A Study of the Impact of Predictive Maintenance Parameters on the Improvment of System Monitoring
Abstract
1. Introduction
- A detailed analysis of the influence of input parameters of our approach on the optimization results. This study will help us understand the stakes of each input parameter and its role in the optimization results.
- Recommendations will be drawn from the influence analysis, which can lead to better results mainly through greater reduction of maintenance costs.
- A proposition of several criteria (Hurwicz, Wald, optimistic, etc.) to address the situations where the decision maker needs to make a decision on maintenance on the basis of an interval of .
- A case study concerning a rolling-element bearing system in order to illustrate the use of the three previous propositions.
2. Methodology Description
2.1. Assumptions
- The system under study is a unique component and it is integrated into a multicomponent system. This multicomponent system has a duration of exploitation D supposed to be known and constant.
- The system under study undergoes regular perfectly reliable inspections. An inspection informs the experts on the health state of the system. The inspection is performed thanks to connected sensors. The connected sensors transmit information on significant health parameters (such as, for example, temperature, pressure, etc.) to adapted software able to use these parameters to evaluate the RUL of the system using techniques inspired from artificial intelligence. An inspection gives a real estimation on the RUL of the system. After multiple simulations, the RUL is evaluated as the expected interval of time the system is likely to operate before it falls down. The RUL of the system can be evaluated thanks to Equation (1) [36]:where T is the time of failure of the system, f is the failure density function of the system, and S is the survival function of the system.
- At t = 0, the system is new and there is no need to maintain it. However, we consider that an inspection at t = 0 is required. Once the system reaches the instant t = D, there is no need to perform inspection, and the system needs to be replaced by a new one (see Figure 1).
- Between two consecutive inspections, one of these following scenarios may happen:
- −
- Predictive maintenance scenario: The RUL of the system attains some threshold value called under which the system is considered as deteriorated and should then be replaced by a new one.
- −
- Non-predictive maintenance scenario: In this scenario, the system is not replaced by predictive maintenance. In this case, the system may fall down or continue to operate:
- ∗
- If the system fails before inspection i + 1 knowing that he was operating at inspection i, a corrective maintenance should be performed on the system. The probability of occurrence of this scenario is equal to , where is the time of the ith inspection.
- ∗
- If the system operates normally between inspections i and i + 1, this scenario occurs with the complementary probability .
- However, if the system reaches the duration of exploitation D without being replaced because the deterioration zone has not been reached, it is considered as bad as old and has to be replaced by a new one.
- Predictive and corrective replacements are assumed to have constant and known durations.
- Predictive and corrective replacements, as well as the inspection, are assumed to have constant and known costs.
2.2. Maintenance Costs
- Predictive maintenance cost: The cost of predictive maintenance during the time cycle D can be evaluated using Equation (2):where is the cost of a predictive replacement and is a binary decision variable taking the value of 1 in case of a predictive maintenance between inspections i and i + 1 and 0 elsewhere.Equation (2) takes into consideration the fact that predictive maintenance is not systematic as in some cases, corrective maintenance may be preferable to predictive maintenance.
- Corrective maintenance cost: The corrective cost for the ith inspection is paid only if there is no predictive replacement and if the system fails before the next inspection. Therefore, the cost of corrective maintenance during the time cycle D can be evaluated using Equation (3):where is the cost of a corrective replacement.
- Inspection cost: The total cost of inspection during the time cycle D can be evaluated using Equation (4):where is the cost of an inspection.Note that as the inspection is performed regularly on the system starting from , the step of inspection is linked to the number of inspections :
- Operating loss cost: The operating loss cost is due to the loss of the system’s operation capacity due to a failure of the system or due to performing a maintenance activity on the system. The operating loss cost contains the operating loss cost due to predictive maintenance and the operating loss cost due to corrective maintenance (Equation (6)):where is the duration of a predictive replacement, is the duration of a corrective replacement, and is the cost of system downtime per unit of time.
