Abstract
Considering a class comprising recognizer membrane systems with the capability of providing polynomial-time and uniform solutions for NP-complete problems (referred to as a “presumably efficient” class), the corresponding polynomial-time complexity class PMC encompasses both the NP and classes. Specifically, when represents the class of recognizer presumably efficient cell-like P systems that incorporate object evolution rules, communication rules, and dissolution rules, PMC includes both the DP and classes. Here, DP signifies the class of languages that can be expressed as the difference between any two languages in NP (it is worth noting that NP ⊆ DP and ). As DP-complete problems are believed to be more complex than NP-complete problems, they serve as promising candidates for studying the P vs. NP problem. This outcome has previously been established within the realm of recognizer P systems with active membranes. In this paper, we extend this result to encompass any class of presumably efficient recognizer tissue-like membrane systems by presenting a detailed protocol for transforming solutions of NP-complete problems into solutions of DP-complete problems.
MSC:
68Q07; 68Q15
1. Introduction
Roughly speaking, a mechanical procedure consists of a set of elementary tasks, possibly repeated, structured by a total order. A mechanical solution of an abstract problem is a mechanical procedure such that the execution of the corresponding tasks in the order prefixed by the procedure provides the correct solution of the problem. A computing model basically consists of a formal/mathematical definition of the intuitive concept of mechanical procedure. Consequently, in a computing model will be possible to define in a rigorous way what solving an abstract problem through a mechanical way means. A computing paradigm is a mathematical theory that allows us to consider computing models satisfying some syntactic and/or semantic properties previously established in the theory.
Membrane Computing is a branch of Natural Computing introduced by Gh. Păun at the end of 1998 [1]. It is a computing paradigm inspired by the architecture and the functioning of living cells, as well as from the way the cells are organized in tissues, organs or other higher-order structures. This paradigm provides distributed, parallel non-deterministic computing models whose computational devices are generically called membrane systems. This paper deals with tissue-like membrane systems inspired by the cell inter-communication in tissues, where the processor units, called cells, are considered to be the nodes of a directed graph. In this context, cells can communicate through some kind of rewriting rules (called symport/antiport rules), which were introduced in membrane computing in [2]. The basic concept of tissue P systems [3,4] gave rise to several research lines and variants: see, for example [5,6,7]. These systems can present cooperative behavior in the following sense: two or more objects can interact to fire a rule. It can be seen in rules where two or more objects are necessary to be executed. Replication stands as a fundamental function within a cell, where, under optimal conditions, cell division (mitosis) yields two identical copies. Drawing inspiration from this phenomenon, cell division rules were incorporated into the framework of tissue P systems. These rules serve as a mechanism for generating an exponential workspace in terms of the number of objects and cells involved. By employing such rules, the two newly formed cells resulting from the division process contain precisely the same objects, differing at most by a pair of distinct objects.
It is a well-established fact that every decision problem can be associated with a language in a manner that solving the decision problem corresponds to recognizing the “corresponding” language. In the field of Membrane Computing, the concept of “Recognizer membrane systems” was introduced in [8] as a natural framework for solving decision problems through language recognition. A membrane system is considered a recognizer if it exhibits specific syntactic and semantic characteristics: (a) The working alphabet comprises two distinguished objects, namely, yes and no. (b) There exists an input alphabet that is strictly contained within the working alphabet, along with an input “compartment” (a distinguished membrane in the case of cell-like devices, or a distinguished cell in the case of tissue-like devices). (c) The initial content of each cell consists of a multiset of objects from the working alphabet, excluding those from the input alphabet. (d) All computations performed by the system eventually halt. (e) During each computation, either the object yes or the object no (but not both) must be released to the environment, and only at the final step.
For a given recognizer membrane system , the notation represents the membrane system obtained by adding the multiset m to the content of the input compartment in the initial configuration of .
The construction of a recognizer membrane system must be done in polynomial time. Therefore, while all the instances of a decision problem can be solved by a single Turing machine, we must define an infinite family of recognizer membrane systems to solve it. In [9], the concept of a family of recognizer membrane systems solves a decision problem X in polynomial time in a uniform way is described. If such family can be generated by a deterministic Turing machine working in polynomial time, and there exists a pair of polynomial-time computable functions over the set of instances of X verifying the following: complete with regard to . (for more details, see [9]). Given a computing model of recognizer membrane systems, denotes the set of decision problems solvable by families from in polynomial-time and in a uniform way. The class is closed under complement and under polynomial-time reduction [9]. Thus, if X is a decision problem belongs to a complexity class then we deduce that co-. In [10], a protocol to generate a solution to a DP-complete [11] Problem from a solution to a NP-complete problem is given in the framework of recognizer P systems with active membranes, that is applied in [12]. In this work, a similar protocol is introduced. It is interesting to point out that any solution to a decision problem can be integrated with another solution to create a single solution to the product problem in order to execute each of them in parallel, with the corresponding speedup of the system.
