Parameter Estimation of Fractional Wiener Systems with the Application of Photovoltaic Cell Models
Abstract
:1. Introduction
- For the fractional nonlinear Wiener systems with colored noise, by applying the gradient search method and introducing the forgetting factor, a forgetting factor stochastic gradient algorithm is derived, which has a higher convergence rate than the stochastic gradient algorithm.
- Based on the multi-innovation identification theory, a multi-innovation forgetting factor stochastic gradient algorithm is proposed to estimate the parameters, and the accuracy of parameter estimation is improved.
- The ability of the proposed algorithms to estimate the parameters is verified with a numerical example, and they are applied to a fractional model of photovoltaic cells. The results are obtained through the process of parameter variation and the fitting of the model outputs.
2. System Description and Identification Model
3. The Forgetting Factor Stochastic Gradient Algorithm
| Algorithm 1 The pseudo-code for implementing the FFSG algorithm. |
|
4. The Multi-Innovation Forgetting Factor Stochastic Gradient Algorithm
| Algorithm 2 The pseudo-code for implementing the MI-FFSG algorithm. |
|
5. Simulation Examples
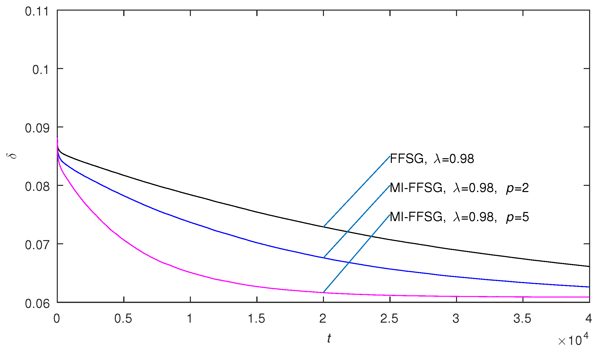
- Figure 2 and Table 1 show that the parameter estimation errors of these three methods decay when t is increased. The parameter estimation accuracy of the FFSG algorithm increases as decreases, and the MI-FFSG algorithm has a faster convergence rate and can perform more accurate parameter estimation.
- From Figure 3, it can be seen that the parameter estimates of the MI-FFSG algorithm gradually approach their true values as t increases.
- As shown in Figure 4, the predicted outputs of the MI-FFSG algorithm are close to the actual outputs, which shows that the estimates model can reflect the output characteristics of the system.

- As Figure 6, Figure 7, Figure 9, and Figure 10 and Table 4, Table 5, Table 6 and Table 7 show, the estimated values will converge to the true parameters with the increase in t, which illustrates the effectiveness of the FFSG algorithm and the MI-FFSG algorithm for the parameter estimation of the FOM.
- The MI-FFSG algorithm has a higher parameter estimation accuracy than the FFSG algorithm for the FOM.
- The parameter estimates of the MI-FFSG algorithm converge to the true values with different convergence rates; this can be seen in Figure 11.
6. Conclusions
Author Contributions
Funding
Data Availability Statement
Conflicts of Interest
References
- Ji, Y.; Jiang, A.N. Filtering-based accelerated estimation approach for generalized time-varying systems with disturbances and colored noises. IEEE Trans. Circuits Syst. II Express Briefs. 2023, 70, 206–210. [Google Scholar] [CrossRef]
- Ding, F.; Liu, X.M.; Chen, H.B.; Yao, G.Y. Hierarchical gradient based and hierarchical least squares based iterative parameter identification for CARARMA systems. Signal Process. 2014, 97, 31–39. [Google Scholar] [CrossRef]
- Xu, L. Parameter estimation for nonlinear functions related to system responses. Int. J. Control Autom. Syst. 2023, 21, 1780–1792. [Google Scholar] [CrossRef]
- Xu, L. Separable Newton recursive estimation method through system responses based on dynamically discrete measurements with increasing data length. Int. J. Control Autom. Syst. 2022, 20, 432–443. [Google Scholar] [CrossRef]
- Ding, F.; Chen, T. Combined parameter and output estimation of dual-rate systems using an auxiliary model. Automatica 2004, 40, 1739–1748. [Google Scholar] [CrossRef]
- Ding, F.; Chen, T. Parameter estimation of dual-rate stochastic systems by using an output error method. IEEE Trans. Autom. Control 2005, 50, 1436–1441. [Google Scholar] [CrossRef]
- Xu, L. Separable multi-innovation Newton iterative modeling algorithm for multi-frequency signals based on the sliding measurement window. Circuits Syst. Signal Process. 2022, 41, 805–830. [Google Scholar] [CrossRef]
