Next Article in Journal
Functionally Graded Thin Circular Plates with Different Moduli in Tension and Compression: Improved Föppl–von Kármán Equations and Its Biparametric Perturbation Solution
Next Article in Special Issue
A New Process Performance Index for the Weibull Distribution with a Type-I Hybrid Censoring Scheme
Previous Article in Journal
Optical Solitons with the Complex Ginzburg–Landau Equation with Kudryashov’s Law of Refractive Index
 
 
Font Type:
Arial Georgia Verdana
Font Size:
Aa Aa Aa
Line Spacing:
Column Width:
Background:
Article

Estimation of the Six Sigma Quality Index

1
School of Internet Economics and Business, Fujian University of Technology, Fuzhou 350014, China
2
Department of Finance, Chaoyang University of Technology, Taichung 413310, Taiwan
3
Department of Industrial Engineering and Management, National Chin-Yi University of Technology, Taichung 411030, Taiwan
4
Department of Business Administration, Chaoyang University of Technology, Taichung 413310, Taiwan
5
Department of Business Administration, Asia University, Taichung 413305, Taiwan
*
Author to whom correspondence should be addressed.
Mathematics 2022, 10(19), 3458; https://doi.org/10.3390/math10193458
Submission received: 22 August 2022 / Revised: 19 September 2022 / Accepted: 20 September 2022 / Published: 22 September 2022

Abstract

The measurement of the process capability is a key part of quantitative quality control, and process capability indices are statistical measures of the process capability. Six Sigma level represents the maximum achievable process capability, and many enterprises have implemented Six Sigma improvement strategies. In recent years, many studies have investigated Six Sigma quality indices, including Q p k . However, Q p k contains two unknown parameters, namely δ and γ , which are difficult to use in process control. Therefore, whether a process quality reaches the k sigma level must be statistically inferred. Moreover, the statistical method of sampling distribution is challenging for the upper confidence limits of Q p k . We address these two difficulties in the present study and propose a methodology to solve them. Boole’s inequality, Demorgan’s theorem, and linear programming were integrated to derive the confidence intervals of Q p k , and then the upper confidence limits were used to perform hypothesis testing. This study involved a case study of the semiconductor assembly process in order to verify the feasibility of the proposed method.

1. Introduction

The measurement of the process capability is crucial for quantitative quality control, and process capability indices (PCIs) are statistical measures of the process capability [1]. Many PCIs have been proposed in recent decades, and they have been widely applied in various industries [2,3,4]. For example, the C p index, which was proposed by Juran [5], is defined as follows:
C p = U S L L S L 6 σ = d 3 σ
where USL and LSL are the upper and lower specification limits, respectively, d refers to half of the length of the specification interval, and σ denotes the process standard deviation for an in-control process. However, because this index lacks a measure of the process mean μ , the deviation of the process mean is not included in the value of C p . Therefore, for processes with equal standard deviations σ but different means μ , the values of C p are equal. However, a larger difference in the process means μ corresponds to a greater probability of exceeding the process specification; this results in a loss of accuracy in the evaluation of the process capability.
Consequently, Kane [6], proposed another process capability index, C p k , which is defined as follows:
C p k = M i n { U S L μ 3 σ , μ L S L 3 σ } = d | μ T | 3 σ
where T = ( U S L + L S L ) / 2 denotes target value and d = ( U S L L S L ) / 2 . Boyles [7] described the C p k index as a bilateral specification process capability index based on process yield. Assuming that the quality characteristic X has a normal distribution, the inequality Y i e l d % 2 Φ ( 3 C p k ) 1 holds, where Φ ( ) refers to the cumulative distribution function of N ( 0 , 1 ) . Because the C p k index fully reflects the characteristics of the process yield, it is widely used in many manufacturing industries to measure the potential process capability in practical applications [8].
Six Sigma is a statistical tool that has been used by companies to improve process capability [9]. The main goal of Six Sigma is to improve the process capability to Six Sigma level for all “critical to quality” characteristics. When the process capability reaches Six Sigma level, the output of the process is only 3.4 ppm defective [10,11]. To measure the quality level of the process capability, a corresponding process capability index must be defined. In recent years, many studies have focused on the topic of quality indices for Six Sigma. These studies have investigated the relationships of PCIs with Six Sigma level of process capability, and they have utilized the multicharacteristic process quality analysis chart to determine whether the quality of a process meets customers’ expectations [12,13,14,15,16,17,18].
According to Aldowaisana et al. [8], Linderman et al. [19], and Chen et al. [20], a process capability can reach Six Sigma level if the process mean μ is no more than 1.5σ from the target value, where the process standard deviation is defined as σ = d / 6 . In other words, the process capability reaches Six Sigma level when | μ T | 1.5 σ and 6 σ = d . Chen et al. [21] defined Y = ( X T ) / d , and assumed that Y has a normal distribution with a mean δ and variance γ 2 (i.e., Y ~ N ( δ , γ 2 ) ). The estimate of γ is also the square root of MSE [22]. They then proposed the following quality index:
Q p k = 1 | δ | γ + 1.5
where δ = ( μ T ) / d and γ = σ / d . Chen et al. [21] noted that when a process reaches k sigma level, it obeys the following conditions:
Q p k Q p k ( k ) = 1 | 1.5 / k | 1 / k + 1.5 = k ,
Y i e l d % 2 Φ ( Q p k 1.5 ) .
This quality index for Six Sigma fully indicates the process quality level and process yield. Thus, it is a convenient and effective tool for assessing whether a process capability reaches Six Sigma level. However, the Q p k index includes the two unknown parameters of δ and γ . Hence, to determine whether the process capability reaches the k sigma level, these parameters must be inferred through statistical methods. Moreover, the statistical method of sampling distribution is difficult for the upper confidence limit of Q p k . The purpose of the present study was to address these two difficulties and develop a simple operational procedure.
The remainder of this paper is organized as follows: Section 2 derives the expected value, bias, and mean square error of the natural estimator for the Six Sigma quality index. Boole’s inequality, Demorgan’s theorem, and linear programming are integrated to derive the confidence intervals of Q p k in Section 3. Section 4 details the process of statistical hypothesis testing for the upper confidence limits of Q p k in this study. Section 5 presents a case study from the semiconductor assembly process for verification of the statistical hypothesis testing results. Conclusions are presented in Section 6.

