Solute Transport Control at Channel Junctions Using Adjoint Sensitivity
Abstract
:1. Introduction
2. Flow Equations and Numerical Model
2.1. 1D Shallow Water Equations
2.2. 1D Advection–Reaction Equation
2.3. Numerical Model
2.4. Junction Boundary Conditions
3. Adjoint Equations and Gradient Descent Method
3.1. Solute Transport Adjoint Equation
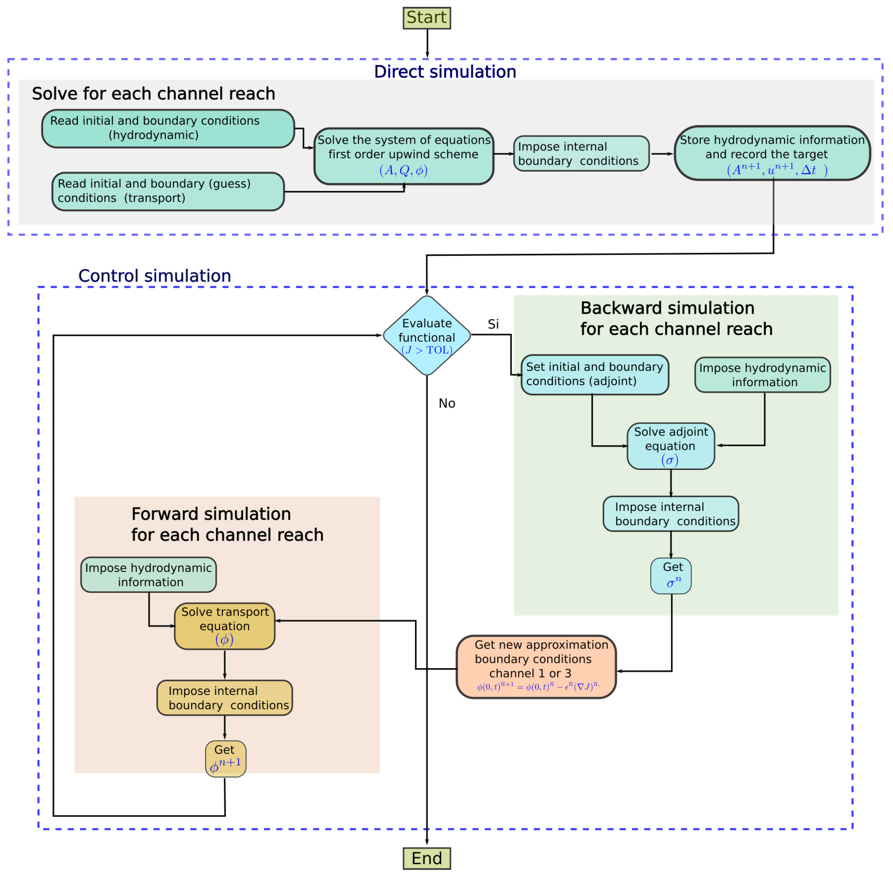
3.2. Numerical Model and Gradient Descent Method
4. Test Cases
4.1. Cases 1 and 2: Steady State of Both Flow and Concentration
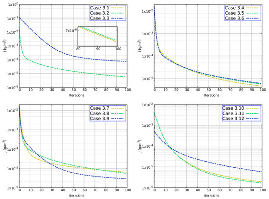
4.2. Case 3: Unsteady Flow with Gaussian Pulse for Both Flow and Concentration
4.3. Case 4: Analysis of the Influence of the Measurement Station, Geometry and the Type of Reconstruction
4.4. Case 5: Unsteady Flow with Step Pulse for Both Flow and Concentration with Reaction
4.5. Case 6: Unsteady Flow with Two Solutes and Friction
5. Discussion
6. Conclusions
Author Contributions
Funding
Data Availability Statement
Conflicts of Interest
References
- Chapra, S.C. Engineering water quality models and TMDLs. J. Water Resour. Plan. Manag. 2003, 129, 247–256. [Google Scholar] [CrossRef]
- Garcia-Navarro, M.; Savirón, J. Numerical simulation of unsteady flow at open channel junctions. J. Hydraul. Res. 1992, 30, 595–609. [Google Scholar] [CrossRef]
- Hsu, C.C.; Lee, W.J.; Chang, C.H. Subcritical open-channel junction flow. J. Hydraul. Eng. 1998, 124, 847–855. [Google Scholar] [CrossRef]
- Best, J.; Roy, A. Mixing layer distortion at the confluence of unequal depth channels. Nature 1991, 350, 411–413. [Google Scholar] [CrossRef]
- Best, J.L. Flow dynamics at river channel confluences: Implications for sediment transport and bed morphology. In Recent Developments in Fluvial Sedimentology, 39; Ethridge, F., Flores, M., Harvey, M., Eds.; Society of Economic Paleontologists and Mineralogists, Special Publication: Tulsa, OK, USA, 1987; pp. 27–35. [Google Scholar]
- Best, J.L. Sediment transport and bed morphology at river channel confluences. Sedimentology 1988, 35, 481–498. [Google Scholar] [CrossRef]
- Kenworthy, S.T.; Rhoads, B.L. Hydrologic control of spatial patterns of suspended sediment concentration at a stream confluence. J. Hydrol. 1995, 168, 251–263. [Google Scholar] [CrossRef]
- Tong-Huan, L.; Yi-Kui, W.; Xie-Kang, W.; Huan-Feng, D.; Xu-Feng, Y. Morphological environment survey and hydrodynamic modeling of a large bifurcation-confluence complex in Yangtze River, China. Sci. Total Environ. 2020, 737, 139705. [Google Scholar]
- Ghostine, R.; Vazquez, J.; Terfous, A.; Mose, R.; Ghenaim, A. Comparative study of 1D and 2D flow simulations at open-channel junctions. J. Hydraul. Res. 2012, 50, 164–170. [Google Scholar] [CrossRef]