- Ding, F. Least squares parameter estimation and multi-innovation least squares methods for linear fitting problems from noisy data. J. Comput. Appl. Math. 2023, 426, 115107. [Google Scholar] [CrossRef]
- Fan, Y.M.; Liu, X.M. Auxiliary model-based multi-innovation recursive identification algorithms for an input nonlinear controlled autoregressive moving average system with variable-gain nonlinearity. Int. J. Adapt. Control Signal Process. 2022, 36, 521–540. [Google Scholar] [CrossRef]
- Ji, Y.; Zhang, C.; Kang, Z.; Yu, T. Parameter estimation for block-oriented nonlinear systems using the key term separation. Int. J. Robust Nonlinear Control 2020, 30, 3727–3752. [Google Scholar] [CrossRef]
- Fan, Y.; Liu, X. Two-stage auxiliary model gradient-based iterative algorithm for the input nonlinear controlled autoregressive system with variable-gain nonlinearity. Int. J. Robust Nonlinear Control 2020, 30, 5492–5509. [Google Scholar] [CrossRef]
- Liu, X.; Fan, Y. Maximum likelihood extended gradient-based estimation algorithms for the input nonlinear controlled autoregressive moving average system with variable-gain nonlinearity. Int. J. Robust Nonlinear Control 2021, 31, 4017–4036. [Google Scholar] [CrossRef]
- Ding, F.; Chen, T.; Iwai, Z. Adaptive digital control of Hammerstein nonlinear systems with limited output sampling. SIAM J. Control Optim. 2007, 45, 2257–2276. [Google Scholar] [CrossRef]
- Wang, J.; Ji, Y.; Zhang, C. Iterative parameter and order identification for fractional-order nonlinear finite impulse response systems using the key term separation. Int. J. Adapt. Control Signal Process. 2021, 35, 1562–1577. [Google Scholar] [CrossRef]
- Wang, J.; Ji, Y.; Zhang, X. Two-stage gradient-based iterative algorithms for the fractional-order nonlinear systems by using the hierarchical identification principle. Int. J. Adapt. Control Signal Process. 2022, 36, 1778–1796. [Google Scholar] [CrossRef]
- Oblak, S.; Sˇkrjanc, I. Continuous-time Wiener-model predictive control of a pH process based on a PWL approximation. Chem. Eng. Sci. 2009, 65, 1720–1728. [Google Scholar] [CrossRef]
- Veen, G.; Wingerden, J.W.; Verhaegen, M. Global identification of wind turbines using a Hammerstein identification method. IEEE Trans. Control Syst. Technol. 2013, 21, 1471–1478. [Google Scholar] [CrossRef]
- Silva, M.M.; Wigren, T.; Mendon, T. Nonlinear identification of a minimal neuromuscular blockade model in anesthesia. IEEE Trans. Control Syst. Technol. 2012, 20, 181–188. [Google Scholar] [CrossRef]
- Li, J.H.; Zheng, W.; Gu, J.P.; Hua, L. A recursive identification algorithm for Wiener nonlinear systems with linear state-space subsystem. Circuits Syst. Signal Process. 2018, 37, 2374–2393. [Google Scholar] [CrossRef]
- Wang, X.H.; Zhu, F. The modified extended Kalman filter based recursive estimation for Wiener nonlinear systems with process noise and measurement noise. Int. J. Adapt. Control Signal Process. 2020, 34, 1321–1340. [Google Scholar] [CrossRef]
- Ding, F.; Ma, H.; Pan, J.; Yang, E.F. Hierarchical gradient-and least squares-based iterative algorithms for input nonlinear output-error systems using the key term separation. J. Frankl. Inst. 2021, 358, 5113–5135. [Google Scholar] [CrossRef]
- Sersour, L.; Djamah, T.; Bettayeb, M. Fractional Wiener system identification using heuristic optimization technique based on key term principle. IFAC PapersOnLine 2019, 52, 189–193. [Google Scholar] [CrossRef]
- Wang, J.C.; Wei, Y.H.; Liu, T.Y.; Li, A.; Wang, Y. Fully parametric identification for continuous time fractional order Hammerstein systems. J. Frankl. Inst. 2020, 357, 651–666. [Google Scholar] [CrossRef]
- Hu, C.; Ji, Y.; Ma, C.Q. Joint two-stage multi-innovation recursive least squares parameter and fractional-order estimation algorithm for the fractional-order input nonlinear output-error autoregressive model. Int. J. Adapt. Control Signal Process. 2023, 37. [Google Scholar] [CrossRef]
