How Does Irrigation Affect Crop Growth? A Mathematical Modeling Approach
Abstract
:1. Introduction
2. Model Formulation
2.1. Water Dynamics at the Root Zone
2.2. Water Dynamics Inside the Plant
2.3. Plant Growth Dynamics
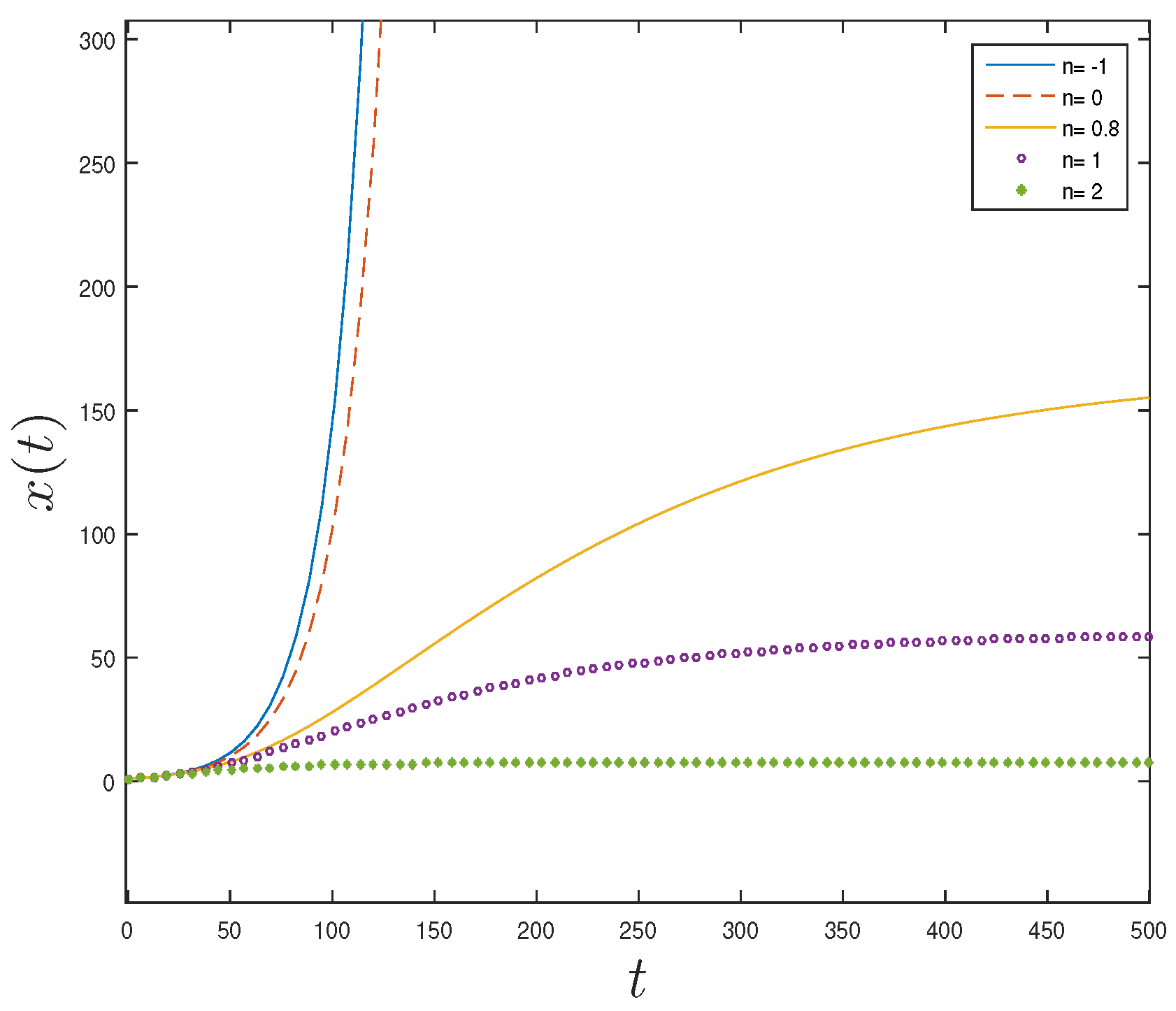
- (a)
- If , then , which for tends to , which is not realistic, because the dry mass can not grow forever.
