New Applied Problems in the Theory of Acyclic Digraphs
Abstract
1. Introduction
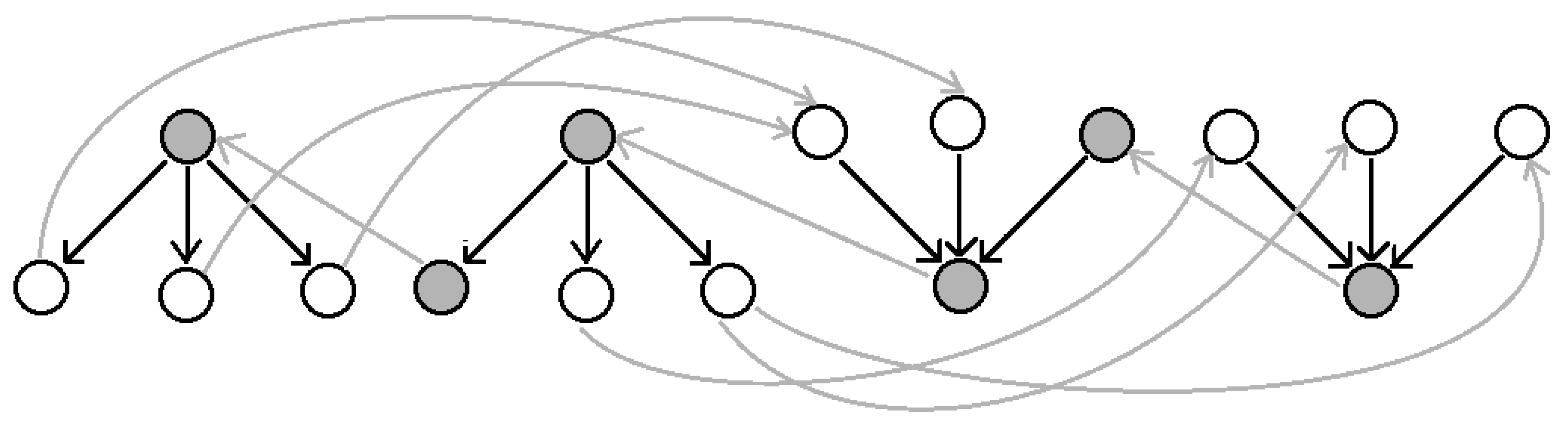
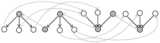
2. Optimal Blocking of Selected Vertices of the Acyclic Digraph
3. Optimal Algorithm for Converting an Acyclic Digraph into a Strongly Connected One
4. Recurrent Algorithm for Class Allocation Cyclic Equivalence
5. Discussions
Author Contributions
Funding
Institutional Review Board Statement
Informed Consent Statement
Data Availability Statement
Conflicts of Interest
References
- Harary, F.; Norman, R.Z.; Cartwright, D. Structural Models: An Introduction to the Theory of Directed Graphs; Wiley: New York, NY, USA, 1965. [Google Scholar]
- Wasserman, S.S. Models for Binary Directed Graphs and Their Applications. Adv. Appl. Prob. 1978, 10, 803–818. [Google Scholar] [CrossRef]
- Bang-Jensen, J.; Gutin, G. Classes of Directed Graphs; Springer: Berlin/Heidelberg, Germany, 2018. [Google Scholar]
- Ford, L.R., Jr.; Fulkerson, D.R. Maximal Flow Through a Network. Can. J. Math. 1956, 8, 399–404. [Google Scholar] [CrossRef]
- Ford, L.R., Jr.; Fulkerson, D.R. A Simple Algorithm for Finding Maximal Network Flows and an Application to the Hitchcock Problem. Can. J. Math. 1957, 9, 210–218. [Google Scholar] [CrossRef]
- Cormen, T.H.; Leiserson, C.E.; Rivest, R.L.; Stein, C. Introduction to Algorithms, 3rd ed.; The MIT Press: New York, NY, USA, 2009. [Google Scholar]
- Cook, W.J.; Cunningham, W.H.; Pulleyblank, W.R.; Schriver, A. Combinatorial Optimization. Wiley Ser. Discret. Math. Optim. 2011, 33, 48–49. [Google Scholar]
- Potapov, A.P.; Goemann1, B.; Wingender1, E. The pairwise disconnectivity index as a new metric for the topological analysis of regulatory networks. BMC Bioinform. 2008, 9, 227. [Google Scholar] [CrossRef] [PubMed][Green Version]
- Sheridan, P.; Kamimura, T.; Shimodaira, H. A Scale-Free Structure Prior for Graphical Models with Applications in Functional Genomics. PLoS ONE 2010, 5, e13580. [Google Scholar] [CrossRef]
- Georgiadis, L.; Giuseppe, F.I.; Parotsidis, N. Strong Connectivity in Directed Graphs under Failures, with Applications. SIAM J. Comput. 2020, 49, 865–926. [Google Scholar] [CrossRef]
- Melo, B.; Brandao, I.; Tomei, C.; Guerreiro, T. Directed graphs and interferometry. J. Opt. Soc. Am. B 2020, 37, 2199–2208. [Google Scholar] [CrossRef]
- Mezic, I.; Fonoberov, V.A.; Fonoberova, M.; Sahai, T. Spectral Complexity of Directed Graphs and Application to Structural Decomposition. Complexity 2019, 9610826. [Google Scholar] [CrossRef]
- Marques, A.G.; Segarra, S.; Mateos, G. Signal Processing on Directed Graphs: The Role of Edge Directionality When Processing and Learning From Network Data. IEEE Signal Process. Mag. 2020, 37, 99–116. [Google Scholar] [CrossRef]
- Dokka, T.; Kouvela, A.; Spieksma, F.C.R. Approximating the multi-level bottleneck assignment problem. Oper. Res. Lett. 2012, 40, 282–286. [Google Scholar] [CrossRef]
- Zwick, U. The smallest networks on which the Ford-Fulkerson maximum flow procedure may fail to terminate. Theor. Comput. Sci. 1995, 148, 165–170. [Google Scholar] [CrossRef]
- Backman, S.; Huynh, T. Transfinite Ford–Fulkerson on a finite network. Computability 2018, 7, 341–347. [Google Scholar] [CrossRef]
- Allen, B.; Sample, C.; Jencks, R.; Withers, J.; Steinhagen, P.; Brizuela, L.; Kolodny, J.; Parke, D.; Lippner, G.; Dementieva, Y.A. Transient amplifiers of selection and reducers of fixation for death-Birth updating on graphs. PLoS Comput. Biol. 2020, 16, e1007529. [Google Scholar] [CrossRef]
