An Evolutionary Game Analysis of Stakeholders’ Decision-Making Behavior in Medical Data Sharing
Abstract
1. Introduction
- Combining the data-quality-management capabilities of shared platforms and their dominant position in medical big data sharing, we first explored the mechanism of strategic changes among the data providers, data demanders, and medical-data-sharing platform.
- Secondly, we use Lyapunov stability theory to obtain the Nash equilibrium points of the established model and verify the stability of each equilibrium point.
- Finally, through numerical simulation for the purpose of conducting a simulated experiment, the participants’ strategies are dynamically adjusted to achieve optimal Nash equilibrium.
2. Related Work
2.1. Medical Data Sharing
2.2. Game Theory on Data Sharing
3. Evolutionary Game Model
3.1. Key Stakeholder Game Relationships
3.2. Model Assumptions
3.3. Model Construction
3.3.1. Strategy Stability Analysis for Data Providers
3.3.2. Strategy Stability Analysis for Sharing Platform
3.3.3. Strategy Stability Analysis for Data Demanders
4. Analysis of Evolutionary Stabilization Strategies for Models
4.1. Jacobian Matrix
4.2. Stability Analysis
5. Numerical Simulation and Analysis
5.1. The Impact of Various Initial Strategies on Evolution
5.2. The Impact of the Parameters Related to Data Providers on System Evolution
5.2.1. Reputation Gain Obtained by Data Providers
5.2.2. Cost of Privacy Breach Risk Borne by Data Providers
5.3. The Impact of the Parameters Related to Data Demanders on System Evolution
The Cost of the Complaint Borne by Data Demanders
5.4. The Impact of the Parameters Related to the Sharing Platform on System Evolution
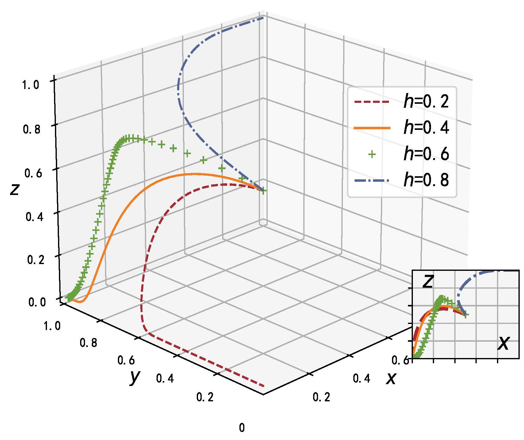
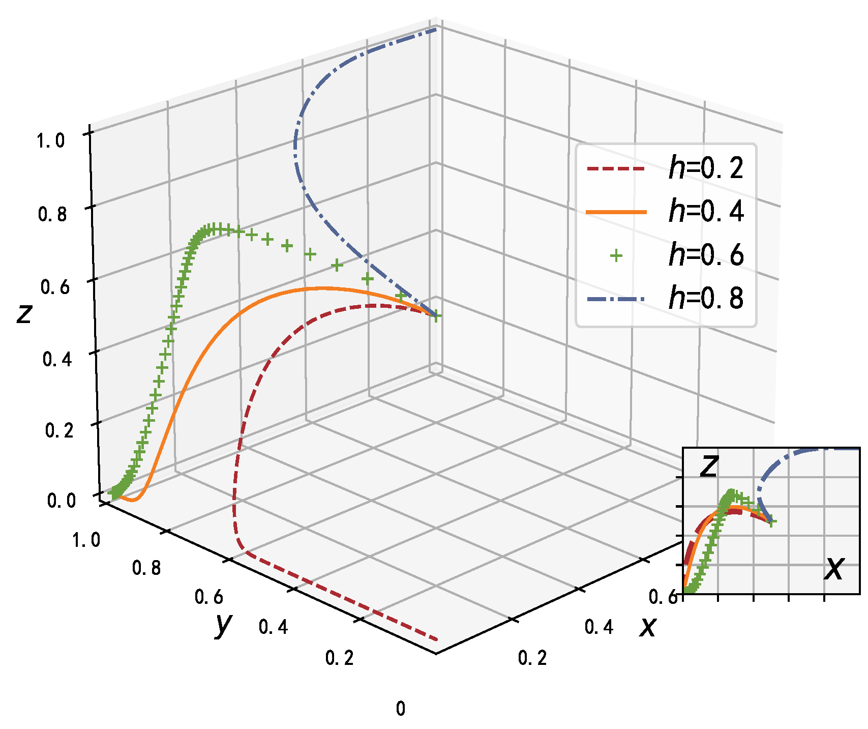
5.4.1. Data Governance Capability h of the Sharing Platform
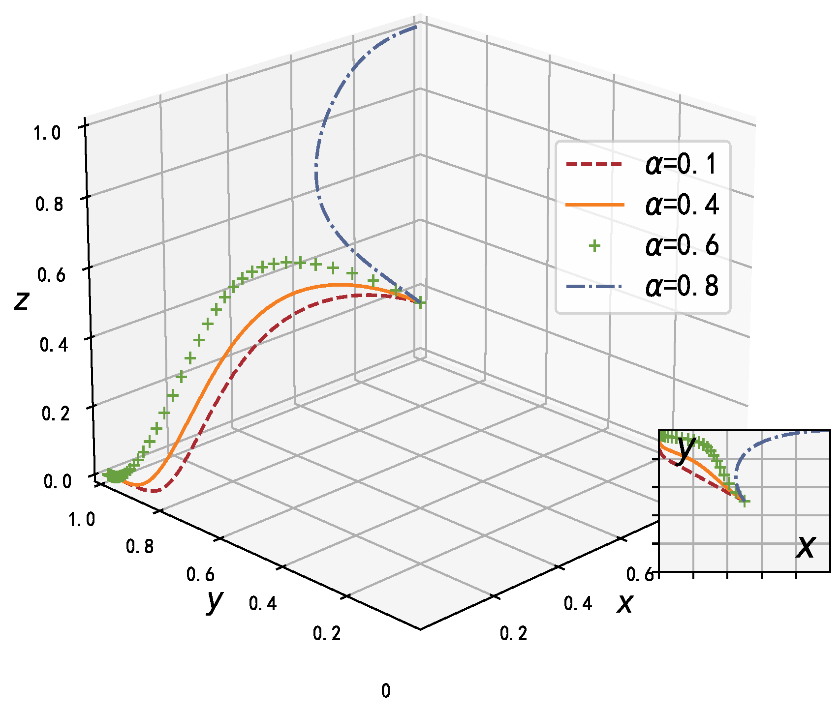
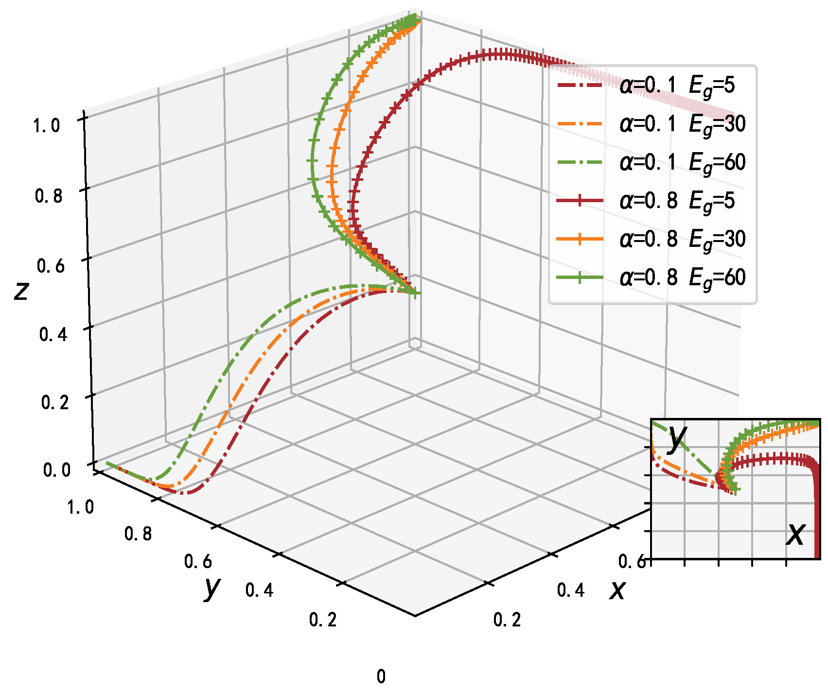
5.4.2. The Accountability Capability of the Sharing Platform
5.5. The Impact of the Parameters Related to the Regulatory Agency on System Evolution
5.5.1. Penalties for Sharing Platform by Regulatory Agency
5.5.2. Incentive Subsidies for Sharing Platform by Regulatory Agency
6. Conclusions and Suggestions
- 1.