- Zhang, X.; Ding, F. Optimal adaptive filtering algorithm by using the fractional-order derivative. IEEE Signal Process. Lett. 2022, 29, 399–403. [Google Scholar] [CrossRef]
- Hammar, K.; Djamah, T.; Bettayeb, M. Nonlinear system identification using fractional Hammerstein-Wiener models. Nonlinear Dyn. 2019, 98, 2327–2338. [Google Scholar] [CrossRef]
- Ivanov, D.V.; Katsyuba, O.A.; Dubinin, A.E. Identification of models of long lines on the basis of adaptive filters with fractional-order differences. Russ. Electr. Eng. 2017, 88, 120–122. [Google Scholar] [CrossRef]
- Xu, L.; Ding, F.; Yang, E.F. Auxiliary model multiinnovation stochastic gradient parameter estimation methods for nonlinear sandwich systems. Int. J. Robust Nonlinear Control 2021, 31, 148–165. [Google Scholar] [CrossRef]
- Ji, Y.; Kang, Z. Three-stage forgetting factor stochastic gradient parameter methods for a class of nonlinear systems. Int. J. Robust Nonlinear Control 2021, 31, 971–987. [Google Scholar] [CrossRef]
- Ji, Y.; Kang, Z.; Zhang, C. Two-stage gradient-based recursive estimation for nonlinear models by using the data filtering. Int. J. Control Autom. Syst. 2021, 19, 2706–2715. [Google Scholar] [CrossRef]
- Xu, H.; Champagne, B. Joint parameter and time-delay estimation for a class of nonlinear time-series models. IEEE Signal Process. Lett. 2022, 29, 947–951. [Google Scholar] [CrossRef]
- Gu, Y.; Zhu, Q.; Nouri, H. Identification and U-control of a state-space system with time-delay. Int. J. Adapt. Control Signal Process. 2022, 36, 138–154. [Google Scholar] [CrossRef]
- Xu, L.; Zhu, Q.M. Decomposition strategy-based hierarchical least mean square algorithm for control systems from the impulse responses. Int. J. Syst. Sci. 2021, 52, 1806–1821. [Google Scholar] [CrossRef]
- Ma, P.; Wang, L. Filtering-based recursive least squares estimation approaches for multivariate equation-error systems by using the multiinnovation theory. Int. J. Adapt. Control Signal Process. 2021, 35, 1898–1915. [Google Scholar] [CrossRef]
- Ding, F.; Liu, Y.J.; Bao, B. Gradient based and least squares based iterative estimation algorithms for multi-input multi-output systems. Proc. Inst. Mech. Eng. Part I J. Syst. Control. Eng. 2012, 226, 43–55. [Google Scholar] [CrossRef]
- Li, M.; Liu, X. Particle filtering-based iterative identification methods for a class of nonlinear systems with interval-varying measurements. Int. J. Control Autom. Syst. 2022, 20, 2239–2248. [Google Scholar] [CrossRef]
- Wan, L.J. Decomposition- and gradient-based iterative identification algorithms for multivariable systems using the multi-innovation theory. Circuits Syst. Signal Process. 2019, 38, 2971–2991. [Google Scholar] [CrossRef]
- Li, M.H.; Liu, X.M. Iterative identification methods for a class of bilinear systems by using the particle filtering technique. Int. J. Adapt. Control Signal Process. 2021, 35, 2056–2074. [Google Scholar] [CrossRef]
- Li, M.H.; Liu, X.M. The filtering-based maximum likelihood iterative estimation algorithms for a special class of nonlinear systems with autoregressive moving average noise using the hierarchical identification principle. Int. J. Adapt. Control Signal Process. 2019, 33, 1189–1211. [Google Scholar] [CrossRef]
- Geng, F.Z.; Wu, X.Y. Reproducing kernel-based piecewise methods for efficiently solving oscillatory systems of second-order initial value problems. Calcolo. 2023, 60, 20. [Google Scholar] [CrossRef]
- Zhou, Y.H.; Zhang, X. Partially-coupled nonlinear parameter optimization algorithm for a class of multivariate hybrid models. Appl. Math. Comput. 2022, 414, 126663. [Google Scholar] [CrossRef]
- Pan, J.; Liu, S.D.; Shu, J.; Wan, X.K. Hierarchical recursive least squares estimation algorithm for secondorder Volterra nonlinear systems. Int. J. Control Autom. Syst. 2022, 20, 3940–3950. [Google Scholar] [CrossRef]
- Pan, J.; Liu, Y.Q.; Shu, J. Gradient-based parameter estimation for an exponential nonlinear autoregressive time-series model by using the multi-innovation. Int. J. Control Autom. Syst. 2023, 21, 140–150. [Google Scholar] [CrossRef]
