Next Article in Journal
Recurrent Neural Network Models Based on Optimization Methods
Previous Article in Journal
Design and Analysis of Novel Non-Involute Cylindrical Gears with a Curved Path of Contact
 
 
Font Type:
Arial Georgia Verdana
Font Size:
Aa Aa Aa
Line Spacing:
Column Width:
Background:
Article

Offensive/Defensive Game Target Damage Assessment Mathematical Calculation Method between the Projectile and Target

1
School of Electronic and Information Engineering, Xi’an Technological University, Xi’an 710021, China
2
School of Mechatronic Engineering, Xi’an Technological University, Xi’an 710021, China
*
Author to whom correspondence should be addressed.
Mathematics 2022, 10(22), 4291; https://doi.org/10.3390/math10224291
Submission received: 11 September 2022 / Revised: 6 November 2022 / Accepted: 15 November 2022 / Published: 16 November 2022

Abstract

The target damage assessment when a projectile is attacking a ground target under uncertain information is a difficult problem to solve, because the intersection-relative position of the projectile and target is a random distribution and the target damage is also uncertain in the intersection confrontation between projectile and target. This paper regards the projectile and target as two participants of the zero-sum non-cooperative confrontation game and studies an offensive/defensive game damage strategy modeling method when the projectile meets the target under uncertain information. According to the information of both the projectile and the target, from the perspective of the gain of the projectile attacking the ground target and the gain of the ground target defense, this paper establishes the indicator function of offensive/defensive game of projectile and target intersection under uncertain information and constructs the payoff matrix of the confrontation game between the projectile and the target. The Nash equilibrium of the game is obtained by combining the particle swarm optimization algorithm and the interval number multiple attribute ranking method in the case of uncertain information, and then, a new optimal damage assessment strategy method of Offensive/Defensive Game of projectile and target is gained, the method to solve the Nash equilibrium value of the payment matrix is given. Simulations are performed to validate the feasibility and effectiveness of the proposed game damage strategy model and the solution method.
MSC:
60A86; 93A30; 91A10; 91A25

1. Introduction

The damage assessment of the intersection of the projectile and target has improved from how to effectively assess the damage of the warhead fragments formed by different projectile proximity distribution to target and how to evaluate the guidance effect of the interaction between the detection ability and communication ability of the projectile proximity. On the one hand, when multiple projectiles attack the target, the echo energy formed by the projectiles in the process of approaching the target will increase with the decrease in the detection distance. The echo information detection device of the projectiles will obtain enough detonation control information, and control projectiles to explode, thus forming a warhead fragment group. On the other hand, in addition to passively detecting the echo information of targets, advanced projectile guidance is embedded with a communication module, which can detect the distance information between targets through multiple projectiles. Through multiple projectile communication, the nearest target can be found to be damaged by the initiation explosion of projectiles, while other projectiles do not detonate, but continue to move forward, waiting for the next stage to meet new targets, and then detonate. Thus, the effectiveness of multiple projectiles on targets is optimized and improved. Based on these two aspects, the damage of multiple projectiles to targets is a very important research point, which is also the mainstream trend of the current development of smart projectiles. From the point of view of targets, because the projectiles have the ability to selectively guide the targets, the targets also have the ability to control the mobile movement, so the targets are selective defense capabilities, and also have the ability to attack the projectiles coming from the air. Therefore, the target damage evaluation of the intersection of projectiles and targets has been reflected in the damage decision evaluation reasoning of the confrontation game between the two sides, which is an important research topic at present.
For the damage test of the projectile attack against the target, it is difficult to obtain relatively accurate warhead fragment distribution parameters. At present, the damage test mainly uses high-speed photography to obtain the explosion position of the projectile. The warhead fragment distribution parameters are available, but the attack angle at the moment of the projectile explosion is also unavailable, which leads to the uncertainty of the warhead fragment distribution trend formed by the projectile explosion and is difficult to obtain in specific tests. This is also a difficult study problem at home and abroad. The damage effect of the projectile on the target needs to be evaluated with real data. However, in the battlefield environment, there is no comparison of the complete equipment to obtain the dispersion law, the kinetic energy and momentum, the attitude angle, the volume and other parameters of warhead fragments formed by the explosion of the projectile in the current test. Therefore, determining how to evaluate the damage effect of the projectile on the target is still a difficult point in the existing test of projectile proximity explosion position and target damage. This is a recognized problem, and it is also an urgent problem to be solved in the current damage evaluation of projectile to target. Due to the different intersection posture of the projectile and target intersection and the deviation of the projectile guidance control, the explosion position of the projectile fuze is a random uncertain state, resulting in the probability that the warhead fragment group attacking the target is a fuzzy datapoint. Some scholars have also conducted some research in this regard, for example, Wei et al. researched a comprehensive damage effectiveness evaluation method based on fuzzy reasoning and used the fuzzy reasoning to evaluate the damage effectiveness of ground targets [1]. Zhang et al. put forward a method of damage effect analysis which was established to evaluate the damage of fragmentation warheads on early-warning aircraft; the method considers the vulnerability model of mission systems as well as the detection and detonation processes of proximity fuzes [2]. Qiao et al. studied the damage assessment of a ship target by using a laser detection device to identify and detonate intelligently at fixed altitude, and obtained the damage efficiency based on the damage coverage method and fragments statistics method [3].
With the development of weapon equipment in the directions of long-distance, high precision and high power, its structure has become complex, its types are more abundant, and the performance parameters representing the weapon systems have exponentially increased, which brings significant challenges to the finalization and identification test of weapon equipment. Conducting the type identification test task reasonably and accurately evaluating the system efficiency of weapons and equipment have become extremely challenging problems in the range test identification field [4]. In recent years, the target damage test and evaluation, as an important part of weapon identification, has become a hot spot in the development of weapon system target damage theory and test methods [5]. It is also a bottleneck restricting the development of weapons in the directions of long-range, high precision and high power [6]. Especially the target damage assessment test of projectile and target (ground target) intersection. There are two main difficulties in the target damage evaluation test of projectile and target intersection. First, there are many calculation parameters involved in target damage, and it is impossible to comprehensively obtain accurate damage calculation data in many test environments. These data are characterized by the uncertainty of information to a great extent. Thus, it is difficult to objectively evaluate the target damage effect. Second, the environmental information of the target damage test is mostly uncertain, which leads to the formation of an uncertain interval state when the projectile attacks the target. Therefore, the characteristics of the projectile and target intersection show randomness, and it is difficult to adopt an inherent strategy to evaluate the effectiveness of target damage. Moreover, the projectile uses its induction guidance system to attack the target, making the target lose its combat ability. The relationship between the projectile and the target is a confrontation game relationship. The target also uses its perception and defense system to interfere with the projectile to form explosive power in order to reduce the probability of damage. Therefore, the confrontation damage between projectile and target has been upgraded to the game between them. The target damage of missile-target intersection is an important guarantee for the current air defense interception efficiency. Establishing the damage strategy model between the projectile and the target under an uncertain environment is a difficult task. The missile-target intersection game confrontation damage based on uncertain information is a new topic that has been rarely reported in the literature.
Currently, the target damage evaluation method mainly focuses on the damage effectiveness produced by the projectile hitting the target directly. It is active damage caused by the projectile attacking the target. A damage assessment model of warhead fragment based on shot-line technology has been developed in [7]. A new grey clustering evaluation model has been implemented in [8] to evaluate the target damage ability of air defense weapons. Si et al. [9] established the damage assessment method of fragmentation warhead against airplane targets and analyzed the relation between the damage of components and the damage of airplanes by a tree diagram to obtain the damage probability of airplanes by the damage probability of components. Fu et al. [10] used the fragment centroid tracking method to establish the calculation model of fragment distribution density and killing area, and researched a comprehensive performance analysis system for numerical simulation of blast-fragmentation warhead power field. In [11], authors established the battle damage assessment function based on fuzzy and Bayesian theory and presented the method of battle damage assessment under the uncertain environment based on the subpixel morphological anti-aliasing (SMAA) technique. They provided a new idea to solve the problem of battle damage assessment in an uncertain information environment. Most of the target damage calculation methods described above can obtain good results based on relatively complete damage information parameters and the target damage effectiveness research in these methods mainly considers the passive damage degree of the target. However, in the calculation of projectile and target intersection damage on the battlefield, when the projectile attacks the target, the target will also use its defense function to avoid the attack of the projectile, or the attacked target produces a kind of defensive interference making the incoming projectile lose its power. The relationship between the projectile and the target can be attributed to a two-person zero-sum non-cooperative game state, which is different from the existing unmanned ariel vehicle (UAV) confrontation game mechanism [12,13]. For the projectile side, its attack selectivity is passive and non-restorative, it is a one-time attack and defense. While the UAV has the selectivity and restorability of attack state when attacking the target [14]. When the search for the target fails, the UAV can restore the flight state through its sensor, which is a repeatable and selective attack and defense.
Based on the above background, this paper studies the offensive/defensive game damage strategy of projectile and target intersection under uncertain information. Starting from the theoretical modeling of projectile and target intersection, using probability theory, we search for the payment function of the offensive/defensive game between the projectile and the target based on the opposite relationship between the benefit of the projectile attacking the target and the benefit of the target defense the projectile. From the perspective of the offensive/defensive characteristics of the projectile and the target, the payoff matrix of the confrontation game between the projectile and the target under uncertain information and the damage model of mixed strategy offensive/defensive game are established. According to the quantitative value, using the Nash equilibrium value based on particle swarm optimization algorithm, the payment matrix parameters of both sides of the game are solved. The highlights and contributions of this paper are as follows:
(1)
The offensive/defensive confrontation between projectile and target is studied as a typical two-person zero-sum non-cooperative game problem. The projectile and the target are regarded as the two participants of game confrontation. According to the interval information of various operational parameters collected by both projectile and target, the game model of offensive/defensive confrontation between projectile and target under uncertain information is established.
(2)
The calculation functions of the benefits of the projectile attacking the target and the benefits of the ground target defensing the projectile are established, then the payment matrix function and the strategy set of offensive/defensive game between the projectile and target are formed.
(3)
According to the offensive/defensive characteristics of the projectile and the target, an offensive/defensive game damage mixed strategy model under uncertain information is established. Using the probability function of interval information and particle swarm optimization algorithm, the Nash equilibrium value of game confrontation is solved, so as to explore the game income between the projectile and the target, and judge the damage results according to the equilibrium of the income. The possibility degree function of interval information and the particle swarm optimization (PSO) algorithm are used to solve the Nash equilibrium value of game confrontation in order to explore the game profit between projectile and target, and determine the damage result according to the balance of profit.
The remainder of this paper is organized as follows. Section 2 states the two-person zero-sum non-cooperative basic model of target damage under projectile and target intersection. Section 3 sets up the payoff function between projectile and target under uncertain information. Section 4 researches the solution of the Nash equilibrium value of an offensive/defensive game based on uncertain information. Section 5 gives the validation method and calculation results. Finally, the conclusions are drawn in Section 6.

