Deep Transfer Learning Method Based on Automatic Domain Alignment and Moment Matching
Abstract
:1. Introduction
2. Related Work
3. Preliminary Information
3.1. Problem Definition
3.2. Domain Alignment Layers (DA Layers)
3.3. Loss Function
3.4. MMD Metric
4. Algorithm Design
| Algorithm 1: Deep transfer Learning Based on Automatic Domain Alignment and Moment Matching. |
| Input: Source data with the label , and target data . is the regularization coefficient of the target predictor; and is the regularization coefficient of the MMD distance. Output: Test accuracy; Test loss;
|
5. Experiments and Discussion
5.1. Datasets
5.2. Implementation Details
5.3. Results
5.4. Ablation Study and Discussion
- (1)
- Ablation study
- (2)
- Discussion
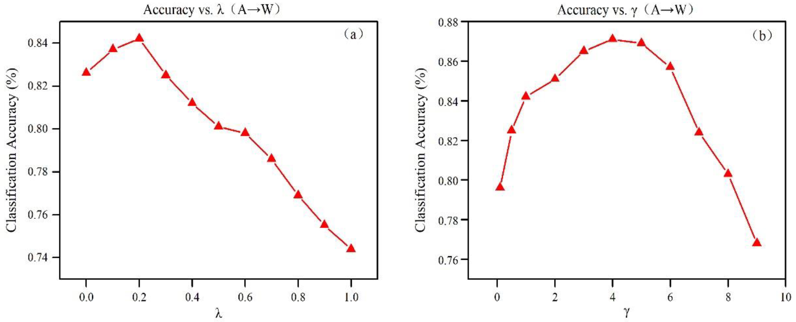
5.5. Parameter Sensitivity
6. Conclusions
Author Contributions
Funding
Institutional Review Board Statement
Informed Consent Statement
Data Availability Statement
Acknowledgments
Conflicts of Interest
References
- LeCun, Y.; Bengio, Y.; Hinton, G. Deep learning. Nature 2015, 521, 436–444. [Google Scholar] [CrossRef] [PubMed]
- Chui, C.K.; Lin, S.-B.; Zhou, D.-X. Deep neural networks for rotation-invariance approximation and learning. Anal. Appl. 2019, 17, 737–772. [Google Scholar] [CrossRef] [Green Version]
- Weibo, L.; Zidong, W.; Xiaohui, L.; Nianyin, Z.; Yurong, L.; Fuad, E.A. A survey of deep neural network architectures and their applications. Neurocomputing 2017, 234, 0925–2312. [Google Scholar]
- Tahmoresnezhad, J.; Hashemi, S. Visual domain adaptation via transfer feature learning. Knowl. Inf. Syst. 2017, 50, 585–605. [Google Scholar] [CrossRef]
- Jie, L.; Vahid, B.; Peng, H.; Hua, Z.; Shan, X.; Guangquan, Z. Transfer learning using computational intelligence: A survey. Knowl-Based Syst. 2015, 80, 14–23. [Google Scholar]
- Pan, S.J.; Qiang, Y. A survey on transfer learning. IEEE Trans. Knowl. Data Eng. 2010, 22, 1345–1359. [Google Scholar] [CrossRef]
- Mansour, Y.; Mohri, M.; Rostamizadeh, A. Domain Adaptation: Learning Bounds and Algorithms. arXiv 2009, arXiv:0902.3430. [Google Scholar]
- Donahue, J.; Jia, Y.; Vinyals, O.; Hoffman, J.; Zhang, N.; Tzeng, E.; Darrell, T. DeCAF: A Deep Convolutional Activation Feature for Generic Visual Recognition. arXiv 2014, arXiv:1310.1531. [Google Scholar]
- Chu, W.-S.; De la Torre, F.; Cohn, J.F. Selective Transfer Machine for Personalized Facial Action Unit Detection. In Proceedings of the IEEE Conference on Computer Vision and Pattern Recognition, Portland, OR, USA, 25–27 June 2013; pp. 3515–3522. [Google Scholar] [CrossRef] [Green Version]
