1. Introduction
Due to the significant human and financial costs associated with disasters or adverse events, their management remains a major concern. Hurricanes, floods, and earthquakes are some of the most calamitous events causing devastating economic, social, and psychological consequences in wide geographical areas. These exceptional events determine social and geographic spatial disarray of the territories as well as specific human behavioral disorganization. Indeed, during these events, the extremely high stress levels induce groups of people to adopt uncontrolled behaviors [
1,
2]. These collective human reactions are generally affected by a mixture of socio-psychological and physical forces, such as the nature of dangers, the population characteristics, and the disaster’s time of onset and geographic location [
3,
4]. Generally, before natural disasters actually take place, collective behavior can be molded by the ability to predict when a disaster will occur: the pre-planned, rational intervention of the authorities enables the population to better face the risk. Once the disaster strikes, however, the population responses are more instinctive and individualistic (e.g., freeze response or panic) [
5]. The characteristics of the area where the disaster occurs typically set limits on human behavior and movement: indeed, the people’s responses are influenced by the crowd density and by the availability of open spaces or structures providing some degree of safety [
6]. Concerning the time progression of the disaster, some Authors have added to the traditional unexpected alert also further more or less well-defined characteristic stages. For example, Henry W. Fischer suggests five phases: pre-impact, impact, post-impact, recovery, and reconstruction [
7].
Regardless of their degree of modern sophistication, our communities are still not properly prepared for natural or anthropogenic catastrophes with their potential cascading impacts. In fact, both regulated and uncontrolled behavior in either individuals, small groups, or crowds have been noted throughout a number of disaster situations. Despite the already described social and physical features affecting collective human reactions during extreme events, these responses are also influenced by psychobiological dynamics, such as emotional contagion, facial mimicry, and mirror neurons, which ultimately determine the well-known panic situation [
8].
Emotion contagion is a social process whereby a person partially adopts the feeling that is conveyed by other people [
9]. Based on the embodiment of emotion theory [
10], emotional contagion is thought to be a complex multilevel phenomenon, which can happen through different, non-exclusive pathways. Automatic mimicry is the foundation of the main type of emotional contagion. In this process, traits of another person, such as facial expressions, speech patterns, body posture, gestures, and gaze direction, are imitated reflexively. These impersonations frequently take place without the subject being aware of them [
11].
Population training, which prepares people to modify their behavior in the face of catastrophic circumstances, is thus a vital tool for lowering human vulnerability to such events.
Several models at different micro-/macro-scales have been described in the literature for modeling crowd dynamics in these conditions [
4,
12,
13,
14]. However, most of these mathematical models only consider the panic reaction and ignore what is now well-known in the human sciences [
5]: during a catastrophe, the population can exhibit other concurrent reactions in addition to panic, and any given person does not need to behave consistently throughout the duration of the event. These models thus fail to recognize that a person’s mental state, and thus their behavior, can change over time [
15].
One of the most fruitful approaches used to simulate collective human behavior has been inspired by classical epidemic models such as the Susceptible–Infected–Recovered (SIR) model [
16]. This is a compartmental model, in which a population is divided into separate compartments: the group S of individuals who are susceptible to the disease and may become infected; the group I of individuals who are infected and can therefore spread the disease to susceptible individuals; and group R, containing recovered individuals who have gained lifelong immunity after recovery and thus cannot contract the disease again (this last assumption, as well as assumptions about the number or type of the compartments, may all be relaxed). SIR models were first proposed by Kermack and McKendrick [
17], and since then they have been the focus of numerous analyses and have appeared in several variations, including as extensions of the formalism for representing human behavior.
A recent model, proposed to predict and explain behavioral changes in crowds during calamities, is the Alert–Panic–Control (APC) model [
18]. The temporal patterns of key behavioral responses during catastrophic events are described by this model. The wide range of behaviors that the affected population may exhibit after a disaster [
19] are categorized by the APC model into three primary classes: alert, panic, and control responses. These classes are based on the severity of the emotional charge and the emotional regulation of this charge. The APC model focuses on a psychologist’s points of view (i.e., emotion contagion) and is an evolution of the previously proposed PCR (Panic–Control–Reflex) model [
20,
21]. Indeed, the PCR model was the first SIR-like model attempting to represent the dynamics of human collective behavior in a disaster scenario.