2. Two-Person Zero-Sum Non-Cooperative Basic Model of Target Damage under Projectile and Target Intersection

This paper mainly studies the offensive/defensive game damage method of a projectile attacking ground armored targets, considering the projectile and the ground armored vehicle as participants 1 and 2, respectively. Figure 1 is the schematic diagram that projectile attack the ground targets.
In Figure 1, v 1 is the velocity which the projectile hits a ground armored target, and v 2 is the velocity at which a ground armored target moves.
The two-person zero-sum non-cooperative game model is represented by G = A 1 , A 2 ; B 1 , B 2 ; Z 1 , Z 2 . In this paper, the ground armored targets are referred simply as targets. In the above game model, A 1 and A 2 are the participants of the game, representing the attacker (projectile) and the defender (target), respectively; B 1 is the strategy set obtained by the projectile attacking the target, B 2 is the strategy set obtained by the target effectively defending the projectile, while Z 1 and Z 2 are the benefit function sets of projectile attacking and target defensing, respectively. Each participant has its own policy sets that are composed of limited strategies. Suppose the strategy combination is ( Z 1 l , Z 2 k ) , the expected game payment values of participants 1 and 2 are f 1 ( Z 1 l , Z 2 k ) and f 2 ( Z 1 l , Z 2 k ) , respectively, and the sum of the two payment values is zero. Since Participant 1 and Participant 2 have a finite set of strategies, the sum of the payment values to any combination of strategies of the two participants is zero, then the random matrix game is also called a two-person finite zero-sum game [15,16,17,18].
The damage problem of the offensive/defensive game of the intersection of projectile and target can be regarded as the offensive/defensive game of Participant 1 and Participant 2. Participant 1 is the projectile (attacker) and Participant 2 is the target (defender). As the attacking party, the projectile intersects with the target to form an explosion power fragment field, causing losses to the target. The purpose of the projectile attack is to make the effective fragments formed by the projectile explosion achieve optimal damage to the target. In this case, the projectile is considered to obtain the optimal benefit. When the target finds the incoming projectile, it uses its defense system to interfere with the projectile so that the projectile does not explode, or the projectile explodes before it reaches the damage range of the target. This phenomenon is called projectile loss. Under this condition, the target can maintain its survivability, which is called target revenue. In the process of confrontation between the attacker and the defender, both sides are looking for the optimal strategy to find the Nash equilibrium point of the game matrix.
Suppose Participant 1 (projectile side) has n projectiles, and the set is U 1 , U 2 , U n . x i j i = 1 , 2 n , j = 1 , 2 m indicates the confrontation status of the projectile side. x i j = 1 indicates that the i-th projectile of the projectile side attacks the j-th target, and x i j = 0 indicates that the i-th projectile is invalid to attack the target [19]. It can be regarded that the target is in a defensive state, that is, the projectile does not form explosive power. When Participant 2 finds the threat of a projectile attack, it evaluates the battlefield situation and chooses whether to counterattack the projectile to protect his position. The collection of the target side is D 1 , D 2 , , D m . y j i i = 1 , 2 n , j = 1 , 2 m indicates the confrontation state of the target. y j i = 1 indicates that the j-th target effectively defends the i-th projectile, and y j i = 0 indicates that the j-th target fails to effectively defend the i-th projectile. The strategy sets of the projectile and the target sides are x 1 , x 2 , , x n and y 1 , y 2 , , y n , respectively.