- Gong, B.; Grauman, K.; Sha, F. Connecting the Dots with Landmarks: Discriminatively Learning Domain-Invariant Features for Unsupervised Domain Adaptation. In Proceedings of the International Conference on Machine Learning, Atlanta, GA, USA, 17–19 June 2013. [Google Scholar]
- Zeng, X.; Ouyang, W.; Wang, M.; Wang, X. Deep Learning of Scene-Specific Classifier for Pedestrian Detection. In Proceedings of the European Conference on Computer Vision, Zurich, Switzerland, 6–12 September 2014; pp. 472–487. [Google Scholar] [CrossRef]
- Schwab, C.; Zech, J. Deep learning in high dimension: Neural network expression rates for generalized polynomial chaos expansions in UQ. Anal. Appl. 2018, 17, 19–55. [Google Scholar] [CrossRef]
- Yilmaz, S.; Toklu, S. A deep learning analysis on question classification task using Word2vec representations. Neural Comput. Appl. 2020, 32, 2909–2928. [Google Scholar] [CrossRef]
- Sun, Y.; Wang, X.; Tang, X. Deep Learning Face Representation from Predicting 10,000 Classes. In Proceedings of the 2014 IEEE Conference on Computer Vision and Pattern Recognition, Columbus, OH, USA, 24–27 June 2014; pp. 1891–1898. [Google Scholar]
- Esteva, A.; Kuprel, B.; Novoa, R.A.; Ko, J.; Swetter, S.M.; Blau, H.M.; Thrun, S. Dermatologist-level classification of skin cancer with deep neural networks. Nature 2017, 542, 115–118. [Google Scholar] [CrossRef] [PubMed]
- Long, M.; Cao, Y.; Wang, J.; Jordan, M.I. Learning Transferable Features with Deep Adaptation Networks. arXiv 2015, arXiv:1502.02791. [Google Scholar]
- Long, M.; Zhu, H.; Wang, J.; Jordan, M.I. Unsupervised Domain Adaptation with Residual Transfer Networks. In Proceedings of the Advances in Neural Information Processing Systems, Barcelona, Spain, 5–10 December; 2016. [Google Scholar]
- Sun, B.; Saenko, K. Deep CORAL: Correlation Alignment for Deep Domain Adaptation. In Proceedings of the European Conference on Computer Vision, Amsterdam, The Netherlands, 11–14 October 2016. [Google Scholar]
- Tzeng, E.; Hoffman, J.; Darrell, T.; Saenko, K. Simultaneous Deep Transfer Across Domains and Tasks. In Proceedings of the IEEE International Conference on Computer Vision, Santiago, Chile, 7–13 December 2015; pp. 4068–4076. [Google Scholar] [CrossRef] [Green Version]
- Ganin, Y.; Lempitsky, V.S. Unsupervised Domain Adaptation by Backpropagation. arXiv 2015, arXiv:1409.7495. [Google Scholar]
- Ghifary, M.; Kleijn, W.B.; Zhang, M.; Balduzzi, D.; Li, W. Deep Reconstruction-Classification Networks for Unsupervised Domain Adaptation. arXiv 2016, arXiv:1607.03516. [Google Scholar]