2. Point Estimation for the Six Sigma Quality Index

Let ( Y 1 , Y 2 , , Y n ) be a random sample from N ( δ , γ 2 ) ; the sample mean and sample standard deviation are then defined as follows:
δ ^ = 1 n i = 1 n Y i ,   γ ^ = 1 n 1 i = 1 n ( Y i Y ¯ ) 2 .
Thus, the estimator of Q p k can be written as follows:
Q ^ p k = 1 | δ ^ | γ ^ + 1.5
Under the assumption of normality, let θ = n δ / γ ,
Z = n δ ^ γ ,   and   K = ( n - 1 ) γ ^ 2 γ 2 ;
Z and K have distributions of N ( θ , 1 ) and χ n 1 2 , respectively. Hence,
Q ^ p k = 1 | δ ^ | γ ^ + 1.5 = n γ | n δ ^ | γ n n 1 K + 1.5 = K 1 / 2 ( n 1 γ n 1 n | Z | ) + 1.5 .
To obtain the expected value of Q ^ p k , the following calculations are first performed:
E [ | Z | ] = 2 π exp ( θ 2 2 ) + | θ | ( 1 2 Φ ( | θ | ) )
E [ K 1 / 2 ] = Γ ( ( n 2 ) / 2 ) Γ ( ( n 1 ) / 2 ) × 1 2 .
The expected value of Q ^ p k can subsequently be obtained as follows:
E [ Q ^ p k ] = E [ K 1 / 2 ] { n 1 γ n 1 n [ E | Z | ] } + 1.5 = A ( n ) { 1 γ 1 n ( 2 π exp ( θ 2 2 ) + | θ | [ 1 2 Φ ( | θ | ) ] ) } + 1.5 = A ( n ) { ( 1 γ | θ | n ) 2 n π exp ( θ 2 2 ) + 2 | θ | n Φ ( | θ | ) } + 1.5 ,
where
A ( n ) = Γ [ ( n 2 ) / 2 ] n 1 Γ [ ( n 1 ) / 2 ] 2 .
Because θ = n δ / γ , this can be rewritten as
  E [ Q ^ p k ] = A n { ( Q p k 1.5 ) + ( 2 | δ | γ Φ ( n | δ | γ ) 2 n π exp ( n δ 2 2 γ 2 ) ) } + 1.5
Q ^ p k is a biased estimator of Q p k , and its bias can be computed as follows:
B i a s [ Q ^ p k ] = ( Q p k 1.5 ) ( A n 1 ) + A n { 2 | δ | γ Φ ( n | δ | γ ) 2 n π exp ( n δ 2 2 γ 2 ) } .
Furthermore, the mean square error of Q ^ p k can be computed as follows:
M S E [ Q ^ p k ] = E [ ( Q ^ p k Q p k ) 2 ] = E [ ( ( 1 | δ ^ | ) / γ ^ ( 1 | δ | / γ ) ) 2 ] = E [ ( [ Q ^ p k 1.5 ] [ Q p k 1.5 ] ) 2 ] = E [ ( Q ^ p k 1.5 ) 2 ] 2 ( Q p k 1.5 ) E [ Q ^ p k 1.5 ] + ( Q p k 1.5 ) 2 .
Based on Equation (11) and Appendix A, the procedure of deriving the mean square error of Q ^ p k .