- (b)
- For , it has , and the dry mass gain increases linearly with the size of the plant, which, like the previous case, does not represent reality.
- (c)
- For , if then , it tends quickly to zero. This case is unusual, and has been discarded in further analysis.
- (d)
- Finally, the fourth case, with , was assumed for the model.
Assumptions
- A1: In relation to the water that flows from the pond to the plant, it is assumed that the water absorption rate of the plant is less than or equal to the rate of loss of water from the pond to the plant, that is, .
- A2: In relation to the process of photosynthesis and plant growth, it is assumed that the dry matter accumulation rate of the plant is approximately equal to the rate of decrease of the water inside the plant that goes to photosynthesis. This assumption is supported by the equation of photosynthesis [26]. Photosynthesis is the process that occurs in plants (chlorophyll) where the solar energy, through the water hydrolysis, is used for atmospheric carbon dioxide assimilation, resulting in the production of carbohydrate molecules and oxygen. The balanced general equation of this phenomenon, for C3 plants, is as follows: , resulting in .
- A3: It is assumed that the rate of water loss through transpiration is greater than the rate of water loss through evaporation , which is . In addition, it is assumed that the degradation rate of the plant m is greater than the rate of water loss through evaporation , which is . Finally, it is assumed that
2.4. Mathematical Model
Remarks
- Plant size variation. In the Equation (8), the first term of corresponds to the growth rate of the plant due to the water inside the plant represented by , and the expression is the limiting factor of plant growth. The second term corresponds to the rate of degradation of the plant.
- Variation of water inside the plant. The first term of accounts for the rate of increase of the water inside the plant due to the water coming from the pond v, and the expression corresponds to the limiting factor of the increase in water inside the plant. The second term represents the rate of decrease of the water inside the plant caused by transpiration. The third term is the rate of water loss inside the plant as a result of photosynthesis, and the expression represents the rate of decrease per capita, the value corresponds to half of the maximum decrease rate .
- Variation of water in the pond. The first term corresponds to the rate of decrease in pond water due to evaporation losses. The second term is the rate of decrease of the pond water flowing into the plant, the expression represents the rate of decrease per capita of pond water flowing to the plant, and the value corresponds to half of the maximum decrease rate .
3. Main Results
- (i)
- Clearly, and for .
- (ii)
- .Then, in , given that all the parameters: and are positive, and the state variables are also positive.
- (iii)
- . With , according to the Assumptions , obtaining .On the other hand, , with , according to the Assumptions , obtaining .Obtaining .
- (iv)
- , according to the Assumptions,.Obtaining .
- (v)
- Since the Lyapunov function it is strictly increasing, .
4. Modeling with Irrigation
5. Irrigation as Control
- (I)
- Let’s evaluate the second term of ,Now let’s calculate the third term of :The matrix remainsThen
- (II)
- The distribution is involutive, since:
- (i)
- Clearly, is linearly independent, with and
- (ii)
- Let’s evaluate the range of ..