- The initial strategies chosen by each stakeholder have a direct influence on the stability of the equilibrium point in the system. Notably, the willingness of data providers to actively engage in data sharing has a more pronounced effect on the overall development of the data-sharing ecosystem.
- 2.
- For data providers, their decision-making behavior is mainly influenced by the cost of sharing and the credibility gain they obtain. The strategy of data demanders is mainly influenced by the cost of complaints when their rights are violated.
- 3.
- The strength of data governance and accountability of the medical-data-sharing platform affects the entire system. The better the data governance capability of the platform, the more data providers are inclined to actively share data. When the data-sharing platform has weak accountability, it will negatively affect the credibility and reputation of the platform, and ultimately reduce the efficiency of data circulation and sharing.
- 4.
- The incentives and penalties of regulators are critical to the evolution of the overall system. It is when the incentive subsidies and penalties reach a certain threshold that sharing platforms will choose to strengthen data governance and drive more participants to benefit from data sharing.
- 1.
- Data authenticity is a crucial requirement for securing shared advantages for data providers. As a result, data providers should first make sure that the data are accurate. To encourage a positive feedback loop of reciprocal transactions and enhance the value of data, data demanders should also promptly provide feedback on the impact of data use. In addition, data demanders should be aware of their rights and report to the relevant regulators in a timely manner to promote the healthy development of data sharing when they face losses caused by invalid data.
- 2.
- Regarding the sharing platform, firstly, it should provide safe and reliable data transmission services, which means adopting advanced technical means, such as encryption technology, security authentication and blockchain, in order to reduce the data security costs of data providers. Secondly, to raise the caliber and dependability of data, a solid data governance structure should be built. Additionally, in situations involving the exchange of data, the opacity of the information may result in certain dangers and uncertainties. Therefore, the sharing platform should also establish a reliable reputation feedback mechanism so that data providers can be rewarded or held accountable based on feedback from data demanders. The above measures can help achieve the sustainable development of medical data sharing.
- 3.
- For regulators, on the one hand, they can provide convenient rights protection services and support for data demanders by setting up special channels for data consumers to complain, or establishing independent data rights protection platforms so as to reduce the cost of rights protection for data demanders. On the other hand, the supervision of sharing platforms can be strengthened, including the establishment of a credit evaluation system for sharing platforms, providing technical support and related services to platforms with high scores, and timely verification and punishment of violations. These measures can restrict the behavior of sharing platforms, thereby indirectly encouraging data demanders and data providers to participate in data sharing, and ultimately promoting the development of data sharing.
- 1.
- We will delve further into the application of the game framework used in this study to other areas of data sharing, and consider additional factors and variables to more fully analyze the distribution of benefits and decision making in sharing scenarios.
- 2.
- We will further investigate ways to integrate cutting-edge technologies, such as blockchain and federated learning, with the medical-big-data-sharing system to fully realize data quality and security.
