Pre-Service Geography Teachers’ Professional Competencies in Education for Sustainable Development
Abstract
:1. Introduction
2. Theoretical Background
2.1. Professional Acting Competence
2.2. Professional Competence and ESD
2.3. Competence Model for ESD Teaching in Secondary Geography Education
2.4. Higher Education Geography’s Impact on ESD
2.5. Research Questions and Scope of this Study
- How confident are pre-service geography teachers in their professional competence regarding ESD?
 - How important are the specific competencies to them?
 - How does the course of studies connect to self-assessed competence?
 
3. Methods
3.1. Research Design
3.2. Survey
3.3. Sample
3.4. Analysis
4. Results
4.1. Overall Results
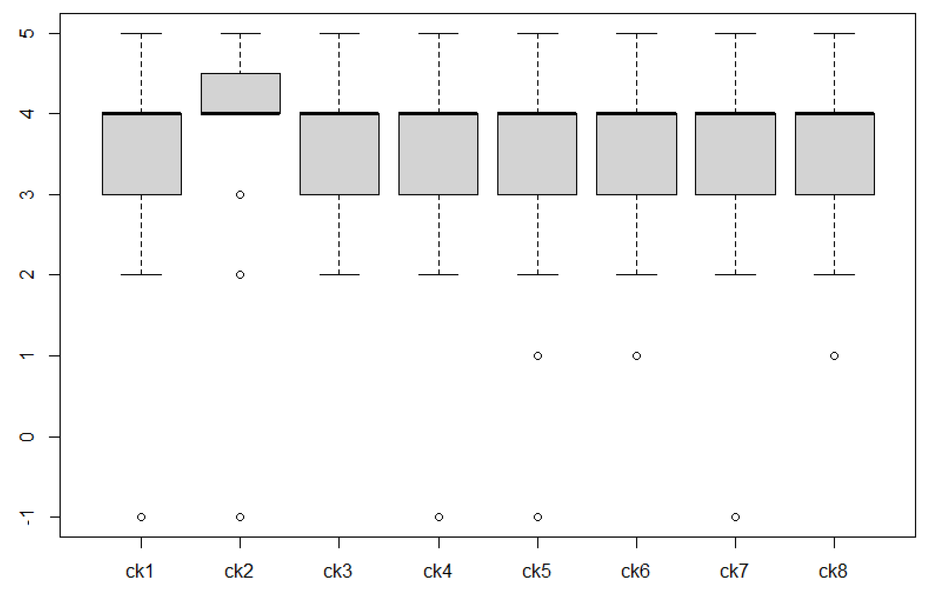
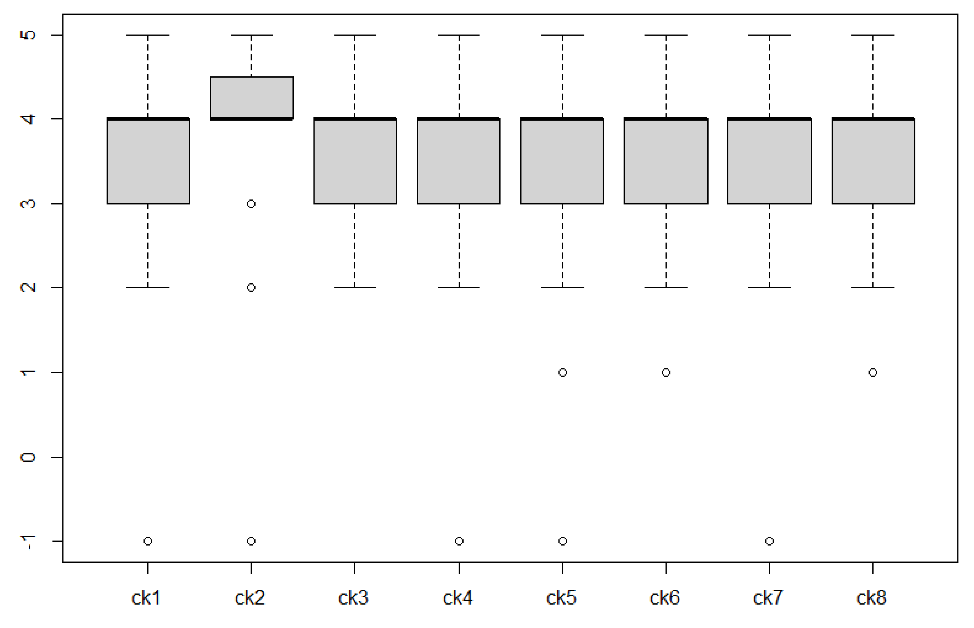
4.2. Content Knowledge
- CK1 = critical reflection and assessment of global change
 - CK2 = system thinking
 - CK3 = interdisciplinary analysis
 - CK4 = sustainable development concept