Based on the established PCR and APC models, the present work attempted to describe in more detail a population’s behavior during a catastrophe by introducing an enlarged model, the HAPC (hybrid APC) model, which represents an innovative formulation including some elements from the previously proposed models. The motivation for the introduction of a new model was the inclusion of some characteristics of the interactions among individuals that have hitherto not been considered:
Following Cristiani et al., 2010 [
14], we considered non-locality in space and anisotropy. The inclusion of these factors made our models capable of explaining the differences observed in the self-organization and dynamical pattern formation of groups of agents due to different visual fields and sensing zones.
Verdière et al., 2022 [
15] concentrated on the main types of psychological behavior in a crowd and the processes of switching from one behavior to another during a crisis: reflex behavior other than panic, panic, and controlled behavior. Following Hatfield 1994 [
22], we assumed that imitation and emotional contagion processes underlie the interactions between the different subsets of a population.
We considered a multiple-disaster situation, describing the effect of a concatenation of multiple catastrophic events on population dynamics.
We also took account of the resonance effect, which connects people so that they present the same behavior in an action environment.
Finally, we considered the effect of panic on the mortality rate.
The next section describes in detail the HAPC model, highlighting the differences with the PCR and APC models.
2. Methods
2.1. Modeling
The model proposed in this work stemmed from the APC formulation, which considers, unlike the PCR model, a non-constant population during the catastrophe simulation by introducing death rates for the considered groups (alert, panic, and control). Furthermore, the HAPC model includes the following innovative features:
A function called “resonance” was included to represent the effect of resonance. In physics, resonance occurs when two or more elements in a physical environment have their actions synced via a spontaneous, unconscious vibrational transmission mechanism. Moving from the physical to the psychological level, the term resonance originated from the innate ability to unconsciously imitate the actions of other humans. Imitation is the result of synchronization between behaviors issued from two elements in the same environment. In other words, resonance is a mechanism for coordinating non-linearly connected people to express the same behavior in an ever-changing environment. The mirror neuron system is the main biological support for resonance between individuals, whatever the context (physical or social). Within natural social contexts, the actions of individuals imply interactions with other individuals using the mirror neuron system [
23].
A death term was considered in Equation (
4) depending on the catastrophe function
(Equation (
6)), as a catastrophic event might lead to instantaneous victims.
A death term was added to the “alert” and “control” compartment depending on the number of people in the “panic” compartment.
Some relationships between categories were modified (subjects in the “panic” compartment could not pass to the “control” compartment without regressing first to “alert”, and subjects in “control” could not regress to “alert” except in the case of a multi-disaster situation).
A multi-disaster situation could be modeled in HAPC: this is particularly relevant when sequences of catastrophic events occur naturally, as in a series of seismic events during a major earthquake.
The rate of people in the “control” compartment who enter a post-catastrophe state depended on the disaster function.
A block diagram of the model is shown in
Figure 1.
This model represents the dynamics of a population before and after a disaster. The model is composed of 10 equations, of which 6 are ordinary differential equations and 4 are algebraic equations. The mathematical formulation is expressed in a dimensionless form; therefore, each compartment represents a fraction of the population. The equations of the model are reported below.
where:
represents the fraction of people in the alert state.
represents the fraction of people in the panic state.
represents the fraction of people in the control state.
represents the population before the occurrence of the disaster.
represents the fraction of people after the disaster who have been affected by the disaster and whose mental status differs from that of the people in .
