Next Article in Journal
Lecturer Readiness for Online Classes during the Pandemic: A Survey Research
Previous Article in Journal
Mapping Spontaneous Cooperation between Children in Automata Construction Workshops
 
 
Font Type:
Arial Georgia Verdana
Font Size:
Aa Aa Aa
Line Spacing:
Column Width:
Background:
Article

An Empirical Investigation of Leadership and Human Resources Capacities as Key Actors in the Implementation of Smart Education

School of Business Administration, Dongbei University of Finance and Economics, Dalian 116025, China
*
Author to whom correspondence should be addressed.
Educ. Sci. 2021, 11(3), 138; https://doi.org/10.3390/educsci11030138
Submission received: 6 February 2021 / Revised: 8 March 2021 / Accepted: 10 March 2021 / Published: 22 March 2021

Abstract

Due to the novelty of the smart education phenomenon, a quantitative investigation of the variables that will influence the implementation of ‘smart education’ was needed. Therefore, based on a probability simple random survey of 349 Grenadian employees from tertiary institutions in the education industry, the influence of leadership and human resource capacities on smart education were investigated. Results produced from SPSS analysis software and Smart PLS revealed that leadership and human resources capacities have sufficient confidence to have a significant influence on smart education, producing a positive association with ‘smart education.’ However, this relationship is positively moderated by additional investments, such as infrastructural innovation. These findings enrich the current literature on smart education (SE) by increasing knowledge of the phenomenon through the lenses of the Actor-Network Theory and Technology Adoption Model. Accordingly, policymakers should bear these findings in mind when developing holistic strategies to guide SE’s successful enactment.