- Constantinescu, G.; Miyawaki, S.; Rhoads, B.; Sukhodolov, A. Numerical evaluation of the effects of planform geometry and inflow conditions on flow, turbulence structure, and bed shear velocity at a stream confluence with a concordant bed. J. Geophys. Res. Earth Surf. 2014, 119, 2079–2097. [Google Scholar] [CrossRef]
- Constantinescu, G.; Miyawaki, S.; Rhoads, B.; Sukhodolov, A. Numerical analysis of the effect of momentum ratio on the dynamics and sediment-entrainment capacity of coherent flow structures at a stream confluence. J. Geophys. Res. F04028 2012, 117, F04028. [Google Scholar] [CrossRef]
- Constantinescu, G.; Miyawaki, S.; Rhoads, B.; Sukhodolov, A.; Kirkil, G. Structure of turbulent flow at a river confluence with momentum and velocity ratios close to 1: Insight provided by an eddy-resolving numerical simulation. Water Resour. Res. 2011, 47, W05507. [Google Scholar] [CrossRef]
- Gualtieri, C.; Filizola, N.; de Oliveira, M.; Santos, A.M.; Ianniruberto, M. A field study of the confluence between Negro and Solimões Rivers. Part 1: Hydrodynamics and sediment transport. Comptes Rendus Geosci. 2018, 350, 31–42. [Google Scholar] [CrossRef]
- Ianniruberto, M.; Trevethan, M.; Pinheiro, A.; Andrade, J.F.; Dantas, E.; Filizola, N.; Santos, A.; Gualtieri, C. A field study of the confluence between Negro and Solimões Rivers. Part 2: Bed morphology and stratigraphy. Comptes Rendus Geosci. 2018, 350, 43–54. [Google Scholar] [CrossRef]
- Burguete, J.; Zapata, N.; García-Navarro, P.; Maïkaka, M.; Playán, E.; Murillo, J. Fertigation in furrows and level furrow systems. I: Model description and numerical tests. J. Irrig. Drain. Eng. 2009, 135, 401–412. [Google Scholar] [CrossRef] [Green Version]
- Tang, H.; Zhang, H.; Yuan, S. Hydrodynamics and contaminant transport on a degraded bed at a 90-degree channel confluence. Environ. Fluid Mech. 2018, 18, 443–463. [Google Scholar] [CrossRef]
- Xiao, Y.; Xia, Y.; Yuan, S.y.; Tang, H.w. Flow structure and phosphorus adsorption in bed sediment at a 90° channel confluence. J. Hydrodyn. Ser. B 2017, 29, 902–905. [Google Scholar] [CrossRef]
- Yuan, S.; Tang, H.; Xiao, Y.; Xia, Y.; Melching, C.; Li, Z. Phosphorus contamination of the surface sediment at a river confluence. J. Hydrol. 2019, 573, 568–580. [Google Scholar] [CrossRef]
- Cheng, Z.; Constantinescu, G. Stratification effects on flow hydrodynamics and mixing at a confluence with a highly discordant bed and a relatively low velocity ratio. Water Resour. Res. 2018, 54, 4537–4562. [Google Scholar] [CrossRef]