- Pan, J.; Zhang, H.; Guo, H.; Liu, S.; Liu, Y. Multivariable CAR-like system identification with multi-innovation gradient and least squares algorithms. Int. J. Control Autom. Syst. 2023, 21, 1455–1464. [Google Scholar] [CrossRef]
- Zhou, Y.; Zhang, X. Hierarchical estimation approach for RBF-AR models with regression weights based on the increasing data length. IEEE Trans. Circuits Syst. II Express Briefs 2021, 68, 3597–3601. [Google Scholar] [CrossRef]
- Pan, J.; Shao, B.; Xiang, J.X.; Zhang, Q. Attitude control of quadrotor UAVs based on adaptive sliding mode. Int. J. Control Autom. Syst. 2023, 21. [Google Scholar] [CrossRef]
- Xiong, J.; Pan, J.; Chen, G. Sliding mode dual-channel disturbance rejection attitude control for a quadrotor. IEEE Trans. Ind. Electron. 2022, 69, 10489–10499. [Google Scholar] [CrossRef]
- Zhou, Y. Modeling nonlinear processes using the radial basis function-based state-dependent autoregressive models. IEEE Signal Process. Lett. 2020, 27, 1600–1604. [Google Scholar] [CrossRef]
- Ding, J.; Zhang, W. Finite-time adaptive control for nonlinear systems with uncertain parameters based on the command filters. Int. J. Adapt. Control Signal Process. 2021, 35, 1754–1767. [Google Scholar] [CrossRef]
- Li, J.M.; Ding, F. Synchronous optimization schemes for dynamic systems through the kernel-based nonlinear observer canonical form. IEEE Trans. Instrum. Meas. 2022, 71, 3210952. [Google Scholar] [CrossRef]
- Pan, J.; Chen, Q.; Xiong, J. A novel quadruple boost nine level switched capacitor inverter. J. Electr. Eng. Technol. 2023, 18, 467–480. [Google Scholar] [CrossRef]
- Su, S.; Wang, X.; Cao, Y.; Yin, J. An energy-efficient train operation approach by integrating the metro timetabling and eco-driving. IEEE Trans. Intell. Transp. Syst. 2020, 21, 4252–4268. [Google Scholar] [CrossRef]
- Cao, Y.; Wang, Z.; Liu, F. Bio-inspired speed curve optimization and sliding mode tracking control for subway trains. IEEE Trans. Veh. Technol. 2019, 68, 331–6342. [Google Scholar] [CrossRef]
- Cao, Y.; Sun, Y.; Xie, G. Fault diagnosis of train plug door based on a hybrid criterion for IMFs selection and fractional wavelet package energy entropy. IEEE Trans. Veh. Technol. 2019, 68, 7544–7551. [Google Scholar] [CrossRef]
- Cao, Y.; Ma, L.C.; Xiao, S.; Zhang, X.; Xu, W. Standard analysis for transfer delay in CTCS-3. Chin. J. Electron. 2017, 26, 1057–1063. [Google Scholar] [CrossRef]
- Su, S.; She, J.; Li, K. A nonlinear safety equilibrium spacing based model predictive control for virtually coupled train set over gradient terrains. IEEE Trans. Transp. Electr. 2022, 8, 2810–2824. [Google Scholar] [CrossRef]
- Su, S.; Tang, T.; Xun, J. Design of running grades for energy-efficient train regulation: A case study for beijing yizhuang line. IEEE Intell. Transp. Syst. Mag. 2021, 13, 189–200. [Google Scholar] [CrossRef]
- Ding, J.; Liu, G. Hierarchical least squares identification for linear SISO systems with dual-rate sampled-data. IEEE Trans. Autom. Control 2011, 56, 2677–2683. [Google Scholar] [CrossRef]
- Zhao, S.Y.; Shmaliy, Y.S.; Liu, F. Batch optimal FIR smoothing: Increasing state informativity in nonwhite measurement noise environments. IEEE Trans. Ind. Inf. 2023, 19, 6993–7001. [Google Scholar] [CrossRef]
- Zhao, S.Y.; Li, K.; Ahn, C.K.; Huang, B.; Liu, F. Tuning-free Bayesian estimation algorithms for faulty sensor signals in state-space. IEEE Trans. Ind. Electron. 2023, 70, 921–929. [Google Scholar] [CrossRef]
- Xu, L. Separable synchronous multi-innovation gradient-based iterative signal modeling from on-line measurements. IEEE Trans. Instrum. Meas. 2022, 71, 6501313. [Google Scholar] [CrossRef]
- Zhao, S.Y.; Wang, J.F.; Shmaliy, Y.S.; Liu, F. Discrete time q-lag maximum likelihood FIR smoothing and iterative recursive algorithm. IEEE Trans. Signal Process. 2021, 69, 6342–6354. [Google Scholar] [CrossRef]