3. Establishment of Payoff Function between Projectile and Target under Uncertain Information

3.1. Benefits of Projectile Attack on the Target

Assuming that the target value set is { v 1 , v 2 , , v m } and the projectile value is v a . v max is the maximum value of attack revenue of the launched projectile, that is, v max = max 1 j m v j . p i j is the damage probability of the i-th projectile attacking the j-th target, p i j = [ ( p i min 1 , p i max 1 ) , ( p i min 2 , p i max 2 ) , , ( p i min m , p i max m ) ] , where ( p i min j , p i max j ) is the damage interval probability of the i-th projectile to the j-th target. Then the income index function R i j is:
R i j = v j p i j x i j v a v max
If k projectiles are simultaneously attacking the j-th target, the revenue index function is transformed into R i j k :
R i j k = v j j = 1 k ( 1 p i j ) j = 1 k x i j v a v max
where x i j = 1 indicates that the i-th projectile effectively attacks the j-th target; x i j = 0 means that the i-th projectile fails to attack the j-th target.
When multiple projectiles attack the target, there is a certain distance between the projectiles and the target. If the distance between the projectiles meets the launch and explosion conditions of the projectile’s guidance device, the projectiles will form certain warhead fragments to successfully attack the target, which is called the effective attack target of the projectiles. If the projectile is interfered with by the defense of the target, the distance between the projectile and the target will make the projectile lose its guidance ability or the explosion will have no impact on the target, that is, the projectile fails to effectively attack the target. In order to objectively describe the game damage relationship between the projectile and the target, the distance cost function of the missile-target intersection is introduced.
Assuming that d i j represents the distance between the i-th projectile and the j-th target. d max is the maximum distance of the projectile explosion, d max = max 1 i n , 1 j m d i j , then the intersection distance cost function of the i-th projectile damaging the j-th target is G i j = d i j / d max . If k projectiles are attacking the j-th target at the same time, the intersection distance cost function is transformed into:
G i j k = 1 k i = 1 k d i j / d max

3.2. Target Defense Revenue

Assuming that the projectile value set is { v 1 , v 2 , , v n } , v i is the value information of the j-th target, i = 1 , 2 n . v max is the maximum value of the target defense revenue, p i j is the interception probability of the i-th projectile for the j-th target, p i j = [ ( p j min 1 p j max 1 ) , ( p j min 2 p j max 2 ) , , ( p j min n p j max n ) ] [20], where ( p j min i p j max i ) is the effective defense interval probability of the j-th target against the i-th projectile, v b is the target value, then the cost index function R i j of the i-th projectile defended by the j-th target is defined as:
R i j = v i p i j y j i v b v max
If l targets are defending the i-th projectile at the same time, the defense cost index function is transformed into R i j l that can be expressed as:
R i j l = i = 1 l v i [ 1 i = 1 l ( 1 p i j ) ] y j i v b l v max
where y j i = 1 indicates that the j-th target effectively defends against the i-th projectile; y j i = 0 indicates that the j-th target fails to effectively defend against the i-th projectile.

3.3. Payoff Function of Offensive/Defensive Game between Projectile and Target

The payoff function of the damage of the i-th projectile to the j-th target is:
F i j = ω 1 R i j ω 2 G i j R i j
where ω 1 and ω 2 are the target value income index weight and the intersection distance cost index weight, respectively, ω 1 + ω 2 = 1 .
Considering that k projectiles simultaneously attack the j-th target, then the payment function is:
F i j k = ω 1 R i j k ω 2 G i j k R i j l
Due to the uncertainty of information, each element in the calculated payment matrix is an interval number, each row vector of the matrix corresponds to a pure strategy of the projectile, and each column corresponds to a pure strategy of the target. Then the payment matrix F of both sides of the game [21] is defined as:
y 1   y 2   y n   F = x 1 x 2 x n F 11 F 12 F 1 n F 21 F 22 F 2 n F n 1 F n 2 F n n = f min 11 , f max 11 f min 12 , f max 12 f min 1 n , f max 1 n f min 21 , f max 21 f min 22 , f max 22 f min 2 n , f max 2 n f min n 1 , f max n 1 f min n 2 , f max n 2 f min n n , f max n n
where x 1 , x 2 , , x n and y 1 , y 2 , , y n refer to the strategies of the projectile attack and the target defense, respectively. F g 1 , F g 2 , , F g n are the payment values of projectile attack when the target defense adopts strategies of y 1 , y 2 , , y n and the projectile attacker adopts the strategy x g , g = 1 , 2 , , n . These payment values are all interval numbers, which are expressed as ( f 1 g 1 , f 2 g 1 ) , ( f 1 g 2 , f 2 g 2 ) , , ( f 1 g n , f 2 g n ) .

4. Solution of Nash Equilibrium Value of Offensive/Defensive Game Based on Uncertain Information

4.1. Basic Concepts of Offensive/Defensive Game under Hybrid Strategy

Definition 1.
Assuming that N is the set of participants participating in the game [22,23]. For each participant i N , the pure strategy set of participant i is S i = s 1 , s 2 , , s m . If the participant i chooses each pure strategy s k with probability x k , x i = ( x 1 , x 2 , , x m ) is called a hybrid strategy of participant i. Among them, x k 0 , k = 1 m x k = 1 .
Definition 2.
Assuming that x = x 1 , x 2 , , x n is a hybrid strategy situation of non-cooperative game G. If for each i N and every x i X i , there is E i ( x x i ) E i ( x ) , i = 1 , 2 , , n , x is called a hybrid strategy Nash equilibrium point of G and { E i ( x ) } is the corresponding equilibrium result.