The terms efficiency and presumed efficiency of a computing model were introduced in [13]. These concepts are associated with the ability of the model to provide polynomial-time solutions to computationally hard problems. Specifically, a computing model is said to be efficient (respectively, presumably efficient) if it has the ability to provide polynomial-time solutions for intractable problems (resp., NP-complete problems) [13]. The term presumably efficient refers to the fact that, as generally believed, if P ≠ NP then each NP-complete problem is an intractable one; consequently, under this hypothesis, any presumably efficient model would be efficient. Thus, if is a presumably efficient computing model of a recognizer tissue-like membrane system, then co-NP , because of class is closed under complement and under polynomial-time reduction.
In [14], the authors found that is an upper bound of tissue P systems that use either division or separation rules and communication rules of any length. It is interesting to find lower bounds to know which complexity class characterizes the class of recognizer tissue P systems with symport/antiport rules and division/separation rules. In fact, in [15], the authors demonstrated that the class characterizes the class of recognizer tissue P systems with symport/antiport rules and division/separation rules, softly changing the definition of recognizing a language by means of a family of membrane systems. Apart from that, different results have been obtained both obtaining lower or upper bounds [16,17,18].
The rest of the paper is organized as follows: Next section is devoted to introducing the methodology to construct a solution to a product problem. In Section 3, the protocol is applied to a specific solution of SAT to create a solution to the SAT-UNSAT problem that is explained in Section 4. Finally, some conclusions and insights for future works are explained.
2. Methodology
Let us recall that for each , (respectively, ) denotes the computing model of recognizer tissue-like membrane systems with cell division (respectively, cell separation) and communication rules (of the type symport/antiport) with length at most k. On the one hand, the models , and are non-efficient (see [19,20] for details). On the other hand, the models , for , and for , are presumably efficient (see [21,22] for details). We call a membrane system cooperative if it has at least one rule that needs two objects to be fired. In this case, P systems from and are non-cooperative membrane systems, while P systems from and () are cooperative membrane systems. Let and be decision problems, the product problem of and , denoted by , is defined as follows:
being and
The main contribution of this paper is to provide a lower bound ( co-DP) for thinner than co-NP, in the case that is a class of recognizer cooperative tissue-like P systems.
Theorem 1.
Let be a computing model of recognizer cooperative tissue-like P systems. If and are decision problems belonging to the time complexity class , then .
Proof.
For , let a family of recognizer tissue-like P systems from solving in polynomial-time in a uniform way. Let be a polynomial encoding from into . Let be a polynomial function such that for each instance from , any computation of performs at most steps. Then, after transition steps, both answers of systems and are provided in the environment.
In this situation, a family of membrane systems from will be defined from and , in such a manner that provides a uniform and polynomial-time solution to the product problem .
First, a pair of polynomial-time functions over the set of instances of is considered as follows: (a) ; and (b) , for each , where denotes the Cantor pairing function, a (bijective and recursive) mapping from onto defined as . The idea is that the instance will be processed by the system with input multiset . This system will be denoted by .
In the following, the membrane system will be explicitly defined from and , for each instance of the product problem , so that: a computation of is an accepting one if and only if there exist accepting computations of the systems and . Consequently, we will have: (a) if there exist accepting computations of the system then ; and (b) if then any computation of is an accepting one. According to this, will be a polynomial encoding from the product problem into the family . It is worth pointing out that, in fact, only membrane systems such that are defined, and this is enough to achieve our goal.
In what follows, we will denote , and . Let us recall that given an arbitrary natural number there exists a unique pair of natural numbers such that . The underlying idea of the construction of is the following: when is considered as the input multiset of this system, the multisets and are sent to the corresponding input cells of systems and , respectively. Then, computations of and will be simulated. The answers from both systems will be provisionally placed in a cell where the final decision is taken: accepting computations of only come from both accepting computations of and .