6. Numerical Examples and Simulations
6.1. Dynamics of the State Variables of the System
6.2. Irrigation Strategy
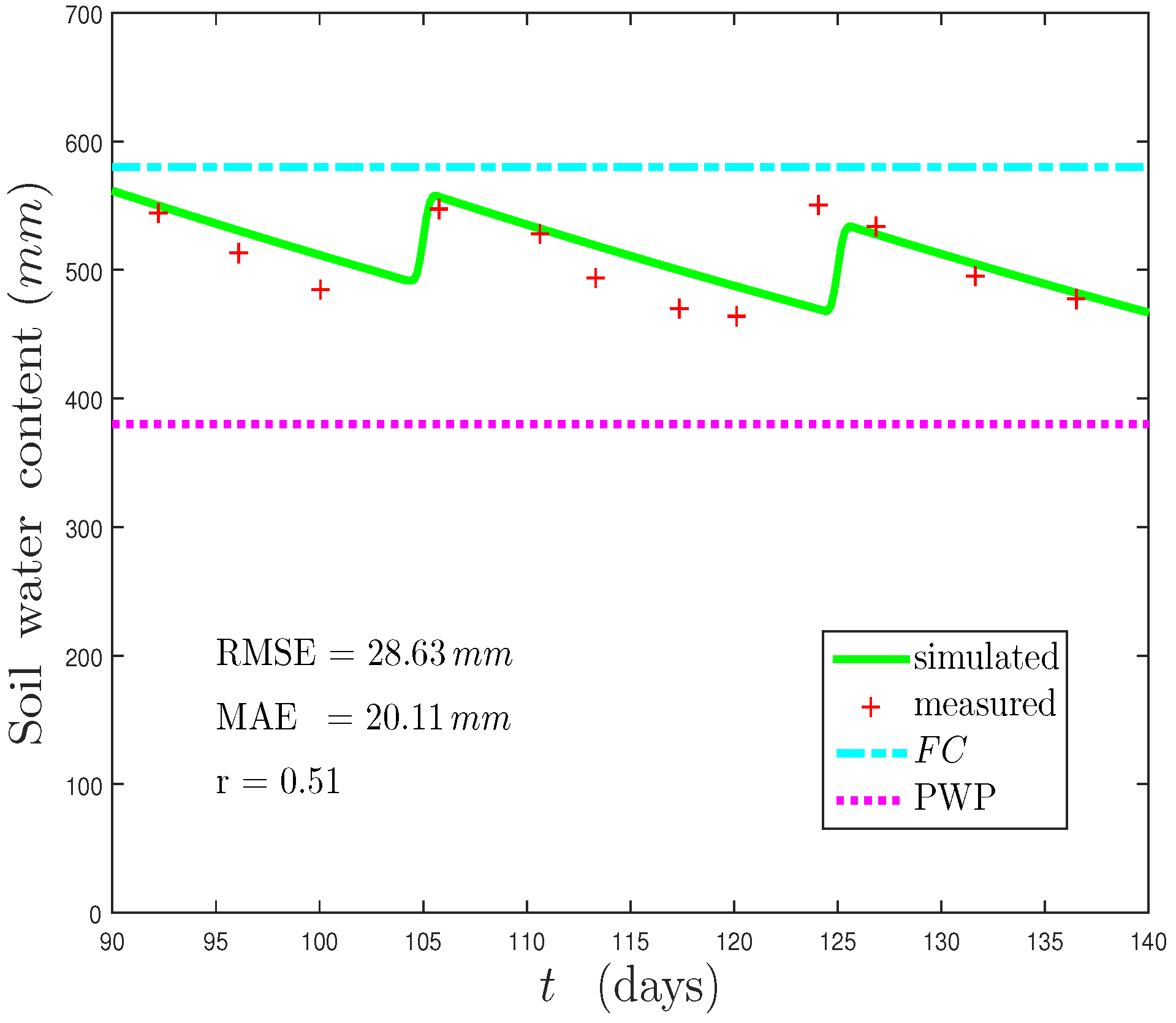
6.3. Assessment of the Model Performance Using Experimental Data
7. Discussion
8. Conclusions
Author Contributions
Funding
Institutional Review Board Statement
Informed Consent Statement
Data Availability Statement
Conflicts of Interest
References
- Prudhomme, C.; Giuntoli, I.; Robinson, E.L.; Clark, D.B.; Arnell, N.W.; Dankers, R.; Fekete, B.M.; Franssen, W.; Gerten, D.; Gosling, S.N.; et al. Hydrological droughts in the 21st century, hotspots and uncertainties from a global multimodel ensemble experiment. Proc. Natl. Acad. Sci. USA 2014, 111, 3262–3267. [Google Scholar] [CrossRef] [Green Version]
- Aldunce, P.; Araya, D.; Sapiain, R.; Ramos, I.; Lillo, G.; Urquiza, A.; Garreaud, R. Local perception of drought impacts in a changing climate: The mega-drought in central Chile. Sustainability 2017, 9, 2053. [Google Scholar] [CrossRef] [Green Version]
- Duque-Marín, E.; Rojas-Palma, A.; Carrasco-Benavides, M. Mathematical modeling of fruit trees’ growth under scarce watering. J. Phys. Conf. Ser. 2021, 2046, 012017. [Google Scholar] [CrossRef]
- Rosegrant, M.W.; Ringler, C.; Zhu, T. Water for agriculture: Maintaining food security under growing scarcity. Annu. Rev. Environ. Resour. 2009, 34, 205–222. [Google Scholar] [CrossRef]
- FAO. AQUASTAT Main Database-Food and Agriculture Organization of the United Nations (FAO); FAO: Rome, Italy, 2015. [Google Scholar]
- Waller, P.; Yitayew, M. Irrigation and Drainage Engineering; Springer: Berlin/Heidelberg, Germany, 2015. [Google Scholar]
- Romero, M.; Luo, Y.; Su, B.; Fuentes, S. Vineyard Water Status Estimation Using Multispectral Imagery from an UAV Platform and Machine Learning Algorithms for Irrigation Scheduling Management. Comput. Electron. Agric. 2018, 147, 109–117. [Google Scholar] [CrossRef]
- ODEPA. Chilean Agriculture Overview 2017. Available online: https://www.odepa.gob.cl/wp-content/uploads/2017/12/panoramaFinal20102017Web.pdf (accessed on 3 March 2021).
- ODEPA. Chilean Agriculture Overview 2018. Available online: https://www.odepa.gob.cl/wp-content/uploads/2018/01/ReflexDesaf{_}2030-1.pdf (accessed on 3 March 2021).
- Kharrou, M.H.; Er-Raki, S.; Chehbouni, A.; Duchemin, B.; Simonneaux, V.; LePage, M.; Ouzine, L.; Jarlan, L. Water use efficiency and yield of winter wheat under different irrigation regimes in a semi-arid region. Agric. Sci. China 2011, 2, 273–282. [Google Scholar] [CrossRef] [Green Version]
