A Matrix Spline Method for a Class of Fourth-Order Ordinary Differential Problems
Abstract
1. Introduction
2. Description of the Method
3. MATLAB Program
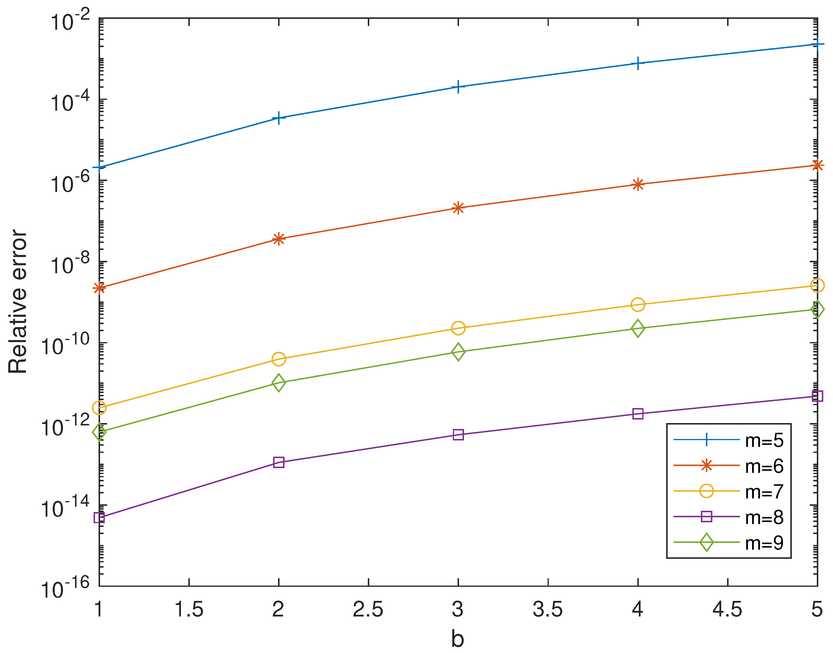
4. Numerical Examples
4.1. A Scalar Test Problem
4.2. A Nonlinear Scalar Test Problem
4.3. A Matrix Differential Equation
4.4. A Nonlinear Matrix Problem
5. Conclusions
Author Contributions
Funding
Institutional Review Board Statement
Informed Consent Statement
Data Availability Statement
Acknowledgments
Conflicts of Interest
References
- Cantón, A.; Fernández-Jambrina, L. Interpolation of a spline developable surface between a curve and two rulings. Front. Inf. Technol. Electron. Eng. 2015, 16, 173–190. [Google Scholar] [CrossRef]
- Dokken, T.; Skytt, V.; Barrowclough, O. Trivariate spline representations for Computer Aided Design and Additive Manufacturing. Comput. Math. Appl. 2019, 78, 2168–2182. [Google Scholar] [CrossRef]
- Jator, S.N. Numerical integrators for fourth order initial and boundary value problems. Int. J. Pure Appl. Math. 2008, 47, 563–576. [Google Scholar]
- Bai, Z.; Wang, H. On positive solutions of some nonlinear fourth-order beam equations. J. Math. Anal. Appl. 2002, 270, 357–368. [Google Scholar] [CrossRef]
- Alomari, A.K.; Anakira, N.R.; Bataineh, A.S.; Hashim, I. Approximate solution of nonlinear system of BVP arising in fluid flow problem. Math. Probl. Eng. 2013, 2013, 7. [Google Scholar] [CrossRef]
- Malek, A.; Beidokhti, R.S. Numerical solution for high order differential equations using a hybrid neural network–optimization method. Appl. Math. Comput. 2006, 183, 260–271. [Google Scholar] [CrossRef]
- Boutayeb, A.; Chetouani, A. A mini-review of numerical methods for high-order problems. Int. J. Comput. Math. 2007, 84, 563–579. [Google Scholar] [CrossRef]
- Hussain, K.; Ismail, F.; Senu, N. Two Embedded Pairs of Runge-Kutta Type Methods for Direct Solution of Special Fourth-Order Ordinary Differential Equations. Math. Probl. Eng. 2015, 2015, 196595. [Google Scholar] [CrossRef]
- Famelis, I.; Tsitouras, C. On modifications of Runge–Kutta–Nyström methods for solving y(4) = f(x,y). Appl. Math. Comput. 2016, 273, 726–734. [Google Scholar] [CrossRef]
- Papakostas, S.; Tsitmidelis, S.; Tsitouras, C. Evolutionary generation of 7th order Runge–Kutta–Nyström type methods for solving y(4) = f(x,y). In Proceedings of the AIP Conference Proceedings 1702, Athens, Greece, 20–23 March 2015; AIP Publishing LLC: Melville, NY, USA, 2015; p. 190018. [Google Scholar]
- Olabode, B.T.; Omole Ezekiel, O. Implicit Hybrid Block Numerov-Type Method for the Direct Solution of Fourth-Order Ordinary Differential Equations. Am. J. Comput. Appl. Math. 2015, 5, 129–139. [Google Scholar]
- Adeyeye, O.; Omar, Z. Solving fourth order linear initial and boundary value problems using an implicit block method. In Proceedings of the Third International Conference on Computing, Mathematics and Statistics (iCMS2017), Langkawi, Malaysia, 5 November 2019; Springer Nature: Singapore, 2019; pp. 167–177. [Google Scholar]
- Defez, E.; Tung, M.M.; Ibáñez, J.; Sastre, J. Approximating a Special Class of Linear Fourth-Order Ordinary Differential Problems. In Proceedings of the European Consortium for Mathematics in Industry, Santiago de Compostela, Spain, 13–17 June 2016; Springer: Cham, Switzerland, 2016; pp. 577–584. [Google Scholar]
- Defez, E.; Ibáñez, J.; Alonso, J.M.; Tung, M.M.; Real-Herráiz, T. On the approximated solution of a special type of nonlinear third-order matrix ordinary differential problem. Mathematics 2021, 9, 2262. [Google Scholar] [CrossRef]
- Defez, E.; Tung, M.M.; Ibáñez, J.; Sastre, J. Approximating and computing nonlinear matrix differential models. Math. Comput. Model. 2012, 55, 2012–2022. [Google Scholar] [CrossRef]
- Defez, E.; Tung, M.M.; Solis, F.J.; Ibáñez, J. Numerical approximations of second-order matrix differential equations using higher degree splines. Linear Multilinear Algebra 2015, 63, 472–489. [Google Scholar] [CrossRef][Green Version]
- Graham, A. Kronecker Products and Matrix Calculus with Applications; John Wiley & Sons: New York, NY, USA, 1981. [Google Scholar]
- MATLAB, Version 9.12.0 (R2022a); The MathWorks Inc.: Natick, MA, USA, 2022.
