Semiparametric Permutation-Based Change Point Detection with an Application on Chicago Cardiovascular Mortality Data
Abstract
:1. Introduction
2. Semiparametric Change Point Single Index Model and a Permutation Test
2.1. The Generalized Semiparametric Change Point Single Index Model (GSCP-SIM)
2.2. Estimation and Change Point Detection Unified Approach
- Step
- 0: use a grid search to find a candidate change point , create the design matrix X;
- Step
- 1: under the null hypothesis, estimate the coefficient parameters, , of the single index function, , using a general-purpose optimizer to reduce the p-dimension to one dimension, the function in R is used in this paper. Then, fit the unknown functions () using the function in R. Compute the mean response, , and residuals, ;
- Step
- 2: under the alternative hypothesis, estimate the coefficient parameters, , of the single index function, , using a general-purpose optimizer to reduce the p-dimension to one dimension, the function in R is used in this paper. Then, fit the unknown functions () using the function in R. Compute the mean response, , and residuals, ;
- Step
- 3: calculate the test statistic,where and are the residuals under the alternative and null hypotheses of the original data set , respectively;
- Step
- 4: obtain by permuting the residuals, , add the model means under the null hypothesis to the permuted residuals and obtain , where is vector of permuted responses, is the permuted vector of residuals, and m stands for the th permutation;
- Step
- 5: estimate the model under the alternative and null hypotheses, for the permuted data set, , as described in steps 1–2 and calculate the following test statistic:where, and are the residuals under the null and under the alternative hypotheses, respectively, for the th permuted data set;
- Step
- 6: repeat steps 4–5 for a big number, M, and obtain , and finally compute the empirical p-value as followswhich measures how extreme the value is;
- Step
- 7: if the p-value is less than 0.05, we reject the null hypothesis and declare a significant change point, otherwise, we select another candidate change point and repeat Step 1–Step 6.
3. Simulation Study
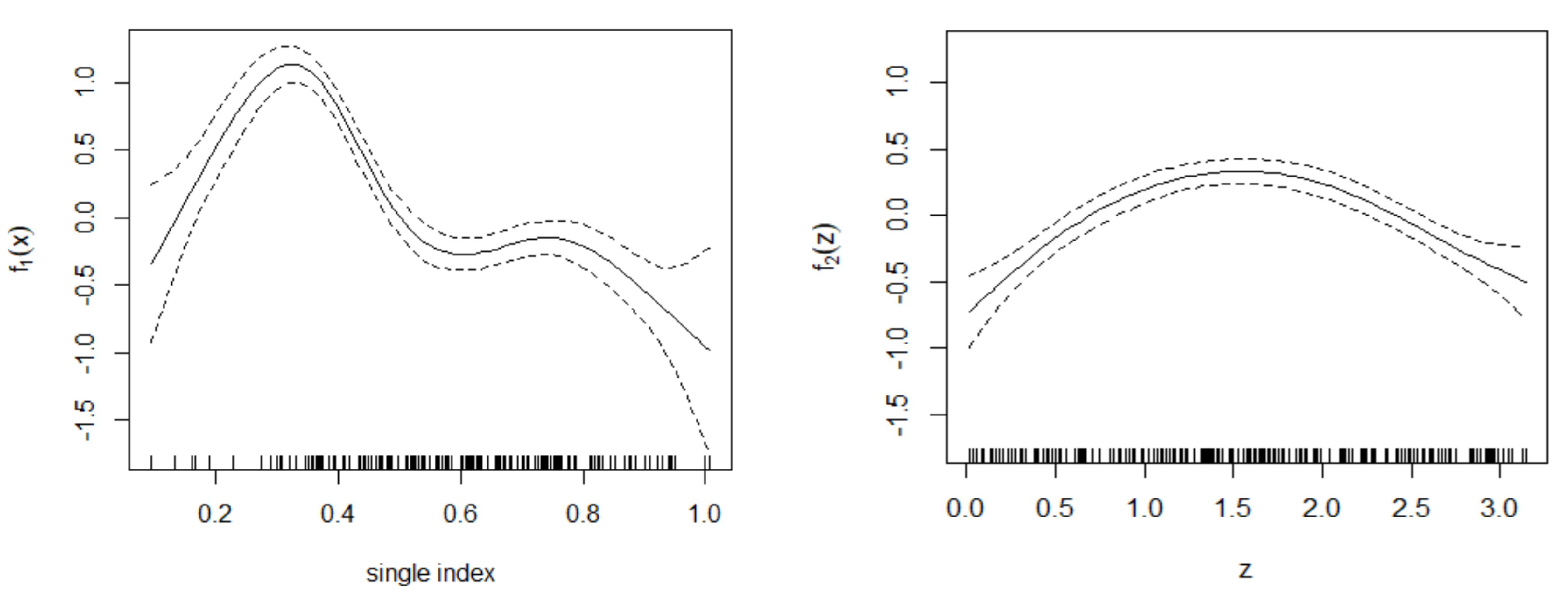
4. Real Data Application
4.1. Explanatory Data Analysis
4.2. The Model and Change Point Detection
5. Discussion and Conclusions
Funding
Institutional Review Board Statement
Informed Consent Statement
Data Availability Statement
Acknowledgments
Conflicts of Interest
Abbreviations
| CVD | Cardiovascular disease |
| AHA | American Heart Association |
| GSCP-SIM | Generalized semiparametric change point single index model |
| Unif | Uniform distribution |
References
- Bloisa, D.J.; Kjellstromb, T.; Agewalld, S.; Ezekowitzf, J.A.; Armstrong, P.W.; Atar, D. The Effects of Climate Change on Cardiac Health. Cardiology 2018, 131, 209–217. [Google Scholar] [CrossRef] [PubMed]
- Roger, V.L.; Go, A.S.; Lloyd-Jones, D.M.; Adams, R.J.; Berry, J.D.; Brown, T.M.; Carnethon, M.R.; Dai, S.; de Simone, G.; On behalf of the American Heart Association Statistics Committee Stroke Statistics Subcommittee; et al. Heart disease and stroke statistics—2011 update: A report from the American Heart Association. Circulation 2010, 123, e18–e209. [Google Scholar] [CrossRef] [PubMed] [Green Version]