E [ Q ^ p k 1.5 ] = A n { ( Q p k 1.5 ) + ( 2 | δ | γ Φ ( n | δ | γ ) 2 n π exp ( n δ 2 2 γ 2 ) ) } , E [ ( Q ^ p k 1.5 ) 2 ] = n 1 n 3 × { ( Q p k 1.5 ) 2 + 1 n 2 γ × ( 2 | δ | γ Φ ( n | δ | γ ) 2 n π exp ( n δ 2 2 γ 2 ) ) } .
Thus,
M S E [ Q ^ p k ] = n 1 n 3 × { ( Q p k 1.5 ) 2 + 1 n 2 γ × ( 2 | δ | γ Φ ( n | δ | γ ) 2 n π exp ( n δ 2 2 γ 2 ) ) } + 2 A n ( Q p k 1.5 ) { ( Q p k 1.5 ) + ( 2 | δ | γ Φ ( n | δ | γ ) 2 n π exp ( n δ 2 2 γ 2 ) ) } + ( Q p k 1.5 ) 2 .
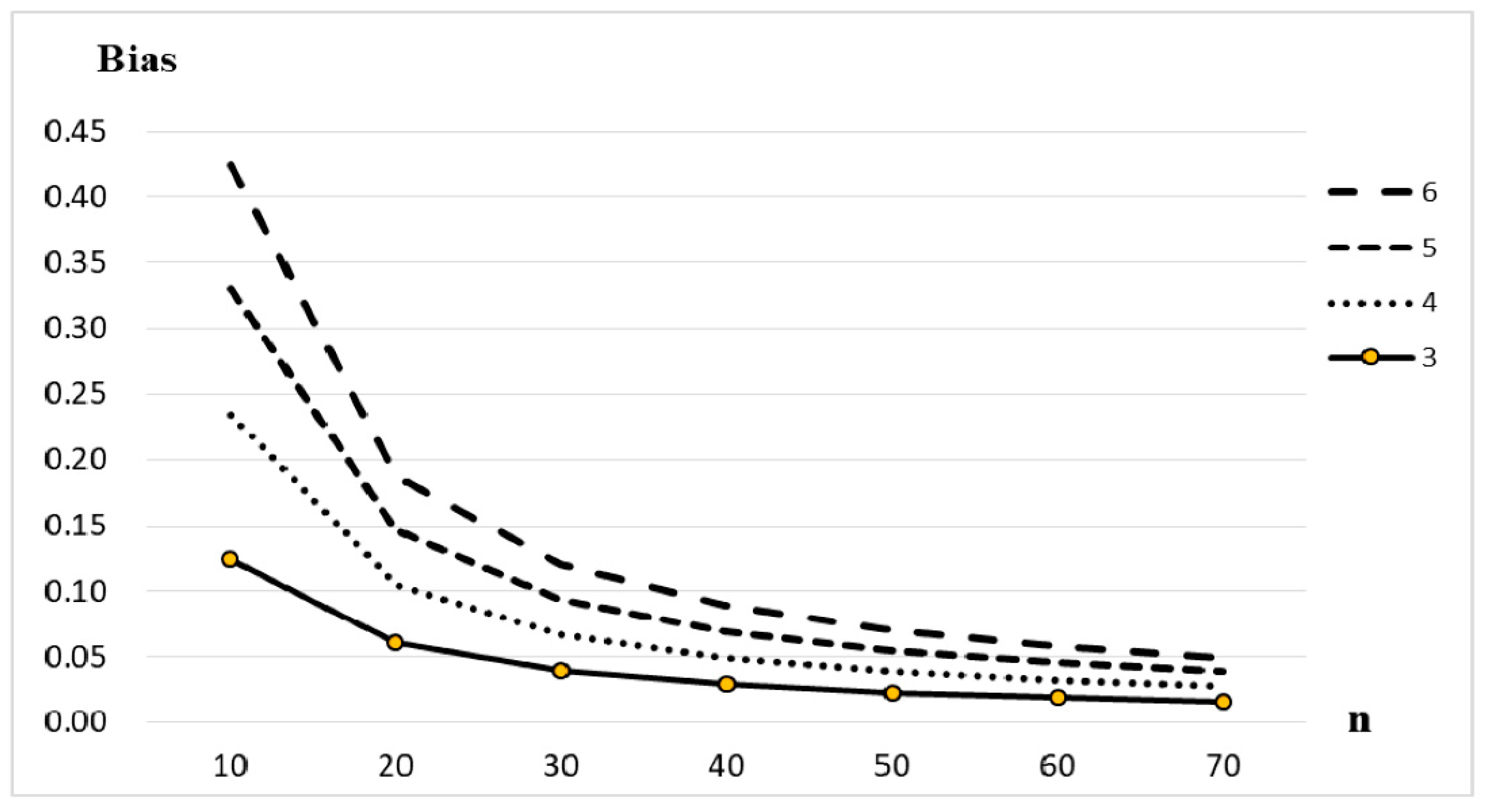
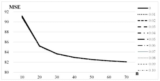
B i a s [ Q ^ p k ]   a n d   M S E [ Q ^ p k ] can be computed following Equations (12) and (15) under the assumption that the value of k is 6, 5, 4, or 3 and the sample size (n) is 10, 20, 30, 40, 50, 60, or 70. The results of these calculations are shown in Table 1. Figure 1 illustrates the relationship between B i a s [ Q ^ p k ] and sample size (n) for δ = 1/4. As the sample size increases, B i a s [ Q ^ p k ] tends to decrease to the same stable value for all k. Figure 2 presents the relationship between M S E [ Q ^ p k ] and sample size for δ = 1/4. As the sample size increases, M S E [ Q ^ p k ] tends to decrease to the same stable value for all k.
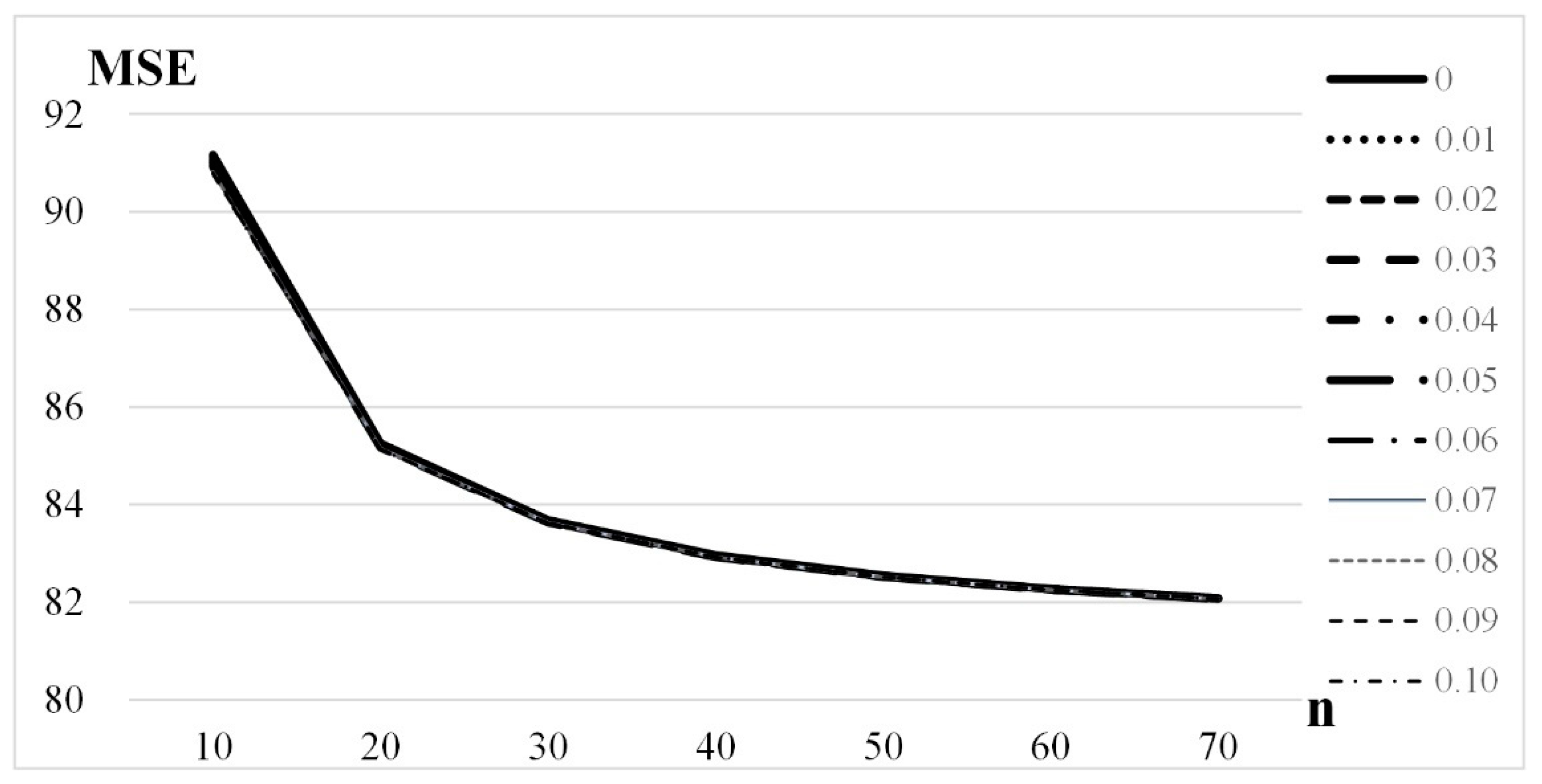
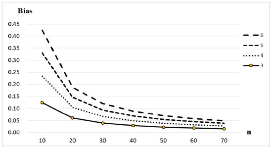
In addition, the influence of a small change in δ on B i a s [ Q ^ p k ] and M S E [ Q ^ p k ] is also worth discussing. Therefore, we calculate B i a s [ Q ^ p k ]   a n d   M S E [ Q ^ p k ] with δ increments of 0.01 according to Equations (12) and (15) for k values of 6, 5, 4, or 3 and sample sizes of 10, 20, 30, 40, 50, 60, or 70. The results are shown in Table 2. Figure 3 illustrates the relationship between B i a s [ Q ^ p k ] and sample size for k = 6. As the sample size increases, B i a s [ Q ^ p k ] tends to decrease to the same stable value for all k. Figure 4 shows the relationship between M S E [ Q ^ p k ] and sample size for k = 6. As the sample size increases, M S E [ Q ^ p k ] tends to decrease to the same stable value for all k.