4.2. Solution Method of Nash Equilibrium Value of Payment Matrix of Both Sides of the Game

According to the definition of the possibility degree of interval number in uncertain multiple attribute decision-making, the Nash equilibrium value of the payment matrix of both sides of the game is solved using the interval possibility degree [24]. Assuming that f 1 = ( f 1 L , f 1 U ) , f 2 = ( f 2 L , f 2 U ) , then the possibility degree of f 1 > f 2 is expressed as:
p f 1 > f 2 1 , f 2 U f 1 L ; f 1 U f 2 U f 1 U f 1 L + f 2 U f 1 L f 1 U f 1 L · f 1 L f 2 L f 2 U f 2 L + 0.5 f 2 U f 1 L f 1 U f 1 L · f 2 U f 1 L f 2 U f 2 L , f 2 L < f 1 L < f 2 U f 1 U ; f 1 U f 2 U f 1 U f 1 L + 0.5 f 2 U f 1 L f 1 U f 1 L , f 1 L f 2 L < f 2 U f 1 U .
Correspondingly, the possibility degree of f 2 > f 1 can be represented as:
p f 2 > f 1 0 , f 2 U f 1 L ; 0.5 f 2 U f 1 L f 1 U f 1 L · f 2 U f 1 L f 2 U f 2 L , f 2 L < f 1 L < f 2 U f 1 U f 2 L f 1 L f 1 U f 1 L + 0.5 f 2 U f 2 L f 1 U f 1 L , f 1 L f 2 L < f 2 U f 1 U .
Let F g 1 = ( f 1 g 1 , f 2 g 1 ) , F g 2 = ( f 1 g 2 , f 2 g 2 ) , , F g n = ( f 1 g n , f 2 g n ) be the payoff value of the projectile attack when the targeted defender takes the strategy x g , while the target adopts strategies y 1 , y 2 , , y n . Finally, the probability matrix of Formula (11) can be obtained by comparing the interval number two by two:
F g 1 F g 2 F g n f = F g 1 F g 2 F g n p 12 p 1 m p 21 p 2 m p n 1 p n 2
In Formula (11), p i j is the possibility degree of under F g i > F g j , p i j = 1 p i j , i , j 1 , , m ,   i j ,   p i i = , means that there is no need to give any information compared with the interval number F g i , i 1 , 2 , , n [25,26]. The matrix P is a complementary judgment matrix. The value of p i j is used to describe the degree to which the interval payment F g i is superior to the interval payment F g j . When p i j = 1 , F g i is superior to F g j . When p i j = 0 , F g j is superior to F g i .

4.3. Nash Equilibrium Solution Based on Particle Swarm Optimization Algorithm

Assuming that the hybrid strategy of Participant 1 in the game is x x 1 , x 2 , , x m , and the Nash equilibrium value can be obtained as:
v 1 = max x X n min 1 j n i = 1 n F i j x i
The single matrix Nash equilibrium can be transformed into a linear programming problem. In the uncertain information environment, the gain value of each scheme is an interval number, let H ( x ) = min 1 j n i = 1 n F i j x i , thus Formula (12) can be transformed into a mathematical programming problem, that is v = max H ( x ) .
s . t . i = 1 n F i j x i > H ( x ) ,             j = 1 , 2 , , n ; i = 1 n x i = 1 , x i > 0 ,             i = 1 , 2 , , n .
The solution of Nash linear programming is the optimal solution of Nash linear programming. In this paper, the PSO algorithm is used to solve the single matrix game problem with interval value [27]. Suppose that in an M-dimensional searching space S R M and a population composed of n particles, the position of the j t h particle is represented by an M-dimensional vector, that is X j = ( x j 1 , x j 2 , , x j M ) , the position of a particle represents a candidate solution of the problem. The quality of these solutions is determined by the fitness function value. The better the fitness function value, the better the solution associated with it. At the same time, the fitness function is related to the objective function that is generally set according to specific problems. The velocity of a particle is also an M-dimensional vector, V j = ( v j 1 , v j 2 , , v j M ) . The best position encountered during the flight of the j t h particle is a point in space S, which can be expressed as P j = ( p j 1 , p j 2 , , p j M ) . ε represents the best position of the population obtained by the particle swarm in the previous flight and p ε represents the position of the best particle of the population [28,29]. After iterative optimization and random search, the final solution p ε of the optimization problem is obtained. The iterative update calculation of particle velocity and position is represented by Formula (14).
v j d ( k + 1 ) = w v j d ( k ) + c 1 r 1 ( p j d ( k ) x j d ( k ) ) + c 2 r 2 ( p ε d ( k ) x j d ( k ) ) x j d ( k + 1 ) = x j d ( k ) + v j d ( k + 1 )
In Formula (14), w is the inertia weight coefficient and is set to define the searching range of the solution; d = 1 , 2 , , m , j = 1 , 2 , , n , k is the current number of iterations; c 1 and c 2 are the learning factors; r 1 and r 2 are two independent random functions between (0, 1). The position and velocity variation ranges of the d t h dimensions are [ x max d , x max d ] and [ v max d , v max d ] , respectively. If x j d exceeds the boundary value in the iteration, it will be set as the boundary value x max or x max [30].
The optimal particle of each individual is the best position that the corresponding individual has reached, and its update method is:
(1)
Assuming that the individual optimal particle of the previous generation is p ε ( t ) , the current individual optimal particle is P ε ( t + 1 ) , and the newly generated particle be X j ( t + 1 ) . If P f ( X j ( t + 1 ) ) > f ( P ε ( t + 1 ) ) > 0.5 , then P ε ( t + 1 ) = X j ( t + 1 ) , where f ( x ) represents the fitness function.
(2)
If P f ( X j ( t + 1 ) ) > f ( P ε ( t + 1 ) ) 0.5 , then P ε ( t + 1 ) = P ε ( t ) .
The global optimal particle is the best position reached by all the current particles. The possibility matrix is obtained by comparing the interval fitness of the individual optimal particle of the current population. Then, the interval fitness is ranked according to the complementary possibility matrix ranking method and the first is regarded as the global optimal particle. The specific processing algorithm steps are as follows:
(1)
In the entire search space, the randomly generated position and velocity are used to initialize the particle swarm. Regarding the current particle as the individual optimal, the corresponding fitness of each particle is obtained, and then the global optimal is obtained according to the interval number ranking method.
(2)
The particles are updated to obtain a new generation of particles and the corresponding fitness of each particle is calculated. Each particle and its corresponding individual optimal particle are sorted to obtain a new individual optimal particle and all individual optimal particles are sorted to obtain a new global optimal particle.
(3)
If the iteration termination condition is not satisfied, the particles are updated again, the fitness of each particle is determined again. If the maximum number of iterations is reached, the global optimal particle is output after the end of the cycle.