 - CK5 = dynamics and interdependencies of global processes
 - CK6 = discourse on ethics
 - CK7 = ecological systems
 
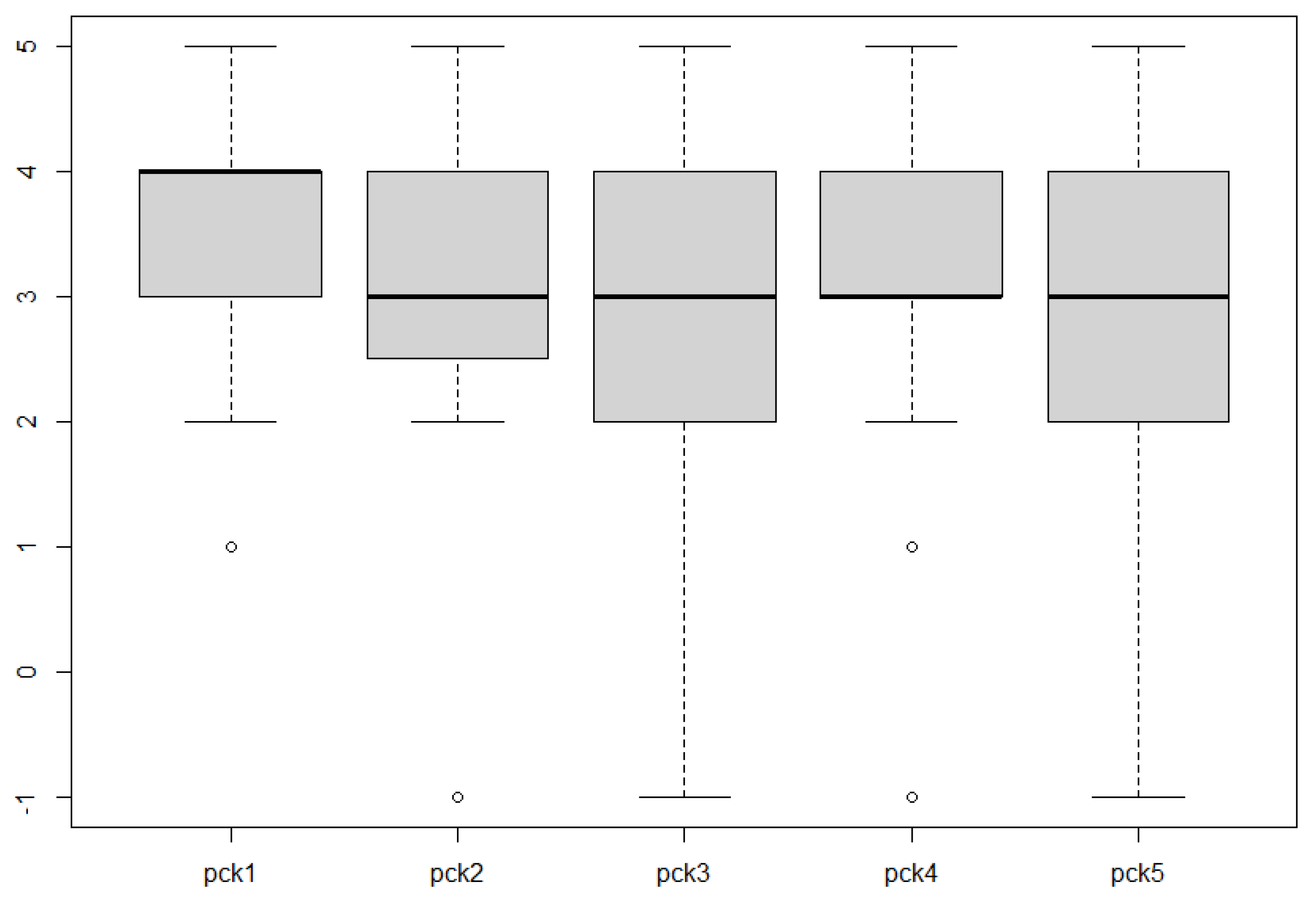
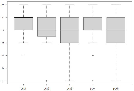
4.3. Pedagogical Content Knowledge
- PCK1 = problem-solving-oriented thinking
 - PCK2 = development of assessment skills among learners
 - PCK3 = the sustainability triangle or square as a structuring principle for lesson planning
 - PCK4 = promote design skills
 - PCK5 = repertoire of methods for ESD
 
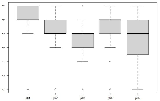
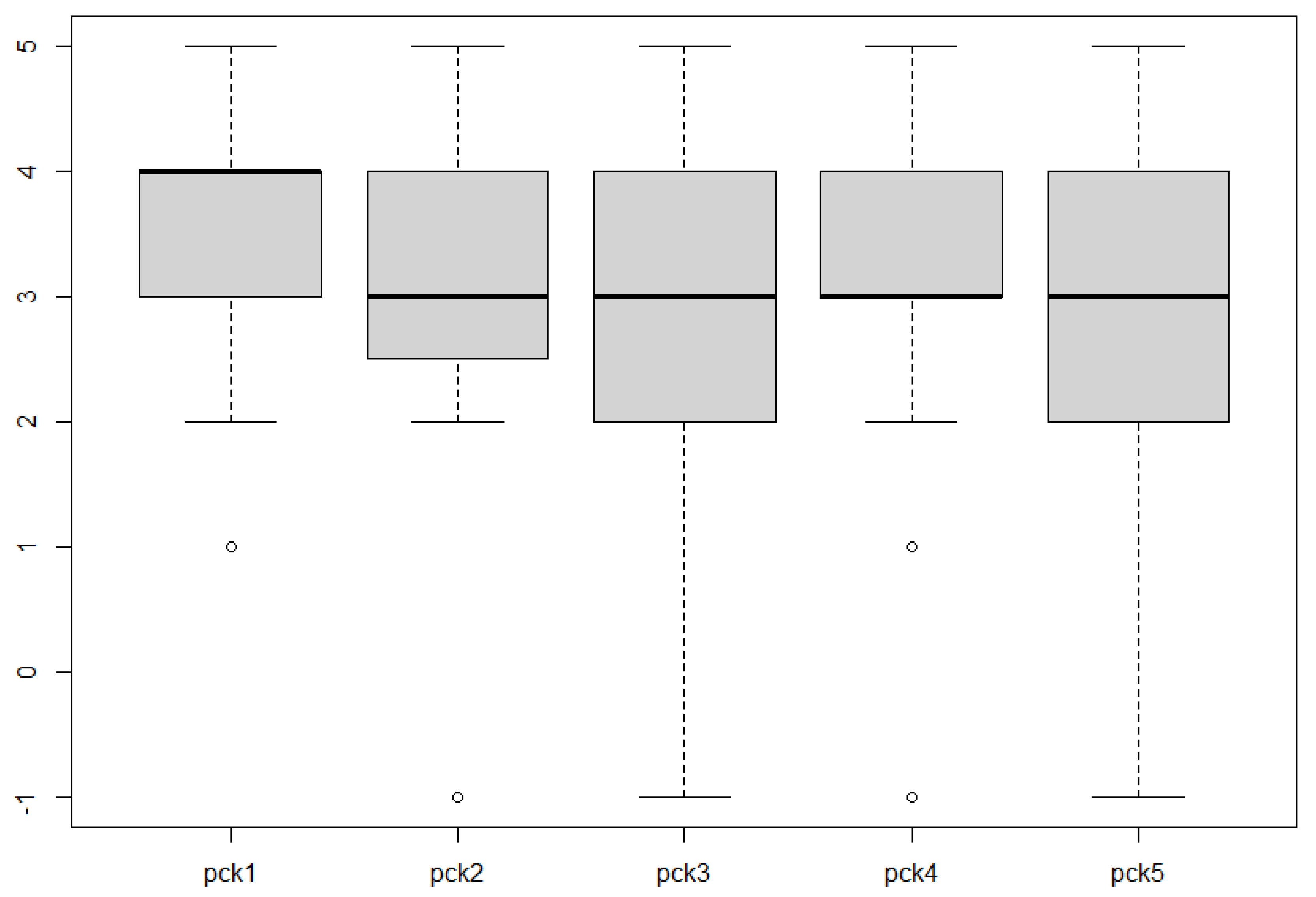
4.4. Pedagogical Knowledge
- PCK1 = change of perspective
 - PCK2 = dealing with complexity and uncertainty
 - PCK3 = participation and co-creation in terms of Agenda 21
 - PCK4 = to act as a learning companion/learning coach
 - PCK5 = open schools to cooperating with external partners
 
4.5. Social and Personal Competence
- S1 = empathy
 - S2 = communication competence
 - S3 = competence in cooperating
 - S4 = critical ability
 - S5 = willingness to innovate
 - S6 = tolerance of ambiguity and frustration
 - S7 = open-mindedness
 - S8 = competence in acting solitarily
 - S9 = visionary thinking
 
4.6. ESD Topics
- T1 = diversity of values, cultures and living conditions
 - T2 = globalization of religious and ethical models
 - T3 = history of globalization
 - T4 = goods from all over the world
 - T5 = agriculture and food
 - T6 = health and disease
 - T7 = education
 - T8 = globalized leisure
 - T9 = protection and use of natural resources
 - T10 = opportunities and dangers of technological progress
 - T11 = global environmental change
 - T12 = mobility and urban development
 - T13 = globalization of economy and work
 - T14 = demographic structures and developments
 - T15 = poverty and social security
 - T16 = peace and conflict
 - T17 = migration and integration
 - T18 = good governance
 - T19 = development cooperation and its institutions
 - T20 = global governance
 - T21 = communication in a global context
 