3. Upper Confidence Limits of the Six Sigma Quality Index

As mentioned, under the assumption of normality, K follows the χ n 1 2 distribution. Therefore,
  p { χ χ 1 α / 2 ; n 1 2 } = p { ( n 1 ) γ ^ 2 γ 2 χ 1 α / 2 ; n 1 2 } = p { γ n 1 χ 1 α / 2 ; n 1 2 γ ^ } = 1 α 2 .
Furthermore, when we let
T = n ( δ ^ δ ) γ ^ ,
T follows a t n 1 distribution. Thus, we have
p { t α / 4 ; n 1 T t α / 4 ; n 1 } = p { δ ^ t α / 4 ; n 1 × γ ^ n 1 δ δ ^ + t α / 4 ; n 1 × γ ^ n 1 } = 1 α 2 .
To derive the ( 1 α ) × 100 % upper confidence limit on Q p k , some events are defined as follows:
E δ = { δ ^ t α / 4 ; n 1 × γ ^ n 1 δ δ ^ + t α / 4 ; n 1 × γ ^ n 1 }
and
E γ = { γ 2 n 1 χ 1 α / 2 ; n 1 2 γ ^ 2 } ,
where t α / 4 ; n 1 is the upper α / 4 quintile of t n 1 , χ 1 α / 2 ; n 1 2 is the lower 1 α / 2 quintile of χ n 1 2 , and α is the confidence level. In fact, P ( E δ ) = P ( E γ ) = 1 ( α / 2 ) and P ( E δ C ) = P ( E γ C ) = α / 2 . Based on Boole’s inequality and Morgan’s theorem,
P ( E δ E γ ) 1 P ( E δ C ) P ( E γ C ) = 1 α .
This is equivalent to
  p { δ ^ e t δ δ ^ + e t , γ n 1 χ 1 α / 2 ; n 1 2 γ ^ } 1 α ,
where
e t = t α / 4 ; n 1 γ ^ n .
Therefore, the 100 ( 1 α ) % confidence interval of ( δ , γ ) can be calculated as follows:
  C R = { ( δ , γ ) | δ ^ e t δ δ ^ + e t , γ n 1 χ 1 α / 2 ; n 1 2 γ ^ }
Q p k is a function of parameter δ and γ . According to Chen et al. [21], mathematical programming can be used to compute the upper confidence limit of Q p k .
In this computation method, Q p k is treated as the objective function, and the confidence region is regarded as the feasible solution area. Therefore, parameters δ and γ are the two decision variables of this objective function. The optimization problem can then be defined as follows:
{ U Q p k = M a x   Q p k ( δ , γ ) = M a x 1 | δ | γ + 1.5 s . t . δ ^ e t δ δ ^ + e t γ n 1 χ 1 α / 2 ; n 1 2 γ ^
The feasible solution area in this problem is a rectangle (convex set), and when δ is closer to 0, Q p k increases because 1 | δ | becomes closer to 1. Similarly, the value of Q p k ( δ ) increases as the value of γ decreases. Therefore, Q p k increases as ( δ , γ ) approaches the origin. The maximum of Q p k is obtained at the bottom of the rectangle. Therefore, the feasible solution area in this problem is a line segment (convex set). Thus, mathematical programming can be applied to determine the upper confidence limit of Q p k . Consequently, the model for the index U Q p k can be rewritten as follows:
{ U Q p k = M a x   Q p k ( δ ) = χ 1 α / 2 ; n 1 2 n 1 1 | δ | γ ^ + 1.5 s . t . δ ^ e t δ δ ^ + e t
Q p k ( δ ) can be simplified to a function of δ as follows:
Q p k ( δ ) = χ 1 α / 2 ; n 1 2 n 1 1 | δ | γ ^ + 1.5
Equation (25) shows that Q p k ( δ ) increases as δ becomes closer to 0.
Furthermore, the maximum value of U Q p k is closely related to δ ^ and e t . Hence, we consider three cases for δ ^ and e t in this study.
Case 1: 
0 [ δ ^ e t , δ ^ + e t ]
Because 0 [ δ ^ e t , δ ^ + e t ] , the maximum of U Q p k is obtained for Q p k ( δ = 0 ) ; this maximum is defined as
U Q p k = Q p k ( δ = 0 ) = χ 1 α / 2 ; n 1 2 n 1 1 γ ^ + 1.5
Case 2: 
δ ^ e t > 0
Because δ ^ e t > 0 , δ > δ ^ e t > 0 . Therefore, the maximum of U Q p k is obtained for Q p k ( δ = δ ^ e t ) :
U Q p k = Q p k ( δ = δ ^ e t ) = χ 1 α / 2 ; n 1 2 n 1 1 δ ^ + e t γ ^ + 1.5
Case 3: 
δ ^ + e t < 0
Because δ ^ + e t < 0 , δ < δ ^ + e t < 0 . Therefore, the maximum of U Q p k is obtained for Q p k ( δ = δ ^ + e t ) :
U Q p k = Q p k ( δ = δ ^ + e t ) = χ 1 α / 2 ; n 1 2 n 1 1 δ ^ e t γ ^ + 1.5
On the basis of the relationships described in Equations (26)–(28), we define
I = { 0   i f   0 [ δ ^ e t , δ ^ + e t ] 1   i f   δ ^ e t > 0   o r   δ ^ + e t < 0
and
i = { 0   i f   δ ^ e t > 0 1   i f   δ ^ + e t < 0
Subsequently, the 100 ( 1 α ) % upper confidence limit of C p m h can be obtained as follows:
U Q p k = χ 1 α / 2 ; n 1 2 n 1 1 γ ^ × ( 1 δ ^ + ( 1 ) i e t γ ^ ) I + 1.5