5. Calculation and Analysis

In order to fully verify the rationality of the theoretical model and calculation method proposed in this paper, according to the theoretical dispersion law of warhead fragments formed by the projectile explosion, we quantitatively calculate and analyze the damage strategy studied according to the relative position of the projectile explosion relative to the target measured in the shooting range. Based on the interval range of the projectile explosion position, assuming that two projectiles are attacking two targets on the ground, the damage interval probability of the target, when the projectiles attack the target, is shown in Table 1. The defense probability of the two targets is shown in Table 2. Based on the data in Table 1 and Table 2, the strategy set of projectile attack and defense, as well as the strategy set of target defense against projectiles, are established by Formulas (1)–(8). According to the formed strategy set, the payment matrix of the projectile and target is calculated using Formulas (9)–(11), and using the Nash equilibrium value of the particle swarm optimization algorithm, the payment matrix parameters is solved. Through optimization measures, a strategy of comparative advantage is formed, that is, using this confrontation strategy, the projectile can obtain the best damage effect.
The value matrix of the two projectiles is v a = [26,28], and the estimated value matrix of the target interval is v b = [35.2,43.5]. The set of projectile attack strategies is { x 1 , x 2 , , x n } , strategy x 1 means that Projectiles 1 and 2 effectively attack Targets 1 and 2, respectively. The strategy x 2 indicates that Projectile 1 effectively attacks Target 1, and Projectile 2 attacks Target 2 in an invalid state. The strategy x 3 indicates that Projectile 1 attacks Target 1 in an invalid state, and Projectile 2 effectively attacks Target 2. The strategy x 4 indicates that Target 1 attacked by Projectile 1 is in an invalid state, and Target 2 attacked by Projectile 2 is also in an invalid state. The strategy x 5 means that Projectile 1 effectively attacks Target 2, and Projectile 2 effectively attacks Target 1. The strategy x 6 indicates that Projectile 1 effectively attacks Target 2 and Projectile 2 attacks Target 1 in an invalid state. The strategy x 7 indicates that Projectile 1 attacks Target 2 in an invalid state, and Projectile 2 effectively attacks Target 1. Similarly, the strategy set of target defense against projectile attack is { y 1 , y 2 , , y n } : strategy y 1 means that Target 1 effectively defends Projectile 1 and Target 2 effectively defends Projectile 1. The strategy y 2 indicates that Target 1 effectively defends Projectile 1, and Target 2 ineffective defends Projectile 1. The strategy y 3 indicates that Target 1 is invalid to defend Projectile 1, and Target 2 is effective to defend Projectile 1. The strategy y 4 indicates that Target 1 effectively defends Projectile 2 and Target 2 effectively defends Projectile 1. The strategy y 5 indicates that Target 1 can effectively defend against Projectile 2, and Target 2 cannot defend against Projectile 1. The strategy y 6 indicates that Target 1 is invalid to defend Projectile 2, and Target 2 is effective to defend Projectile 1. The strategy y 7 indicates that Target 1 is invalid to defend Projectile 2, and Target 2 is invalid to defend Projectile 1.
According to the payment function model of both projectile and target under uncertain information, the payment game matrix between projectile and target can be calculated as follows:
( 29.6 , 65.1 ) ( 21.2 , 50.5 ) ( 30.1 , 47.8 ) ( 23.4 , 60.1 ) ( 22.8 , 49.8 ) ( 33.7 , 52.9 ) ( 42.4 , 56.8 ) ( 2.9 , 18.2 ) ( 5.6 , 18.4 ) ( 9.1 , 21.3 ) ( 9.5 , 18.8 ) ( 0.8 , 12.3 ) ( 0.4 , 10.7 ) ( 7.3 , 15.6 ) ( 15.9 , 31.3 ) ( 11.4 , 27.9 ) ( 22.1 , 32.8 ) ( 16.6 , 23.4 ) ( 19.3 , 25.2 ) ( 9.8 , 18.7 ) ( 26.1 , 35.4 ) ( 4.8 , 19.8 ) ( 6.9 , 21.0 ) ( 2.6 , 14.2 ) ( 9.8 , 22.3 ) ( 1.3 , 32.1 ) ( 10.2 , 15.6 ) ( 4.7 , 9.5 ) ( 26.3 , 30.4 ) ( 18.3 , 45.2 ) ( 22.4 , 39.1 ) ( 30.5 , 65.2 ) ( 18.5 , 36.8 ) ( 27.3 , 40.9 ) ( 30.2 , 44.7 ) ( 15.2 , 37.1 ) ( 20.0 , 36.4 ) ( 19.6 , 27.7 ) ( 29.4 , 38.1 ) ( 21.1 , 40.5 ) ( 38.3 , 51.2 ) ( 24.5 , 37.9 ) ( 18.4 , 38.5 ) ( 8.9 , 11.4 ) ( 0.88 , 5.67 ) ( 1.29 , 18.2 ) ( 2.26 , 18.8 ) ( 12.3 , 20.1 ) ( 5.77 , 21.3 )
Using the PSO algorithm and the possibility formula of the interval, the variation interval of projectile fitness value is obtained, as shown in Figure 2. The variation range of target fitness value is obtained, as shown in Figure 3. In Figure 2, the black line represents the change in the fitness of the projectile attacking the target, and the red line represents the change in the fitness of the projectile defending the target. In Figure 3, the black line represents the change in the fitness of the target defending projectiles, and the red line represents the change in the fitness of the target attacking projectiles.