- Zhang, T.Y.; Zhao, S.Y.; Luan, X.L.; Liu, F. Bayesian inference for state-space models with Student-t mixture distributions. IEEE Trans. Cybern. 2023, 53, 4435–4445. [Google Scholar] [CrossRef] [PubMed]
- Zhao, S.Y.; Huang, B.; Zhao, C.H. Online probabilistic estimation of sensor faulty signal in industrial processes and its applications. IEEE Trans. Ind. Electron. 2021, 68, 8858–8862. [Google Scholar] [CrossRef]
- Ding, F.; Liu, X.; Ma, X. Kalman state filtering based least squares iterative parameter estimation for observer canonical state space systems using decomposition. J. Comput. Appl. Math. 2016, 301, 135–143. [Google Scholar] [CrossRef]
- Zheng, Y.Q.; Ding, J.; Liu, F.; Wang, D.Q. Adaptive neural decision tree for EEG based emotion recognition. Inf Sci. 2023, 643, 119160. [Google Scholar] [CrossRef]
- Li, Y.X.; Wang, D.Q.; Liu, F. The auto-correlation function aided sparse support matrix machine for EEG-based fatigue detection. IEEE Trans. Circuits Syst. II Express Briefs. 2023, 70, 836–840. [Google Scholar] [CrossRef]
- Xu, L.; Chen, F.Y.; Hayat, T. Hierarchical recursive signal modeling for multi-frequency signals based on discrete measured data. Int. J. Adapt. Control Signal Process. 2021, 35, 676–693. [Google Scholar] [CrossRef]
- Wang, D.Q.; Yang, Y.; Gu, T.Y. A hierarchical adaptive extended Kalman filter algorithm for lithium-ion battery state of charge estimation. J. Energy Storage 2023, 62, 106831. [Google Scholar] [CrossRef]
- Jiao, M.; Wang, D.Q. The Savitzky-Golay filter based bidirectional long short-term memory network for SOC estimation. Int. J. Energy Resear. 2021, 45, 19467–19480. [Google Scholar] [CrossRef]
- Zhao, S.Y.; Shmaliy, Y.S.; Andrade-Lucio, J.A.; Liu, F. Multipass optimal FIR filtering for processes with unknown initial states and temporary mismatches. IEEE Trans. Ind. Inf. 2021, 17, 5360–5368. [Google Scholar] [CrossRef]
- Zhao, S.Y.; Shmaliy, Y.S.; Ahn, C.K.; Liu, F. Self-tuning unbiased finite impulse response filtering algorithm for processes with unknown measurement noise covariance. IEEE Trans. Control Syst. Technol. 2021, 29, 1372–1379. [Google Scholar] [CrossRef]
- Liu, W.T.; Xiong, W.L. Robust gradient estimation algorithm for a stochastic system with colored noise. Int. J. Control Autom. Syst. 2023, 21, 553–562. [Google Scholar] [CrossRef]
- Liu, W.T.; Xiong, W.L. Auxiliary model-based continuous mixed p-norm algorithm for output error moving average systems using the multi-innovation optimization. Int. J. Control Autom. Syst. 2024, 22. [Google Scholar]
- Ding, F.; Xu, L.; Zhang, X.; Zhou, Y.H. Filtered auxiliary model recursive generalized extended parameter estimation methods for Box-Jenkins systems by means of the filtering identification idea. Int. J. Robust Nonlinear Control. 2023, 33, 5510–5535. [Google Scholar] [CrossRef]
- Zhao, S.Y.; Huang, B. Trial-and-error or avoiding a guess? Initialization of the Kalman filter. Automatica 2020, 121, 109184. [Google Scholar] [CrossRef]
- Zhao, S.Y.; Shmaliy, Y.S.; Ahn, C.K.; Luo, L.J. An improved iterative FIR state estimator and its applications. IEEE Trans. Ind. Inf. 2020, 16, 1003–1012. [Google Scholar] [CrossRef]
- Xu, L. Separable synthesis estimation methods and convergence analysis for multivariable systems. J. Comput. Appl. Math. 2023, 427, 115104. [Google Scholar] [CrossRef]
- Zhao, S.Y. Probabilistic monitoring of correlated sensors for nonlinear processes in state space. IEEE Trans. Ind. Electron. 2020, 67, 2294–2303. [Google Scholar] [CrossRef]
- Li, J. Fitting nonlinear signal models using the increasing-data criterion. IEEE Signal Process. Lett. 2022, 29, 1302–1306. [Google Scholar] [CrossRef]
- Li, M.H. Maximum likelihood hierarchical least squares-based iterative identification for dual-rate stochastic systems. Int. J. Adapt. Control Signal Process. 2021, 35, 240–261. [Google Scholar] [CrossRef]
- Abbassi, R.; Abbassi, A.; Jemli, M.; Chebbi, S. Identification of unknown parameters of solar cell models: A comprehensive overview of available approaches. Renew. Sustain. Energy Rev. 2018, 90, 453–474. [Google Scholar] [CrossRef]
