some users, lead to the persistence of rumor-spreading behaviors. Therefore, it is important to make use of rumor debunkers with authority and high credibility to refute with spreaders and prompt spreaders to form a judgment. Reporting behavior can help social management platforms to timely find rumors and take measures such as deleting posts and gagging, which can quickly reduce the scale and impact of rumor spreading.
3.6. The Effect of Forgetting Rate on Rumor Propagation
We changed the probability δ that an individual would become an immunizer due to forgetting or losing interest in the rumor, the other parameters are set as shown in Table 2. Then we observed the density evolution of ignorant people and immunizers when they reached a steady state.
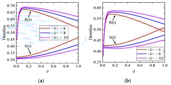
From Figure 9, we could observe that the density of ignorant people when they reached steady state increased with the increase in forgetting rate δ, i.e., the rumor propagation range became smaller and smaller. The density of the immunizers when they reach the steady state first increases and then decreases with the increase in the forgetting rate δ, and is maximum when δ is about 0.15. These results can be explained as follows: when δ is small, the normal state transition could still be carried out between individuals, and the increase in the forgetting rate δ appropriately increases the density of immunizers. However, when the forgetting rate δ continues to increase, the probability of state transition between individuals decreases, and more and more spreaders and hesitators be directly transformed into immunizers, such that the probability of contact between ignorant people and spreaders decreases. As a result, the final density of ignorant people is increasing and the density of immunizers is decreasing. Figure 10 shows the effect of the average degree on the spread of rumors (δ is taken as 0.5 in Figure 10). The greater the average degree , the smaller the density when ignorant people reach the steady state and the greater the density when immunizers reach the steady state. At the same time, as the average degree increases, the densities of ignorant people and immunizers change more rapidly and reach the steady state earlier. Because the greater the average degree , the more friends an individual has, the more chances the rumor spreaders have to contact ignorant people, which leads to the easier spread of rumors. In addition, by comparing the plots in Figure 9 and Figure 10, respectively, it was found that the densities in BA network change more significantly. As mentioned in Section 3.1, hub nodes can accelerate rumor propagation by becoming spreaders, or inhibit rumor propagation by forgetting.
Figure 9.
Variation of the density of ignorant people and immunizers when they reach the steady state with the forgetting rate δ in (a) WS network and (b) BA network.
Figure 10.
Variation of the density of ignorant people and immunizers when they reach the steady state with the average degree in (a) WS network and (b) BA network.
4. Discussion
This paper first classified rumor-spreading individuals into a total of five categories—ignorant people, hesitators, spreaders, rumor debunkers, and immunizers—by introducing hesitators and rumor debunkers. For the aspect of external influence, we combined it with the behavioral perspective of rumor debunkers, introduced different rumor-refuting ways, and establish the SEIOR rumor propagation model. Secondly, we solved the equilibrium point and the basic regeneration number of the model and discuss the existence and stability of the equilibrium point. Then, the theoretical analysis was verified by means of numerical simulation, where we set different parameters to simulate the propagation process of rumors in both networks. Finally, based on the results of theoretical analysis and numerical analysis, some suggestions were put forward to control the spread of rumors.
- (1)
- During the progressive period of rumor propagation, the rumor-spreading rate had the greatest impact on rumor propagation. Under the influence of the hesitating mechanism, as increased, the influence of the hesitator-converting rate on the scale of rumor propagation first increased and then decreased;
- (2)
- The increase in hesitator-refuting rate and spreader-refuting rate both contributed to controlling the spread of rumors. During the intense period, it was more effective to refute spreaders than hesitators. The “rumor refutation” and reporting behavior of rumor debunkers helped reduce the spread of rumors. The greater the refuting rate and reporting rate , the better it was for controlling rumors;
- (3)
- With the increase in forgetting rate δ, the density of ignorant people when they reached the steady state became larger and larger. The density of the immunizers when they reached the steady state first increased and then decreased;
- (4)
- In the heterogeneous network, the propagation scale of rumors was smaller than that in the homogeneous network, and the density of all types of nodes reached its peak and equilibrium state earlier in the heterogeneous network than in the homogeneous network. The reason for these differences was that the hub nodes in heterogeneous networks accelerated the spread of rumor information.