1. Introduction

The advent of the Internet Age or the Fourth Industrial Revolution (4.0) has deepened humans’ experience of the world by instant connections [1] to things (Internet of Things) such as vehicles and home appliances [1,2]. This technological age is the initiator of an era, coined ‘smart,’ that has resulted in a paradigm shift [3,4]. Due to this new paradigm shift represented in the establishment of modern technologies [3], there has been an encouragement of sectors to accommodate these changes in policies that enable sustainable development and economic growth [5]. Thus, triggering the development of concepts such as ‘Smart Planet’ [3], ‘Smart City’ [6], and ‘Smart Government’ [1,7,8,9]. One of the most recent ‘smartness’ phenomena is that of ‘Smart Education’ (SE) [10,11,12,13,14,15,16].
The emerging concept of smart education (SE) is among supplementary evolving educational concepts such as smart learning, smart learning environment, smart classroom, and smart universities. A review of literature has shown that SE has been under scrutiny by some researchers such as [4,10,13,16]. However, the number of studies produced is quite limited, and the development of a formal definition for SE is still uncertain. Despite these shortcomings related to the SE phenomenon, the later mentioned researchers agreed with [17] that SE can refer to ‘smart technologies’ that create intelligent environments that are stimulated by ‘smart pedagogies’ so that personalized learning services can be used to empower learners. Examples of smart pedagogies will be virtual and augmented reality, robot learning, Learning Management Systems (LMS), flip classrooms, and the incorporation of Artificial Intelligence (AI). From this definition, three dimensions are evident. They are smart pedagogies, smart environments, and smart learners. Although there has been a steady increase in the number of published SE articles between 2016 and 2018 [18], the studies’ focus was on evaluating the learning environment [19].
In the meantime, the digital generation continues to impose new requirements and expectations of their training [15]; thus, inspiring educational institutions to transform digitally. This means the general dictum of SE has been occupying meaning in global education and is already trending in countries such as Malaysia, Singapore, Australia, South Korea, Finland, and The United Arab Emirates (UAE) [17]. For example, since 2006, Singapore has implemented the Intelligent Nation (iN2015) Master Plan, which aims at encouraging technology-supported education in eight schools. Similarly, Australia has collaborated with the tech giant IBM to design an education system that is smart and student-centric. These SE projects have proven to be imperative because they foster a learning environment that is learner-centric, content-accessible, and ubiquitous. Consequently, creating employees that have harnessed the knowledge and skills needed to function in the society of the 21st century [4]. The SE phenomenon supports that innovation in education creates value in the improvement of learning outcomes and the provision of quality education by enhancing equity in access to education [20,21].
For the implementation of SE to occur, several crucial factors must be combined to make this venture a success. Ref. [3], listed hard smartness (ICT infrastructure) and soft smartness (human agency, social structure, and organization) as critical investments in technology adoption in the service industry. Most salient to soft smartness are the components of human capital and leadership. In adopting technological innovation, the phrase ‘smart leadership’ was used to describe leaders who incorporate others in the cocreation of vision and goals to harness collective wisdom and discipline to cocreate a ‘smart future’ [8]. Likewise, ‘smart people’ who are educated and trained while maintaining an elevated level of employee satisfaction and motivation are also crucial for technology adoption [3,8], confirm that smartness adoption depends mostly on leadership and a workforce that is skilled and knowledgeable. Despite the dire need for leadership and human resources capacities in the adoption of new technology, the impact of additional investments, such as infrastructural innovation, must also occupy prominence in this venture.
In recognizing the importance of leadership and human resources capacities in technology adoption, the existing literature on SE was revised to garner some understanding of the roles both variables adopt in SE’s implementation. However, the investigation resulted in the conclusion that studies surrounding the SE phenomenon predominantly focused on the design of the smart learning environment, learners’ perception of the smart environment, and the development of smart pedagogies. Additionally, a review of one of the lone [17] and [4] conceptual frameworks of the SE phenomenon revealed an omission of leadership as a separate construct either within or external to the variables presented in the model. The exclusion of the leadership variable terminates and emasculates the role that leadership capacity (government, schools’ administration) performs in enacting smart education. Additionally, the elimination of the leadership component gives the impression that teachers are operating without formal direction. Even with the mention of a ‘teacher’s presence’ in the framework, there seems to be a lack of information on how the presence of the human resource interacts with other dimensions highlighted in the framework [4]. Moreover, the implementation of smart education depends not only on the teacher; but hinges on the support of other employees such as the technical workers or the ministerial staff.
A holistic approach to the implementation of SE will be to identify and determine the influence of leadership and human resources capacities as well as additional investments. Doing this will provide further impetus to SE’s practicality. Therefore, the study intends to present a platform that will add new knowledge to the SE phenomenon by validating that leadership, human resources capacity, and the moderating variable of additional investment are significant contributors to SE’s implementation. Firstly, the study will develop dimensions to measure leadership and human resources capacities. Secondly, the influence of each soft smartness variable on SE’s ecosystem will be assessed through a moderated scope.
The Actor-Network Theory (ANT), which delineates that a set of actors, specifically people and things, can influence action to facilitate relationships in a phenomenon’s ecosystem [22], will be used to buttress the conceptualized presence and participation of leadership and human resources as main variables in the implementation of SE. On the other hand, the basic premise of the Technology Adoption Model (TAM) will be used to assess employees’ perception of the usefulness or influence of leadership and human resources capacities in SE’s implementation. This quantitative study is reported within the limitation that results reported in this paper can be flawed due to sampling error derivative from the small sample size; but at the same time desires to add substantial knowledge to the extant literature on the SE phenomenon.