4. Hypothesis Testing

As defined previously, U Q p k is a function of the process parameters δ ^ and γ ^ . To determine whether the process quality level reaches the k sigma level, statistical hypothesis testing was conducted. The relationship between Q p k and k should be constructed and then verified using a hypothesis test. A case study is presented to verify the proposed inferences in Section 5.
Hypothesis testing entails the following steps:
Step 1: 
Determine the required process quality level.
The process quality level is assumed to be k sigma.
Step 2: 
Propose the null hypothesis H 0 and the alternative hypothesis H 1 .
The null and alternative hypotheses are as follows:
  • Null hypothesis H 0 :   Q p k k
  • Alternative hypothesis H 1 :   Q p k < k
The upper confidence limit U Q p k can then be obtained through statistical testing, and the hypotheses are judged as follows:
(1)
If U Q p k k , then do not reject H 0 and conclude that Q p k k
(2)
If U Q p k < k , then reject H 0 and conclude that Q p k < k
Step 3: 
Design the sampling plan.
The sample size and significance level α are assigned. Random sampling should then be conducted during the process control.
Step 4: 
Compute δ ^ and e t to determine the suitable formula for U Q p k .
The suitable formula for U Q p k can be determined on the basis of the three for δ ^ and e t after these two parameters have been calculated from the original measurement data.
δ ^ = 1 n i = 1 n Y i ,   where   Y i = ( X i T ) / d
e t = t α / 4 ; n 1 γ ^ n ,   where   γ ^ = 1 n 1 i = 1 n ( Y i Y ¯ ) 2
Step 5: 
Compare U Q p k and k.
After U Q p k has been computed, k and U Q p k can be compared. The process capability is considered to reach Six Sigma level if U Q p k 6 .