- Bousmalis, K.; Trigeorgis, G.; Silberman, N.; Krishnan, D.; Erhan, D. Domain Separation Networks. In Proceedings of the Advances in Neural Information Processing Systems, Barcelona, Spain, 5–10 December; 2016. [Google Scholar]
- Ioffe, S.; Szegedy, C. Batch Normalization: Accelerating Deep Network Training by Reducing Internal Covariate Shift. In Proceedings of the International Conference on Machine Learning, Lille, France, 6–11 July 2015. [Google Scholar]
- Carlucci, F.M.; Porzi, L.; Caputo, B.; Ricci, E.; Bulò, S.R. Just DIAL: DomaIn Alignment Layers for Unsupervised Domain Adaptation. In Proceedings of the International Conference on Image Analysis and Processing, Catania, Italy, 11–15 September 2017; pp. 357–369. [Google Scholar] [CrossRef] [Green Version]
- Li, Y.; Wang, N.; Shi, J.; Hou, X.; Liu, J. Adaptive Batch Normalization for practical domain adaptation. Pattern Recognit. 2018, 80, 109–117. [Google Scholar] [CrossRef]
- Carlucci, F.M.; Porzi, L.; Caputo, B.; Ricci, E.; Bulo, S.R. AutoDIAL: Automatic Domain Alignment Layers. In Proceedings of the IEEE International Conference on Computer Vision, Venice, Italy, 22–29 October 2017; pp. 5077–5085. [Google Scholar] [CrossRef] [Green Version]
- Meng, C.; Xu, C.; Lei, Q.; Su, W.; Wu, J. Balanced joint maximum mean discrepancy for deep transfer learning. Anal. Appl. 2020, 19, 491–508. [Google Scholar] [CrossRef]
- Tzeng, E.; Hoffman, J.; Zhang, N.; Saenko, K.; Darrell, T. Deep Domain Confusion: Maximizing for Domain Invariance. arXiv 2014, arXiv:1412.3474. [Google Scholar]
- Krizhevsky, A.; Sutskever, I.; Hinton, G.E. Imagenet classification with deep convolutional neural networks. Adv. Neural Inf. Processing Syst. 2012, 60, 84–90. [Google Scholar] [CrossRef]
- Long, M.; Zhu, H.; Wang, J.; Jordan, M.I. Deep Transfer Learning with Joint Adaptation Networks. In Proceedings of the International Conference on Machine Learning, Sydney, Australia, 6–11 August 2017. [Google Scholar]
- Tzeng, E.; Hoffman, J.; Saenko, K.; Darrell, T. Adversarial Discriminative Domain Adaptation. In Proceedings of the 2017 IEEE Conference on Computer Vision and Pattern Recognition (CVPR), Honolulu, HI, USA, 21–26 July 2017; pp. 2962–2971. [Google Scholar]
- Szegedy, C.; Liu, W.; Jia, Y.; Sermanet, P.; Reed, S.; Anguelov, D.; Erhan, D.; Vanhoucke, V.; Rabinovich, A. Going Deeper with Convolutions. In Proceedings of the IEEE Conference on Computer Vision and Pattern Recognition, Boston, MA, USA, 8–10 June 2015; pp. 1–9. [Google Scholar]
- He, K.; Zhang, X.; Ren, S.; Sun, J. Deep Residual Learning for Image Recognition. In Proceedings of the 2016 IEEE Conference on Computer Vision and Pattern Recognition (CVPR), Las Vegas, NV, USA, 27–30 June 2016. [Google Scholar]