Without loss of generality, we can assume that , for , are mutually disjoint, being the working alphabet of . Likewise, we can assume the same with the corresponding sets of labels and .
The syntactical ingredients of are the following:
- Cells. The cells of are the cells of and , plus three additional cells.
- Working alphabet. The working alphabet is , where:
- Input alphabet. The input alphabet is , being the input alphabet of , by replacing objects yes and no by objects and , for , respectively.
- Alphabet of the environment. The alphabet of the environment of is , where is the alphabet of the environment of , for .
- Set of labels. The set of labels is , where are different from each other and none of them belong to the set . Specifically, will be the labels associated with the three new cells.
- Initial multisets. The initial multisets of are the following:
- (a)
- For , if h is the label of a cell from whose initial multiset is then the initial multiset associated with h in is , that is, for each object a initially placed in cells of , a primed version is considered instead when is taken as a part of .
- (b)
- , being the union of the initial multisets of .
- (c)
- .
- Set of rules. The set of rules is , where is the set of rules of , for , obtained through the replacement of objects yes and no by objects and , respectively, in each rule. In addition, is the following set of rules:
- 1.
- Rules for simultaneously transporting from cell labeled by to the input cell of , for .
- 1.1.
- , for each .
- 1.2.
- , for each .
- 2.
- Rules to obtain the rules from , for , started in the second transition step.
- 2.1.
- , for each and for each label h of a cell in .
- 3.
- Rules for transporting the pair of answers of the systems , for , from the environment to cell or .
- 3.1.
- .
- 3.2.
- .
- 3.3.
- .
- 3.4.
- .
- 4.
- Rules for the affirmative answer of the system :
- 4.1.
- .
- 4.2.
- .
- 5.
- Rules for the negative answer of the system :
- 5.1.
- .
- 5.2.
- .
- 5.3.
- .
- Input cell. The input cell is the cell labelled by .
The system can be graphically depicted as in Figure 1.
Figure 1.
System described from systems and .
□
An Overview of the Computations of
The proposed solution can be structured in the following stages:
- Transport stageOnce the input multiset is supplied to the input cell of the system , by applying the rules from 1.1, and 1.2, in the first computation step multisets and enter into the input cell and , respectively. Simultaneously, in this first step, by applying the rules from 2.1, objects initially placed in each cell of is transformed in the corresponding non-primed object a. This stage takes only one transition step.
- Simulation stageStarting at the second transition step, computations of the system with input multiset are simulated by applying the corresponding rules from , for . Then, after at most transition steps, both systems and will send their answers to the environment. Therefore, this stage takes at most steps.
- Output stageThe system with input multiset sends the right answer to the environment according to the results obtained in the previous stage. Bearing in mind that rules 3.1, 3.2, 3.3 and 3.4 are cooperative, they will only be applicable when the environment receive the answers from and . Let us assume that at instant k both answers reach the environment (obviously, k depends on the computations selected in the simulations and ).
- -
- Affirmative answer.In this case, the answers of and will be and , respectively. By applying rule 3.1, objects and are sent to cell , that is . By applying rule 4.1 we will have and . Finally, by applying rule 4.2 the system send out to the object yes and the system halts. It is graphically depicted in Figure 2.
Figure 2. The answer of is yes and the answer of is yes. - -
- Negative answer.In this case, at least one answer of or must be negative. By applying rule 3.2 or 3.3 or 3.4, cell from configuration will contain object either object either both of them. By applying rule 5.1 or rule 5.2 (only one of them because cell from configuration only contain one object no) will have . Finally, by applying rule 5.3 the system send out to the object no and the system halts. It is graphically depicted in Figure 3.
Figure 3. The answer of is yes and the answer of is no.
Remark 1.
Concerning the proof of Theorem 1, we would like to draw attention to several aspects:
- (a)
- Recognizer cooperative tissue-like membrane systems from class are required to allow the use of communication rules with the length of at least 2, and the length of the new rules added is exactly 2.
- (b)
- A explicit solution of the product problem product is provided from two respective solutions of the problems involved in that operation.
Corollary 1.
If is a presumably efficient computing model of a recognizer tissue-like membrane system, thenDP ∪ co-DP.
Proof.
First, let us note that if is a presumably efficient computing model of a recognizer tissue-like membrane system and P ≠NP, then systems from are cooperative (see [19,20] for details). Let X be an NP complete problem such that . Then, the complement problem is a co-NP complete problem such that belongs to class . From Theorem 1, we deduce that . Since the product problem is a DP complete problem and the complexity class is closed under complement and under polynomial-time reduction, DP ∪ co-DP follows. □
Remark 2.