5. A Case Study

This article proposed a new Six Sigma index, which can quickly and easily determine the process capability by simply calculating the value of the collected data. For managers and engineers, this index can be used to monitor the process in real time, taking into account the economy and immediacy.
To demonstrate the suitability of the proposed method for practical application, a case study from the semiconductor assembly process is presented as an example for statistical testing. A chip package with a leadframe carrier must pass through the plating process to provide protection for the metal plating layer and the medium, which are required for the subsequent surface-mounted technology (SMT) process. Because the plating thickness affects the SMT quality, process control is crucial at the plating stage. The plating layer on the outer lead of the leadframe is an important medium, providing a mechanical and electrical connection between the package and the printed circuit board (PCB). The composition and thickness of the plating layer affect the soldering quality between the package and the PCB. When the plating thickness exceeds the specification, the package body and the PCB cannot be effectively joined, resulting in an open-circuit or short-circuit current. In this study, the thickness specification for the plating layer was 550 ± 150 μm; that is, T = 550 μm and d = 150 μm.
The statistical testing procedure accords with the five steps defined in the previous section:
Step 1:
Determine the required process quality level.
Six Sigma level (k = 6) is the desired process quality level for this case.
Step 2:
Propose the null hypothesis H 0 and the alternative hypothesis H 1 .
The null and alternative hypotheses are as follows:
  • Null hypothesis H 0 :   Q p k 6
  • Alternative hypothesis H 1 :   Q p k < 6
The upper confidence limit U Q p k can be obtained through statistical testing, and the hypotheses are judged as follows:
(1)
If U Q p k 6 , then do not reject H 0 and conclude that Q p k 6
(2)
If U Q p k < 6 , then reject H 0 and conclude that Q p k < 6
Step 3
Design the sampling plan.
The sample size (n) and the significance level α are defined as 70 and 0.05, respectively.
Step 4
Compute δ ^ and e t to determine the suitable formula for U Q p k .
δ ^ = 1 n i = 1 n Y i = 0.1955 ,
γ ^ = 1 n 1 i = 1 n ( Y i Y ¯ ) 2 = 0.1900 ,   where   e t = t α / 4 ; n 1 γ ^ n = 0.00489 .
Thus,
δ ^ e t = 0.20039 < 0 ,   δ ^ + e t = 0.19061 < 0
Because δ ^ e t and δ ^ + e t are both less than 0.00, I and i are both 1.00, according to Equation (25). Finally,
U Q p k = χ 1 α / 2 ; n 1 2 n 1 1 γ ^ × ( 1 δ ^ + ( 1 ) i e t γ ^ ) I + 1.5 = 8.48 .
Step 5
Compare U Q p k and k.
Because U Q p k = 8.48 > 6 , do not reject H 0 and conclude that Q p k k = 6 . This result is consistent with the assumption that U Q p k k . That is, the minimum value of U Q p k is 8.48, but it exceeds the required value of k (6) for a sample size of 70. Hence, statistical testing reveals that Q p k k = 6 , and the process capability is considered to reach Six Sigma level.

6. Conclusions

A PCI is necessary for determining whether a process capability meets Six Sigma level, which is indicative of an extremely good process capability.
Following the research of Chen et al. [21], this study employed Q p k as a measure of process capability. However, Q p k includes unknown parameters δ ^ and γ ^ . Therefore, statistical inference was used to verify B i a s [ Q ^ p k ]   a n d   M S E [ Q ^ p k ] for different k values and sample sizes (n). Finally, the results revealed that B i a s [ Q ^ p k ]   a n d   M S E [ Q ^ p k ] exhibit stable convergence trends. Furthermore, we derived the upper limit of Q p k . First, Boole’s inequality and Morgan’s theorem were used to compute the error e t , and linear programming was then applied to calculate the upper confidence limit U Q p k of Q p k .
The maximum value of Q p k was separated into three categories based on the relationship between δ ^ and e t .
The maximum value of U Q p k was determined from a comparison of the combination of δ ^ and e t with 0.00. Three combinations of δ ^ and e t were explored in this study. For each combination, we obtained a general formula for U Q p k .
Finally, a case study from the semiconductor assembly process was employed to verify the hypotheses of the Six Sigma quality index. For this case, U Q p k was deduced to be 8.48 for k = 6 and n = 70. Therefore, U Q p k k was a valid hypothesis. That is, the process capability reached Six Sigma level.
This study utilized Q p k as a Six Sigma quality index to make statistical inferences, and the upper limits of the confidence intervals of point estimations were then obtained. The integrated definition of U Q p k is simple and convenient for industrial application.

Author Contributions

Conceptualization, C.-C.T. and K.-S.C.; methodology, C.-C.T. and K.-S.C.; software, K.-C.C.; validation, K.-C.C.; formal analysis, C.-C.T. and K.-S.C.; investigation, C.-C.T. and K.-C.C.; resources, C.-C.T.; data curation, K.-C.C.; writing—original draft preparation, C.-C.T., K.-C.C. and K.-S.C.; writing—review and editing, C.-C.T. and K.-S.C.; visualization, C.-C.T.; supervision, K.-S.C.; project administration, C.-C.T.; funding acquisition, C.-C.T. All authors have read and agreed to the published version of the manuscript.

Funding

This work was supported by the Natural Science Foundation of Fujian, China under [grant number 2020R0164] and the Society Science Foundation of Fujian, China under [grant number FJ2020B025].

Data Availability Statement

Not applicable.

Conflicts of Interest

The authors declare no conflict of interest.

Appendix A

To obtain the mean square error of Q ^ p k , we first calculate the followings:
E [ | Z | ] = 2 π exp ( θ 2 2 ) + | θ | ( 1 2 Φ ( | θ | ) ) .
E [ | Z | 2 ] = θ 2 + 1 .
E [ K 1 / 2 ] = Γ ( ( n 2 ) / 2 ) Γ ( ( n 1 ) / 2 ) × 1 2 .
E [ K 1 ] = 1 n 3 .
Therefore, the mean square error of may be obtained as:
E [ ( Q ^ p k 1.5 ) 2 ] = E [ K 1 ] E [ ( n 1 γ n 1 n | Z | ) 2 ] = 1 n 3 { n 1 γ 2 2 n 1 n γ E [ | Z | ] + n 1 n E [ | Z | 2 ] } = n 1 n 3 { 1 γ 2 2 γ ( 2 n π exp ( θ 2 2 ) + | θ | n [ 1 2 Φ ( | θ | ) ] ) + θ 2 + 1 n } = n 1 n 3 { ( 1 γ 2 | θ | n ) 2 2 γ ( 2 n π exp ( θ 2 2 ) 2 | θ | n Φ ( | θ | ) ) + 1 n } = n 1 n 3 { ( Q p k 1.5 ) 2 2 γ ( 2 n π exp ( n δ 2 2 γ 2 ) 2 | δ | γ Φ ( n | δ | γ ) ) + 1 n }
E [ Q ^ p k 2 ] = E [ ( Q ^ p k 1.5 ) 2 ] + 3 E [ Q ^ p k ] ( 1.5 ) 2 .