- Wadhera, R.K.; Figueroa, J.F.; Rodriguez, F.; Liu, M.; Tian, W.; Kazi, D.S.; Song, Y.; Yeh, R.W.; Maddox, K.E.J. Racial and Ethnic Disparities in Heart and Cerebrovascular Disease Deaths During the COVID-19 Pandemic in the United States. Circulation 2021, 143, 2346–2354. [Google Scholar] [CrossRef] [PubMed]
- Mazidia, M.; Speakman, J.R. Predicted impact of increasing average ambient temperature over the coming century on mortality from cardiovascular disease and stroke in the USA. Atherosclerosis 2020, 313, 1–7. [Google Scholar] [CrossRef] [PubMed]
- Barnett, A.G. Temperature and Cardiovascular Deaths in the US Elderly: Changes over Time. Epidemiology 2007, 18, 369–372. [Google Scholar] [CrossRef]
- Wu, P.C.; Lin, C.Y.; Lung, S.C.; Guo, H.R.; Chou, C.H. Cardiovascular mortality during heat and cold events: Determinants of regional vulnerability in Taiwan. Iran J. Public Health 2011, 49, 1455–1466. [Google Scholar] [CrossRef]
- Khanjani, N.; Bahrampour, A. Temperature and cardiovascular and respiratory mortality in desert climate. A case study of Kerman, Iran. Iran. J. Environ. Health Sci. Eng. 2013, 10, 11. [Google Scholar] [CrossRef] [Green Version]
- Yang, J.; Yin, P.; Zhou, M.; Ou, C.Q.; Guo, Y.; Gasparrini, A.; Liu, Y.; Yue, Y.; Gu, S.; Sang, S.; et al. Cardiovascular mortality risk attributable to ambient temperature in China. Heart 2015, 101, 1966–1972. [Google Scholar] [CrossRef]
- Huang, H.; Deng, X.; Yang, H.; Zhou, X.; Jia, Q. Spatio-Temporal Mechanism Underlying the Effect of Urban Heat Island on Cardiovascular Diseases. Occup. Environ. Med. 2020, 68, 525–530. [Google Scholar] [CrossRef]
- Achebak, H.; Devolder, D.; Ballester, J. Trends in temperature-related age-specific and sex-specific mortality from cardiovascular diseases in Spain: A national time-series analysis. Lancet Planet Health 2019, 3, e297–e306. [Google Scholar] [CrossRef] [Green Version]
- Péres, W.E.; Ribeiro, A.F.S.; Russo, A.; Nunes, B. The Association between Air Temperature and Mortality in Two Brazilian Health Regions. Climate 2020, 8, 32. [Google Scholar] [CrossRef] [Green Version]
- Lin, S.; Luo, M.; Walker, R.J.; Liu, X.; Hwang, S.; Chinery, R. Extreme High Temperatures and Hospital Admissions for Respiratory and Cardiovascular Diseases. Epidemiology 2009, 20, 738–746. [Google Scholar] [CrossRef] [PubMed]
- Giang, P.N.; Dung, D.; Giang, K.B.; Vinhc, H.V.; Rocklöv, J. The effect of temperature on cardiovascular disease hospital admissions among elderly people in Thai Nguyen Province, Vietnam. Glob. Health Act. 2014, 7, 23649. [Google Scholar] [CrossRef] [PubMed] [Green Version]
- Ponjoan, A.; Parramon, D.; Blanch, J.; Alves-Cabratosa, L.; Martí-Lluch, R.; Comas-Cufí, M.; Parramon, D.; Garcia-Gil, M.M.; Ramos, R.; Petersen, I. Effects of extreme temperatures on cardiovascular emergency hospitalizations in a Mediterranean region: A self-controlled case series study. Environ. Health 2017, 16, 32. [Google Scholar] [CrossRef] [PubMed] [Green Version]
- Tian, Y.; Liu, H.; Si, Y.; Cao, Y.; Song, J.; Li, M.; Wu, Y.; Wang, X.; Xiang, X.; Juan, J.; et al. Association between temperature variability and daily hospital admissions for cause- specific cardiovascular disease in urban China: A national time-series study. PLoS Med. 2019, 16, e1002738. [Google Scholar] [CrossRef]