According with the proofs of Theorem 1 and Corollary 1, a polynomial time and uniform solution to aDP-complete problem by means of a family of recognizer cooperative tissue-like membrane systems, can beexplicitly designedfrom a given polynomial time and uniform solution to aNP-complete problem. In fact, given anNP-complete problem X such that , where is a class of presumably efficient computing model of a recognizer tissue-like membrane system, aDP-complete problem, the product problem , is associated with it, in such a manner that if then , for such kind class of recognizer tissue-like systems.
3. Solving DP-Complete Problems by Using a New Methodology
In this section, the main Theorem is used to provide solutions to some DP-complete problems obtained from specific solutions to NP-complete problems in the framework of recognizer cooperative tissue-like membrane systems. In particular we use the efficient solution to the SAT problem by means of a family of recognizer tissue P systems with symport/antiport rules with length at most 2 and division rules from [23], that is based on the classical generation-checking-output workflow. As mentioned in the methodology, given a family of recognizer P systems from efficiently solving a problem X from the complexity class , then a family of recognizer P systems from that solves the complementary problem of X, being .
The SAT-UNSAT problem is defined as follows: Let (respectively, ) be a propositional logic formula with variables (resp., variables) and clauses (resp., clauses). We say that the pair is true if and only if is satisfiable and is unsatisfiable. Formally, let , where .
Let be the working alphabet of and be the working alphabet of . Given that we need that , we let ; that is, objects from will be boldfaced versions of objects from . In (respectively, ) we will change objects and by objects and (resp., and ). In addition, let be the working alphabet of . The set of labels of will be defined as . For each quadruple of natural numbers , we will consider the recognizer tissue P system with cell division and symport/antiport rules of length at most 2.
of degree defined as follows:
- (a)
- (b)
- (c)
- (d)
- for ,
- (e)
- The set of rules is the following:Apart from these, all rules indicated in Section 2 must be added.
- (f)
- and
For details about the behavior of the original SAT solution, we refer the reader to [23].
4. Insights from the Evolution of the System
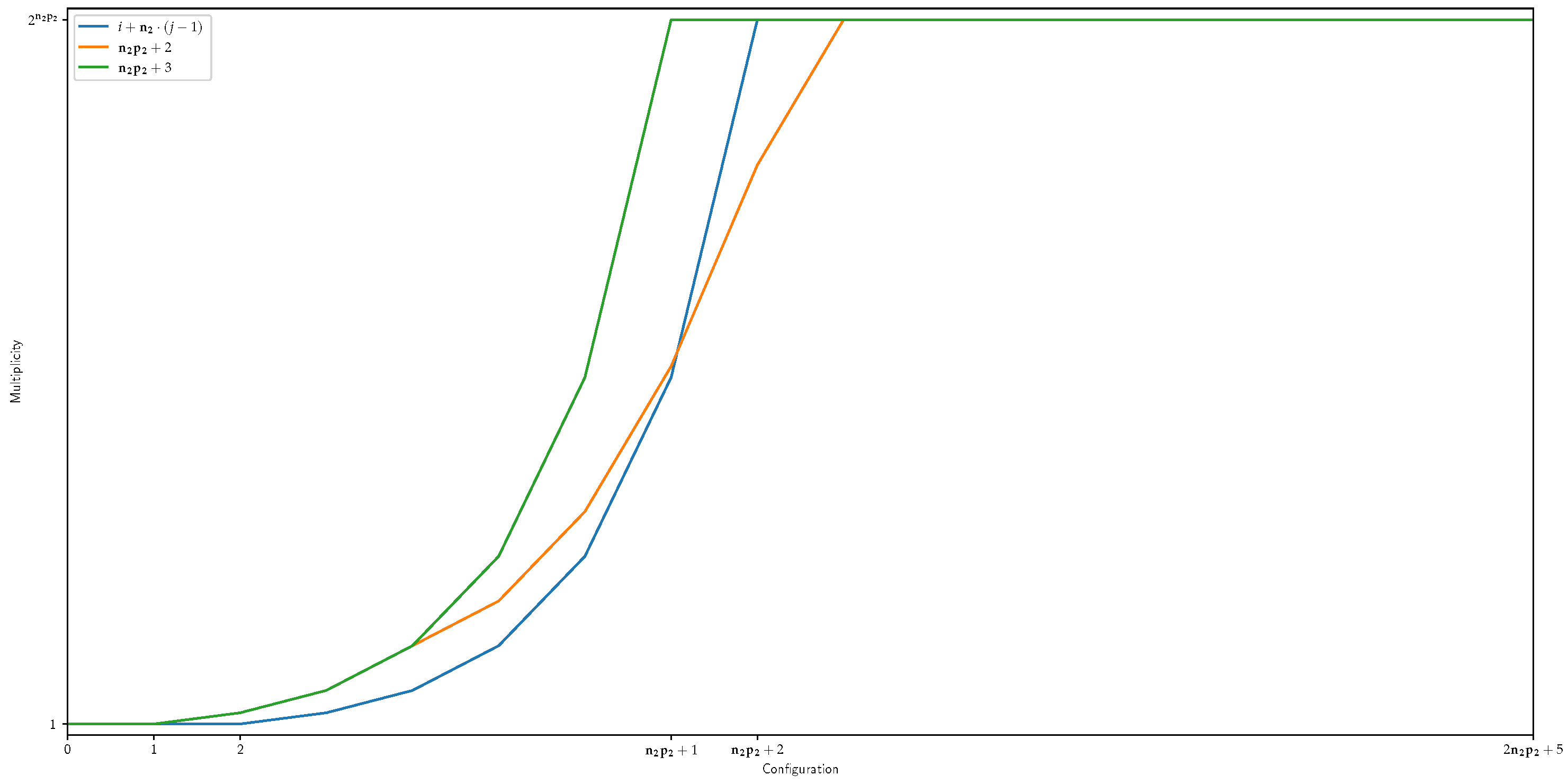
We recall that non-bold indexes and objects correspond to the indexes and objects from the solution to SAT and bold indexes and objects correspond to the indexes and objects from the solution to UNSAT. Figure 4 and Figure 5 show the evolution of the number of cells labeled by and (respectively, and ). First of all, it can be observed that the execution of division rules of cells labeled by and start in the second computational step, since the first one is reserved to the movements of objects from the cell to their corresponding cell. In addition, since in the original solution the division of membranes labeled by and start at step 2, they start to be simulated at step 3 in .