- Yousri, D.; Allam, D.; Eteiba, M.B.; Suganthanb, P.N. Static and dynamic photovoltaic models’ parameters identification using Chaotic Heterogeneous Comprehensive Learning Particle Swarm Optimizer variants. Energy Convers. Manag. 2019, 182, 546–563. [Google Scholar] [CrossRef]
- Wang, Y.J.; Tang, S.H.; Deng, M.Q. Modeling nonlinear systems using the tensor network B-spline and the multi-innovation identification theory. Int. J. Robust Nonlinear Control 2022, 32, 7304–7318. [Google Scholar] [CrossRef]
- Ding, F.; Shi, Y.; Chen, T. Performance analysis of estimation algorithms of non-stationary ARMA processes. IEEE Trans. Signal Process. 2006, 54, 1041–1053. [Google Scholar] [CrossRef]
- Wang, Y.J.; Tang, S.H.; Gu, X.B. Parameter estimation for nonlinear Volterra systems by using the multi-innovation identification theory and tensor decomposition. J. Franklin Inst. 2022, 359, 1782–1802. [Google Scholar] [CrossRef]
- Wang, Y.J.; Yang, L. An efficient recursive identification algorithm for multilinear systems based on tensor decomposition. Int. J. Robust Nonlinear Control 2021, 31, 7920–7936. [Google Scholar] [CrossRef]
- Li, J.M.; Ding, F.; Hayat, T. A novel nonlinear optimization method for fitting a noisy Gaussian activation function. Int. J. Adapt. Control Signal Process. 2022, 36, 690–707. [Google Scholar] [CrossRef]
- Kang, Z.; Ji, Y.; Liu, X.M. Hierarchical recursive least squares algorithms for Hammerstein nonlinear autoregressive output-error systems. Int. J. Adapt. Control Signal Process. 2021, 35, 2276–2295. [Google Scholar] [CrossRef]
- Cao, Y.; An, Y.; Su, S.; Xie, G.; Sun, Y. A statistical study of railway safety in China and Japan 1990–2020. Accidt. Anal. Prevent. 2002, 175, 106764. [Google Scholar] [CrossRef]
- Cao, Y.; Yang, R.; Ma, L.; Wen, J. Research on virtual coupled train control method based on GPC & VAPF. Chinese J. Electron. 2022, 31, 897–905. [Google Scholar]
- Sun, Y.; Cao, Y.; Li, P. Contactless fault diagnosis for railway point machines based on multi-scale fractional wavelet packet energy entropy and synchronous optimization strategy. IEEE Trans. Veh. Technol. 2022, 71, 5906–5914. [Google Scholar] [CrossRef]
- Cao, Y.; Ji, Y.; Sun, Y.; Su, S. The fault diagnosis of a switch machine based on deep random forest fusion. IEEE Intell. Transp. Syst. Mag. 2023, 15, 437–452. [Google Scholar] [CrossRef]
- Wang, X.; Su, S.; Cao, Y.; Wang, X.L. Robust control for dynamic train regulation in fully automatic operation system under uncertain wireless transmissions. IEEE Trans. Intell. Transp. Syst. 2022, 23, 20721–20734. [Google Scholar] [CrossRef]
- Cao, Y.; Zhang, Z.; Cheng, F.; Su, S. Trajectory optimization for high-speed trains via a mixed integer linear programming approach. IEEE Trans. Intell. Transp. Syst. 2022, 23, 17666–17676. [Google Scholar] [CrossRef]
- Cao, Y.; Sun, Y.; Xie, G. A sound-based fault diagnosis method for railway point machines based on two-stage feature selection strategy and ensemble classifier. IEEE Trans. Intell. Transp. Syst. 2022, 23, 12074–12083. [Google Scholar] [CrossRef]
- Cao, Y.; Wen, J.; Hobiny, A. Parameter-varying artificial potential field control of virtual coupling system with nonlinear dynamics. Fractals 2022, 30, 2240099. [Google Scholar] [CrossRef]
- Cao, Y.; Wen, J.; Ma, L. Tracking and collision avoidance of virtual coupling train control system. Alex. Eng. J. 2021, 60, 2115–2125. [Google Scholar] [CrossRef]
- Sun, Y.; Cao, Y.; Ma, L. A fault diagnosis method for train plug doors via sound signals. IEEE Intell. Transp. Syst. Mag. 2021, 13, 107–117. [Google Scholar] [CrossRef]
- Sun, Y.; Cao, Y.; Xie, G.; Wen, T. Sound based fault diagnosis for RPMs based on multi-scale fractional permutation entropy and two-scale algorithm. IEEE Trans. Veh. Technol. 2021, 70, 11184–11192. [Google Scholar] [CrossRef]











| t | ||||||||
|---|---|---|---|---|---|---|---|---|
| SG | 5 | −0.79197 | −0.20372 | 0.24820 | 0.22446 | −0.45337 | 0.58542 | 45.57930 |