- Indirect maintenance costs: The indirect maintenance costs include the expected cost of human risks , the expected cost of financial risks , and the expected cost of ecological risks due to maintenance. These three types of risks can be evaluated using the equations below [11]:
- n persons may be affected by a potential failure of the system. The probability of death of a person j is denoted by , and the Value of Statistical Life (VSL) is used to evaluate the monetary loss of human life [38,39]. By way of similarities, Equation 8 can be applied to evaluate the risk of human injuries: we may consider different levels of injuries with their corresponding compensation costs.
- A business loses x% of customers in case of predictive maintenance and y% of customers in case of corrective maintenance.
- A failure of the system is eventually responsible for emitting m toxic pollutants with emission probabilities and emission volumes . Each possibly emitted toxic pollutant j is characterized by its density and its environmental damage cost .
2.3. Process of Maintenance Cost Optimization
- the decision variables are binary
- the number of inspections should be at least equal to 1: as the system requires at least one inspection in its early life (see Figure 1).
- for some : a predictive maintenance should be performed as the RUL of the system has reached some threshold . In this case, the system should be predictively replaced at inspection i, and the cost optimization process must be reset.
- : There is no predictive replacement of the system in this case. However, the system may fail or not before the next inspection i + 1:
- −
- If the system fails before inspection i + 1, a corrective replacement of the system should be performed and the cost optimization process should be reset.
- −
- If the system does not fail, we plan to perform the next inspection i + 1 on the system at .
3. Process of Human Decision Making under Uncertainty
- : “The component is replaced at inspection i”.
- : “The component is not replaced at inspection i”.
- : “”.
- : “”.
3.1. Optimistic Criterion
3.2. Wald Criterion
3.3. Criterion of Minimum Regret
3.4. Hurwicz Criterion
4. Case Study
4.1. System Description
4.2. Main Characteristics of the System
4.3. Application
5. Sensitivity Analysis under Variation of Cost and Time Parameters
5.1. Study of the Impact of Cost Parameters on the Optimization Results
5.1.1. Variation of
5.1.2. Variation of
5.1.3. Variations of
5.1.4. Variation of
- The cost parameter is the most influencing parameter on the optimum .
- The parameter has almost no impact on the optimization results. The main impact of corrective maintenance on the optimization results is made through the cost of loss of operating capacity due to corrective maintenance.
- The parameters and have almost similar impact on the optimization results: these two parameters have an impact on the optimum of , but they have greater impact on the optimum and the interval of .
5.2. Study of the Impact of Time Parameters on the Optimization Results
5.2.1. Variation of
5.2.2. Variation of
6. Discussion
6.1. Cost Parameters
6.2. Time Parameters
6.3. Recommendations
7. Conclusions
Author Contributions
Funding
Institutional Review Board Statement
Informed Consent Statement
Data Availability Statement
Acknowledgments
Conflicts of Interest
Notations
| Cost of a corrective replacement | |
| Cost per hour of the system down time | |
| Cost of a predictive replacement | |
| C | Cost of loss of one customer for a business |
| Expected cost of corrective maintenance during D | |
| Expected cost of maintenance risks | |