By considering the actual situation, the research of this paper still had some limitations. On the one hand, the rapid development of the Internet makes the situation of rumor spreading more complicated, and the categories of individuals are more than the five categories proposed in this paper. There are also those who are able to recognize rumors and simply know the truth but do not spread rumors, and those who hold “minority” views and are silent because they are different from the views held by the majority. In addition, information is disseminated more quickly and efficiently, and the mechanisms of influence are more complex. Therefore, in future research, it is necessary to combine the characteristics of the network and users, refine the categories of users, and establish a more detailed and comprehensive rumor-spreading mechanism. On the other hand, the rumor propagation model established in this paper is a static model, in which the transition probabilities among individuals are all constants. In reality, the transition probabilities among individuals are determined by a variety of factors and are not constant. Therefore, combining the user’s personality, rumor content, and network communication characteristics to build a complex dynamic model will be the next step of research.
Author Contributions
Conceptualization, J.C.; methodology, J.C.; software, H.M.; validation, J.C., H.M. and S.Y.; formal analysis, H.M.; resources, J.C. and S.Y.; data curation, H.M.; writing—original draft preparation, H.M.; writing—review and editing, S.Y.; visualization, H.M.; supervision, S.Y.; project administration, S.Y. All authors have read and agreed to the published version of the manuscript.
Funding
This research was funded by the National Natural Science Foundation Project of China under Grant No. 52274163, and the Graduate Student Innovation Fund Project of Central South University, grant No. 2022ZZTS0594 and No. 2022ZZTS0489.
Institutional Review Board Statement
Not applicable.
Informed Consent Statement
Not applicable.
Data Availability Statement
Not applicable.
Acknowledgments
The authors would like to express thanks to the National Natural Science Foundation and Innovation Fund Project of Central South University.
Conflicts of Interest
The authors declare no conflict of interest.
References
- Zhu, G.H.; Jiang, G.P.; Xia, L.L. Rumor Spreading Model Considering Conformity Phenomena in Complex Social Networks. Comput. Sci. 2016, 43, 135–139, 143. [Google Scholar]
- Yu, Y.H. Research on Dynamic Behavior Analysis and Control of Complex Network System. Master’s Thesis, University of Electronic Science and Technology of China, Chengdu, China, 2015. [Google Scholar]
- Ran, M.J.; Liu, C.; Huang, X.Y.; Liu, X.; Yang, H.; Zhang, G. Rumor spread model considering difference of individual interest degree and refutation mechanism. J. Comput. Appl. 2018, 38, 3312–3318. [Google Scholar]
- Liu, W.P.; Liu, C.; Yang, Z.; Liu, X.; Zhang, Y.; Wei, Z. Modeling the propagation of mobile malware on complex networks. Commun. Nonlinear. Sci. Numer. Simulat. 2016, 37, 249–264. [Google Scholar] [CrossRef]
- Zhang, Z.-K.; Liu, C.; Zhan, X.-X.; Lu, X.; Zhang, C.-X.; Zhang, Y.-C. Dynamics of information diffusion and its applications on complex networks. Phys. Rep. 2016, 651, 1–34. [Google Scholar] [CrossRef]
- Chen, P. A Look Back at the Shuanghuanglian Incident, the Radical Media and the Anxious Public, Southeast University School of Law. Available online: https://law.seu.edu.cn/2020/0330/c9375a322486/pagem.htm (accessed on 30 March 2020).
- Kawachi, K.; Seki, M.; Yoshida, H.; Otake, Y.; Warashina, K.; Ueda, H. A rumor transmission model with various contact interactions. J. Theor. Biol. 2008, 253, 55–60. [Google Scholar] [CrossRef]
- Zhao, Y.Z.; Chen, Y.H. Propagation of rumors and their impact on group events. Soc. Sci. 2012, 184, 37–40. [Google Scholar]