- Huang, J.; Wang, L.; Wang, S.; Lu, Y.; Zhang, W.; Wang, J. Spatial and temporal characteristics of temperature effects on cardiovascular disease in Southern China using the Empirical Mode Decomposition method. Sci. Rep. 2018, 8, 14775. [Google Scholar] [CrossRef]
- Zhai, G.; Zhang, K.; Chai, G. Lag effect of ambient temperature on the cardiovascular disease hospital admission in Jiuquan, China. Air Qual. Atmos. Health 2021, 14, 181–189. [Google Scholar] [CrossRef]
- Gasparrinia, A.; Armstronga, B.; Kenwardb, M.G. Distributed lag non-linear models. Stat. Med. 2010, 29, 2224–2234. [Google Scholar] [CrossRef] [Green Version]
- Samet, J.M.; Dominici, F.; Zeger, S.L.; Schwartz, J.; Dockery, D.W. The national morbidity, mortality, and air pollution study. part I: Methods and methodologic issues. Res. Rep. Health Eff. Inst. 2000, 5, 5–14. [Google Scholar]
- Cox, L.A.; Popken, D. Has reducing fine particulate matter and ozone caused reduced mortality rates in the United States? Ann. Epidemiol. 2015, 25, 162–173. [Google Scholar] [CrossRef]
- Turner, M.C.; Jerrett, M.; Pope, C.A.; Krewski, D.; Gapstur, S.M.; Diver, W.R.; Beckerman, B.S.; Marshall, J.D.; Su, J.; Crouse, D.L.; et al. Long-Term Ozone Exposure and Mortality in a Large Prospective Study. Am. J. Respir. Crit. Care Med. 2016, 193, 1134–1142. [Google Scholar] [CrossRef] [PubMed] [Green Version]




| Variable | Mean ± SE | Minimum | Median | Maximum | |
|---|---|---|---|---|---|
| Cardiovascular deaths | Winter | 394.2 ± 4.96 | 282 | 393 | 538 |
| Spring | 356.0 ± 4.49 | 262 | 354 | 476 | |
| Summer | 328.2 ± 6.22 | 262 | 321 | 837 | |
| Fall | 346.7 ± 4.11 | 263 | 342 | 444 | |
| Temperature | Winter | −2.58 ± 0.52 | −18.53 | −1.71 | 9.84 |
| Spring | 9.84 ± 0.45 | −6.67 | 9.76 | 25.00 | |
| Summer | 22.27 ± 0.34 | 13.88 | 22.22 | 29.00 | |
| Fall | 10.58 ± 0.44 | −3.81 | 10.59 | 24.09 | |
| Humidity | 69.65 ± 0.36 | 35.55 | 70.23 | 92.45 | |
| Pressure | 29.27 ± 0.01 | 25.55 | 29.32 | 29.77 |
Publisher’s Note: MDPI stays neutral with regard to jurisdictional claims in published maps and institutional affiliations. |
© 2022 by the author. Licensee MDPI, Basel, Switzerland. This article is an open access article distributed under the terms and conditions of the Creative Commons Attribution (CC BY) license (https://creativecommons.org/licenses/by/4.0/).
Share and Cite
Mahmoud, H.F.F. Semiparametric Permutation-Based Change Point Detection with an Application on Chicago Cardiovascular Mortality Data. Mathematics 2022, 10, 857. https://doi.org/10.3390/math10060857
Mahmoud HFF. Semiparametric Permutation-Based Change Point Detection with an Application on Chicago Cardiovascular Mortality Data. Mathematics. 2022; 10(6):857. https://doi.org/10.3390/math10060857
Chicago/Turabian StyleMahmoud, Hamdy F. F. 2022. "Semiparametric Permutation-Based Change Point Detection with an Application on Chicago Cardiovascular Mortality Data" Mathematics 10, no. 6: 857. https://doi.org/10.3390/math10060857
APA StyleMahmoud, H. F. F. (2022). Semiparametric Permutation-Based Change Point Detection with an Application on Chicago Cardiovascular Mortality Data. Mathematics, 10(6), 857. https://doi.org/10.3390/math10060857