- Gualtieri, C.; Ianniruberto, M.; Filizola, N. On the mixing of rivers with a difference in density: The case of the Negro/Solimões confluence, Brazil. J. Hydrol. 2019, 578, 124029. [Google Scholar] [CrossRef]
- Lacasta, A.; Morales-Hernández, M.; Brufau, P.; García-Navarro, P. Application of an adjoint-based optimization procedure for the optimal control of internal boundary conditions in the shallow water equations. J. Hydraul. Res. 2018, 56, 111–123. [Google Scholar] [CrossRef]
- Neupauer, R.M. Adjoint sensitivity analysis of contaminant concentrations in water distribution systems. J. Eng. Mech. 2011, 137, 31–39. [Google Scholar] [CrossRef]
- Piasecki, M. Optimal wasteload allocation procedure for achieving dissolved oxygen water quality objectives. I: Sensitivity analysis. J. Environ. Eng. 2004, 130, 1322–1334. [Google Scholar] [CrossRef]
- Sanders, B.F.; Katopodes, N.D. Adjoint sensitivity analysis for shallow-water wave control. J. Eng. Mech. 2000, 126, 909–919. [Google Scholar] [CrossRef]
- Katopodes, N.D. Free-Surface Flow: Environmental Fluid Mechanics; Butterworth-Heinemann: Oxford, UK, 2018. [Google Scholar]
- Marchuk, G.I. Mathematical Models in Environmental Problems; Elsevier: Amsterdam, The Netherlands, 2011; Volume 16. [Google Scholar]
- Gordillo, G.; Morales-Hernández, M.; García-Navarro, P. A gradient-descent adjoint method for the reconstruction of boundary conditions in a river flow nitrification model. Environ. Sci. Process. Impacts 2020, 22, 381–397. [Google Scholar] [CrossRef]
- Kundu, P.; Cohen, I.; Dowling, D. Fluid Mechanics; Waltham: Singapore, 2012. [Google Scholar]
- Chapra, S.C. Surface Water-Quality Modeling; Waveland Press: Long Grove, IL, USA, 2008; pp. 175–183. [Google Scholar]
- Thomann, R.V.; Mueller, J.A. Principles of Surface Water Quality Modeling and Control; Harper & Row, Publishers: New York, NY, USA, 1987. [Google Scholar]
- Ramezani, M.; Noori, R.; Hooshyaripor, F.; Deng, Z.; Sarang, A. Numerical modelling-based comparison of longitudinal dispersion coefficient formulas for solute transport in rivers. Hydrol. Sci. J. 2019, 64, 808–819. [Google Scholar] [CrossRef]
- Cheme, E.K.; Mazaheri, M. The effect of neglecting spatial variations of the parameters in pollutant transport modeling in rivers. Environ. Fluid Mech. 2021, 21, 587–603. [Google Scholar] [CrossRef]
- Abbott, M.; Minns, A. Computational Hydraulics: Elements of the Theory of Free Surface Flows; MB Abbott. Pitman Publishing: London, UK, 1979. [Google Scholar]
- Ji, Z.G. Hydrodynamics and Water Quality: Modeling Rivers, Lakes, and Estuaries; John Wiley & Sons: Hoboken, NJ, USA, 2017. [Google Scholar]