Using the particle swarm optimization algorithm, through simulation calculation, we can obtain the Nash equilibrium solution of the projectile side mixed strategy sets and the target side mixed strategy sets, which are (0.485,0,0,0,0.515,0,0) and (0,0,0.491,0,0,0.509,0), respectively, while the attack and defense strategies of missile-target intersection all adopt the hybrid strategy set. The probabilities of the first and the fifth strategies are 0.485 and 0.515, respectively, and the probabilities of the other strategies are 0. Namely, the strategy probability of x 1 is 0.485 when Projectile 1 is selected to attack Target 1, Projectile 2 attacking Target 2; and the strategy probability of x 5 is 0.515 when Projectile 1 is selected to attack Target 2, Projectile 2 attacking Target 1. The projectile gains the maximum benefit from attacking the target. At the same time, for the target strategy set (0, 0, 0.491, 0, 0, 0.509, 0), the probability of adopting the third and the sixth strategies for target defense are 0.491 and 0.509, respectively, and the others are 0. In other words, the strategy probability of selecting Target 1 using invalid defense Projectile 1 and Target 2 using effective defense Projectile 1 is 0.491, and the probability of selecting Target 1 using invalid defense Projectile 2 and Target 2 using effective defense Projectile 1 is 0.509.
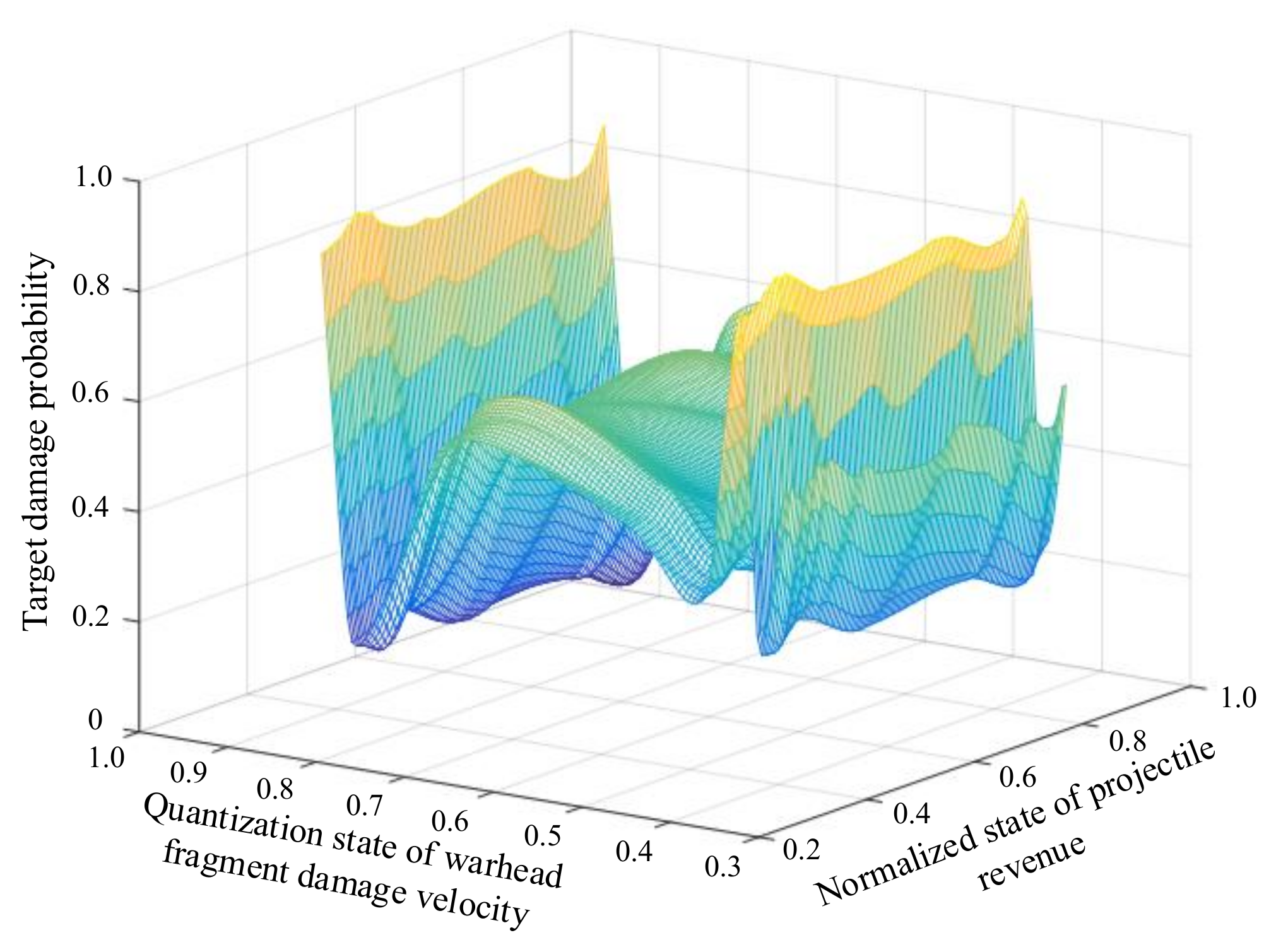
In order to evaluate the damage effectiveness of the attacked target, the target damage effectiveness is calculated using the hit probability of the warhead fragment formed by the projectile explosion and the game gains of the projectile and the target and calculate the target damage probability. According to the projectile strategy set (0.485,0,0,0,0,0.515,0,0) and the target strategy set (0,0,0.491,0,0,0.509,0), we use the quantization state of warhead fragment damage velocity and normalized state of projectile revenue to calculate the target damage probability, Figure 4 shows the distribution target damage probability under the game hybrid strategies.
Under the same projectile and target strategy set of Figure 4, Figure 5 gives the distribution of target damage probability between the quantization state of warhead fragment number and normalized state of projectile revenue.
From Figure 4 and Figure 5, it can be found that the target damage effect is different under different warhead fragment damage velocities and fragment numbers when the two sides’ revenue are different. The target damage probability is determined jointly by the projectile attacker and the target defender. The calculation results verify the rationality of the model of offensive/defensive game target damage assessment strategy.
In order to make the verification of the paper clearer and more reasonable, based on the same premise of the explosive position of the projectiles, we calculate the damage strategy of three projectiles attacking two ground armored targets. Assume that the value matrix of three projectiles is v a = [25,27,29], and the interval estimated value matrix of target is v b = [35.7,42.8]. The projectile attack strategy set is { x 1 , x 2 , , x 18 } , and the target defense strategy set for projectile attack is { y 1 , y 2 , , y 18 } . The damage probability of the target when the two projectiles attack the two ground armored targets and the defense probability of the two targets defending against the three projectiles are shown in Table 3 and Table 4, respectively.
According to the payment function model of projectile and target under the uncertain information established by Formula (8), based on the damage interval probability of the projectile attacking the target and the defense probability of the target obtained, through calculation, we can get an 18 × 18-dimensional confrontation game payment matrix of the three projectiles and the two targets. Using the particle swarm optimization algorithm, we can obtain the Nash equilibrium solution of the projectile side mixed strategy through simulation calculation, which is x = (0,0,0,0,0.362,0,0,0.418,0,0,0,0,0, 0.837, 0,0,0.688,0). That is, the probabilities of the 5th strategy x 5 , the 8th strategy x 8 , the 14th strategy x 14 and the 17th strategy x 17 of the projectiles are 0.362, 0.418, 0.897 and 0.688, respectively, and the probabilities of other strategies are 0. Namely, the strategy probability of x 5 is 0.362 when Projectile 2 attacking Target 1 in an invalid state, Projectile 1 and Projectile 3 attacking Target 2; the strategy probability of x 8 is 0.418 when Projectile 3 attacking Target 1 in an invalid state, Projectile 1 and Projectile 2 attacking Target 2; the strategy probability of x 14 is 0.897 when Projectile 1 and Projectile 3 attacking Target 1, Projectile 2 attacking Target 2 in an invalid state; the strategy probability of x 17 is 0.688 when Projectile 2 and Projectile 3 attacking Target 1, Projectile 1 attacking Target 2 in an invalid state. At the same time, for the target strategy set (0,0,0.283,0,0,0.537,0,0,0, 0,0,0.453,0,0,0.466,0,0,0), the probability of adopting the third, the sixth, the 12th and the 15th strategies for target defense are 0.283, 0.537, 0.453 and 0.466, respectively, and the others are 0. In other words, the strategy probability of selecting Target 1 using effective defense Projectile 1, and Target 2 using invalid defense Projectile 2 and Projectile 3 is 0.283; the strategy probability of selecting Target 1 using effective defense Projectile 2, and Target 2 using invalid defense Projectile 1 and Projectile 3 is 0.537; the strategy probability of selecting Target 1 using effective defense Projectile 1 and Projectile 2, and Target 2 using invalid defense Projectile 3 is 0.453; the strategy probability of selecting Target 1 using effective defense Projectile 1 and Projectile 3, and Target 2 using invalid defense Projectile 2 is 0.466.