Figure 4.
Evolution of the number of membranes of the solution.
Figure 5.
Evolution of membranes of the solution.
Since division rules of cells labeled by and can be non-consecutive due to the application of rules and , the number of membranes labeled by and in configuration can be different to .
The original solution takes steps in the negative case and in the case that there exists a truth assignment that makes true the input formula , being n the number of variables and p the number of clauses. In Figure 6, we can see that the number of steps taken in the computation of depends on the number of steps of the original computation. In this case, . In the figure, , being the computation time of , taking into account that it takes one step for the objects to prepare both and and three steps for the output stage. The cyan (first element in legend) line lies below the red (fourth element in legend) line until and below the green (third element in legend) line from that point.
Figure 6.
Global evolution of the number of membranes of the solution.
5. Conclusions
Considering as a presumed efficient computing model of recognizer tissue-like membrane systems, meaning it possesses the capability to solve NP-complete problems in polynomial time, the time complexity class encompasses the complexity classes NP and co-NP [9]. In this paper, we enhance this finding by presenting a specific protocol for converting a solution of an NP-complete problem into a solution for a DP-complete problem. Here, DP represents the set of languages that can be expressed as the difference between two languages in NP or, equivalently, as the intersection of a language in NP and a language in co-NP. Thus, the following result has been obtained: co-DP In fact, a more general result has been obtained: let and be two decision problems in the class , being a class of recognizer cooperative tissue P systems. Then, the problem belongs also to the class . The protocol to transform the solutions to and to a solution to the problem takes only four extra steps with respect to the maximum number of steps of the solutions of and , thus making it an efficient way to transform the solutions. Of course, this methodology cannot be applied if the tissue P systems are non-cooperative, because some objects need this behavior to move from one region to another region, this making it impossible to implement this collaboration between objects.
In [15], the authors provided an exact characterization of the class , which is even more challenging than the result presented in this study. However, it is important to consider two key factors. Firstly, the definition of recognizer membrane systems in [15] differs from the definition given in [9]. Secondly, the strength of this paper lies not only in the lower bound but also in the automatic protocol provided for transforming a solution of a -complete problem into a -complete problem. This protocol can be readily implemented and simulated using software simulators like P-Lingua, designed specifically for membrane systems.