| 10 | −0.66692 | −0.27068 | 0.25422 | 0.23299 | −0.59555 | 0.55514 | 28.67874 | |
| 50 | −0.57926 | −0.25043 | 0.25813 | 0.23730 | −0.67221 | 0.49868 | 17.69470 | |
| 100 | −0.54557 | −0.25195 | 0.25839 | 0.23756 | −0.69244 | 0.50039 | 14.28345 | |
| 400 | −0.52051 | −0.24888 | 0.25846 | 0.23763 | −0.70704 | 0.50413 | 11.76147 | |
| FFSG = 0.9 | 5 | −0.78798 | −0.20820 | 0.24882 | 0.22513 | −0.45999 | 0.58565 | 44.90559 |
| 10 | −0.66462 | −0.27438 | 0.25492 | 0.23384 | −0.60189 | 0.55542 | 28.21456 | |
| 50 | −0.57089 | −0.25360 | 0.25910 | 0.23843 | −0.68478 | 0.48936 | 16.47133 | |
| 100 | −0.53013 | −0.25472 | 0.25944 | 0.23878 | −0.70966 | 0.48852 | 12.33969 | |
| 400 | −0.48467 | −0.24700 | 0.25955 | 0.23889 | −0.73630 | 0.49825 | 7.70894 | |
| FFSG = 0.8 | 5 | −0.78462 | −0.21196 | 0.24935 | 0.22570 | −0.46555 | 0.58586 | 44.34192 |
| 10 | −0.66272 | −0.27746 | 0.25551 | 0.23456 | −0.60723 | 0.55567 | 27.83422 | |
| 50 | −0.56379 | −0.25627 | 0.25993 | 0.23940 | −0.69568 | 0.47999 | 15.49219 | |
| 100 | −0.51643 | −0.25689 | 0.26035 | 0.23983 | −0.72515 | 0.47508 | 10.78248 | |
| 400 | −0.44504 | −0.24189 | 0.26052 | 0.24000 | −0.76782 | 0.48792 | 3.63496 | |
| MI-FFSG = 0.8 p = 3 | 5 | −0.78327 | −0.21347 | 0.24956 | 0.22593 | −0.46779 | 0.58595 | 44.11592 |
| 10 | −0.66196 | −0.27870 | 0.25575 | 0.23484 | −0.60937 | 0.55577 | 27.68385 | |
| 50 | −0.44163 | −0.24069 | 0.26104 | 0.24059 | −0.77687 | 0.50698 | 2.75356 | |
| 100 | −0.45951 | −0.23909 | 0.26103 | 0.24059 | −0.76709 | 0.47331 | 4.78808 | |
| 400 | −0.43065 | −0.23750 | 0.26104 | 0.24059 | −0.78265 | 0.50327 | 1.96427 | |
| True values | 0 | −0.43000 | −0.23000 | 0.26000 | 0.23000 | −0.80000 | 0.50000 |
| Nomenclature | |||
|---|---|---|---|
| I | Current(A) | T | Cell absolute temperature in Kelvin(K) |
| V | Voltage(V) | Load current | |
| Photo-generated current(A) | Voltage(V) | ||
| Diode saturation current(A) | Capacitance in fractional-order dynamic PV model | ||
| Series resistance() | Inductance in fractional-order dynamic PV model | ||
| Shunt resistance() | Conductance | ||
| a | Ideality factor | Load | |
| q | Electronic charge (C) | Derivative order | |
| k | Boltzmann’s constant ( J/K) | Derivative order |
| Parameters | |||||
|---|---|---|---|---|---|
| Lower bound | 0 | 20 × | 5 × 10 | 0.8 | 0.8 |
| Upper bound | 20 | 600 × | 100 × 10 | 1.1 | 1.1 |
| t | ||||||||
|---|---|---|---|---|---|---|---|---|
| FFSG = 0.98 | 1000 | 27.73007 | 103.44403 | −38.33561 | −21.47973 | 59.84995 | 73.51337 | 8.48226 |
| 5000 | 28.12977 | 103.08827 | −38.49831 | −21.64242 | 60.08411 | 73.46766 | 8.17223 | |
| 10,000 | 28.59150 | 102.70654 | −38.69387 | −21.83799 | 60.32436 | 73.39486 | 7.83989 | |
| 40,000 | 30.61691 | 100.95427 | −39.53888 | −22.68300 | 61.45685 | 73.12375 | 6.61330 | |
| MI-FFSG = 0.98 p = 2 | 1000 | 27.95533 | 103.19742 | −38.38189 | −21.52600 | 60.03447 | 73.54458 | 8.30109 |
| 5000 | 28.61277 | 102.64491 | −38.65274 | −21.79685 | 60.38623 | 73.45144 | 7.82317 | |
| 10,000 | 29.30285 | 102.08130 | −38.93634 | −22.08046 | 60.73911 | 73.34645 | 7.36869 | |
| 40,000 | 31.56301 | 100.17532 | −39.83806 | −22.98218 | 61.95609 | 73.05467 | 6.26271 | |
| MI-FFSG = 0.98 p = 5 | 1000 | 28.31188 | 102.85354 | −38.52594 | −21.67005 | 60.26919 | 73.51818 | 8.02035 |
| 5000 | 29.77645 | 101.63543 | −39.12073 | −22.26484 | 61.04057 | 73.31181 | 7.06763 | |
| 10,000 | 30.90760 | 100.72173 | −39.56546 | −22.70957 | 61.61034 | 73.15148 | 6.51056 | |
| 40,000 | 32.45926 | 99.54640 | −40.05098 | −23.19510 | 62.32073 | 72.99922 | 6.08998 | |
| True values | 0 | 30.85833 | 94.30000 | −38.33333 | −22.24483 | 61.71667 | 66.66667 |
| t | ||||||
|---|---|---|---|---|---|---|
| FFSG | 1000 | 13.80726 | 6.30246 × | 4.65655 × | 7.95159 | |
| 5000 | 13.97132 | 6.32917 × | 4.73829 × | 6.85789 | ||
| 10,000 | 14.14278 | 6.35613 × | 4.82438 × | 5.71482 | ||
| 40,000 | 14.66287 | 6.45046 × | 5.09442 × | 2.24752 | ||