- Pereira, L.S. Water, agriculture and food: Challenges and issues. Water Resour. Manag. 2017, 31, 2985–2999. [Google Scholar] [CrossRef]
- Gurovich, L.A.; Riveros, L.F. Agronomic operation and maintenance of field irrigation systems. In Irrigation-Water Productivity and Operation, Sustainability and Climate Change; IntechOpen: London, UK, 2019; p. 84997. [Google Scholar] [CrossRef] [Green Version]
- Belaqziz, S.; Mangiarotti, S.; Le Page, M.; Khabba, S.; Er-Raki, S.; Agouti, T.; Drapeau, L.; Kharrou, M.; El Adnani, M.; Jarlan, L. Irrigation scheduling of a classical gravity network based on the Covariance Matrix Adaptation—Evolutionary Strategy algorithm. Comput. Electron. Agric. 2014, 102, 64–72. [Google Scholar] [CrossRef] [Green Version]
- Bonan, G.; Williams, M.; Fisher, R.; Oleson, K. Modeling stomatal conductance in the earth system: Linking leaf water-use efficiency and water transport along the soil–plant–atmosphere continuum. Geosci. Model Dev. 2014, 7, 2193–2222. [Google Scholar] [CrossRef] [Green Version]
- Oteng-Darko, P.; Yeboah, S.; Addy, S.; Amponsah, S.; Danquah, E.O. Crop modeling: A tool for agricultural research—A. J. Agric. Res. Dev. 2013, 2, 001–006. [Google Scholar]
- Roose, T.; Schnepf, A. Mathematical models of plant–soil interaction. Philos. Trans. R. Soc. A 2008, 366, 4597–4611. [Google Scholar] [CrossRef] [PubMed]
- Kumar, R.; Jat, M.; Shankar, V. Evaluation of modeling of water ecohydrologic dynamics in soil–root system. Ecol. Modell. 2013, 269, 51–60. [Google Scholar] [CrossRef]
- Shankar, V.; Hari Prasad, K.; Ojha, C.; Govindaraju, R.S. Model for nonlinear root water uptake parameter. J. Irrig. Drain. Eng. 2012, 138, 905–917. [Google Scholar] [CrossRef]
- Enderling, H.; Wolkenhauer, O. Are all models wrong? Comput. Syst. Oncol. 2020, 1, e1008. [Google Scholar] [CrossRef] [PubMed]
- Di Paola, A.; Valentini, R.; Santini, M. An overview of available crop growth and yield models for studies and assessments in agriculture. J. Sci. Food Agric. 2016, 96, 709–714. [Google Scholar] [CrossRef] [PubMed]
- Fourcaud, T.; Zhang, X.; Stokes, A.; Lambers, H.; Körner, C. Plant growth modelling and applications: The increasing importance of plant architecture in growth models. Ann. Bot. 2008, 101, 1053–1063. [Google Scholar] [CrossRef] [Green Version]
- Allen, R.G.; Pereira, L.S.; Raes, D.; Smith, M. Crop Evapotranspiration-Guidelines for Computing Crop Water Requirements-FAO Irrigation and Drainage Paper 56; FAO: Rome, Italy, 1998; Volume 300, p. D05109. [Google Scholar]