In [10], the authors introduced a similar methodology for transforming a solution of a -complete problem into a solution of a -complete problem within the framework of P systems with active membranes. In their work, each object in the input multiset traversed various membranes to reach the input membrane of the corresponding subsystem, which required at least computational steps. Here, n represented the number of objects in the input multiset, and d denoted the depth of the input membrane. In contrast, in this study, each input object reaches the corresponding input cell in a single transition. Additionally, the composite solution presented in this work utilizes three extra membranes, whereas the alternative solution in the aforementioned work employed only a single extra cell. It would be interesting to have parallel simulators for tissue P systems to enable the simulation of these composite solutions.
Author Contributions
Conceptualization, D.O.-M. and M.J.P.-J.; methodology, D.O.-M. and Á.R.-J.; software, J.A.A.-G.; validation, D.O.-M. and A.R.-d.-A.; formal analysis, D.O.-M. and M.J.P.-J.; investigation, D.O.-M. and Á.R.-J.; writing—original draft preparation, D.O.-M., A.R.-d.-A. and J.A.A.-G.; writing—review and editing, D.O.-M. and Á.R.-J.; supervision, D.O.-M. and M.J.P.-J. All authors have read and agreed to the published version of the manuscript.
Funding
D. Orellana-Martín acknowledges Contratación de Personal Investigador Doctor. (Convocatoria 2019) 43 Contratos Capital Humano Línea 2. Paidi 2020, supported by the European Social Fund and Junta de Andalucía.
Institutional Review Board Statement
Not applicable.
Informed Consent Statement
Not applicable.
Data Availability Statement
Not applicable.
Conflicts of Interest
The authors declare no conflict of interest.
References
- Păun, G. Computing with membranes. J. Comput. Syst. Sci. 2000, 61, 108–143. [Google Scholar] [CrossRef]
- Păun, A.; Păun, G. The power of communication: P systems with symport/antiport. New Gener. Comput. 2002, 20, 295–305. [Google Scholar] [CrossRef]
- Martín Vide, C.; Pazos, J.; Păun, G.; Rodríguez Patón, A. A New Class of Symbolic Abstract Neural Nets: Tissue P Systems. In Proceedings of the 8th Annual International Conference, COCOON 2002, Singapore, 15–17 August 2002; Volume 2387, pp. 290–299. [Google Scholar]
- Martín Vide, C.; Pazos, J.; Păun, G.; Rodríguez Patón, A. Tissue P systems. Theor. Comput. Sci. 2003, 296, 295–326. [Google Scholar] [CrossRef]
- Alhazov, A.; Freund, R.; Oswald, M. Tissue P Systems with Antiport Rules ans Small Numbers of Symbols and Cells. In Proceedings of the 9th International Conference, DLT, Palermo, Italy, 4–8 July 2005; pp. 100–111. [Google Scholar]
- Bernardini, F.; Gheorghe, M. Cell Communication in Tissue P Systems and Cell Division in Population P Systems. Soft Comput. 2005, 9, 640–649. [Google Scholar] [CrossRef]
- Krishna, S.N.; Lakshmanan, K.; Rama, R. Tissue P Systems with Contextual and Rewriting Rules. In Proceedings of the International Workshop, WMC-CdeA 2002, Curtea de Arges, Romania, 19–23 August 2002; Volume 2597, pp. 339–351. [Google Scholar]
- Pérez-Jiménez, M.J.; Romero-Jiménez, A.; Sancho-Caparrini, F. Decision P systems and the P ≠ NP conjecture. In Proceedings of the International Workshop, WMC-CdeA 2002, Curtea de Arges, Romania, 19–23 August 2002; Volume 2597, pp. 388–399. [Google Scholar]
- Pérez-Jiménez, M.J.; Romero-Jiménez, A.; Sancho-Caparrini, F. Complexity classes in models of cellular computing with membranes. Nat. Comput. 2003, 2, 265–285. [Google Scholar] [CrossRef]
- Valencia-Cabrera, L.; Orellana-Martín, D.; Martínez-del-Amor, M.Á.; Pérez-Hurtado, I.; Pérez-Jiménez, M.J. From NP-completeness to DP-completeness: A Membrane Computing perspective. Complexity 2020, 2020, 6765097. [Google Scholar] [CrossRef]