- Bulgakov, V.P.; Avramenko, T.V.; Tsitsiashvili, G.S. Critical analysis of protein signaling networks involved in the regulation of plant secondary metabolism: Focus on anthocyanins. Crit. Rev. Biotechnol. 2017, 37, 685–700. [Google Scholar] [CrossRef]
- Bulgakov, V.P.; Wu, H.C.; Jinn, T.L. Coordination of ABA and Chaperone Signalling in Plant Stress Responses. Trends Plant Sci. 2019, 24, 636–651. [Google Scholar] [CrossRef]
- Fàbregas, N.; Lozano-Elena, F.; Blasco-Escámez, D.; Tohge, T.; Martínez-Andújar, C.; Albacete, A.; Osorio, S.; Bustamante, M.; Riechmann, J.L.; Nomura, T.; et al. Overexpression of the vascular brassinosteroid receptor BRL3 confers drought resistance without penalizing plant growth. Nat. Commun. 2018, 9, 4680. [Google Scholar] [CrossRef]
- Bulgakov, V.P.; Avramenko, T.V. Linking Brassinosteroid and ABA Signaling in the Context of Stress Acclimation. Int. J. Mol. Sci. 2020, 21, 5108. [Google Scholar] [CrossRef] [PubMed]
- Edmonds, J.; Karp, R.M. Theoretical Improvements in Algorithmic Efficiency for Network Flow Problems. J. ACM 1972, 19, 248–264. [Google Scholar] [CrossRef]
- Arlazarov, V.L.; Dinitz, E.A.; Ilyashenko, Y.S.; Karzanov, A.V.; Karpenko, S.M.; Kirillov, A.A.; Konstantinov, N.N.; Kronrod, M.A.; Kuznetsov, O.P.; Okun’, L.B.; et al. Georgy Maksimovich Adelson-Velsky (obituary). Russ. Math. Surv. 2014, 69, 743–751. [Google Scholar] [CrossRef]
- Monjurul Alom, B.M.; Someresh, D.; Islam, M.S. Finding the Maximum Matching in a Bipartite Graph. DUET J. 2010, 1, 33–36. [Google Scholar]
- Tutte, W.T. The method of alternating paths. Combinatorica 1982, 2, 325–332. [Google Scholar] [CrossRef]
- Pemmaraju, S.; Skiena, S. Computational Discrete Mathematics: Combinatorics and Graph Theory with Mathematica; Cambridge University Press: Cambridge, UK, 2003. [Google Scholar]
- Tsitsiashvili, G.; Osipova, M.A. Cluster Formation in an Acyclic Digraph Adding New Edges. Reliab. Theory Appl. 2021, 16, 37–40. [Google Scholar]
- Tarjan, R. Depth-first Search and Linear Graph Algorithms. SIAM J. Comput. 1972, 1, 146–160. [Google Scholar] [CrossRef]
- Tsitsiashvili, G. Sequential algorithms of graph nodes factorization. Reliab. Theory Appl. 2013, 8, 30–33. [Google Scholar]
- Tsitsiashvili, G.; Kharchenko, Y.N.; Losev, A.S.; Osipova, M.A. Analysis of Hubs Loads in Biological Networks. Reliab. Theory Appl. 2014, 9, 7–10. [Google Scholar]






| Matrice Partial Order | Clusters Set | Clusters Set | Clusters Set | Clusters Set B |
|---|---|---|---|---|
| clusters of set | meanings on step | 0 | 0 | |
| clusters of set | 1 | |||
| clusters of set | meanings on step | |||
| clusters of set B | meanings on step | 0 | meanings on step | |
Publisher’s Note: MDPI stays neutral with regard to jurisdictional claims in published maps and institutional affiliations. |
© 2021 by the authors. Licensee MDPI, Basel, Switzerland. This article is an open access article distributed under the terms and conditions of the Creative Commons Attribution (CC BY) license (https://creativecommons.org/licenses/by/4.0/).
Share and Cite
Tsitsiashvili, G.; Bulgakov, V. New Applied Problems in the Theory of Acyclic Digraphs. Mathematics 2022, 10, 45. https://doi.org/10.3390/math10010045
Tsitsiashvili G, Bulgakov V. New Applied Problems in the Theory of Acyclic Digraphs. Mathematics. 2022; 10(1):45. https://doi.org/10.3390/math10010045
Chicago/Turabian StyleTsitsiashvili, Gurami, and Victor Bulgakov. 2022. "New Applied Problems in the Theory of Acyclic Digraphs" Mathematics 10, no. 1: 45. https://doi.org/10.3390/math10010045
APA StyleTsitsiashvili, G., & Bulgakov, V. (2022). New Applied Problems in the Theory of Acyclic Digraphs. Mathematics, 10(1), 45. https://doi.org/10.3390/math10010045