6. Conclusions

Considering the damage problem of offensive/defensive game under projectile and target intersection based on uncertain information, this paper takes the projectile and target as Participant 1 and Participant 2 of the game and studies a damage strategy method of the projectile and target intersection offensive/defensive game according to the basic principle of two-person zero-sum non-cooperative game theory. The main conclusions can be drawn as follows. Focused on the value information of both the projectile and the target, the gain function of the projectile attacking the target and the gain cost function of the target defense are established. At the same time, a payment matrix of the confrontation game between projectile and target is formed by introducing the distance cost function of the intersection of projectile and target. Through using particle swarm optimization algorithm and interval number multi-attribute scheme ranking mechanism, the solution method of game Nash equilibrium under uncertain information environment is presented. The damage effectiveness of the target under different strategies is calculated according to the damage probability of the projectile attacking the target and the probability data of the target defending the projectile. The calculation results show that when the offensive/defensive strategy of missile-target intersection changes, the damage effectiveness of the target changes, especially when multiple projectiles attack the same target. The greater the benefit of a projectile attack, the more obvious the damage effect of the target. The new method of attack and defense game damage strategy proposed in this paper can provide new ideas for weapon damage tests and test evaluation. The research of this paper has a high development prospect.

Author Contributions

Conceptualization, methodology, investigation, writing—original draft, writing—review & editing: H.L. methodology, data curation, writing—review & editing: Y.H. methodology, formal analysis, writing—review & editing: X.Z. All authors have read and agreed to the published version of the manuscript.

Funding

This work has been supported by Project of the National Natural Science Foundation of China (No. 62073256), in part by Shaanxi Provincial Science and Technology Department (No. 2020GY-125).

Institutional Review Board Statement

Not applicable.

Informed Consent Statement

Not applicable.

Data Availability Statement

The data that support the findings of this study are available from the corresponding author upon reasonable request.

Conflicts of Interest

The authors declare no conflict of interest. This submitted manuscript has been approved by all authors for publication. We would like to declare that the work described is original research that has not been published previously, and is not under consideration for publication elsewhere, in whole or in part. The authors listed have approved the manuscript that is enclosed.