| Expected cost of loss of operating capacity of the system during D | |
| Expected cost of predictive maintenance during D | |
| Expected monetary loss between inspection i and i + 1 | |
| Expected total cost of maintenance during D | |
| D | Duration of exploitation of the whole global system containing our system under study |
| Vector of cost of damage per tonne emission of pollutants due to system failure | |
| Duration of a corrective replacement | |
| Duration of a predictive replacement | |
| f(t) | Failure probability density function at time t |
| k | Shape parameter of Weibull distribution (to be updated at each inspection) |
| M | Number of potential customers at the beginning of the period D |
| N | Vector of binary decision variables: in case of predictive maintenance |
| between inspections i and i + 1, and elsewhere | |
| Number of inspections during D | |
| P | Vector of emission probabilities of toxic pollutants due to system failure |
| Expected cost of environmental maintenance risks | |
| Expected cost of financial maintenance risks | |
| Expected cost of human maintenance risks | |
| RUL(t) | Remaining useful life of the system at t |
| Threshold of RUL under which the system is considered as deteriorated and should be replaced before failure | |
| The lower bound of the interval of | |
| The upper bound of the interval of | |
| S(t) | Survival function of the system at t |
| V | Vector of emission volumes of toxic pollutants due to system failure |
| Optimism coefficient | |
| Scale parameter of Weibull distribution (constant) | |
| Density of possibly emitted toxic pollutant due to system failure | |
| Inspection step |
Nomenclature
| Parameter | Cost function | Source |
| C | The evaluation of these parameters | |
| takes in consideration | ||
| several aspects: cost | ||
| of a new component, labor | ||
| cost per hour, cost of logistics | ||
| D | cost of bus/train ticket... | |
| In practice, the expertise and historical | ||
| data on similar systems | ||
| M | help to set them | |
| Official reports (CAFE Program [54]) | ||
| Official data (3 millions euros in France [55]) | ||
| Sensor data |
References
- Lasi, H.; Fettke, P.; Kemper, H.G.; Feld, T.; Hoffmann, M. Industry 4.0. Bus. Inf. Syst. Eng. 2014, 6, 239–242. [Google Scholar] [CrossRef]
- Lu, Y. Industry 4.0: A survey on technologies, applications and open research issues. J. Ind. Inf. Integr. 2017, 6, 1–10. [Google Scholar] [CrossRef]
- Jazdi, N. Cyber physical systems in the context of Industry 4.0. In Proceedings of the 2014 IEEE International Conference on Automation, Quality and Testing, Robotics, Cluj-Napoca, Romania, 22–24 May 2014. [Google Scholar]
- Ran, Y.; Zhou, X.; Lin, P.; Wen, Y.; Deng, R. A Survey of Predictive Maintenance: Systems, Purposes and Approaches. arXiv 2019, arXiv:1912.07383. [Google Scholar]
- Aggarwal, K.; Atan, O.; Farahat, A.K.; Zhang, C.; Ristovski, K.; Gupta, C. Two birds with one network: Unifying failure event prediction and time-to-failure modeling. In Proceedings of the 2018 IEEE International Conference on Big Data (Big Data), Seattle, WA, USA, 10–13 December 2018. [Google Scholar]
- Association Française de NORmalisation (AFNOR). European Norm EN-13306: «Maintenance Terminology»; AFNOR: La Pleine Saint-Denis, France, 2018. [Google Scholar]
- Hashemian, H.M. State-of-the-art predictive maintenance techniques. IEEE Trans. Instrum. Meas. 2010, 60, 226–236. [Google Scholar] [CrossRef]
- Djeziri, M.; Djedidi, O.; Benmoussa, S.; Bendahan, M.; Seguin, J.L. Failure Prognosis Based on Relevant Measurements Identification and Data-Driven Trend-Modeling: Application to a Fuel Cell System. Processes 2021, 9, 328. [Google Scholar] [CrossRef]