- Liu, C.; Zhan, X.X.; Zhang, Z.K.; Sun, G.Q.; Hui, P.M. How events determine spreading patterns: Information transmission via internal and external influences on social networks. New J. Phys. 2015, 17, 113045. [Google Scholar] [CrossRef]
- Daley, D.J.; Kendall, D.G. Stochastic rumours. IMA J. Appl. Math. 1965, 1, 42–55. [Google Scholar] [CrossRef]
- Maki, D.P.; Maki, D.P.; Mali, D.P.; Thompson, M.; Thompson, M. Mathematical Models and Applications: With Emphasis on the Social, Life, and Management Sciences; Prentice Hall: Hoboken, NJ, USA, 1973. [Google Scholar]
- Gu, J.; Li, W.; Cai, X. The effect of the forget-remember mechanism on spreading. Eur. Phys. J. B 2008, 62, 247–255. [Google Scholar] [CrossRef][Green Version]
- Gu, J.; Cai, X. The Forget-Remember Mechanism for 2-State Spreading; Cornell University Library: Ithaca, NY, USA, 2007. [Google Scholar]
- Huo, L.A.; Huang, P.Q.; Guo, C.X. Analyzing the dynamics of a rumor transmission model with incubation. Discret. Dyn. Nat. Soc. 2012, 2012, 328151. [Google Scholar] [CrossRef]
- Huo, L.A.; Lin, T.T.; Fan, C.J.; Liu, C.; Zhao, J. Optimal control of a rumor propagation model with latent period in emergency event. Adv. Differ. Equ. 2015, 2015, 54. [Google Scholar] [CrossRef][Green Version]
- Zhao, L.J.; Wang, Q.; Cheng, J.J.; Wang, J.; Huang, W. Rumor spreading model with consideration of forgetting mechanism: A case of online blogging LiveJournal. Phys. A Stat. Mech. Its Appl. 2011, 390, 2619–2625. [Google Scholar] [CrossRef]
- Zhao, L.J.; Wang, J.J.; Chen, Y.C.; Wang, Q.; Cheng, J.; Cui, H. SIHR rumor spreading model in social networks. Phys. A Stat. Mech. Its Appl. 2012, 391, 2444–2453. [Google Scholar] [CrossRef]
- Zhao, L.J.; Qiu, X.Y.; Wang, X.L.; Wang, J. Rumor spreading model considering forgetting and remembering mechanisms in inhomogeneous networks. Phys. A Stat. Mech. Its Appl. 2013, 392, 987–994. [Google Scholar] [CrossRef]
- Zhao, L.J.; Xie, W.L.; Gao, H.O.; Qiu, X.; Wang, X.; Zhang, S. A rumor spreading model with variable forgetting rate. Phys. A Stat. Mech. Its Appl. 2013, 392, 6146–6154. [Google Scholar] [CrossRef]
- Wang, C.; Liu, C.Y.; Hu, Y.P.; Liu, Z.H.; Ma, J.F. Stability of information spreading over social network. Acta Phys. Sin. 2014, 63, 87–93. [Google Scholar] [CrossRef]
- Xia, L.L.; Jiang, G.P.; Song, B.; Song, Y.R. Rumor spreading model considering hesitating mechanism in complex social networks. Phys. A Stat. Mech. Its Appl. 2015, 437, 295–303. [Google Scholar] [CrossRef]
- Hu, Y.H.; Pan, Q.H.; Hou, W.B.; He, M. Rumor spreading model with the different attitudes towards rumors. Phys. A Stat. Mech. Its Appl. 2018, 502, 331–344. [Google Scholar] [CrossRef]
- Wang, Y.Q.; Yang, X.Y.; Han, Y.L.; Wang, X.A. Rumor spreading model with trust mechanism in complex social networks. Commun. Theor. Phys. 2013, 59, 510–516. [Google Scholar] [CrossRef]
- Zan, Y.L.; Wu, J.L.; Li, P.; Yu, Q. SICR rumor spreading model in complex networks: Counterattack and self-resistance. Phys. A Stat. Mech. Its Appl. 2014, 405, 159–170. [Google Scholar] [CrossRef]
- Huo, L.A.; Zhang, Y.Q. Effect of Global and Local Refutation Mechanism on Rumor Propagation in Heterogeneous Network. Mathematics 2022, 10, 586. [Google Scholar] [CrossRef]
- Yao, Y.; Xiao, X.; Zhang, C.P.; Dou, C.; Xia, S. Stability analysis of an SDILR model based on rumor recurrence on social media. Phys. A Stat. Mech. Its Appl. 2019, 535, 122236. [Google Scholar] [CrossRef]
- Zhang, W.; Deng, H.Y.; Li, X.M.; Liu, H. Dynamics of the Rumor-Spreading Model with Control Mechanism in Complex Network. Mathematics 2022, 202. [Google Scholar] [CrossRef]
- Wan, Y.P.; Zhang, D.G.; Ren, Q.H. Propagation and inhibition of online rumor with considering rumor elimination process. Acta Phys. Sin. 2015, 64, 240501. [Google Scholar] [CrossRef]