References

  1. Xin, W.; Xiaotin, L. Comprehensive damage effectiveness evaluation method based on fuzzy reasoning. Intell. Comput. Appl. 2022, 12, 146–150. [Google Scholar]
  2. Ruiwen, Z.; Yang, P.; Peng, H.; Yuxue, G. Research on damage evaluation of fragmentation warheads against early-warning aircraft. Trans. Beijing Inst. Technol. 2022, 42, 258–347. [Google Scholar]
  3. Liang, Q.; Chenglong, W.; Ping, G.; Junlin, W.; Jian, T. Study on the damage assessment of ship target by identifying the fixed height initiating fragmentation warhead. J. Ordnance Equip. Eng. 2022, 43, 30–34. [Google Scholar]
  4. Sanan, H.K.; Ankush, P.S. Influence of metal/composite interface on the damage behavior and energy absorption mechanisms of FMLs against projectile impact. Def. Technol. 2022, 18, 441–456. [Google Scholar]
  5. Xu, D.-X. Modeling and simulation on damage ability of shipborne laser weapon. Syst. Simul. Technol. 2021, 17, 94–97. [Google Scholar]
  6. Reddy, A.; Indragandhi, V.; Ravi, L.; Subramaniyaswamy, V. Detection of Cracks and damage in wind turbine blades using artificial intelligence-based image analytics. Measurement 2019, 147, 106823. [Google Scholar] [CrossRef]
  7. Lu, X.-J.; Li, X.-R.; Zhang, Q.-M. Damage assessment of missile hit by fragmentation warhead. J. Proj. Rocket. Missiles Guid. 2008, 28, 83–86. [Google Scholar]
  8. Zheng, Y.-K.; Hui, Y.; Qiu, L.-C. Application of improved grey clustering evaluation model in damage ability assessment of air defense weapon. Aerosp. Control. 2017, 35, 53–57. [Google Scholar]
  9. Si, K.; Li, X.-D.; Guo, C.; Gong, X.-Z.; Yao, Z.-J. Research on damage assessment method of fragmentation warhead against airplane targets. J. Ballist. 2017, 29, 52–57. [Google Scholar]
  10. Fu, J.-P.; Guo, G.-G.; Feng, S.-S.; Chen, Z.-G.; Zhao, T.-Y.; Hou, X.-C. Damage assessment method and application of balst-fragmentation warhead against ground target. Acta Armamentaria 2016, 37, 7–12. [Google Scholar]
  11. Maciej, R.; Olgierd, H. Discrete and smoothed resampling methods for interval-valued fuzzy numbers. IEEE Trans. Fuzzy Syst. 2021, 29, 599–611. [Google Scholar]
  12. Perry, B.G.; Guo, Y.-L. A portable three-component displacement measurement technique using an unmanned aerial vehicle (UAV) and computer vision: A proof of concept. Measurement 2021, 176, 109222. [Google Scholar] [CrossRef]
  13. Rohit, S.; Rajeev, A. UAV based long range environment monitoring system with Industry 5.0 perspectives for smart city infrastructure. Comput. Ind. Eng. 2022, 168, 108066. [Google Scholar]
  14. Feng, Z.; Wu, A.; Wang, Q.-Z. Cooperative control method of designated time for uav swarm attacking sea target. Electron. Opt. Control. 2022, 29, 43–47. [Google Scholar]
  15. Castañeda-Miranda, A.; Alemán-Ayala, K.; Castaño-Meneses, V.M. The Development of a new virtual croplands erosion measurement system using three-dimensional laser scanner and empirical Kostiakov-Lewis models. Opt. Laser Technol. 2019, 117, 316–332. [Google Scholar] [CrossRef]
  16. Li, Q.-N.; Yang, R.-N.; Li, H.-L.; Zhang, H.; Feng, C. Researched a non-cooperative game strategy of suppressing IADS for multiple fighters cooperation. J. Xidian Univ. 2017, 44, 129–136. [Google Scholar]
  17. Liu, J.; Zhang, H.-Q.; Liu, Y. Research on optimal selection of moving target defense policy based on dynamic game with incomplete information. Acta Electron. Sin. 2018, 46, 82–89. [Google Scholar]
  18. Carmen, G.; Higuera-Chan, J.; Minjárez-Sosa, A. A Mean Field Approach for Discounted Zero-Sum Games in a Class of Systems of Interacting Objects. Dyn. Games Appl. 2021, 11, 512–537. [Google Scholar]
  19. Sadangi, A.S.; Sahu, S.K.; Patra, K. A controlled conditioning interface unit for dielectric elastomer generator. Dyn. Games Appl. 2020, 69, 5620–5628. [Google Scholar] [CrossRef]
  20. Xu, Z.-F.; Xue, J.-F.; Liu, T.; Zhang, P.; Xie, X.-H. Equivalent damage study of missile due to energetic fragment warhead. J. Nanjing Univ. Sci. Technol. 2020, 44, 348–353. [Google Scholar]
  21. Chen, X.; Li, G.-Y.; Zhao, L. Research on UCAV game strategy of cooperative air combat task. Fire Control. Command. Control. 2018, 43, 17–24. [Google Scholar]
  22. Zhang, X.-J. Land defense weapon versus target assignment against air attack. J. Natl. Univ. Def. Technol. 2019, 41, 185–190. [Google Scholar]
  23. Veeramani, C.; Sharanya, S.; Ebrahimnejad, A. Optimization for multi-objective sum of linear and linear fractional programming problem: Fuzzy nonlinear programming approach. Math. Sci. 2020, 14, 219–233. [Google Scholar] [CrossRef]
  24. Li, Y.-L.; Chen, Q.; Zhang, M. Research on optimal defense strategy of moving targets based on game theory. Comput. Eng. Appl. 2019, 55, 141–146. [Google Scholar]
  25. Sahu, N.; Babu, P.; Kumar, A.; Bahl, R. A Novel Algorithm for Optimal Placement of Multiple Inertial Sensors to Improve the Sensing Accuracy. IEEE Trans. Signal Process. 2020, 68, 142–154. [Google Scholar] [CrossRef]
  26. Franco, M.A.; Krasnogor, N.; Bacardit, J. Automatic Tuning of Rule-Based Evolutionary Machine Learning via Problem Structure Identification. IEEE Comput. Intell. Mag. 2020, 15, 28–46. [Google Scholar] [CrossRef]
  27. Gao, F.-R.; Wang, J.-J.; Xi, X.-G.; She, Q.-S.; Luo, Z.-Z. Gait recognition for lower extremity electromyographic signals based on PSO-SVM method. J. Electron. Inf. Technol. 2015, 37, 1154–1159. [Google Scholar]
  28. Pandey, A.; Parhi, D.R. Optimum path planning of mobile robot in unknown static and dynamic environments using Fuzzy-Wind Driven Optimization algorithm. Def. Technol. 2017, 13, 47–58. [Google Scholar] [CrossRef]
  29. Hussam, N.-F.; Amjad, H.; Azzam, S. Multi-vector particle swarm optimization algorithm. Soft Comput. 2020, 24, 11695–11713. [Google Scholar]
  30. Cardoso, H.A.C.; de Barros Melo, S.; de Abreu Silva, R.M.; de Carvalho, S.A.L.; de Carvalho Santos, S.G.T.; Dantas, C.C. Spectral analysis and optimization of the condition number problem. Comput. Phys. Commun. 2021, 258, 107587. [Google Scholar] [CrossRef]
Figure 1. The schematic diagram that projectile attack the ground armored targets.
Figure 1. The schematic diagram that projectile attack the ground armored targets.
Mathematics 10 04291 g001
Figure 2. Variation range of fitness value of projectile participant.
Figure 2. Variation range of fitness value of projectile participant.
Mathematics 10 04291 g002
Figure 3. Variation range of fitness value of target participant.
Figure 3. Variation range of fitness value of target participant.
Mathematics 10 04291 g003
Figure 4. The distribution of target damage probability under the quantization state of warhead fragment damage velocity and normalized state of projectile revenue.
Figure 4. The distribution of target damage probability under the quantization state of warhead fragment damage velocity and normalized state of projectile revenue.
Mathematics 10 04291 g004
Figure 5. The distribution of target damage probability under the quantization state of warhead fragment damage velocity and normalized state of projectile revenue.
Figure 5. The distribution of target damage probability under the quantization state of warhead fragment damage velocity and normalized state of projectile revenue.
Mathematics 10 04291 g005
Table 1. Damage probability of the target when the two projectiles attack the two targets.
Table 1. Damage probability of the target when the two projectiles attack the two targets.
p i j Target Damage Probability
Target 1Target 2
Target on defenseProjectile 1(0.25, 0.29)(0.18, 0.21)
Projectile 2(0.22, 0.26)(0.15, 0.24)
Target is under attackProjectile 1(0.56, 0.61)(0.68, 0.71)
Projectile 2(0.48, 0.52)(0.52, 0.59)
Table 2. Probability of the two targets defending against the two projectiles.
Table 2. Probability of the two targets defending against the two projectiles.
p i j Defense Probability
Projectile 1Projectile 2
Projectile attack targetTarget 1(0.12,0.16)(0.17,0.20)
Target 2(0.18,0.23)(0.13,0.18)
Projectile ineffective attack targetTarget 1(0.26,0.31)(0.22,0.27)
Target 2(0.34,0.38)(0.31,0.36)
Table 3. Damage probability of the target when the three projectiles attack the two targets.
Table 3. Damage probability of the target when the three projectiles attack the two targets.
p i j Target Damage Probability
Target 1Target 2
Target on defenseProjectile 1(0.32, 0.35)(0.34, 0.36)
Projectile 2(0.28, 0.31)(0.26, 0.28)
Projectile 3(0.35, 0.38)(0.33, 0.37)
Target is under attackProjectile 1(0.67, 0.69)(0.69, 0.71)
Projectile 2(0.62, 0.66)(0.64, 0.65)
Projectile 3(0.68, 0.71)(0.72, 0.74)
Table 4. Probability of the two targets defending against the three projectiles.
Table 4. Probability of the two targets defending against the three projectiles.
p i j Defense Probability
Projectile 1Projectile 2Projectile 3
Projectile attack targetTarget 1(0.11,0.14)(0.13,0.16)(0.12,0.15)
Target 2(0.16,0.19)(0.17,0.21)(0.16,0.20)
Projectile ineffective attack targetTarget 1(0.24,0.27)(0.25,0.29)(0.22,0.26)
Target 2(0.32,0.37)(0.30,0.34)(0.33,0.36)
Publisher’s Note: MDPI stays neutral with regard to jurisdictional claims in published maps and institutional affiliations.

Share and Cite

MDPI and ACS Style

Li, H.; Hao, Y.; Zhang, X. Offensive/Defensive Game Target Damage Assessment Mathematical Calculation Method between the Projectile and Target. Mathematics 2022, 10, 4291. https://doi.org/10.3390/math10224291

AMA Style

Li H, Hao Y, Zhang X. Offensive/Defensive Game Target Damage Assessment Mathematical Calculation Method between the Projectile and Target. Mathematics. 2022; 10(22):4291. https://doi.org/10.3390/math10224291

Chicago/Turabian Style

Li, Hanshan, Yun Hao, and Xiaoqian Zhang. 2022. "Offensive/Defensive Game Target Damage Assessment Mathematical Calculation Method between the Projectile and Target" Mathematics 10, no. 22: 4291. https://doi.org/10.3390/math10224291

APA Style

Li, H., Hao, Y., & Zhang, X. (2022). Offensive/Defensive Game Target Damage Assessment Mathematical Calculation Method between the Projectile and Target. Mathematics, 10(22), 4291. https://doi.org/10.3390/math10224291

Note that from the first issue of 2016, this journal uses article numbers instead of page numbers. See further details here.

Article Metrics

Back to TopTop