References

  1. Montgomery, D.C. Introduction to Statistical Quality Control, 8th ed.; John Wiley & Sons, Inc.: New York, NY, USA, 2019. [Google Scholar]
  2. Yu, C.M.; Luo, W.J.; Hsu, T.H.; Lai, K.K. Two-Tailed Fuzzy Hypothesis Testing for Unilateral Specification Process Quality Index. Mathematics 2020, 8, 2129. [Google Scholar] [CrossRef]
  3. Wang, S.; Chiang, J.Y.; Tsai, T.R.; Qin, Y. Robust process capability indices and statistical inference based on model selection. Comput. Ind. Eng. 2021, 156, 107265. [Google Scholar] [CrossRef]
  4. Borgoni, R.; Zappa, D. Model-based process capability indices: The dry-etching semiconductor case study. Qual. Reliab. Eng. Int. 2020, 36, 2309–2321. [Google Scholar] [CrossRef]
  5. Juran, J.M. Juran’s Quality Control Handbook, 5th ed.; McGraw-Hill: New York, NY, USA, 1998. [Google Scholar]
  6. Kane, V.E. Process capability indices. J. Qual. Technol. 1986, 18, 41–52. [Google Scholar] [CrossRef]
  7. Boyles, R.A. The Taguchi capability index. J. Qual. Technol. 1991, 23, 17–26. [Google Scholar] [CrossRef]
  8. Tariq Aldowaisana, T.; Nourelfathb, M.; Hassan, J. Six Sigma performance for non-normal processes. Eur. J. Oper. Res. 2015, 247, 968–977. [Google Scholar] [CrossRef]
  9. Tjahjono, B.; Ball, P.; Vitanov, V.I.; Scorzafave, C.; Nogueira, J.; Calleja, J.; Minguet, M.; Narasimha, L.; Rivas, A.; Srivastava, A.; et al. Six sigma: A literature review. Int. J. Lean Six Sigma 2010, 1, 216–233. [Google Scholar] [CrossRef]
  10. Anand, R.B.; Shukla, S.K.; Ghorpade, A.; Tiwari, M.K.; Shankar, R. Six Sigma-based approach to optimise deep drawing operation variables. Int. J. Prod. Res. 2007, 45, 2365–2385. [Google Scholar]
  11. Coleman, S. Six Sigma: An opportunity for statistics and for statisticians. Significance 2008, 5, 94–96. [Google Scholar] [CrossRef]
  12. Hsu, C.; Chen, T.; Lii, P.; Hsu, S. Applying 6 sigma in quality improvement of TFT-LCD panel. J. Comput. Inf. Syst. 2011, 7, 1013–1020. [Google Scholar]
  13. Almazah, M.M.A.; Ali, F.A.M.; Eltayeb, M.M.; Atta, A. Comparative analysis four different ways of calculating yield index SSSpkBased on information of control chart, and six sigma, to measuring the process performance in industries: Case study in aden’s oil refinery, yemen. IEEE Access 2021, 9, 134005–134021. [Google Scholar] [CrossRef]
  14. Wang, C.C.; Chen, K.S.; Wang, C.H.; Chang, P.H. Application of 6-sigma design system to developing an improvement model for multi-process multi-characteristic product quality. Proc. Inst. Mech. Eng. Part B—J. Eng. Manuf. 2011, 225, 1205–1216. [Google Scholar] [CrossRef]
  15. Ouyang, L.Y.; Chen, K.S.; Yang, C.M.; Hsu, C.H. Using a QCAC–Entropy–TOPSIS approach to measure quality characteristics and rank improvement priorities for all substandard quality characteristics. Int. J. Prod. Res. 2014, 52, 3110–3124. [Google Scholar] [CrossRef]
  16. Wu, M.F.; Chen, H.Y.; Chang, T.C.; Wu, C.F. Quality evaluation of internal cylindrical grinding process with multiple quality characteristics for gear products. Int. J. Prod. Res. 2019, 57, 6687–6701. [Google Scholar] [CrossRef]
  17. Chen, K.S.; Chang, T.C. Construction and fuzzy hypothesis testing of Taguchi Six Sigma quality index. Int. J. Prod. Res. 2020, 58, 3110–3125. [Google Scholar] [CrossRef]
  18. Chen, K.S.; Wang, C.H.; Tan, K.H. Developing a fuzzy green supplier selection model using six sigma quality indices. Int. J. Prod. Econ. 2019, 212, 1–7. [Google Scholar] [CrossRef]
  19. Linderman, K.; Schroeder, R.G.; Zaheer, S.; Choo, A.S. Six Sigma: A goal-theoretic perspective. J. Oper. Manag. 2003, 21, 193–203. [Google Scholar] [CrossRef]
  20. Chen, K.S.; Ouyang, L.Y.; Hsu, C.H.; Wu, C.C. The Communion Bridge to Six Sigma and Process Capability Indices. Qual. Quant. 2009, 43, 463–469. [Google Scholar] [CrossRef]
  21. Chen, K.S.; Chen, H.T.; Chang, T.C. The construction and application of Six Sigma quality indices. Int. J. Prod. Res. 2017, 55, 2365–2384. [Google Scholar] [CrossRef]
  22. Pham, H. A New Criterion for Model Selection. Mathematics 2019, 7, 1215. [Google Scholar] [CrossRef]
Figure 1. The relationship between n and Bias for various k (as δ = 1/4).
Figure 1. The relationship between n and Bias for various k (as δ = 1/4).
Mathematics 10 03458 g001
Figure 2. The relationship between n and MSE for various k (as δ = 1/4).