- Gao, Z.; Cecati, C.; Ding, S.X. A survey of fault diagnosis and fault-tolerant techniques—Part I: Fault diagnosis with model-based and signal-based approaches. IEEE Trans. Ind. Electron. 2015, 62, 3757–3767. [Google Scholar] [CrossRef]
- Byington, C.S.; Roemer, M.J.; Galie, T. Prognostic enhancements to diagnostic systems for improved condition-based maintenance [military aircraft]. In Proceedings of the IEEE Aerospace Conference, Big Sky, MT, USA, 9–16 March 2002; Volume 6, p. 6. [Google Scholar]
- Louhichi, R.; Sallak, M.; Pelletan, J. A Cost Model for Predictive Maintenance Based on Risk-Assessment; CIGI Qualita: Montreal, QC, Canada, 2019. [Google Scholar]
- Jardine, A.K.; Lin, D.; Banjevic, D. A review on machinery diagnostics and prognostics implementing condition-based maintenance. Mech. Syst. Signal Process. 2006, 20, 1483–1510. [Google Scholar] [CrossRef]
- Si, X.S.; Wang, W.; Hu, C.H.; Zhou, D.H. Remaining useful life estimation—A review on the statistical data driven approaches. Eur. J. Oper. Res. 2011, 213, 1–14. [Google Scholar] [CrossRef]
- Zhou, X.; Xi, L.; Lee, J. Reliability-centered predictive maintenance scheduling for a continuously monitored system subject to degradation. Reliab. Eng. Syst. Saf. 2007, 92, 530–534. [Google Scholar] [CrossRef]
- Wu, F.; Niknam, S.A.; Kobza, J.E. A cost effective degradation-based maintenance strategy under imperfect repair. Reliab. Eng. Syst. Saf. 2015, 144, 234–243. [Google Scholar] [CrossRef]
- Chen, C.; Shi, J.; Lu, N.; Zhu, Z.H.; Jiang, B. Data-driven predictive maintenance strategy considering the uncertainty in remaining useful life prediction. Neurocomputing 2022, 494, 79–88. [Google Scholar] [CrossRef]
- Zhang, M.; Amaitik, N.; Wang, Z.; Xu, Y.; Maisuradze, A.; Peschl, M.; Tzovaras, D. Predictive Maintenance for Remanufacturing Based on Hybrid-Driven Remaining Useful Life Prediction. Appl. Sci. 2022, 12, 3218. [Google Scholar] [CrossRef]
- Han, X.; Wang, Z.; Xie, M.; He, Y.; Li, Y.; Wang, W. Remaining useful life prediction and predictive maintenance strategies for multi-state manufacturing systems considering functional dependence. Reliab. Eng. Syst. Saf. 2021, 210, 107560. [Google Scholar] [CrossRef]
- Banjevic, D. Remaining useful life in theory and practice. Metrika 2009, 69, 337–349. [Google Scholar] [CrossRef]
- Lee, J.; Ni, J.; Djurdjanovic, D.; Qiu, H.; Liao, H. Intelligent prognostics tools and e-maintenance. Comput. Ind. 2006, 57, 476–489. [Google Scholar] [CrossRef]
- Palem, G. Condition-based maintenance using sensor arrays and telematics. arXiv 2013, arXiv:1309.1921. [Google Scholar] [CrossRef]
- Lesobre, R.; Bouvard, K.; Barros, A.; Bérenguer, C.; Cocquempot, V. Dynamic maintenance policy for a multi-component system integrating monitoring information. In Proceedings of the 19th Lambda Mu Congress, Dijon, France, 21–23 October 2014. [Google Scholar]
- Sharma, A.; Yadava, G.S.; Deshmukh, S.G. A literature review and future perspectives on maintenance optimization. J. Qual. Maint. Eng. 2011, 17, 5–25. [Google Scholar] [CrossRef]
- Vaurio, J.K. Availability and cost functions for periodically inspected preventively maintained units. Reliab. Eng. Syst. Saf. 1999, 63, 133–140. [Google Scholar] [CrossRef]
- Maillart, L.M.; Pollock, S.M. Cost-optimal condition monitoring for predictive maintenance of 2-phase systems. IEEE Trans. Reliab. 2002, 51, 322–330. [Google Scholar] [CrossRef]