4.7. Study Course and ESD Competencies
5. Discussion and Conclusions
5.1. How Confident Are Pre-Service Geography Teachers in Their Professional Competence Regarding ESD?
5.2. How Important Are Specific Competencies to Them?
5.3. How Does the Course of Studies Connect to Self-Assessed Competence?
5.4. Limitations
5.5. Conclusions
Author Contributions
Funding
Informed Consent Statement
Data Availability Statement
Acknowledgments
Conflicts of Interest
Appendix A
- (1)
 - ESD-specific competencies [38]
- a.
 - self-assessment of competence level
 - b.
 - importance assigned to competencies
 - c.
 - classify items to CK, PCK, PK (Shulman (1986)
 - d.
 - expected phase to gain proficiency level (higher education / ongoing career)
 - e.
 - self-assessment of social and personal competencies
 
 - (2)
 - ESD-specific topics [40] KMK/BMZ (2016))
- a.
 - self-assessment of knowledge
 - b.
 - importance assigned to knowledge
 - c.
 - self-assessment of capability to prepare a lesson for topic
 
 - (3)
 - socio-demographic data
 
References
- UNESCO. Education for Sustainable Development: A Roadmap; UNESCO: Paris, France, 2020; ISBN 978-92-3-100394-3. [Google Scholar]
 - Giangrande, N.; White, R.M.; East, M.; Jackson, R.; Clarke, T.; Saloff Coste, M.; Penha-Lopes, G.A. Competency framework to assess and activate education for sustainable development: Addressing the UN sustainable development goals 4.7 challenge. Sustainability 2019, 11, 2832. [Google Scholar] [CrossRef] [Green Version]
 - Barth, M.; Godemann, J.; Rieckmann, M.; Stoltenberg, U. Developing key competencies for sustainable development in higher education. Int. J. Sustain. High. Educ. 2007, 8, 416–430. [Google Scholar] [CrossRef] [Green Version]
 - Bormann, I.; Haan, G. Kompetenzen der Bildung für Nachhaltige Entwicklung: Operationalisierung, Messung, Rahmenbedingungen, Befunde, 1st ed.; VS Verlag für Sozialwissenschaften: Wiesbaden, Germany, 2008; ISBN 3531155296. [Google Scholar]
 - Wiek, A.; Withycombe, L.; Redman, C.L. Key competencies in sustainability: A reference framework for academic program development. Sustain. Sci. 2011, 6, 203–218. [Google Scholar] [CrossRef] [Green Version]
 - Brundiers, K.; Barth, M.; Cebrián, G.; Cohen, M.; Diaz, L.; Doucette-Remington, S.; Dripps, W.; Habron, G.; Harré, N.; Jarchow, M.; et al. Key competencies in sustainability in higher education—Toward an agreed-upon reference framework. Sustain. Sci. 2021, 16, 13–29. [Google Scholar] [CrossRef]
 - Rieckmann, M.; Holz, V. Verankerung von bildung für nachhaltige entwicklung in der lehrerbildung in Deutschland. ZEP Z. Int. Bild. Entwickl. 2017, 40, 4–10. [Google Scholar]
 - Sprenger, S.; Nienaber, B. (Education for) sustainable development in geography education: Review and outlook from a perspective of Germany. J. Geogr. High. Educ. 2018, 42, 157–173. [Google Scholar] [CrossRef]
 - Bagoly-Simó, P.; Hemmer, I.; Reinke, V. Training ESD change agents through geography: Designing the curriculum of a master’s program with emphasis on Education for Sustainable Development (ESD). J. Geogr. High. Educ. 2018, 42, 174–191. [Google Scholar] [CrossRef]
 - Braßler, M. Hochschulbildung für eine nachhaltige Entwicklung: Wie kann man Nachhaltigkeit wirksam lehren und lernen? In Psychologie und Nachhaltigkeit: Konzeptionelle Grundlagen, Anwendungsbeispiele und Zukunftsperspektiven; Schmitt, C.T., Bamberg, E., Eds.; Springer: Wiesbaden, Germany, 2018; pp. 81–90. ISBN 978-3-658-19964-7. [Google Scholar]
 - García-González, E.; Jiménez-Fontana, R.; Azcárate, P. Education for sustainability and the sustainable development goals: Pre-service teachers’ perceptions and knowledge. Sustainability 2020, 12, 7741. [Google Scholar] [CrossRef]