Figure 2. The relationship between n and MSE for various k (as δ = 1/4).
Mathematics 10 03458 g002
Figure 3. The relationship between n and Bias for various δ (k = 6).
Figure 3. The relationship between n and Bias for various δ (k = 6).
Mathematics 10 03458 g003
Figure 4. The relationship between n and MSE for various δ (k = 6).
Figure 4. The relationship between n and MSE for various δ (k = 6).
Mathematics 10 03458 g004
Table 1. Bias and MSE for various Q ^ p k .
Table 1. Bias and MSE for various Q ^ p k .
Knδ = 0δ = 1/4δ = 1/2δ = 3/4
BiasMSEBiasMSEBiasMSEBiasMSE
6100.148091.1658 0.424190.73100.424190.73100.424190.7310
200.002185.2514 0.187985.12950.187985.12950.187985.1295
30−0.028883.6844 0.120783.62240.120783.62240.120783.6224
40−0.039782.9602 0.0889 82.92120.088982.92120.088982.9212
50−0.044282.5433 0.070482.51600.070482.51600.070482.5160
60−0.046182.2724 0.058282.25180.058282.25180.058282.2518
70−0.046782.0825 0.049782.06630.049782.06630.049782.0663
5100.053655.2756 0.3298 54.93750.329854.93750.329854.9375
20−0.039751.6150 0.1462 51.52020.146251.52020.146251.5202
30−0.055750.6487 0.0939 50.60050.093950.60050.093950.6005
40−0.059550.2029 0.0692 50.17260.0692 50.17260.0692 50.1726
50−0.059949.9466 0.0547 49.92530.054749.92530.054749.9253
60−0.059049.7801 0.0453 49.76410.045349.76410.045349.7641
70−0.057849.6634 0.0386 49.65090.038649.65090.038649.6509
410−0.040528.3338 0.234728.09490.2356 28.09230.2356 28.0923
20−0.081526.3809 0.104426.31320.1044 26.31320.1044 26.3132
30−0.082525.8686 0.067125.83410.0671 25.83410.0671 25.8341
40−0.079225.6328 0.0494 25.61120.0494 25.61120.0494 25.6112
50−0.075525.4975 0.0391 25.48230.0391 25.48230.0391 25.4823
60−0.072025.4097 0.0323 25.39830.0323 25.39830.0323 25.3983
70−0.068825.3482 0.0276 25.33930.0276 25.33930.0276 25.3393
310−0.134710.3404 0.1245 10.22410.1414 10.19550.1414 10.1955
20−0.12329.5491 0.0606 9.51120.0626 9.50850.0626 9.5085
30−0.10939.3439 0.0399 9.32360.0402 9.32320.0402 9.3232
40−0.09909.2499 0.0296 9.23700.0296 9.23690.0296 9.2369
50−0.09119.1961 0.0234 9.18700.0235 9.18700.0235 9.1870
60−0.08499.1613 0.0194 9.15440.0194 9.15440.0194 9.1544
70−0.07999.1369 0.0166 9.13160.0166 9.13160.0166 9.1316
Table 2. Bias and MSE for various Q ^ p k (δ increment is 0.01).
Table 2. Bias and MSE for various Q ^ p k (δ increment is 0.01).
Knδ = 0δ = 0.01δ = 0.02δ = 0.03δ = 0.04δ = 0.05
BiasMSEBiasMSEBiasMSEBiasMSEBiasMSEBiasMSE
6100.14891.1660.19591.1160.23791.0660.27491.0170.30690.9690.33390.925
6200.00285.2510.04685.2370.08285.2200.11285.2020.13685.1850.15385.170
630−0.028883.6840.01383.6770.04783.6670.07383.6560.09183.6460.10483.638
640−0.039782.9600.00182.9560.03382.9490.05582.9410.07082.9340.07982.929
650−0.044282.543−0.003982.5410.02682.5350.04682.5290.05882.5240.06582.520
660−0.046182.272−0.006582.2710.02282.2660.04082.2610.05082.2570.05582.254
670−0.046782.083−0.007782.0810.01982.0770.03582.0730.04482.0700.04882.068
Knδ = 0.06δ = 0.07δ = 0.08δ = 0.09δ = 0.10
BiasMSEBiasMSEBiasMSEBiasMSEBiasMSE
6100.35690.8850.37490.8500.38890.8210.39990.7960.40790.777
6200.16685.1570.17585.1480.18085.1410.18485.1360.18685.133
6300.11283.6320.11683.6280.11983.6250.12083.6240.12083.623
6400.08582.9250.08782.9230.08882.9220.08982.9220.08982.921
6500.06882.5180.07082.5170.07082.5160.07082.5160.07082.516
6600.05782.2530.05882.2520.05882.2520.05882.2520.05882.252
6700.04982.0670.05082.0670.05082.0660.05082.0660.05082.066
Publisher’s Note: MDPI stays neutral with regard to jurisdictional claims in published maps and institutional affiliations.

Share and Cite

MDPI and ACS Style

Tseng, C.-C.; Chiou, K.-C.; Chen, K.-S. Estimation of the Six Sigma Quality Index. Mathematics 2022, 10, 3458. https://doi.org/10.3390/math10193458

AMA Style

Tseng C-C, Chiou K-C, Chen K-S. Estimation of the Six Sigma Quality Index. Mathematics. 2022; 10(19):3458. https://doi.org/10.3390/math10193458

Chicago/Turabian Style

Tseng, Chun-Chieh, Kuo-Ching Chiou, and Kuen-Suan Chen. 2022. "Estimation of the Six Sigma Quality Index" Mathematics 10, no. 19: 3458. https://doi.org/10.3390/math10193458

APA Style

Tseng, C.-C., Chiou, K.-C., & Chen, K.-S. (2022). Estimation of the Six Sigma Quality Index. Mathematics, 10(19), 3458. https://doi.org/10.3390/math10193458

Note that from the first issue of 2016, this journal uses article numbers instead of page numbers. See further details here.

Article Metrics

Back to TopTop