- You, M.Y.; Li, L.; Meng, G.; Ni, J. Cost-effective updated sequential predictive maintenance policy for continuously monitored degrading systems. IEEE Trans. Autom. Sci. Eng. 2009, 7, 257–265. [Google Scholar] [CrossRef]
- Van Horenbeek, A.; Pintelon, L. A dynamic predictive maintenance policy for complex multi-component systems. Reliab. Eng. Syst. Saf. 2013, 120, 39–50. [Google Scholar] [CrossRef]
- He, Y.; Han, X.; Gu, C.; Chen, Z. Cost-oriented predictive maintenance based on mission reliability state for cyber manufacturing systems. Adv. Mech. Eng. 2018, 10, 1687814017751467. [Google Scholar] [CrossRef]
- Robert, E.; Bérenguer, C.; Bouvard, K.; Tedie, H.; Lesobre, R. A predictive approach to jointly schedule missions and maintenances for a deteriorating vehicle. In Safety and Reliability–Safe Societies in a Changing World; CRC Press: Boca Raton, FL, USA, 2018. [Google Scholar]
- Khan, F.I.; Haddara, M.M.; Bhattacharya, S.K. Risk-based integrity and inspection modeling (RBIIM) of process components/system. Risk Anal. 2006, 26, 203–221. [Google Scholar] [CrossRef] [PubMed]
- Khan, F.I.; Haddara, M.; Krishnasamy, L. A new methodology for risk-based availability analysis. IEEE Trans. Reliab. 2008, 57, 103–112. [Google Scholar] [CrossRef]
- Veldman, J.; Wortmann, H.; Klingenberg, W. Typology of condition based maintenance. J. Qual. Maint. Eng. 2011, 17, 183–202. [Google Scholar] [CrossRef]
- Bousdekis, A.; Lepenioti, K.; Apostolou, D.; Mentzas, G. Decision Making in Predictive Maintenance: Literature Review and Research Agenda for Industry 4.0. IFAC-PapersOnLine 2019, 52, 607–612. [Google Scholar] [CrossRef]
- Tversky, A.; Kahneman, D. Judgment under uncertainty: Heuristics and biases. Science 1974, 185, 1124–1131. [Google Scholar] [CrossRef]
- Tversky, A.; Kahneman, D. Advances in prospect theory: Cumulative representation of uncertainty. J. Risk Uncertain. 1992, 5, 297–323. [Google Scholar] [CrossRef]
- Louhichi, R.; Sallak, M.; Pelletan, J. A Maintenance Cost Optimization Approach: Application on a Mechanical Bearing System. Int. J. Mech. Eng. Robot. Res. 2020, 9, 658–664. [Google Scholar] [CrossRef]
- Khan, F.I.; Haddara, M.M. Risk-based maintenance (RBM): A quantitative approach for maintenance/inspection scheduling and planning. J. Loss Prev. Process Ind. 2003, 16, 561–573. [Google Scholar] [CrossRef]
- Viscusi, W.K.; Aldy, J.E. The value of a statistical life: A critical review of market estimates throughout the world. J. Risk Uncertain. 2003, 27, 5–76. [Google Scholar] [CrossRef]
- Viscusi, W.K. The value of life: Estimates with risks by occupation and industry. Econ. Inq. 2004, 42, 29–48. [Google Scholar] [CrossRef]
- Volz, K.G.; Gigerenzer, G. Cognitive processes in decisions under risk are not the same as in decisions under uncertainty. Front. Neurosci. 2012, 6, 105. [Google Scholar] [CrossRef] [PubMed]
- Savage, L.J. The Foundations of Statistics; Courier Corporation: North Chelmsford, MA, USA, 1972. [Google Scholar]
- Aspinall, W.P.; Cooke, R.M. Quantifying scientific uncertainty from expert judgement elicitation. In Risk and Uncertainty Assessment for Natural Hazards; Cambridge University Press: Cambridge, UK, 2013; p. 64. [Google Scholar]
- Starr, M.K. A discussion of some normative criteria for decision-making under uncertainty. IMR; Ind. Manag. Rev. (pre-1986) 1966, 8, 71. [Google Scholar]
- Wen, M.; Iwamura, K. Fuzzy facility location-allocation problem under the Hurwicz criterion. Eur. J. Oper. Res. 2008, 184, 627–635. [Google Scholar] [CrossRef]
- Kahneman, D.; Tversky, A. Prospect theory: An analysis of decision under risk. In Handbook of the Fundamentals of Financial Decision Making: Part I; World Scientific: Singapore, 1979; pp. 263–292. [Google Scholar]