(1/min) is the disaster function , representing the effects of a catastrophe (earthquake, terrorist attack, tsunami, etc.) in terms of the rate of transfer from the state “Before the disaster” to the alert state. The function varies over time: it assumes its maximum value at the beginning of the event when the catastrophic impact is at its peak and decreases when the effect of the disaster fades.
is the functional form employed for the imitation functions
and
, with
s being the argument of the
function appearing in the
and
equations (Equations (
7) and (
8)).
represents the imitation function between people in the alert state and people in the controlled state, that is, the ability of people in the alert state to mimic the behavior of people in the ‘controlled’ compartment. The larger the ‘controlled’ group, the faster the individuals in a state of panic move towards the controlled state.
represents the imitation function between people in alert and people in panic, with both groups tending to resemble the behavior of the largest group.
is the resonance effect, i.e., the function that induces people in alert and panic states to influence individuals in the “before the disaster” compartment, making them transition rapidly to a state of alert.
(1/min) is the rate (varying over time) according to which people in the control state move towards the “after the disaster” compartment. It is assumed to be a decreasing function of ; therefore, it increases over time as the effect of the catastrophic event is reduced.
The death caused by the disaster is considered in following forms:
In Equations (
4) and (
5), it is represented with the term
, corresponding to the portion of people who quickly die at the start of the catastrophe.
In Equations (
1)–(
3), it is represented by the constant rates
,
, and
, respectively.
In Equations (
1) and (
3), it is represented by the terms
and
, respectively, corresponding to the portion of people who die because of the presence of those in the panic compartment (e.g., people who are trampled).
People reaching the state of control are assumed to not regress any more to the alert or panic states, except in the case of multi-disaster events: at the start of the second catastrophe, people in no longer move to the safe state, instead coming back to the alert state.
The imitation functions and allow people in greater numbers to be followed by people in the minority: the greater the difference in size between the two groups, the faster the transition between the two states.
All model parameters are reported in
Table 1.
2.2. Qualitative Analysis
The following subsection explores the theoretical aspects of the model, investigating the existence of the solutions, their positivity, and their boundedness.
Positivity of the Model Solutions and Model Persistence
Theorem 1. The system (1)–(6) admits positive solutions for any positive initial condition.
Proof. Let us start by proving that the function is non-negative for any non-negative initial condition . According to the continuity of the solution of a differential equation, would become non-positive if there existed such that , for any , and . This cannot be the case, because under these hypotheses:
for and at least one in .
In the case , would always be 0 . This proves that (it never becomes negative). Furthermore, if (), , which implies that in 0 is a non-decreasing function.
Similarly, it can be proven that
is non-negative for any
. In fact, if
became negative for some
t, there would exist
such that
,
for any
, and
. However, this cannot be verified, because under these hypotheses:
since
,
,
, and
are positive. In fact, if
, there would exist
, such that
and
. This cannot be the case, because:
since for any , which implies
In the same way, it can be proved that , , and are positive in . In fact, if , , and , then such that , , ; , ; and . This cannot be the case, because:
- (i)
- (ii)
- (iii)
since, as above, for any , which proves (i) and therefore in . This implies (ii) ( being always positive), so that in , which implies (iii), so that in .
Given and applying the same reasoning, it is straightforward to show that , , , and are always positive. □
Theorem 2. The system of Equations (1)–(6) is bounded from above.
Proof. According to the definition , represents the fraction of the population after the disaster, which cannot be greater than (the population at the beginning of the catastrophe, expressed as a proportion, ). Notice that all model parameters are positive. In the following, we prove that is bounded .
We begin by proving that the function is bounded.
Let , where:
In order to show that is bounded from above, assume that . Under this hypothesis, we can define a sequence of time points such that:
If we consider Equation (
6) at each of these time points
, we find that:
which is a contradiction; therefore,
.
From the previous result, it follows that:
This means that we can define a sequence of time points such that:
Since
is a positive parameter and
is a non-negative number, since
is also always non-negative, it follows that:
proving that
is bounded.