2. Literature Review and Hypotheses

2.1. Smart Education’s Background

There has been a plethora of names or phrases used to describe the phase of technology use in education as it gains more prominence. At one point in time and still used in many studies, technology enhanced learning (TEL) was used to describe the implementation and utilization of technology to help learners learn. It focused on the use of media or tools to access learning content so that learners can communicate their inquiry through collaboration. With the development of mobile phones, TEL took on a new paradigm that encouraged the mobility of the learner, in contrast to its previous static traditional format. Additional advances ushered in an era of ubiquitous learning which incorporated smart devices and intelligent technologies to emphasize learning that can take place anytime and anywhere, subtracting the limitation of time, location or environments. Hence the increased use, discussions, and research surrounding the word ‘smart’ as it relates to education [18].
According to [14], the educational research community is now routinely using the word ‘smart’ in many terminologies such as Smart Education, Smart University, Smart Learning, and Smart Learning Environment. The International Association of Smart Learning (IASLE) has considered the previously mentioned terminologies as emerging areas in education. Additionally, the use of the word ‘smart’ can connote different meanings in each instance. For example, ‘smart’ in smart education refers to intelligent, personalized, and adaptive; learner refers to wisdom and intelligence, and educational technology refers to achieving its purpose effectively and efficiently. Additionally, ‘smart’ in hardware denotes portable and affordable smart small devices, and the educational environment speaks of appealing, intellectual, and accessible. However, in the Republic of Korea, the smart in education refers to Self-directed, Motivated, Adaptive, Resource-enriched, and Technology-embedded Education [23].
Studies conducted by [4] brought much-desired clarity to the understanding of the smartness phenomenon in education by the organization and conceptualization of smart education into frameworks. The first framework proposed by [4] has three pivotal elements: the smart learning environment, smart pedagogy [24], and the smart learner. In a corresponding study, [17] revised the conceptual framework, including the teachers’ and technology’s presence (see Appendix A for Frameworks). This revamped model was renamed smart pedagogy to reflect the ‘technology’ presence and the smart learning environment to the ‘teacher’s presence.’ Therefore, the frameworks created an umbrella that housed three components that traditionally stood on their own to a centralized construct coined SE.
Additionally, the framework conceptualized under SE has been developed to modernize the education system so that students, along with educators and administrators, can be engaged and empowered appropriately [18,25]. Nevertheless, few papers can be found on the theorized SE concept, and those that address SE do so from a theoretical perspective. There was a period of four years from the oldest (2012) published paper to the second oldest (2016). As time passes, there is a growing number of papers published on the subject, noting the papers published in 2019 refer only to the first nine months. In so doing, since there is no formal definition for SE, much remains to be researched [26].
Given the dimensions noted by [4,17], it has been observed that there is mounting literature presented on the smart learning environment (SLE) and smart pedagogy dimensions. The reviewed literature focused on the historical background of the SLE, environment’s design, the technology available, the pedagogy applied, students’ behavior, and perception towards such an environment [19,26]. Firstly, a brief synopsis of the historical backdrop of SLE shows that it began in the 20th century in Educational Psychology with behavioral psychologists who used conditioning to explain behavioral adaptation. The outcome was the development of a learning system that used a mechanical device to store learning management tools. Another learning system was Computer Assisted Instruction which was developed when computers came on the scene in the 1950s. Following were systems such as Computer Managed Instruction, Instructional Television Fixed Service, and Distance Learning [27]. Presently, there are novel learning management systems such as Exxcess and Moodle and smart pedagogies such as flip classrooms, virtual classrooms, robot learning, and augmented reality [4].
Secondly, present-day SLE studies provide practical and useful information on how technology selection can transform courses, technology in education can determine learning styles, and technology can transform a school’s environment [26]. For example, in a study conducted by [28], the intelligent selection of courses for pedagogies in SE was assessed in-depth. This study showed that choosing the accurate courses for the correct pedagogy greatly influenced students’ learning. For example, science courses may merge better with the augmented reality pedagogy that allowed students to perform simulations. Regarding the use of smart pedagogy to determine learning styles, one study conducted by [29] showed how smart education could be created by including artificial intelligence to determine students’ learning styles. Here the study focused primarily on student learning and achievement via the SLE. Additionally, [30] illustrated how IoT could be suitably designed and used within a smart school environment. Finally, [31] studied the smart learning environment by assessing educational programs and resources’ lifecycle.
A more recent study conducted by [32] on SE observed the entire conversion of university education from face-to-face lectures to online platforms during the COVID-19 pandemic among computing and engineering students in the United States by assessing the effectiveness of both styles. It was concluded that technology use is less likely a barrier to instruction. The result allowed the authors to conclude a discussion on the challenges and opportunities derived from online education. Similarly, the reflection presented by [25] scrutinized the use of online education in the COVID-19 crisis through the lens of four pillars that were policy-making, access to resources, training opportunities, and ongoing evaluation and monitoring. The use of the four pillars allowed the author to discuss the threats and opportunities of online learning during the COVID-19 crisis.
However, the following recent studies made some attempt to incorporate an assessment on the influence of leadership or either human resources (teachers) in the implementation of SE, especially during the COVID-19 pandemic. For example, [33], in their book chapter, reviewed and suggested that education that is online expands access to college, especially among adults with multiple responsibilities. However, they noted that the online delivery format could impose new challenges to effective teaching and learning. Therefore, the authors discussed several useful practices such as student counseling and professional development of faculty that can support students in the delivery of online courses. Scholars [34] made a resounding plea for sustainable leadership as a means of implementing digital technologies during the course of the COVID-19 pandemic, and [35] assessed teachers’ perspectives of the use of online learning in the context of Italy. Finally, [36] presented a research article that primarily focused on online workshops in architectural education in teaching emergency design for students and faculty.
It is evident that among the studies conducted, an in-depth analysis of the management of the SE phenomenon has been seldom considered [37]. Additionally, the relationship/s that exist among the dimensions presented in the SE framework is uncertain [17]. Even as the representation of aspects of smart education and the major technological themes and subthemes in the smart education domain were presented by [18], no references were made of leadership and human resources capacities. Therefore, the critical gap presented in the literature reviewed is the lack of information regarding the influence of external variables such as leadership and human resources capacities in the implementation of SE. Although SE is expected to produce learning outcomes such as deepened and extended learning experience [24] because SE’s managerial aspects are lacking, this may affect successful learning outcomes [38]. It is apparent that as employees become familiar with the SE phenomenon and they seek to incorporate smart pedagogies in a smart learning environment to create smart learners, they are faced with many unforeseen challenges. Presently, the COVID-19 era produces a revolutionary period in education [32,34], where educational institutions need to reinvent themselves and reshape the teaching and learning process [34]. As a result, employees are faced with challenges such as lack of computer competency [39], lack of a clear vision from leadership [34,39], and lack of training [34,40]. However, educational responses to the pandemic varied worldwide as infrastructure and experience also varied from school to school [32].
Consequently, [41] proposed that vision and philosophy, professional learning, ICT plan, infrastructure resources, and communication and partnership should be at the forefront of strategic planning of capacity building for technology in education, especially the rapidly evolving research field of SE [18]. These challenges confirm the need for a holistic approach to SE’s adoption that demonstrates the importance of leadership and human resources as precursors to SE’s implementation. Without an intentional observation of these precursors, there will be a continued hasty adoption of SE and a glaring persistence of managerial catastrophes. Findings from the Republic of Korea show that SE should be introduced in terms of goal and vision, objectives and system, mobile learning environment, and capacity-building and incentive strategies [23]. In alignment with the previous statement, the main problem identified by this study is the holistic management of SE through capacity building of leadership and human resources in the implementation of SE. More specifically, building the capacity of leadership and human resources in a strategic manner to benefit the holistic implementation of the SE phenomenon. This strategic implementation will require leadership and human resources to be smart in readiness, awareness, and motivation. Therefore, to hone-in on the deficiency detected in the literature, this paper aims to use the subsequent theories (Actor-Network Theory and Technology Adoption Model) to support the claim for the inclusion of leadership and human resources capacities as predecessors to SE’s enactment.