- Fan, C.J.; Li, J.T.; Huo, L.A.; Jiang, J.H. Impact model of authoritative media in process of rumor spreading. Appl. Res. Comput. 2016, 33, 3364–3368. [Google Scholar]
- Wang, X.L.; Zhao, L.J.; Wu, Z. Rumor propagation model with considering refutation mechanism in inhomogeneous networks. Syst. Eng. 2015, 33, 139–145. [Google Scholar]
- Qiu, X.Y. Research on Rumor Spreading Model and Control Strategies in Complex Networks. Ph.D. Thesis, Shanghai University, Shanghai, China, May 2016. [Google Scholar]
- Chen, J.H.; Chen, C.Q.; Song, Q.H.; Zhao, Y.; Deng, L.; Xie, R.; Yang, S. Spread Mechanism and Control Strategies of Rumor Propagation Model Considering Rumor Refutation and Information Feedback in Emergency Management. Symmetry 2021, 13, 1694. [Google Scholar] [CrossRef]
- Zhang, J.P.; Guo, H.M.; Jing, W.J.; Jin, Z. Dynamic analysis of rumor propagation model based on true information spreader. Acta Phys. Sin. 2019, 68, 193–204. [Google Scholar] [CrossRef]
- Zhu, L.H.; Li, L. Dynamic analysis of rumor-spread-delaying model based on rumor-refuting mechanism. Acta Phys. Sin. 2020, 69, 67–77. [Google Scholar] [CrossRef]
- Laarabi, H.; Abta, A.; Rachik, M.; Bouyaghroumni, J. Stability analysis of a delayed rumor propagation model. Differ. Equ. Dyn. Syst. 2016, 24, 407–415. [Google Scholar] [CrossRef]
- Wang, J.; Wang, Y.Q.; Li, M. Rumor spreading model with immunization strategy and delay time on homogeneous networks. Commun. Theor. Phys. 2017, 68, 803. [Google Scholar] [CrossRef]
- Zhu, L.H.; Guan, G. Dynamical analysis of a rumor spreading model with self-discrimination and time delay in complex networks. Phys. A Stat. Mech. Its Appl. 2019, 533, 121953. [Google Scholar] [CrossRef]
- Zhu, L.H.; Zhou, X.; Li, Y.M. Global dynamics analysis and control of a rumor spreading model in online social networks. Phys. A Stat. Mech. Its Appl. 2019, 526, 120903. [Google Scholar] [CrossRef]
- Li, C.R.; Ma, Z.J. Dynamics Analysis and Optimal Control for a Delayed Rumor-Spreading Model. Mathematics 2022, 10, 3455. [Google Scholar] [CrossRef]
- Pei, L.; Gao, Y.P.; Liu, X.L.; Song, S.Y. Rumor Propagation Model Considering Time Delay and Rumor Refutation Effect. J. Chin. Comput. Syst. 2022, 43, 144–151. [Google Scholar]
- Schimit, P.H.T.; Monteiro, L.H.A. On the basic reproduction number and the topological properties of the contact network: An epidemiological study in mainly locally connected cellular automata. Ecol. Modell. 2009, 220, 1034–1042. [Google Scholar] [CrossRef] [PubMed]
- Ruhomally, Y.B.; Mungur, M.; Khoodaruth, A.A.H.; Oree, V.; Dauhoo, M.Z. Assessing the Impact of Contact Tracing, Quarantine and Red Zone on the Dynamical Evolution of the COVID-19 Pandemic using the Cellular Automata Approach and the Resulting Mean Field System: A Case study in Mauritius. Appl. Math. Model. 2022, 111, 567–589. [Google Scholar] [CrossRef] [PubMed]
- Pittel, B. On a Daley-Kendall model of random rumours. J. Appl. Probab. 1990, 27, 14–27. [Google Scholar] [CrossRef]
- Newman, M.E.J.; Forrest, S.; Balthrop, J. Email networks and the spread of computer viruses. Phys. Rev. E 2002, 66, 035101. [Google Scholar] [CrossRef]
- Csanyi, G.; Szendroi, B. Structure of a large social network. Phys. Rev. E 2004, 69, 036131. [Google Scholar] [CrossRef]
- Wang, F.; Moreno, Y.; Sun, Y.R. Structure of peer-to-peer social networks. Phys. Rev. E 2006, 73, 036123. [Google Scholar] [CrossRef] [PubMed]
- Zanette, D.H. Critical behavior of propagation on small-world networks. Phys. Rev. E 2001, 64, 050901. [Google Scholar] [CrossRef] [PubMed]
- Zanette, D.H. Dynamics of rumor propagation on small-world networks. Phys. Rev. E 2002, 65, 041908. [Google Scholar] [CrossRef]
- Nekovee, M.; Moreno, Y.; Bianconi, G.; Marsili, M. Theory of rumour spreading in complex social networks. Phys. A Stat. Mech. Its Appl. 2007, 374, 457–470. [Google Scholar] [CrossRef]