Now, with the aim of showing the boundedness of the state variable , and following the same reasoning as before, let us assume that . Since is differentiable and , we can define a sequence such that:
From Equation (
4), we find that:
whatever the , since we know that it must be a positive number due to the positiveness of the system solutions (Theorem 1). The above inequality is a contradiction, so .
By definition, the state variables , , and are a proportion of . Having proved that is bounded and that the system is positive, , , and admit an inferior and superior bound.
In the following, we aim to prove that is always bounded above by .
From the system (
1)–(
10), it is evident that the equilibrium point for the system (in the absence of disaster events, i.e.,
) is
for any
. This means that the initial point
is an equilibrium point.
We intend to prove that
is bounded above by its equilibrium point
,
. According to the continuity of the solution of a differential equation,
would become greater than
if there existed a
such that
,
for any
and
. However, this cannot be the case, because:
since in
, the system is at an equilibrium point where all the other state variables are zero (
). Therefore, the previous equation leads to a contradiction.
As a consequence of Theorems 1 and 2, the system (
1)–(
10) admits positive (or non-negative) bounded solutions for any non-negative initial condition. □
2.3. Simulation
The mathematical model was implemented in Matlab on an 8-core CPU (i7-10750H CPU @ 2.60 GHz). The numerical integration for the model solution computation was performed by applying the 4th order Runge–Kutta method.
Two scenarios were simulated in order to demonstrate the main characteristics of the model. The first scenario showed the behavior of a population after the occurrence of a single disaster. The second scenario showed the distribution of a population between the different states after the occurrence of a series of consecutive disasters. The model was not validated with observed data; therefore, all the model parameters were calibrated to have alert, panic, and control dynamics in accordance with the following hypotheses:
The population in the“before the disaster” compartment quickly moves towards the “alert” and “panic” compartments;
At the beginning of the simulation, the population in the “alert” compartment slowly moves towards the “control” compartment; the transfer rate increases over time due to the imitation function.
2.4. Sensitivity Analysis
As there were no data available, the model was not subjected to a fitting procedure. However, a sensitivity analysis was performed to identify the most sensitive parameters and how these modified the trend of the alert, control, and panic variables.
The sensitivity analysis was performed by varying 16 parameters, excluding
and
, with 1000 simulations carried out for the variation of each. Each parameter was individually changed by increasing it by 30% of the baseline value reported in
Table 1. The results of the sensitivity analysis are shown in figures, which report the forecasts of alert, panic, and control variables over time, showing the 90% coverage envelope of the forecasts obtained from the sensitivity analysis.
A further analysis was performed with an additional series of 1000 simulations in which all 16 parameters were varied simultaneously.
3. Results
Figure 2 and
Figure 3 show the behavior of a population after a single disaster: the
compartment quickly emptied to fill the
compartment, from which people moved towards the control and panic states.
The variable reached its maximum slowly, since people at the beginning of the catastrophe moved quickly towards the other two states ( and ). Finally, when the disaster function reached the 0 value, increased, allowing people in to pass into the safe state .