- Simonyan, K.; Zisserman, A. Very Deep Convolutional Networks for Large-Scale Image Recognition. arXiv 2014, arXiv:1409.1556. [Google Scholar]
- Saenko, K.; Kulis, B.; Fritz, M.; Darrell, T. Adapting Visual Category Models to New Domains. In Proceedings of the European Conference on Computer Vision, Crete, Greece, 5–11 September 2010. [Google Scholar]
- Jia, Y.; Shelhamer, E.; Donahue, J.; Karayev, S.; Long, J.; Girshick, R.B.; Guadarrama, S.; Darrell, T. Caffe: Convolutional Architecture for Fast Feature Embedding. In Proceedings of the 22nd ACM International Conference, Mountain View, CA, USA, 18–19 June 2014. [Google Scholar]
- Griffin, G.; Holub, A.; Perona, P. Caltech-256 Object Category Dataset; California Institute of Technology: Pasadena, CA, USA, 2007. [Google Scholar]
- Kim, S.; Kang, I.; Kwak, N. Semantic Sentence Matching with Densely-Connected Recurrent and Co-Attentive Information. arXiv 2019, arXiv:1805.11360. [Google Scholar] [CrossRef] [Green Version]






| Method | A→W | D→W | W→D | A→D | D→A | W→A | Avg |
|---|---|---|---|---|---|---|---|
| AlexNet29 | 61.6 | 95.4 | 99.0 | 63.8 | 51.1 | 49.8 | 70.1 |
| DDC28 | 61.8 | 95.0 | 98.5 | 64.4 | 52.1 | 52.2 | 70.6 |
| DAN16 | 68.5 | 96.0 | 99.0 | 67.0 | 54.0 | 53.1 | 72.9 |
| RevGrad20 | 72.6 | 96.4 | 99.2 | 67.1 | 54.5 | 52.7 | 72.7 |
| DRCN38 | 68.7 | 96.4 | 99.0 | 66.8 | 56.0 | 54.9 | 73.6 |
| RTN17 | 73.3 | 96.8 | 99.6 | 71.0 | 50.5 | 51.0 | 73.7 |
| JAN30 | 74.9 | 96.6 | 99.5 | 71.8 | 58.3 | 55.0 | 76.0 |
| AutoDIAL26 | 75.5 | 96.6 | 99.5 | 73.6 | 58.1 | 59.4 | 77.1 |
| Ours | 77.2 | 98.7 | 100.0 | 76.1 | 61.1 | 59.4 | 78.7 |
| Method | A→W | D→W | W→D | A→D | D→A | W→A | Avg |
|---|---|---|---|---|---|---|---|
| GoogleNet32 | 70.3. | 94.3 | 100.0 | 70.5 | 60.1 | 57.9 | 75.5 |
| DDC28 | 72.5 | 95.5 | 98.1 | 73.2 | 61.6 | 61.6 | 77.1 |
| DAN16 | 76.0 | 95.9 | 98.6 | 74.4 | 61.5 | 60.3 | 77.8 |
| JAN30 | 78.1 | 96.4 | 99.3 | 77.5 | 68.4 | 65.0 | 80.8 |
| AutoDIAL26 | 84.2 | 97.9 | 99.9 | 82.3 | 64.6 | 64.2 | 82.2 |
| Ours | 87.1 | 98.0 | 99.4 | 82.3 | 70.8 | 69.3 | 84.5 |
| Method | A→C | D→C | W→C | C→D | C→A | C→W | Avg |
|---|---|---|---|---|---|---|---|
| GoogleNet32 | 90.8. | 87.5 | 87.7 | 89.0 | 95.3 | 89.8 | 90.0 |
| AutoDIAL26 | 91.8 | 90.9 | 90.2 | 89.5 | 95.6 | 92.2 | 91.2 |
| Ours | 93.4 | 92.5 | 92.4 | 90.1 | 95.7 | 94.9 | 93.2 |
| Method | Figure | A→W | D→W | W→D | A→D | D→A | W→A | Avg |
|---|---|---|---|---|---|---|---|---|
| AlexNet (source only) | - | 61.6 | 95.3 | 99.0 | 63.8 | 51.1 | 49.8 | 70.1 |