- Papadimitriou, C.H.; Yannakis, M. The complexity of facets (and some facets of complexity). In Proceedings of the 24th ACM Symposium on the Theory of Computing, San Francisco, CA, USA, 5–7 May 1982; pp. 229–234. [Google Scholar]
- Riscos-Núñez, A.; Valencia-Cabrera, L. From SAT to SAT-UNSAT using P systems with dissolution rules. J. Membr. Comput. 2022, 4, 97–106. [Google Scholar] [CrossRef]
- Macías-Ramos, L.F.; Pérez-Jiménez, M.J.; Riscos-Nú nez, A.; Valencia-Cabrera, L. Membrane fission versus cell division: When membrane proliferation is not enough. Theor. Comput. Sci. 2015, 608, 57–65. [Google Scholar] [CrossRef]
- Leporati, A.; Manzoni, L.; Mauri, G.; Porreca, A.E.; Zandron, C. Tissue P Systems Can be Simulated Efficiently with Counting Oracles. In Membrane Computing. CMC 2015. Lecture Notes in Computer Science; Rozenberg, G., Salomaa, A., Sempere, J., Zandron, C., Eds.; Springer: Cham, Switzerland, 2015; Volume 9504. [Google Scholar]
- Leporati, A.; Manzoni, L.; Mauri, G.; Porreca, A.E.; Zandron, C. Characterising the complexity of tissue P systems with fission rules. J. Comput. Syst. Sci. 2017, 90, 115–128. [Google Scholar] [CrossRef]
- Leporati, A.; Manzoni, L.; Mauri, G.; Porreca, A.E.; Zandron, C. Simulating counting oracles with cooperation. J. Membr. Comput. 2020, 2, 303–310. [Google Scholar] [CrossRef]
- Leporati, A.; Manzoni, L.; Mauri, G.; Porreca, A.E.; Zandron, C. Solving QSAT in sublinear depth. In Proceedings of the 19th International Conference, CMC 2018, Dresden, Germany, 4–7 September 2018. [Google Scholar]
- Leporati, A.; Manzoni, L.; Mauri, G.; Porreca, A.E.; Zandron, C. Membrane Division, Oracles, and the Counting Hierarchy. Fundam. Inform. 2015, 138, 97–111. [Google Scholar] [CrossRef]
- Gutiérrez-Escudero, R.; Pérez-Jiménez, M.J.; Rius-Font, M. Characterizing tractability by tissue-like P systems. In Proceedings of the 10th International Workshop, WMC 2009, Curtea de Arges, Romania, 24–27 August 2009; Volume 5957, pp. 289–300. [Google Scholar]
- Pan, L.; Pérez-Jiménez, M.J.; Riscos-Núñez, A.; Rius, M. New frontiers of the efficiency in tissue P systems. In Proceedings of the Asian Conference on Membrane Computing (ACMC 2012); Pan, L., Paun, G., Song, T., Eds.; Huazhong University of Science and Technology: Wuhan, China, 2012; pp. 61–73. [Google Scholar]
- Porreca, A.E.; Murphy, N.; Pérez-Jiménez, M.J. An optimal frontier of the efficiency of tissue P systems with cell division. In Proceedings of the Tenth Brainstorming Week on Membrane Computing, Seville, Spain, 30 January–3 February 2012; Volume II, pp. 141–166. [Google Scholar]
- Pérez-Jiménez, M.J.; Sosík, P. An Optimal Frontier of the Efficiency of Tissue P Systems with Cell Separation. Fundam. Inform. 2015, 138, 45–60. [Google Scholar] [CrossRef]
- Orellana-Martín, D.; Valencia-Cabrera, L.; Pérez-Jiménez, M.J. An optimal solution to the SAT problem with tissue P systems. In Proceedings of the Eighteenth Brainstorming Week on Membrane Computing, Seville, Spain, 4–7 February 2020; pp. 91–100. [Google Scholar]
Disclaimer/Publisher’s Note: The statements, opinions and data contained in all publications are solely those of the individual author(s) and contributor(s) and not of MDPI and/or the editor(s). MDPI and/or the editor(s) disclaim responsibility for any injury to people or property resulting from any ideas, methods, instructions or products referred to in the content. |
© 2023 by the authors. Licensee MDPI, Basel, Switzerland. This article is an open access article distributed under the terms and conditions of the Creative Commons Attribution (CC BY) license (https://creativecommons.org/licenses/by/4.0/).