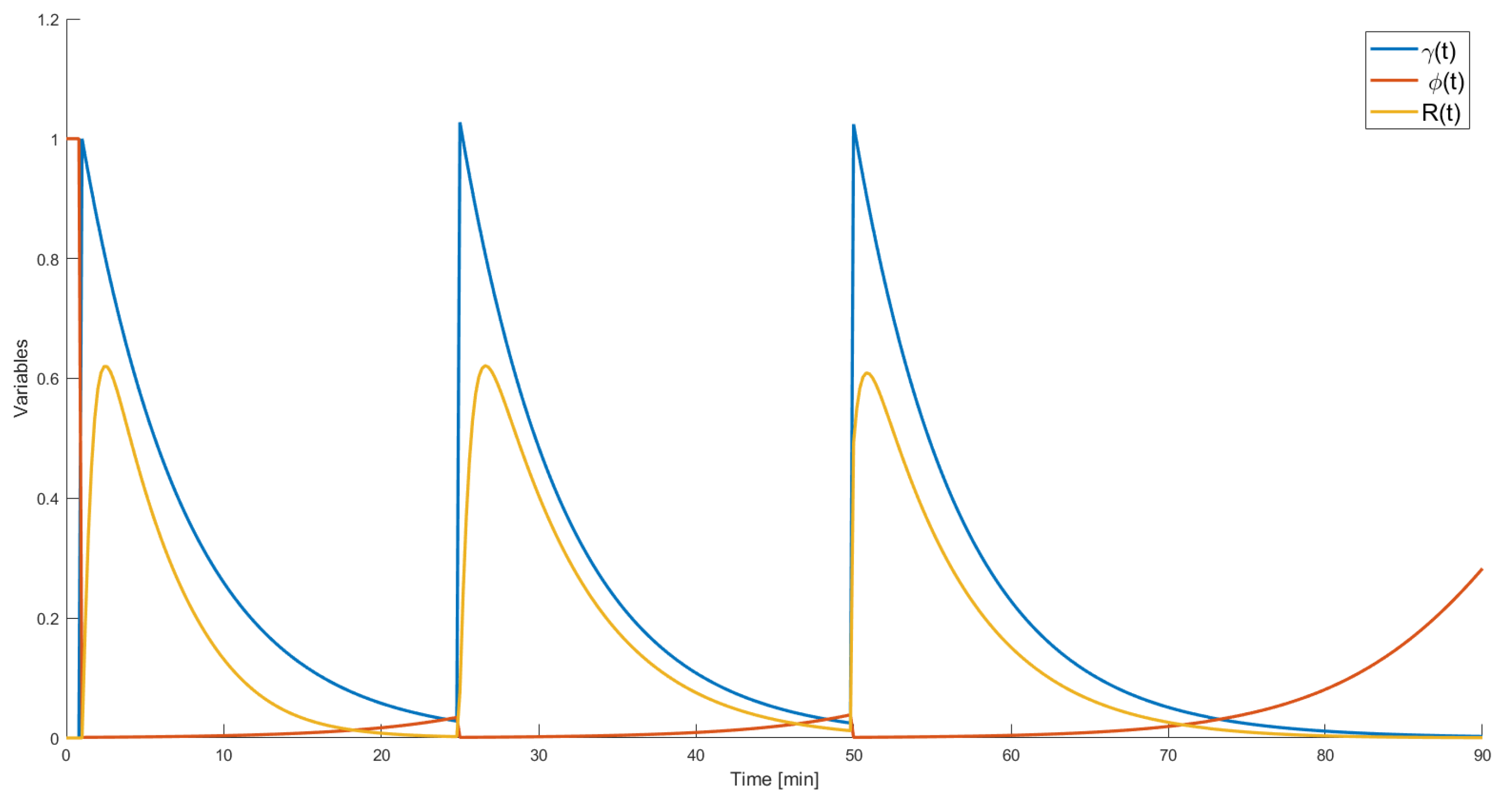
Figure 4 and
Figure 5 show the behavior of a population after three disaster events occurring in series: initially, people moved from one state to another as in the case of only one catastrophe; however, when the second disaster occurred,
quickly regressed to
, along with the fraction of “saved” people in
.
The dynamics of the state variables, after the occurrence of subsequent disasters, resembled those observed at the beginning of the simulation.
Figure 6,
Figure 7 and
Figure 8 show the results from the sensitivity analysis, wherein each model parameter was varied by 30% of its original value. Each figure shows, for each varied parameter, the trend over time of the variables
,
, and
. The shaded areas represent 90% of the simulated time course. The figures report the behaviors of the state variables obtained by individually varying only eight parameters (
,
,
,
,
,
,
m, and
), which were found to be the parameters to which the model was most sensitive.
Figure 9 shows the results obtained when all the parameters were allowed to vary simultaneously.