- Zhou, J.; Liu, Z.H.; Li, B.W. Influence of network structure on rumor propagation. Phys. Lett. A 2007, 368, 458–463. [Google Scholar] [CrossRef]
- Sathe, S. Rumor Spreading in LiveJournal: Laboratory of Nonlinear Systems; Student projects; EPFL: Lausanne, Switzerland, 2008. [Google Scholar]
- Zhao, L.J.; Wang, X.L.; Wang, J.J.; Qiu, X.; Xie, W. Rumor-propagation model with consideration of refutation mechanism in homogeneous social networks. Discret. Dyn. Nat. Soc. 2014, 2014, 659273. [Google Scholar] [CrossRef]
- Zhao, L.J.; Wang, X.L.; Qiu, X.Y.; Wang, J. A model for the spread of rumors in Barrat–Barthelemy–Vespignani (BBV) networks. Phys. A Stat. Mech. Its Appl. 2013, 392, 5542–5551. [Google Scholar] [CrossRef]
- Wang, J.; Wang, Y.Q. SIR rumor spreading model with network medium in complex social networks. Chin. J. Phys. 2015, 53, 27–46. [Google Scholar] [CrossRef]
- Zhang, Y.H.; Zhu, J.J. Stability analysis of I2S2R rumor spreading model in complex networks. Phys. A Stat. Mech. Its Appl. 2018, 503, 862–881. [Google Scholar] [CrossRef]
- Li, J.X.; Hu, Y.P.; Jin, Z. Rumor spreading of an SIHR model in heterogeneous networks based on probability generating function. Complexity 2019, 2019, 4268393. [Google Scholar] [CrossRef]
- Huo, L.A.; Chen, S.J. Rumor propagation model with consideration of scientific knowledge level and social reinforcement in heterogeneous network. Phys. A Stat. Mech. Its Appl. 2020, 559, 125063. [Google Scholar] [CrossRef]
- Chen, X.L.; Wang, N. Rumor spreading model considering rumor credibility, correlation and crowd classification based on personality. Sci. Rep. 2020, 10, 5887. [Google Scholar] [CrossRef]
- Wang, Y.; Qing, F.; Chai, J.P.; Ni, Y.P. Spreading Dynamics of a 2SIH2R, Rumor Spreading Model in the Homogeneous Network. Complexity 2021, 2021, 6693334. [Google Scholar] [CrossRef]
- Van den Driessche, P.; Watmough, J. Reproduction numbers and sub-threshold endemic equilibria for compartmental models of disease transmission. Math. Biosci. 2002, 180, 29–48. [Google Scholar] [CrossRef] [PubMed]
- Diekmann, O.; Heesterbeek, J.A.P.; Metz, J.A.J. On the definition and the computation of the basic reproduction ratio R0 in models for infectious diseases in heterogeneous populations. J. Math. Biol. 1990, 28, 365–382. [Google Scholar] [CrossRef]
- Al-Darabsah, I.; Yuan, Y. A time-delayed epidemic model for Ebola disease transmission. Appl. Math. Comput. 2016, 290, 307–325. [Google Scholar] [CrossRef]
- Robinson, R.C. An Introduction to Dynamical Systems: Continuous and Discrete, 2nd ed.; American Mathematical Society: Providence, RI, USA, 2012. [Google Scholar]
- LaSalle, J.P. The Stability of Dynamical Systems; Society for Industrial and Applied Mathematics: Philadelphia, PA, USA, 1976. [Google Scholar]
- Watts, D.J.; Strogatz, S.H. Collective dynamics of ‘small-world’ networks. Nature 1998, 393, 440–442. [Google Scholar] [CrossRef]
- Barabasi, A.L.; Albert, R. Emergence of scaling in random networks. Science 1999, 286, 509–512. [Google Scholar] [CrossRef]
- Borge-Holthoefer, J.; Moreno, Y. Absence of influential spreaders in rumor dynamics. Phys. Rev. E 2012, 85, 026116. [Google Scholar] [CrossRef]
Disclaimer/Publisher’s Note: The statements, opinions and data contained in all publications are solely those of the individual author(s) and contributor(s) and not of MDPI and/or the editor(s). MDPI and/or the editor(s) disclaim responsibility for any injury to people or property resulting from any ideas, methods, instructions or products referred to in the content. |
© 2023 by the authors. Licensee MDPI, Basel, Switzerland. This article is an open access article distributed under the terms and conditions of the Creative Commons Attribution (CC BY) license (https://creativecommons.org/licenses/by/4.0/).