| Ours (AlexNet + MMD) | Figure 2a | 61.8 | 95.0 | 98.5 | 64.4 | 52.1 | 52.2 | 70.6 |
| Ours (AlexNet + DA layer) | Figure 2b | 75.5 | 96.6 | 99.5 | 73.6 | 58.1 | 59.4 | 77.1 |
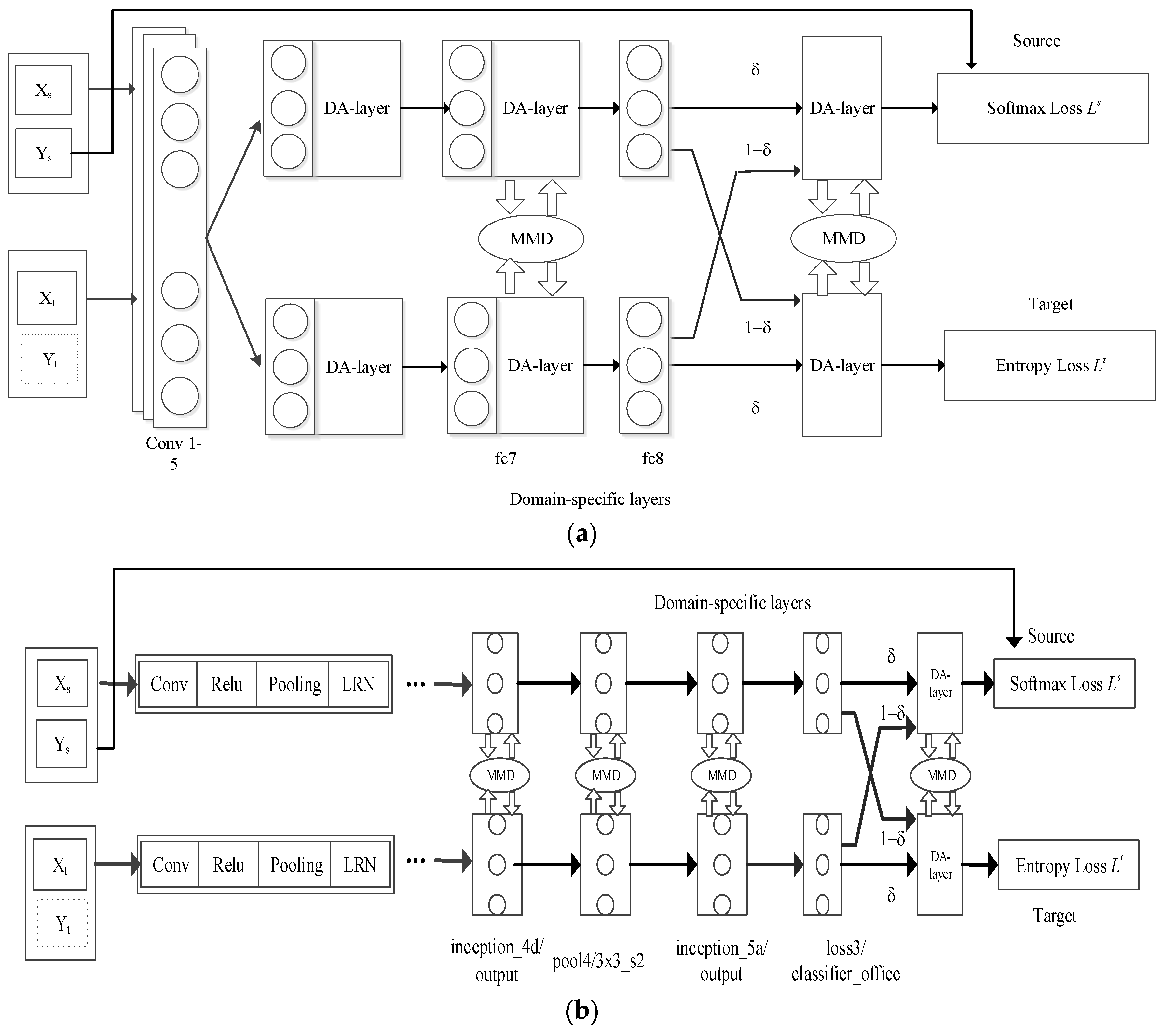
| Ours (AlexNet + MMD + DA layer) | Figure 1a | 77.2 | 98.7 | 100.0 | 76.1 | 61.1 | 59.4 | 78.7 |
| GoogleNet (source only) | - | 70.3 | 94.3 | 100.0 | 70.5 | 60.1 | 57.9 | 75.5 |
| Ours (GoogleNet + MMD) | Figure 2c | 76.0 | 95.9 | 98.6 | 74.4 | 61.5 | 60.3 | 77.8 |
| Ours (GoogleNet + DA layer) | Figure 2d | 84.2 | 97.9 | 99.9 | 82.35 | 64.6 | 64.2 | 82.2 |
| Ours (GoogleNet + MMD + DA layer) | Figure 1b | 87.1 | 98.0 | 99.4 | 82.3 | 70.8 | 69.3 | 84.5 |
| Method | Description of Network Architecture | Figure | A→W |
|---|---|---|---|
| AlexNet | AlexNet (source only) | - | 61.6 |
| DAN (AlexNet) | AlexNet + 2MMD | Figure 2a | 68.5 |
| AutoDial (AlexNet) | AlexNet + 3DA layer | Figure 2b | 75.5 |
| Ours (AlexNet) | AlexNet + 4MMD + 1DA layer | Figure 1a | 77.2 |
| GoogleNet | GoogleNet (source only) | - | 70.3 |
| DAN (GoogleNet) | GoogleNet + 4MMD | Figure 2c | 76.0 |
| JAN (GoogleNet) | GoogleNet + 4JMMD + 1DA layer | Figure 2e | 81.5 |
| AutoDial (GoogleNet) | GoogleNet + 69DA layer | Figure 2d | 84.2 |
| Ours (GoogleNet_v1) | GoogleNet + 4MMD + 4DA layer | Figure 2f | 80.4 |
| Ours (GoogleNet) | GoogleNet + 4MMD + 1DA layer | Figure 1b | 87.1 |
Publisher’s Note: MDPI stays neutral with regard to jurisdictional claims in published maps and institutional affiliations. |
© 2022 by the authors. Licensee MDPI, Basel, Switzerland. This article is an open access article distributed under the terms and conditions of the Creative Commons Attribution (CC BY) license (https://creativecommons.org/licenses/by/4.0/).
Share and Cite
Zhang, J.; Meng, C.; Xu, C.; Ma, J.; Su, W. Deep Transfer Learning Method Based on Automatic Domain Alignment and Moment Matching. Mathematics 2022, 10, 2531. https://doi.org/10.3390/math10142531
Zhang J, Meng C, Xu C, Ma J, Su W. Deep Transfer Learning Method Based on Automatic Domain Alignment and Moment Matching. Mathematics. 2022; 10(14):2531. https://doi.org/10.3390/math10142531
Chicago/Turabian StyleZhang, Jingui, Chuangji Meng, Cunlu Xu, Jingyong Ma, and Wei Su. 2022. "Deep Transfer Learning Method Based on Automatic Domain Alignment and Moment Matching" Mathematics 10, no. 14: 2531. https://doi.org/10.3390/math10142531
APA StyleZhang, J., Meng, C., Xu, C., Ma, J., & Su, W. (2022). Deep Transfer Learning Method Based on Automatic Domain Alignment and Moment Matching. Mathematics, 10(14), 2531. https://doi.org/10.3390/math10142531