- Flett, T.M. Differential Analysis; Cambridge University Press: Cambridge, MA, USA, 1980. [Google Scholar]
- Loscalzo, F.R.; Talbot, T.D. Spline function approximations for solutions of ordinary differential equations. SIAM J. Numer. Anal. 1967, 4, 433–445. [Google Scholar] [CrossRef]
- Fuchssteiner, B. (Ed.) MuPad Multi Processing Algebra Data Tool: Tutorial, MuPad Version 1.2; Springer: Basel, Switzerland, 1994. [Google Scholar]
- MATLAB. Symbolic Math in MATLAB. 2022. Available online: https://www.mathworks.com/discovery/mupad.html (accessed on 25 June 2022).
- Group of High Performance Scientific Computing (HiPerSC); Universitat Politècnica de València. MATLAB Code for Solving Non-Linear Matrix-Differential Equations. 2022. Available online: http://personales.upv.es/joalab/software/spline4order.zip (accessed on 25 June 2022).
- Jikantoro, Y.; Ismail, F.; Senu, N.; Ibrahim, Z. A class of hybrid methods for direct integration of fourth-order ordinary differential equations. Bull. Malays. Math. Sci. Soc. 2018, 41, 985–1010. [Google Scholar] [CrossRef]
- Hussain, K.; Ismail, F.; Senu, N. Solving directly special fourth-order ordinary differential equations using Runge–Kutta type method. J. Comput. Appl. Math. 2016, 306, 179–199. [Google Scholar] [CrossRef]
- Jódar, L. Explicit solutions for second order operator differential equations with two boundary value conditions. Linear Algebra Appl. 1988, 103, 73–86. [Google Scholar] [CrossRef]
- Kailath, T. Linear Systems; Prentice-Hall: Englewood Cliffs, NJ, USA, 1980; Volume 156. [Google Scholar]








| Interval | Spline Approximations |
|---|---|
| Interval | |||||
|---|---|---|---|---|---|
| Max. error | |||||
| Interval | |||||
| Max. error |
| m | 5 | 6 | 7 | 8 | 9 |
|---|---|---|---|---|---|
| Interval | |||||
|---|---|---|---|---|---|
| Max. error | |||||
| Interval | |||||
| Max. error |
| m | 5 | 6 | 7 | 8 | 9 |
|---|---|---|---|---|---|
Publisher’s Note: MDPI stays neutral with regard to jurisdictional claims in published maps and institutional affiliations. |
© 2022 by the authors. Licensee MDPI, Basel, Switzerland. This article is an open access article distributed under the terms and conditions of the Creative Commons Attribution (CC BY) license (https://creativecommons.org/licenses/by/4.0/).
Share and Cite
Tung, M.M.; Defez, E.; Ibáñez, J.; Alonso, J.M.; Real-Herráiz, J. A Matrix Spline Method for a Class of Fourth-Order Ordinary Differential Problems. Mathematics 2022, 10, 2826. https://doi.org/10.3390/math10162826
Tung MM, Defez E, Ibáñez J, Alonso JM, Real-Herráiz J. A Matrix Spline Method for a Class of Fourth-Order Ordinary Differential Problems. Mathematics. 2022; 10(16):2826. https://doi.org/10.3390/math10162826
Chicago/Turabian StyleTung, Michael M., Emilio Defez, Javier Ibáñez, José M. Alonso, and Julia Real-Herráiz. 2022. "A Matrix Spline Method for a Class of Fourth-Order Ordinary Differential Problems" Mathematics 10, no. 16: 2826. https://doi.org/10.3390/math10162826
APA StyleTung, M. M., Defez, E., Ibáñez, J., Alonso, J. M., & Real-Herráiz, J. (2022). A Matrix Spline Method for a Class of Fourth-Order Ordinary Differential Problems. Mathematics, 10(16), 2826. https://doi.org/10.3390/math10162826