Author Contributions
Funding
Institutional Review Board Statement
Informed Consent Statement
Data Availability Statement
Conflicts of Interest
References
- Chauhan, C.; Parida, V.; Dhir, A. Linking circular economy and digitalisation technologies: A systematic literature review of past achievements and future promises. Technol. Forecast. Soc. Chang. 2022, 177, 121508. [Google Scholar] [CrossRef]
- Dash, S.; Shakyawar, S.K.; Sharma, M.; Kaushik, S. Big data in healthcare: Management, analysis and future prospects. J. Big Data 2019, 6, 1–25. [Google Scholar] [CrossRef]
- Miguel Cruz, A.; Marshall, S.; Daum, C.; Perez, H.; Hirdes, J.; Liu, L. Data silos undermine efforts to characterize, predict, and mitigate dementia-related missing person incidents. In Proceedings of the Healthcare Management Forum; SAGE Publications Sage CA: Los Angeles, CA, USA, 2022; Volume 35, pp. 333–338. [Google Scholar]
- Li, Q.; Diao, Y.; Chen, Q.; He, B. Federated learning on non-iid data silos: An experimental study. In Proceedings of the 2022 IEEE 38th International Conference on Data Engineering (ICDE), Virtual, 9–12 May 2022; pp. 965–978. [Google Scholar]
- Yang, Y.; Chen, T. Analysis and visualization implementation of medical big data resource sharing mechanism based on deep learning. IEEE Access 2019, 7, 156077–156088. [Google Scholar] [CrossRef]
- Narayanan, U.; Paul, V.; Joseph, S. A novel system architecture for secure authentication and data sharing in cloud enabled Big Data Environment. J. King Saud Univ. Comput. Inf. Sci. 2022, 34, 3121–3135. [Google Scholar] [CrossRef]
- Janssen, M.; Brous, P.; Estevez, E.; Barbosa, L.S.; Janowski, T. Data governance: Organizing data for trustworthy Artificial Intelligence. Gov. Inf. Q. 2020, 37, 101493. [Google Scholar] [CrossRef]
- Spengler, H.; Gatz, I.; Kohlmayer, F.; Kuhn, K.A.; Prasser, F. Improving data quality in medical research: A monitoring architecture for clinical and translational data warehouses. In Proceedings of the 2020 IEEE 33rd International Symposium on Computer-Based Medical Systems (CBMS), Rochester, MN, USA, 28–30 July 2020; pp. 415–420. [Google Scholar]
- Oktaviana, S.; Handayani, P.W.; Hidayanto, A.N. Health Data Governance Issues in Healthcare Facilities: Perspective of Hospital Management. In Proceedings of the 2022 10th International Conference on Information and Communication Technology (ICoICT), Virtual, 2–3 August 2022; pp. 1–5. [Google Scholar]
- Yang, J.; Wang, K. Tripartite Evolutionary Game Analysis of Medical Data Sharing Under Blockchain Architecture. Comput. Sci. 2023, 50, 221000080. [Google Scholar]
- Liu, W.; Long, S.; Wei, S.; Xie, D.; Wang, J.; Liu, X. Smart logistics ecological cooperation with data sharing and platform empowerment: An examination with evolutionary game model. Int. J. Prod. Res. 2022, 60, 4295–4315. [Google Scholar] [CrossRef]
- Shen, Y.; Shen, S.; Li, Q.; Zhou, H.; Wu, Z.; Qu, Y. Evolutionary privacy-preserving learning strategies for edge-based IoT data sharing schemes. Digit. Commun. Netw. 2022. [Google Scholar] [CrossRef]
- Wu, B.; Cheng, J.; Qi, Y. Tripartite evolutionary game analysis for “Deceive acquaintances” behavior of e-commerce platforms in cooperative supervision. Physica A 2020, 550, 123892. [Google Scholar] [CrossRef]
- Xu, Z.; Luo, M.; Peng, C.; Feng, Q. Sanitizable Signature Scheme with Privacy Protection for Electronic Medical Data Sharing. Cyber Secur. Appl. 2023, 1, 100018. [Google Scholar] [CrossRef]
- Liu, A.; Du, X.; Wang, N.; Qiao, R.; Ning, Y.; Zhang, L. Medical health data sharing scheme based on blockchain and attribute-based encryption. In Proceedings of the 2021 4th International Conference on Information Communication and Signal Processing (ICICSP), Changsha, China, 24–26 September 2021; pp. 553–559. [Google Scholar]