4. Discussion
The aim of the present work was to build a new compartmental model for forecasting the behavior of a population subjected to a single catastrophe or to consecutive repeated catastrophic events. The model was composed of a system of six ordinary differential equations (ODEs) and four algebraic equations, with a total of 16 free parameters. The proposed HAPC model attempted to incorporate the most relevant aspects from previous models, specifically those already taken into account by the APC and PCR models [
18]; to modify and update some relationships between the model compartments; and to include the representation of processes that have not been considered yet, such as the effect of resonance, the victims harmed by people in a state of panic, and the possibility of simulating multiple-disaster situations.
Figure 2 and
Figure 3 show the behavior of the model variables after the occurrence of a single disaster. In the first 5 min of the simulation, 54.45% of the population moved towards a state of alert, 13.82% entered the control state, and 31.73% passed to the state of panic. These values were obtained by integrating
,
, and
between 0 and 5 min and by dividing each quantity by the sum of the three integrals. While no data were available to conduct a formal parameter estimation procedure, a limited validation of the model could be represented by the fact that the predicted percentages of individuals in the three states were in accordance with the report of Robinson [
24]. The variability shown in
Figure 6,
Figure 7,
Figure 8 and
Figure 9, resulting from the sensitivity analysis, highlights that with the subsequent changes these percentages were still in a plausible range.
Figure 6,
Figure 7 and
Figure 8 show the model behavior when each parameter was varied one at the time, while
Figure 9 reports the simulated time courses when all the considered parameters where varied simultaneously. Most of the variability in the alert model behavior was noticeable after the first 5 min of the simulation, since at the start of the disaster most individuals passed from the “before the disaster” compartment to the “alert” and “panic” compartments. This was due to the fact that people react to a catastrophic event very early, immediately after its occurrence. In
Figure 6, the variation in parameters
, and
affected all three variables considered, highlighting the importance of constant transport rates throughout the entire simulation period (the variability, expressed by the green shading, enveloped the baseline from the start to the end of the simulations). The forecasts were, however, less sensitive to parameters
, and
in
Figure 7, showing an appreciable variability only at the middle and end of the simulation. This was reasonable, because these parameters appeared in the equations that represented the imitation of states, and their effect increases only when the “alert” and/or “panic” variables increase. In
Figure 8, the parameters
m and
had a stronger effect on the "control" variable, since the emptying function
, allowing those in the “control” compartment to move to the “after the disaster” compartment, directly depended on the
function, which is a function of these two parameters.
Figure 4 and
Figure 5 show the behavior of the model variables when three consecutive disasters occurred. Between the end of the first catastrophe and the beginning of the second event, people in a state of control regressed to a state of alert, being thereafter subjected to a new disaster. An example of a series of catastrophic events could be a bombarded war theater, wherein people, even after reaching the state of “control”, are continually subjected to new series of events, which cause them to regress back to a state of “alert”. Another example is that of earthquake “swarms”. In the proposed model, a repeated disaster was the only possible case in which people in the control state could regress to an alert state, in contrast to what can be predicted with Equation (
1) of the APC model [
18], where people in a disaster can move from
(control) to
(reflex, i.e., alert) and
(panic). This is a very important difference, since if a subject can regress from a “control” state to another state without a valid stimulus (as in the APC model), it may also be supposed that a person who finds the “exit” from a catastrophic situation can change their state, for example, to “panic”, and suddenly lose “the way out”. This in fact does not normally happen, as subjects who achieve the “control” state typically find their way to safety [
1,
2,
3,
4].
While the qualitative conclusions that could be drawn from the simulations were wholly plausible, and while a limited validation could be attributed to the quantitative concordance with literature results [
24], the main limitation of the present study was clearly the lack of real-life data against which to validate the proposed model. Still, even with this caveat in mind, the exercise of mathematically modeling such rare events based upon realistic hypotheses can be of concrete help to decision makers when preventive measures are contemplated to mitigate the likely impact of disasters in a given theater. In this sense, the present model, which is certainly not definitive, furthers our understanding, formal representation, and ability to computationally simulate dangerous situations, which would otherwise be addressed only by subjective judgment, however expert.