2.2. Theoretical Background: Actor-Network Theory

When considering the adoption of technology, theories such as the Technology Adoption Model (TAM), Theory of Task-Technology Fit (TTF), and Actor-Network Theory [19,42] have been utilized. However, to build a framework that incorporates the managerial aspects into SE, the Actor-Network Theory will be used because of its broad uptake in technology implementation in education [42,43]. Developed in the 1980s, the theory observes the relationship between human and nonhuman objects within a given scenario [43]. ANT postulates that a participatory nature is needed to adopt novel technology. Consequently, “for any actor to act, many others must act as well” [44]. In other words, a multitude of people (leadership and human resources) and things (additional investment and student demographics) share actions that may be carried out intentionally or unintentionally. Actors can be individual or collective, human or nonhuman, capable of acting and interacting to bring about their influence (heterogeneity) [44]. As such, ANT maintains a sociotechnical stance as it affirms that humans and technology are equal actors in an ecosystem [3]. This theory is used to buttress the paper’s claim that factors such as leadership capacity and human resources capacities are pivotal variables in SE’s implementation.
Fred Davis introduced the Technology Adoption Model (TAM) in 1986. It was tailored explicitly to model users’ acceptance of information systems or technologies by explaining the general determinants of computer acceptance that led to explaining users’ behavior towards these technologies [19]. The basic TAM model tested two specific beliefs: Perceived Usefulness and Perceived Ease of Use. Perceived Usefulness has been described as the potential user’s belief that using a particular system will improve his/her actions. On the other hand, Perceived Ease of Use was defined as the degree to which the potential user expects the target system to be effortless. However, the general belief of a user in regard to a system can be influenced by external variables in TAM [19]. For this paper, leadership capacity and human resources capacity will be assessed as external variables that can affect the implementation of the SE system. The belief of Perceived Usefulness will evaluate employees’ perception of the influence of leadership and human resources capacities on the implementation of SE. Therefore, TAM will be administered through a novel arrangement of the variables being studied in this paper. Instead of the external variables acting on the belief of Perceived Usefulness, the belief of Perceived Usefulness will be acting on the external variables highlighted. In so doing, ANT and TAM are used to offer the conceptual multiple moderated mediation models presented in Figure 1 and Figure 2.