- Garcia, R.D.; Ramachandran, G.S.; Jurdak, R.; Ueyama, J. Blockchain-aided and Privacy-preserving Data Governance in Multi-stakeholder Applications. IEEE Trans. Netw. Serv. Manag. 2022, 19, 3781–3793. [Google Scholar] [CrossRef]
- Briscoe, F.; Ajunwa, I.; Gaddis, A.; McCormick, J. Evolving public views on the value of one’s DNA and expectations for genomic database governance: Results from a national survey. PLoS ONE 2020, 15, e0229044. [Google Scholar] [CrossRef]
- Zhu, L.; Dong, H.; Shen, M.; Gai, K. An incentive mechanism using shapley value for blockchain-based medical data sharing. In Proceedings of the 2019 IEEE 5th Intl Conference on Big Data Security on Cloud (BigDataSecurity), IEEE Intl Conference on High Performance and Smart Computing (HPSC) and IEEE Intl Conference on Intelligent Data and Security (IDS), Washington, DC, USA, 27–29 May 2019; pp. 113–118. [Google Scholar]
- Shae, Z.Y.; Tsai, J.J. On the Design of Medical Data Ecosystem for Improving Healthcare Research and Commercial Incentive. In Proceedings of the 2021 IEEE Third International Conference on Cognitive Machine Intelligence (CogMI), Atlanta, GA, USA, 13–15 December 2021; pp. 124–131. [Google Scholar]
- Panagopoulos, A.; Minssen, T.; Sideri, K.; Yu, H.; Compagnucci, M.C. Incentivizing the sharing of healthcare data in the AI Era. Comput. Law Secur. Rev. 2022, 45, 105670. [Google Scholar] [CrossRef]
- Hao, H.; Yang, J.; Wang, J. A Tripartite Evolutionary Game Analysis of Participant Decision-Making Behavior in Mobile Crowdsourcing. Mathematics 2023, 11, 1269. [Google Scholar] [CrossRef]
- GuoHua, Z.; Wei, W. Study of the Game Model of E-Commerce Information Sharing in an Agricultural Product Supply Chain based on fuzzy big data and LSGDM. Technol. Forecast. Soc. Change 2021, 172, 121017. [Google Scholar]
- Xiao, J.; Bao, Y.; Wang, J.; Yu, H.; Ma, Z.; Jing, L. Knowledge sharing in R&D teams: An evolutionary game model. Sustainability 2021, 13, 6664. [Google Scholar]
- Dong, C.; Liu, J.; Mi, J. How to Enhance Data Sharing in Digital Government Construction: A Tripartite Stochastic Evolutionary Game Approach. Systems 2023, 11, 212. [Google Scholar] [CrossRef]
- Wu, H.P.; Li, H.; Sun, X.L. Evolutionary Game for Entesrprise Cloud Accounting Resource Sharing Behavior Based on the Cloud Sharing Platform. IAENG Int. J. Appl. Math. 2021, 51, 1–8. [Google Scholar]
- Akkaoui, R.; Hei, X.; Cheng, W. An evolutionary game-theoretic trust study of a blockchain-based personal health data sharing framework. In Proceedings of the 2020 Information Communication Technologies Conference (ICTC), Nanjing, China, 29–31 May 2020; pp. 277–281. [Google Scholar]
- Sfar, A.R.; Natalizio, E.; Mazlout, S.; Challal, Y.; Chtourou, Z. Privacy preservation using game theory in e-health application. J. Inf. Secur. Appl. 2022, 66, 103158. [Google Scholar]
- Jiang, R.; Han, S.; Zhang, Y.; Chen, T.; Song, J. Medical big data access control model based on UPHFPR and evolutionary game. Alexandria Eng. J. 2022, 61, 10659–10675. [Google Scholar] [CrossRef]
- Hao, C.; Du, Q.; Huang, Y.; Shao, L.; Yan, Y. Evolutionary game analysis on knowledge-sharing behavior in the construction supply chain. Sustainability 2019, 11, 5319. [Google Scholar] [CrossRef]
- Du, L.; Feng, Y.; Lu, W.; Kong, L.; Yang, Z. Evolutionary game analysis of stakeholders’ decision-making behaviours in construction and demolition waste management. Environ. Impact Assess. Rev. 2020, 84, 106408. [Google Scholar] [CrossRef]
- Yang, J.; Yan, X.; Yang, W. A Tripartite Evolutionary Game Analysis of Online Knowledge Sharing Community. Wirel. Commun. Mob. Com. 2022, 2022, 4460034. [Google Scholar] [CrossRef]