 - Bagoly-Simó, P. Implementierung von BNE am Ende der UN-Dekade. Eine internationale Vergleichsstudie am Beispiel des Fachunterrichts. Z. Geogr. 2014, 42, 221–256. [Google Scholar]
 - Corney, G. Education for sustainable development: An empirical study of the tensions and challenges faced by geography student teachers. Int. Res. Geogr. Environ. Educ. 2006, 15, 224–240. [Google Scholar] [CrossRef]
 - Smith, M. Aspects of Teaching Secondary Geography: Perspectives on Practice; Routledge: Abingdon, UK, 2002; ISBN 9781134508594. [Google Scholar]
 - Chang, C.-H.; Kidman, G. Dawn of a new decade—What can geographical and environmental education offer for the 2020s. Int. Res. Geogr. Environ. Educ. 2020, 29, 1–6. [Google Scholar] [CrossRef]
 - IGU Commission on Geographical Education. 2016 International Charter on Geographical Education. Available online: https://www.igu-cge.org/wp-content/uploads/2019/03/IGU_2016_eng_ver25Feb2019.pdf (accessed on 23 December 2021).
 - Cebrián, G.; Junyent, M. Competencies in education for sustainable development: Exploring the student teachers’ views. Sustainability 2015, 7, 2768–2786. [Google Scholar] [CrossRef] [Green Version]
 - Zamora-Polo, F.; Sánchez-Martín, J.; Corrales-Serrano, M.; Espejo-Antúnez, L. What do university students know about sustainable development goals? A realistic approach to the reception of this UN program amongst the youth population. Sustainability 2019, 11, 3533. [Google Scholar] [CrossRef] [Green Version]
 - Azapagic, A.; Perdan, S.; Shallcross, D. How much do engineering students know about sustainable development? The findings of an international survey and possible implications for the engineering curriculum. Eur. J. Eng. Educ. 2005, 30, 1–19. [Google Scholar] [CrossRef]
 - Birdsall, S. Measuring student teachers’ understandings and self-awareness of sustainability. Environ. Educ. Res. 2014, 20, 814–835. [Google Scholar] [CrossRef]
 - Dahl, T. Prepared to teach for sustainable development? Student teachers’ beliefs in their ability to teach for sustainable development. Sustainability 2019, 11, 1993. [Google Scholar] [CrossRef] [Green Version]
 - Oevermann, U. Theoretische Skizze einer revidierten Theorie professionalisierten Handelns. In Pädagogische Professionalität; Combe, A., Helsper, W., Eds.; Suhrkamp: Frankfurt, Germany, 1996; pp. 70–82. [Google Scholar]
 - Helsper, W. Pädagogisches Handeln in den Antinomien der Moderne. In Einführung in Grundbegriffe und Grundfragen der Erziehungswissenschaft; Krüger, H.-H., Helsper, W., Eds.; VS Verlag für Sozialwissenschaften: Wiesbaden, Germany, 2004; pp. 15–34. ISBN 978-3-8100-4239-2. [Google Scholar]
 - Hericks, U.; Keller-Schneider, M.; Bonnet, A. Lehrerprofessionalität in berufsbiographischer perspektive. In Handbuch der Schulpädagogik; Gläser-Zikuda, M., Harring, M., Rohlfs, C., Eds.; Waxmann: Münster, Germany, 2018; pp. 597–607. [Google Scholar]
 - Baumert, J.; Kunter, M. Stichwort: Professionelle Kompetenz von Lehrkräften. Z. Erzieh. 2006, 9, 469–520. [Google Scholar] [CrossRef]
 - Klieme, E.; Rakoczy, K. Empirische Unterrichtsforschung und Fachdidaktik. Outcome-orientierte Messung und Prozessqualität des Unterrichts. Z. Pädagogik 2008, 54, 222–237. [Google Scholar] [CrossRef]
 - Shulman, L. Knowledge and teaching: Foundations of the new reform. Harv. Educ. Rev. 1987, 57, 1–23. [Google Scholar] [CrossRef]
 - Borko, H.; Putnam, R.T. Learning to teach. In Handbook of Educational Psychology; Berliner, D.C., Calfee, R.C., Eds.; Prentice Hall International: Hoboken, NJ, USA, 1996; pp. 673–708. [Google Scholar]