- Shapira, Z. Aspiration Levels and Risk Taking by Government Bond Traders; Hebrew University of Jerusalem, Center for Rationality and Interactive Decision Theory: Jerusalem, Israel, 2000. [Google Scholar]
- Slovic, P. Trust, emotion, sex, politics, and science: Surveying the risk-assessment battlefield. Risk Anal. 1999, 19, 689–701. [Google Scholar] [CrossRef] [PubMed]
- Slovic, P.; Flynn, J.H.; Layman, M. Perceived risk, trust, and the politics of nuclear waste. Science 1991, 254, 1603–1607. [Google Scholar] [CrossRef] [PubMed]
- Gouriveau, R.; Medjaher, K.; Zerhouni, N. From the Concept of PHM to Predictive Maintenance 1: Monitoring and Prognosis; Wiley-ISTE: London, UK, 2017; Volume 3. [Google Scholar]
- Li, B.; Chow, M.Y.; Tipsuwan, Y.; Hung, J.C. Neural-network-based motor rolling bearing fault diagnosis. IEEE Trans. Ind. Electron. 2000, 47, 1060–1069. [Google Scholar] [CrossRef]
- Cong, F.; Chen, J.; Dong, G.; Pecht, M. Vibration model of rolling element bearings in a rotor-bearing system for fault diagnosis. J. Sound Vib. 2013, 332, 2081–2097. [Google Scholar] [CrossRef]
- Tandon, N.; Choudhury, A. A theoretical model to predict the vibration response of rolling bearings in a rotor bearing system to distributed defects under radial load. J. Trib. 2000, 122, 609–615. [Google Scholar] [CrossRef]
- Erto, P.; Giorgio, M. Modified’practical Bayes-estimators’[reliability theory]. IEEE Trans. Reliab. 1996, 45, 132–137. [Google Scholar] [CrossRef]
- Holland, M.; Pye, S. Damages per Tonne Emission of EU25 Member State (Ex- Cluding Cyprus) and Surrounding Seas Service Contract for Carrying out Cost-Benefit Analysis of Air Quality Related Issues. In Particular in the Clean Air for Europe (CAFE) Programme Customer; AEA Technology Environment: Didcot, UK, 2005. [Google Scholar]
- Téhard, B.; Detournay, B.; Borget, I.; Roze, S.; De Pouvourville, G. Value of a QALY for France: A new approach to propose acceptable reference values. Value Health 2020, 23, 985–993. [Google Scholar] [CrossRef] [PubMed]


























| Parameter | Value | Unit |
|---|---|---|
| 200 | ||
| 800 | ||
| 150 | ||
| 1000 | ||
| D | 25,000 | hours |
| 2 | hours | |
| 10 | hours |
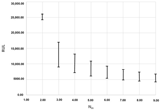
| k | N | |
|---|---|---|
| 2 | ||
| 3 | ||
| 4 | ||
| 5 | ||
| 6 | ||
| 7 | ||
| 8 | ||
| 9 | , | |
Publisher’s Note: MDPI stays neutral with regard to jurisdictional claims in published maps and institutional affiliations. |
© 2022 by the authors. Licensee MDPI, Basel, Switzerland. This article is an open access article distributed under the terms and conditions of the Creative Commons Attribution (CC BY) license (https://creativecommons.org/licenses/by/4.0/).
Share and Cite
Louhichi, R.; Sallak, M.; Pelletan, J. A Study of the Impact of Predictive Maintenance Parameters on the Improvment of System Monitoring. Mathematics 2022, 10, 2153. https://doi.org/10.3390/math10132153
Louhichi R, Sallak M, Pelletan J. A Study of the Impact of Predictive Maintenance Parameters on the Improvment of System Monitoring. Mathematics. 2022; 10(13):2153. https://doi.org/10.3390/math10132153
Chicago/Turabian StyleLouhichi, Rim, Mohamed Sallak, and Jacques Pelletan. 2022. "A Study of the Impact of Predictive Maintenance Parameters on the Improvment of System Monitoring" Mathematics 10, no. 13: 2153. https://doi.org/10.3390/math10132153
APA StyleLouhichi, R., Sallak, M., & Pelletan, J. (2022). A Study of the Impact of Predictive Maintenance Parameters on the Improvment of System Monitoring. Mathematics, 10(13), 2153. https://doi.org/10.3390/math10132153