- Selten, R. A note on evolutionarily stable strategies in asymmetric animal conflicts. J. Theor. Biol. 1980, 84, 93–101. [Google Scholar] [CrossRef]
















| Symbol | Description |
|---|---|
| B | The benefits of trust that sharing platform data governance brings to both parties involved in data sharing |
| Reputation gains of data providers actively sharing data | |
| Data demanders actively obtain direct benefits from data | |
| Incentive subsidies given by sharing platform to data providers | |
| Incentive subsidies given by regulatory agencies to sharing platform | |
| Additional risk costs that medical data providers bear by actively sharing data | |
| The cost of negative sharing of data by data providers | |
| The cost of data governance for the sharing platform | |
| Cost of data demanders to exploit the data | |
| Cost of complaints for data demanders | |
| Compensation value of sharing platform for data demanders | |
| Amount of compensation sought by sharing platform from data providers | |
| P | The amount of penalty the sharing platform imposes on the data providers |
| W | Data demanders do not obtain the negative benefits generated by high-quality data |
| F | The data usage fee paid by the data demanders to the sharing platform |
| Losses generated by data demanders due to low data quality | |
| h | Data governance capability of the sharing platform |
| Accountability of the sharing platform |
| Data Providers | Data-Sharing Platform | Data Demanders | |
|---|---|---|---|
| Acquisition | No Acquisition | ||
| Active sharing | Data governance | ||
| No data governance | |||
| Negative sharing | Data governance | ||
| 0 | |||
| No data governance | |||
| 0 | |||
| (0,0,0) | |||
| (0,0,1) | |||
| (0,1,0) | |||
| (1,0,0) | |||
| (0,1,1) | |||
| (1,0,1) | |||
| (1,1,0) | |||
| (1,1,1) |
| Symbols of Eigenvalues | Stability Analysis | |
|---|---|---|
| (0,0,0) | (*, −, −) | Uncertain, when , ESS is reached |
| (0,0,1) | (*, +, *) | Unstable |
| (0,1,0) | (*, *, −) | Uncertain, ESS is achieved when and |
| (1,0,0) | (+, −, +) | Unstable |
| (0,1,1) | (*, *, + ) | Unstable |
| (1,0,1) | (*, *, −) | Uncertain, the ESS is reached when and |
| (1,1,0) | (+, *, +) | Unstable |
| (1,1,1) | (*, −, *) | Uncertain, ESS is reached when and |
Disclaimer/Publisher’s Note: The statements, opinions and data contained in all publications are solely those of the individual author(s) and contributor(s) and not of MDPI and/or the editor(s). MDPI and/or the editor(s) disclaim responsibility for any injury to people or property resulting from any ideas, methods, instructions or products referred to in the content. |
© 2023 by the authors. Licensee MDPI, Basel, Switzerland. This article is an open access article distributed under the terms and conditions of the Creative Commons Attribution (CC BY) license (https://creativecommons.org/licenses/by/4.0/).
Share and Cite
Gao, Y.; Zhu, Z.; Yang, J. An Evolutionary Game Analysis of Stakeholders’ Decision-Making Behavior in Medical Data Sharing. Mathematics 2023, 11, 2921. https://doi.org/10.3390/math11132921
Gao Y, Zhu Z, Yang J. An Evolutionary Game Analysis of Stakeholders’ Decision-Making Behavior in Medical Data Sharing. Mathematics. 2023; 11(13):2921. https://doi.org/10.3390/math11132921
Chicago/Turabian StyleGao, Yi, Zhiling Zhu, and Jian Yang. 2023. "An Evolutionary Game Analysis of Stakeholders’ Decision-Making Behavior in Medical Data Sharing" Mathematics 11, no. 13: 2921. https://doi.org/10.3390/math11132921
APA StyleGao, Y., Zhu, Z., & Yang, J. (2023). An Evolutionary Game Analysis of Stakeholders’ Decision-Making Behavior in Medical Data Sharing. Mathematics, 11(13), 2921. https://doi.org/10.3390/math11132921