- Gordillo, G.; Morales-Hernández, M.; García-Navarro, P. Finite volume model for the simulation of 1D unsteady river flow and water quality based on the WASP. J. Hydroinform. 2020, 22, 327–345. [Google Scholar] [CrossRef]
- Murillo, J.; Navas-Montilla, A. A comprehensive explanation and exercise of the source terms in hyperbolic systems using Roe type solutions. Application to the 1D-2D shallow water equations. Adv. Water Resour. 2016, 98, 70–96. [Google Scholar] [CrossRef] [Green Version]
- Fernández-Pato, J.; Morales-Hernández, M.; García-Navarro, P. Implicit finite volume simulation of 2D shallow water flows in flexible meshes. Comput. Methods Appl. Mech. Eng. 2018, 328, 1–25. [Google Scholar] [CrossRef] [Green Version]
- Morales-Hernández, M.; García-Navarro, P.; Burguete, J.; Brufau, P. A conservative strategy to couple 1D and 2D models for shallow water flow simulation. Comput. Fluids 2013, 81, 26–44. [Google Scholar] [CrossRef] [Green Version]
- Morales-Hernández, M.; Murillo, J.; García-Navarro, P. Diffusion–dispersion numerical discretization for solute transport in 2D transient shallow flows. Environ. Fluid Mech. 2019, 19, 1217–1234. [Google Scholar] [CrossRef] [Green Version]
- Fernández-Pato, J.; García-Navarro, P. Finite volume simulation of unsteady water pipe flow. Drink. Water Eng. Sci. 2014, 7, 83–92. [Google Scholar] [CrossRef] [Green Version]
- Murillo, J.; García-Navarro, P. Weak solutions for partial differential equations with source terms: Application to the shallow water equations. J. Comput. Phys. 2010, 229, 4327–4368. [Google Scholar] [CrossRef]
- Piasecki, M. Optimal wasteload allocation procedure for achieving dissolved oxygen water quality objectives. II: Optimal load control. J. Environ. Eng. 2004, 130, 1335–1344. [Google Scholar] [CrossRef]
- Lacasta, A.; Morales-Hernández, M.; Burguete, J.; Brufau, P.; García-Navarro, P. Calibration of the 1D shallow water equations: A comparison of Monte Carlo and gradient-based optimization methods. J. Hydroinform. 2017, 19, 282–298. [Google Scholar] [CrossRef] [Green Version]
- MIKE21, D.; MIKE3 Flow Model, F. Hydrodynamic and Transport Module Scientific Documentation; DHl Water & Environment: Hørsholm, Denmark, 2009. [Google Scholar]
- Lacasta, A.; García-Navarro, P. A GPU accelerated adjoint-based optimizer for inverse modeling of the two-dimensional shallow water equations. Comput. Fluids 2016, 136, 371–383. [Google Scholar] [CrossRef]












| Case | I.C. | B.C. | |||
|---|---|---|---|---|---|
| Channel 1 | Channel 2 | Channel 3 | Channel 1 | Channel 3 | |
| Case 2.1 | 1 | 1.5 | 0.5 | 1 | 0.5 |
| Case 2.2 | 1 | 2 | 1 | 1 | 1 |
| Case 2.3 | 1 | 3 | 2 | 1 | 2 |