- Azcón-Bieto, J.; Talón, M. Fundamentos de Fisiología Vegetal España; 2013; Available online: https://exa.unne.edu.ar/biologia/fisiologia.vegetal/FundamentosdeFisiologiaVegetal2008Azcon..pdf (accessed on 3 March 2021).
- Thornley, J.; Johnson, I. Plant and Crop Modelling; Oxford University Press: Oxford, UK, 1990; pp. 458–462. [Google Scholar]
- Nobel, P.S. Physicochemical & Environmental Plant Physiology; Academic Press: Cambridge, MA, USA, 1999. [Google Scholar]
- Ruben, S.; Randall, M.; Kamen, M.; Hyde, J.L. Heavy oxygen (O18) as a tracer in the study of photosynthesis. J. Am. Chem. Soc. 1941, 63, 877–879. [Google Scholar] [CrossRef]
- Khalil, H.K. Nonlinear Systems; Prentice-Hall, Inc.: Hoboken, NJ, USA, 1996; pp. 102–103. [Google Scholar]
- Andarzian, B.; Bannayan, M.; Steduto, P.; Mazraeh, H.; Barati, M.; Barati, M.; Rahnama, A. Validation and testing of the AquaCrop model under full and deficit irrigated wheat production in Iran. Agric. Water Manag. 2011, 100, 1–8. [Google Scholar] [CrossRef]
- Harris, D.C. Nonlinear least-squares curve-fitting with Microsoft Excel Solver. J. Chem. Educ. 1998, 75, 119. [Google Scholar] [CrossRef]
- Mayer, D.; Butler, D. Statistical validation. Ecol. Modell. 1993, 68, 21–32. [Google Scholar] [CrossRef]
- Carrasco-Benavides, M.; Ortega-Farías, S.; Gil, P.M.; Knopp, D.; Morales-Salinas, L.; Lagos, L.O.; de la Fuente, D.; López-Olivari, R.; Fuentes, S. Assessment of the vineyard water footprint by using ancillary data and EEFlux satellite images. Examples in the Chilean central zone. Sci. Total Environ. 2022, 811, 152452. [Google Scholar] [CrossRef] [PubMed]
- González-Dugo, M.; González-Piqueras, J.; Campos, I.; Andréu, A.; Balbontín, C.; Calera, A. Evapotranspiration monitoring in a vineyard using satellite-based thermal remote sensing. Remote Sensing for Agriculture, Ecosystems, and Hydrology XIV. Int. Soc. Opt. Photonics 2012, 8531, 85310N. [Google Scholar]
- Vera, J.; Conejero, W.; Mira-García, A.B.; Conesa, M.R.; Ruiz-Sánchez, M.C. Towards irrigation automation based on dielectric soil sensors. J. Hortic. Sci. Biotechnol. 2021, 1–12. [Google Scholar] [CrossRef]
- Abioye, E.A.; Abidin, M.S.Z.; Mahmud, M.S.A.; Buyamin, S.; Ishak, M.H.I.; Abd Rahman, M.K.I.; Otuoze, A.O.; Onotu, P.; Ramli, M.S.A. A review on monitoring and advanced control strategies for precision irrigation. Comput. Electron. Agric. 2020, 173, 105441. [Google Scholar] [CrossRef]