2.3. Leadership and Smart Education

According to the ANT, the one factor that is pivotal to the enacting of a phenomenon is leadership. This study aims not to assess the best leadership style that will best influence SE’s implementation, but, rather, to develop leadership capacities. Therefore, leadership capacity means “the broad-based, skillful participation in the work of leadership; and a way of understanding sustainable school improvement” [45] (p.1). As with human resources capacity, the dimensions of leadership capacity have been formulated using the same Process and Content theories. This has been done to demonstrate what leadership should possess when building the capacity of human resources as well as the areas they should indoctrinate in human resources. Therefore, studies such as the adoption of e-government in Dubai concluded that [leadership] has a significant, strong positive correlation to the implementation of e-government [46].
Similarly, [47] emphasized visionary leadership as a necessary facet in smart government transformation. Therefore, leadership in smart transformation (1) creates an avenue for articulating change (awareness), (2) the pace of transformation is understood by stakeholders (motivation), and (3) sufficient preparation for efficient strategy execution (readiness) is made [48]. Thus, the smart leader incorporates others in the cocreation of vision by engaging and motivating people to cocreate a smart future [8].
Leadership support, whether at a macro (national) or meso (administrators) levels, is crucial since they are the gatekeepers of innovative technology and pedagogical practices [49]. It is the leadership’s responsibility to focus on an institution’s future needs by establishing strategic plans for technological innovation. Therefore, management needs to align SE pedagogies with the department and university curriculum. Additionally, motivation and incentives generation are also essential leadership tasks that will encourage human resources to accept and integrate technology in teaching [50]. Additionally, a literature review shows that organizational culture is significant in influencing employees’ responses to change. In many cases, the leader of the organization has the role of embracing change and developing strategies to persuade employees to overcome possible resistance situations [34]. Accordingly, [34] suggested that leadership’s role and responsibility are to be accountable for steering and managing employees towards achieving institutional targets. A focus on leadership stresses a top-down approach for administrations to push the integration of smart pedagogies into the university so that human resources have to use the pedagogy for some processes. Institutions such as the University of Genova have adopted this approach but with unsuccessful results. Other schools such as the Universitat Osnabruck experienced success with the top-down approach. For some universities, a bottom-up approach was pragmatic [50]. However, [3] confirm that it is leadership that needs to create and ensure that innovation is being fostered within an environment. This provides good stead to assess how employees perceive the influence of leadership capacity in SE’s implementation. Therefore, the first hypothesis is proposed:
Hypothesis 1 (H1).
Leadership capacity has a positive influence on smart education.

2.4. Human Resource and Smart Education

In line with the main premise of the ANT, it can be stated that one of the most imperative people that contribute to the formation of a phenomenon’s ecosystem is human resources. For this paper, human resources capacity will be examined. Therefore, human resources capacity building is “the development of knowledge, skills, empowerment, and attitudes in individuals and groups of people relevant in design, development, management, and maintenance of institutional and operational infrastructures and processes that are locally meaningful” [51] (p. 4). This paper intends to look at the capacity of human resources by firstly creating dimensions through using three prominent theories of motivation. They are the Process Theories of motivation: Valence-Instrumentality Expectancy Theory (awareness); Goal setting theory (readiness/knowledge); the Content Theory of Motivator-Hygiene (Two-Factor) Theory (motivation). Studies have shown that these theories have a great impact on employee’s job satisfaction and work performance. The presupposition for using these theories was to show that human resources that are built on these capacities are more likely to perform or gravitate towards a new project, as has been proven in ample research [52].
Consequently, the human resources prominence in ‘smartness’ initiatives are emphasized in areas such as e-government [46,53], smart tourism [3], and smart government [7]. For example, besides having actionable ICT facilities to bring smart governance into action, the interaction of human skills [54], such as attitudes, motivations, and knowledge [6,55], were cited as requirements. In separate studies, [46] and [53] evaluated the importance of human resources capacity in e-government implementation in Kenya and The United Arab Emirates. Results showed a strong positive association between human resources capacity and the adoption of e-government.
Hence, many organizations spend considerable resources on building employees’ capacities [51,56]. Therefore, the nature and experience of the smart pedagogy used in SE are more so determined by human resources (instructor and IT staff) than anyone else. Accordingly, human resources are seen as the arbitrators of whether students will participate in SE activities or not. Institutions in developed countries have taken a bottom-up approach to SE’s implementation, thus choosing the smart pedagogy based on the user’s demands since users have a concrete will and request to use the selected pedagogy. The Technische Universitat Braunsch Weig in Germany applied a bottom-up approach to implement LMS. Other universities in Germany, such as Universat Osnabruck, employed the top-down approach, whereas Leibniz Universitat Hannover applied an equal mixture of a bottom-up and top-down approach [50]. Despite the approach, it remains that although technology in education may enable change at an increased rate, transforming the classroom dramatically depends on human resources knowledge, attitudes, and behaviors [49]. According to [3], only in a relationship with human agency, social structure, and the organization does technology fulfill functions. Therefore, the ultimate question is how do employees perceive the influence of human resources capacity on SE’s implementation? Therefore, the second (2) hypothesis is proposed:
Hypothesis 2 (H2).
Human resources capacity has a positive influence on smart education.