| Channel Recons. | Case | (m) | (m) | (m) | (m) | |
|---|---|---|---|---|---|---|
| channel 1 | Case 3.1 | 1000 | 1000 | 1000 | 1% | 100 |
| Case 3.2 | 1000 | 1000 | 1000 | 1% | 500 | |
| Case 3.3 | 1000 | 1000 | 1000 | 1% | 900 | |
| Case 3.4 | 500 | 1000 | 1000 | 1% | 100 | |
| Case 3.5 | 1000 | 1000 | 1000 | 1% | 100 | |
| Case 3.6 | 1500 | 1000 | 1000 | 1% | 100 | |
| Case 3.7 | 1000 | 1000 | 1000 | 0.5% | 100 | |
| Case 3.8 | 1000 | 1000 | 1000 | 1% | 100 | |
| Case 3.9 | 1000 | 1000 | 1000 | 1.5% | 100 | |
| channel 3 | Case 3.10 | 1000 | 1000 | 500 | 1% | 100 |
| Case 3.11 | 1000 | 1000 | 1000 | 1% | 100 | |
| Case 3.12 | 1000 | 1000 | 1500 | 1% | 100 |
| Channel | Variables | |||||||
|---|---|---|---|---|---|---|---|---|
| Decay Rate (s) | ||||||||
| a | b | c | a | b | c | |||
| channel 1 | 2 | 250 | 30 | 4 | 250 | 30 | ||
| channel 2 | - | - | ||||||
| channel 3 | 1 | 400 | 30 | 2 | 400 | 30 | ||
| Case | RMSE () |
|---|---|
| Case 1 | 0.02013 |
| Case 2 MNC 100 | 0.0101 |
| Case 2 MNC 200 | 0.0105 |
| Case 2 MNC 400 | 0.0123 |
| Case 2.1 | 0.208 |
| Case 2.2 | 0.085 |
| Case 2.3 | 0.034 |
| Case 3.1 | 0.299 |
| Case 3.2 | 0.3 |
| Case 3.3 | 0.361 |
| Case 3.4 | 0.298 |
| Case 3.5 | 0.299 |
| Case 3.6 | 0.301 |
| Case 3.7 | 0.359 |
| Case 3.8 | 0.299 |
| Case 3.9 | 0.284 |
| Case 3.10 | 0.196 |
| Case 3.11 | 0.198 |
| Case 3.12 | 0.314 |
| Case 4 | 0.008 |
| Case 5 | 0.154 |
| Case 6 | 0.025 |
Publisher’s Note: MDPI stays neutral with regard to jurisdictional claims in published maps and institutional affiliations. |
© 2021 by the authors. Licensee MDPI, Basel, Switzerland. This article is an open access article distributed under the terms and conditions of the Creative Commons Attribution (CC BY) license (https://creativecommons.org/licenses/by/4.0/).
Share and Cite
Gordillo, G.; Morales-Hernández, M.; García-Navarro, P. Solute Transport Control at Channel Junctions Using Adjoint Sensitivity. Mathematics 2022, 10, 93. https://doi.org/10.3390/math10010093
Gordillo G, Morales-Hernández M, García-Navarro P. Solute Transport Control at Channel Junctions Using Adjoint Sensitivity. Mathematics. 2022; 10(1):93. https://doi.org/10.3390/math10010093
Chicago/Turabian StyleGordillo, Geovanny, Mario Morales-Hernández, and Pilar García-Navarro. 2022. "Solute Transport Control at Channel Junctions Using Adjoint Sensitivity" Mathematics 10, no. 1: 93. https://doi.org/10.3390/math10010093
APA StyleGordillo, G., Morales-Hernández, M., & García-Navarro, P. (2022). Solute Transport Control at Channel Junctions Using Adjoint Sensitivity. Mathematics, 10(1), 93. https://doi.org/10.3390/math10010093