- Capraro, F.; Tosetti, S.; Rossomando, F.; Mut, V.; Vita Serman, F. Web-based system for the remote monitoring and management of precision irrigation: A case study in an arid region of Argentina. Sensors 2018, 18, 3847. [Google Scholar] [CrossRef] [PubMed] [Green Version]
- Passot, S.; Couvreur, V.; Meunier, F.; Draye, X.; Javaux, M.; Leitner, D.; Pagès, L.; Schnepf, A.; Vanderborght, J.; Lobet, G. Connecting the dots between computational tools to analyse soil–root water relations. J. Exp. Bot. 2019, 70, 2345–2357. [Google Scholar] [CrossRef] [Green Version]








| Parameters | Meaning | Units |
|---|---|---|
| Intrinsic growth rate per unit of water inside the plant | [time × mass] | |
| g | Limiting factor constant of | [mass] |
| m | Plant degradation rate | [time] |
| Intrinsic rate of increase of the water inside the plant | [time ×mass] | |
| r | Limiting factor constant of | [mass] |
| Rate of decrease of water inside the plant | [time] | |
| k | Intrinsic rate of water decrease by photosynthesis | [time × mass] |
| Inner rate of decrease of the pond water | [time] | |
| Intrinsic rate of water that goes to the plant | [time × mass] |
| Parameters | Values | Units |
|---|---|---|
| [days × mm] | ||
| g | [mm] | |
| m | [days] | |
| [days × mm] | ||
| r | [mm] | |
| [days] | ||
| k | [days × mm] | |
| [days] | ||
| [days × mm] |
Publisher’s Note: MDPI stays neutral with regard to jurisdictional claims in published maps and institutional affiliations. |
© 2022 by the authors. Licensee MDPI, Basel, Switzerland. This article is an open access article distributed under the terms and conditions of the Creative Commons Attribution (CC BY) license (https://creativecommons.org/licenses/by/4.0/).
Share and Cite
Díaz-González, V.; Rojas-Palma, A.; Carrasco-Benavides, M. How Does Irrigation Affect Crop Growth? A Mathematical Modeling Approach. Mathematics 2022, 10, 151. https://doi.org/10.3390/math10010151
Díaz-González V, Rojas-Palma A, Carrasco-Benavides M. How Does Irrigation Affect Crop Growth? A Mathematical Modeling Approach. Mathematics. 2022; 10(1):151. https://doi.org/10.3390/math10010151
Chicago/Turabian StyleDíaz-González, Vicente, Alejandro Rojas-Palma, and Marcos Carrasco-Benavides. 2022. "How Does Irrigation Affect Crop Growth? A Mathematical Modeling Approach" Mathematics 10, no. 1: 151. https://doi.org/10.3390/math10010151
APA StyleDíaz-González, V., Rojas-Palma, A., & Carrasco-Benavides, M. (2022). How Does Irrigation Affect Crop Growth? A Mathematical Modeling Approach. Mathematics, 10(1), 151. https://doi.org/10.3390/math10010151