 - Munby, H.; Russell, T.; Martin, A.K. Teachers’ knowledge and how it develops. In Handbook of Research on Teaching; Richardson, V., Ed.; American Educational Research Association: Washington, DC, USA, 2001; pp. 877–904. [Google Scholar]
 - Blömeke, S. Lehrerausbildung, Lehrerhandeln, Schülerleistungen: Perspektiven Nationaler und Internationaler Empirischer Bildungsforschung; Humboldt-Universität zu Berlin: Berlin, Germany, 2005; ISBN 3860041886. [Google Scholar]
 - Helmke, A. Unterrichtsqualität Erfassen, Bewerten, Verbessern, 6th ed.; Klett: Stuttgart, Germany, 2007; ISBN 3780010046. [Google Scholar]
 - Lipowsky, F. Auf den Lehrer kommt es an. Empirische Evidenzen für Zusammenhänge zwischen Lehrerkompetenzen, Lehrerhandeln und dem Lernen der Schüler. In Kompetenzen und Kompetenzentwicklung von Lehrerinnen und Lehrern: Ausbildung und Beruf; Allemann-Ghionda, C., Terhart, E., Eds.; Beltz: Buffalo, NY, USA, 2006; pp. 47–70. [Google Scholar]
 - Kunter, M.; Baumert, J.; Blum, W. Professionelle Kompetenz von Lehrkräften: Ergebnisse des Forschungsprogramms COACTIV; Neubrand, M., Ed.; Waxmann: Münster, Germany, 2011; ISBN 3830974337. [Google Scholar]
 - UNECE. Learning for the Future: Competences in Education for Sustainable Development. Available online: https://unece.org/fileadmin/DAM/env/esd/ESD_Publications/Competences_Publication.pdf (accessed on 30 August 2021).
 - Competencies for ESD (Education for Sustainable Development) Teachers—A Frame-Work to Integrate ESD in the Curriculum of Teacher Training Institutes. 2008. Available online: https://unece.org/fileadmin/DAM/env/esd/inf.meeting.docs/EGonInd/8mtg/CSCT%20Handbook_Extract.pdf (accessed on 23 December 2021).
 - Rauch, F.; Steiner, R. Welche Kompetenzen braucht bildung für Nachhaltige Entwicklung? Haushalt Bild. Forsch. 2012, 1, 13–24. [Google Scholar]
 - Bertschy, F.; Künzli, C.; Lehmann, M. Teachers’ competencies for the implementation of educational offers in the field of education for sustainable development. Sustainability 2013, 5, 5067–5080. [Google Scholar] [CrossRef] [Green Version]
 - Hellberg-Rode, G.; Schrüfer, G. Welche spezifischen professionellen Handlungskompetenzen benötigen Lehrkräfte für die Umsetzung von Bildung für Nachhaltige Entwicklung (BNE)? Z. Didakt. Biol. 2016, 20, 1–29. [Google Scholar] [CrossRef]
 - Haan, G. Gestaltungskompetenz als Kompetenzkonzept der bildung für nachhaltige Entwicklung. In Kompetenzen der Bildung für Nachhaltige Entwicklung; Bormann, I., Haan, G., Eds.; VS Verlag für Sozialwissenschaften: Wiesbaden, Germany, 2008; pp. 23–43. ISBN 978-3-531-15529-6. [Google Scholar]
 - Schreiber, J.R.; Siege, H. Curriculum Framework Education for Sustainable Development. Result of the Joint Project of the Standing Conference of the German Ministers of Education and Culture (KMK) and the German Federal Ministry of Economic Cooperation and Development (BMZ), 2nd ed.; Cornelsen: Bonn, Germany, 2016. [Google Scholar]
 - Corney, G.; Reid, A. Student teachers’ learning about subject matter and pedagogy in education for sustainable development. Environ. Educ. Res. 2007, 13, 33–54. [Google Scholar] [CrossRef]
 - Konrad, T.; Wiek, A.; Barth, M. Learning processes for interpersonal competence development in project-based sustainability courses—Insights from a comparative international study. Int. J. Sustain. High. Educ. 2021, 22, 535–560. [Google Scholar] [CrossRef]
 - Philipps-Universität Marburg. Studierendenstatistik Wintersemester 2017/2018. Available online: https://www.uni-marburg.de/de/universitaet/profil/zahlen-rankings/studierendenzahlen/studierendenstatistik_wise-2017_18.pdf (accessed on 30 August 2021).