| MI-FFSG | 1000 | 13.74761 | 6.29235 × | 4.63327 × | 8.34929 | |
| 5000 | 13.84449 | 6.31015 × | 4.68173 × | 7.70342 | ||
| 10,000 | 13.95887 | 6.32894 × | 4.73963 × | 6.94089 | ||
| 40,000 | 14.41633 | 6.42001 × | 4.98186 × | 3.89113 | ||
| MI-FFSG | 1000 | 13.88648 | 6.32057 × | 4.69757 × | 7.42345 | |
| 5000 | 14.24583 | 6.37917 × | 4.87814 × | 5.02778 | ||
| 10,000 | 14.52039 | 6.42192 × | 5.01662 × | 3.19740 | ||
| 40,000 | 14.94844 | 6.46112 × | 5.20842 × | 0.34370 | ||
| True values | 0 | 15.00000 | 7.00000 × | 5.00000 × | ||
| t | ||||||||
|---|---|---|---|---|---|---|---|---|
| 100 | 6.24364 | 21.83487 | −18.09445 | −3.59900 | 13.19202 | 29.42921 | 8.35927 | |
| FFSG | 500 | 6.32221 | 21.56446 | −18.21295 | −3.68999 | 13.28928 | 29.41486 | 7.91340 |
| = 0.9 | 1000 | 6.44177 | 21.28386 | −18.37800 | −3.82370 | 13.36712 | 29.36396 | 7.43774 |
| 2000 | 6.68282 | 20.78817 | −18.70398 | −4.09114 | 13.48436 | 29.24313 | 6.78030 | |
| MI-FFSG = 0.9 p = 2 | 100 | 6.31471 | 21.58154 | −18.19775 | −3.67454 | 13.28329 | 29.38524 | 7.88031 |
| 500 | 6.42190 | 21.17513 | −18.36667 | −3.80086 | 13.43134 | 29.36882 | 7.32723 | |
| 1000 | 6.56893 | 20.78416 | −18.57960 | −3.96828 | 13.54424 | 29.30801 | 6.86218 | |
| 2000 | 6.85940 | 20.16695 | −18.98327 | −4.29371 | 13.68240 | 29.15133 | 6.48975 | |
| MI-FFSG = 0.9 p = 5 | 100 | 6.21775 | 21.64010 | −17.67841 | −3.54995 | 13.31073 | 28.80093 | 7.04659 |
| 500 | 6.35952 | 21.07856 | −17.90567 | −3.71818 | 13.51761 | 28.78292 | 6.07952 | |
| 1000 | 6.55932 | 20.55344 | −18.19623 | −3.94602 | 13.66457 | 28.69559 | 5.30013 | |
| 2000 | 6.89917 | 19.80877 | −18.67848 | −4.32971 | 13.82636 | 28.50413 | 4.93783 | |
| True values | 0 | 7.05833 | 20.16667 | −18.33333 | −3.65750 | 14.11667 | 26.66667 |
| t | ||||||
|---|---|---|---|---|---|---|
| FFSG | 100 | 14.14436 | 6.16779 × | 4.75388 × | 5.70428 | |
| 500 | 14.07770 | 6.25542 × | 4.78128 × | 6.14863 | ||
| 1000 | 14.12997 | 6.30889 × | 4.84998 × | 5.80021 | ||
| 2000 | 14.35451 | 6.35466 × | 5.01330 × | 4.30329 | ||
| MI-FFSG | 100 | 14.16867 | 6.11078 × | 4.73289 × | 5.54219 | |
| 500 | 14.14247 | 6.16479 × | 4.75738 × | 5.71684 | ||
| 1000 | 14.21684 | 6.19462 × | 4.81911 × | 5.22105 | ||
| 2000 | 14.41947 | 6.22814 × | 4.95597 × | 3.87022 | ||
| MI-FFSG | 100 | 14.36509 | 6.25482 × | 4.67123 × | 4.23276 | |
| 500 | 14.25527 | 6.38177 × | 4.70461 × | 4.96488 | ||
| 1000 | 14.33336 | 6.45219 × | 4.80024 × | 4.44425 | ||
| 2000 | 14.58106 | 6.51293 × | 4.98986 × | 2.79293 | ||
| True values | 0 | 15.00000 | 7.00000 × | 5.00000 × | ||
Disclaimer/Publisher’s Note: The statements, opinions and data contained in all publications are solely those of the individual author(s) and contributor(s) and not of MDPI and/or the editor(s). MDPI and/or the editor(s) disclaim responsibility for any injury to people or property resulting from any ideas, methods, instructions or products referred to in the content. |
© 2023 by the authors. Licensee MDPI, Basel, Switzerland. This article is an open access article distributed under the terms and conditions of the Creative Commons Attribution (CC BY) license (https://creativecommons.org/licenses/by/4.0/).
Share and Cite
Zhang, C.; Meng, X.; Ji, Y. Parameter Estimation of Fractional Wiener Systems with the Application of Photovoltaic Cell Models. Mathematics 2023, 11, 2945. https://doi.org/10.3390/math11132945
Zhang C, Meng X, Ji Y. Parameter Estimation of Fractional Wiener Systems with the Application of Photovoltaic Cell Models. Mathematics. 2023; 11(13):2945. https://doi.org/10.3390/math11132945
Chicago/Turabian StyleZhang, Ce, Xiangxiang Meng, and Yan Ji. 2023. "Parameter Estimation of Fractional Wiener Systems with the Application of Photovoltaic Cell Models" Mathematics 11, no. 13: 2945. https://doi.org/10.3390/math11132945
APA StyleZhang, C., Meng, X., & Ji, Y. (2023). Parameter Estimation of Fractional Wiener Systems with the Application of Photovoltaic Cell Models. Mathematics, 11(13), 2945. https://doi.org/10.3390/math11132945