 - R Core Team. R: A Language and Environment for Statistical Computing; R Foundation for Statistical Computing: Vienna, Austria, 2020. [Google Scholar]
 - Peterson, B.G.; Carl, P. PerformanceAnalytics: Econometric Tools for Performance and Risk Analysis. 2020. Available online: https://cran.r-project.org/web/packages/PerformanceAnalytics/PerformanceAnalytics.pdf (accessed on 7 January 2022).
 - Summers, M.; Corney, G.; Childs, A. Student teachers’ conceptions of sustainable development: The starting-points of geographers and scientists. Educ. Res. 2004, 46, 163–182. [Google Scholar] [CrossRef]
 - Cebrián, G.; Pascual, D.; Moraleda, Á. Perception of sustainability competencies amongst Spanish pre-service secondary school teachers. Int. J. Sustain. High. Educ. 2019, 20, 1171–1190. [Google Scholar] [CrossRef]
 - Malandrakis, G.; Papadopoulou, P.; Gavrilakis, C.; Mogias, A. An education for sustainable development self-efficacy scale for primary pre-service teachers: Construction and validation. J. Environ. Educ. 2019, 50, 23–36. [Google Scholar] [CrossRef]
 - Brandt, J.-O.; Barth, M.; Merritt, E.; Hale, A. A matter of connection: The 4 Cs of learning in pre-service teacher education for sustainability. J. Clean. Prod. 2021, 279, 123749. [Google Scholar] [CrossRef]
 - Sass, W.; Claes, E.; Pauw, J.B.; de Maeyer, S.; Schelfhout, W.; van Petegem, P.; Isac, M.M. Measuring professional action competence in education for sustainable development (PACesd). Environ. Educ. Res. 2021. [Google Scholar] [CrossRef]
 - Maidou, A.; Plakitsi, K.; Polatoglou, H. Knowledge, perceptions and attitudes on education for sustainable development of pre-service early childhood teachers in Greece. World J. Educ. 2019, 9, 1–15. [Google Scholar] [CrossRef]
 - Viehrig, K.; Greiff, S.; Siegmund, A.; Funke, J. Geographische Kompetenzen fördern—Erfassung der geographischen systemkompetenz als Grundlage zur Bewertung der Kompetenzentwicklung. In Geographische Bildung: Kompetenzen in Didaktischer Forschung und Schulpraxis; Meyer, C., Henry, R., Stöber, G., Eds.; Westermann: Braunschweig, Germany, 2011; pp. 49–57. [Google Scholar]
 - Brockmüller, S.; Siegmund, A. Erfassung und Entwicklung von Systemkompetenz—Empirische Befunde zu Kompetenzstruktur und Förderbarkeit durch den Einsatz analoger und digitaler Modelle. Z. Geogr. 2020, 48, 31–49. [Google Scholar] [CrossRef]
 - Schuler, S.; Fanta, D.; Rosenkraenzer, F.; Riess, W. Systems thinking within the scope of education for sustainable development (ESD)—A heuristic competence model as a basis for (science) teacher education. J. Geogr. High. Educ. 2018, 42, 192–204. [Google Scholar] [CrossRef]
 - Mehren, R.; Rempfler, A.; Ullrich-Riedhammer, E.-M.; Buchholz, J.; Hartig, J. Systemkompetenz im Geographieunterricht. Ein theoretisch hergeleitetes und empirisch überprüftes Kompetenzstrukturmodell. Z. Didakt. Nat. 2016, 22, 147–163. [Google Scholar] [CrossRef]
 - Stukalo, N.; Lytvyn, M. Towards sustainable development through higher education quality assurance. Educ. Sci. 2021, 11, 664. [Google Scholar] [CrossRef]
 - Peter, C.; Nauss, T. Der raum im system. In Zur Sache. Die Rolle des Faches in der Universitären Lehrerbildung: Das Fach im Diskurs Zwischen Fachwissenschaft, Fachdidaktik und Bildungswissenschaft; Meister, N., Hericks, U., Kreyer, R., Laging, R., Eds.; Springer VS: Wiesbaden, Germany, 2020; pp. 101–115. ISBN 978-3-658-29193-8. [Google Scholar]
 - Borg, C.; Gericke, N.; Höglund, H.-O.; Bergman, E. Subject- and experience-bound differences in teachers’ conceptual understanding of sustainable development. Environ. Educ. Res. 2014, 20, 526–551. [Google Scholar] [CrossRef]
 - Römer, J.; Rothland, M.; Straub, S. Pädagogische vorerfahrungen und ihre bedeutung für die kompetenzeinschätzung und das flow-erleben beim unterrichten im praxissemester. In Learning to Practice, Learning to Reflect? König, J., Rothland, M., Schaper, N., Eds.; Springer VS: Wiesbaden, Germany, 2018; pp. 223–240. [Google Scholar] [CrossRef]
 - Baer, M.; Dörr, G.; Fraefel, U.; Kocher, M.; Küster, O.; Larcher, S.; Müller, P.; Sempert, W.; Wyss, C. Werden angehende Lehrpersonen durch das Studium kompetenter? Kompetenzaufbau und standarderreichung in der berufswissenschaftlichen ausbildung an drei pädagogischen hochsulen in der Schweiz und Deutschland. Z. Lernforschung 2007, 35, 15–47. [Google Scholar]
 - Rothland, M. Yes, we can! Anmerkungen zur trügerischen „Kompetenzentwicklung“ von Lehramtsstudierenden im praxissemester. Beiträge Lehr. Lehr. 2018, 36, 482–495. [Google Scholar] [CrossRef]
 - Carlson, J.; Daehler, K. The refined consensus model of pedagogical content knowledge in science education. In Repositioning Pedagogical Content Knowledge in Teachers’ Knowledge for Teaching Science; Hume, A., Cooper, R., Borowski, A., Eds.; Springer: Singapore, 2019; pp. 77–92. [Google Scholar] [CrossRef]
 - Walkington, H.; Griffin, A.L.; Keys-Mathews, L.; Metoyer, S.K.; Miller, W.E.; Baker, R.; France, D. Embedding research-based learning early in the undergraduate geography curriculum. J. Geogr. High. Educ. 2011, 35, 315–330. [Google Scholar] [CrossRef] [Green Version]
 - Kalsoom, Q.; Khanam, A. Inquiry into sustainability issues by preservice teachers: A pedagogy to enhance sustainability consciousness. J. Clean. Prod. 2017, 164, 1301–1311. [Google Scholar] [CrossRef]
 - Yli-Panula, E.; Jeronen, E.; Lemmetty, P. Teaching and learning methods in geography promoting sustainability. Educ. Sci. 2020, 10, 5. [Google Scholar] [CrossRef] [Green Version]
 
















| Human | Physical | Nature-  Society  | Didactics | ESD  Reference  | Fieldwork | School Practice | Semester Number | |
|---|---|---|---|---|---|---|---|---|
| Total | ** | * | ** | ** | *** | * | ||
| CK | * | ** | *** | ** | *** | ** | ||
| PCK | ** | ** | * | |||||
| PK | ** | * | ||||||
| Social and  Personal  | * | |||||||
| Topic | ** | * | * | ** | ** | * | 
Publisher’s Note: MDPI stays neutral with regard to jurisdictional claims in published maps and institutional affiliations.  | 
© 2022 by the authors. Licensee MDPI, Basel, Switzerland. This article is an open access article distributed under the terms and conditions of the Creative Commons Attribution (CC BY) license (https://creativecommons.org/licenses/by/4.0/).
Share and Cite
Ammoneit, R.; Turek, A.; Peter, C. Pre-Service Geography Teachers’ Professional Competencies in Education for Sustainable Development. Educ. Sci. 2022, 12, 42. https://doi.org/10.3390/educsci12010042
Ammoneit R, Turek A, Peter C. Pre-Service Geography Teachers’ Professional Competencies in Education for Sustainable Development. Education Sciences. 2022; 12(1):42. https://doi.org/10.3390/educsci12010042
Chicago/Turabian StyleAmmoneit, Rieke, Andreas Turek, and Carina Peter. 2022. "Pre-Service Geography Teachers’ Professional Competencies in Education for Sustainable Development" Education Sciences 12, no. 1: 42. https://doi.org/10.3390/educsci12010042
APA StyleAmmoneit, R., Turek, A., & Peter, C. (2022). Pre-Service Geography Teachers’ Professional Competencies in Education for Sustainable Development. Education Sciences, 12(1), 42. https://doi.org/10.3390/educsci12010042
        
                                                