2.5. Moderating Effect of Additional Investment

Referring to the understanding of the Actor-Network Theory, which delineates that people and things collaborate to form a phenomenon, it can be said that in addition to leadership and human resources, there are additional factors that can reduce or enhance their impact on SE’s implementation. To fully experience technology’s benefits in education, systems such as computer and software infrastructures must be available. Therefore, tools and environment as a perceived barrier to technology adoption [57] is revealed in lack of equipment/resources, classroom conditions and constraints, and IT technical support [39,40]. Therefore, countries or administrations wishing to adopt educational, technological platforms may fund or engage in strategic partnerships to help access the best and appropriate innovative infrastructures.
Additionally, there needs to be strategic policy development that will identify hindrances that will affect HRC’s full impact in SE implementation. From this exploration, appropriate investments that can combat these hindrances can be suitably crafted. Researchers in other smartness concepts like smart cities highlighted several moderating investment initiatives. They are policy development [7,20], smart strategic partnerships [58], innovative infrastructure [3,58] and public sensitization [37] as investments that can ease the burden of technology adoption. Therefore, the third hypothesis is proposed:
Hypothesis 3 (H3).
Additional itemized investments in smart education will positively moderate the effect of leadership and human resource.
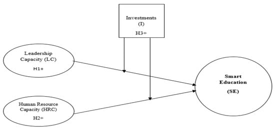
In summary, Figure 1 gives an overview of how the assigned variables are measured and interact with each other. Figure 2 shows a moderated model, where leadership capacity and human resources capacity are moderated by additional investment. Overall, the model represents a sociotechnical ecosystem for SE’s efficient implementation.

3. Methodology

3.1. Data Collection and Sampling Procedures

This study adopted a quantitative approach that allowed for verification of the proposed conceptual model. Several steps were used in data collection to meet the intended purpose [59,60]. The Caribbean island of Grenada was selected because of convenience, and it is among the developing small island nations making steady progress in e-government adoption and e-participation [21]. Due to the SE phenomenon’s novelty and the lack of literature in regard to leadership capacity and human resources capacity’s influence in SE’s implementation, it was essential to develop a structured questionnaire. This questionnaire was required to be a tool that allowed employees to share their perception of the influence of leadership, human resources capacities, and moderating variables in SE’s implementation.
Additionally, the statements used in the questionnaire had to reflect a keen understanding of the culture and the status quo of technology in education as it relates to Grenada. Specifically, the reference to SE in the questionnaire referred to employees’ understanding of Grenada’s current smart pedagogy implementation of Learning Management Systems (LMS) such as Sakai, computer, tablet, and cellphone use in classrooms to access e-books [61,62], virtual classrooms aided through Zoom or Google Hangouts, the use of smart boards and e-books [63]. These are the many SE initiatives the government of Grenada through the Ministry of Education started to implement in schools [6] prior to COVID-19 and more rigorously with the COVID-19 pandemic’s occurrence.
Bearing in mind the survey’s intent, officials from Grenada’s Ministry of Education (MOE) were approached to secure permission in executing the study’s methodology. Therefore, two groups of 10 experts in education were recruited to research, develop a structured questionnaire, and pilot test the survey. This was done to ensure the content validity of the questionnaire instrument. Therefore, the experts will be able to review the items and comment on whether the items cover a representative sample of the behavior domain. The experts were chosen through the probability simple random sampling where The Chief of Education in Grenada’s MOE provided a list of 50 experts qualified in the area of Education Administration. To limit the chances of bias, the 50 experts’ names were first coded into four-digit numerals, for example, 1111, 2222.
Probability of Selection = Sample Size/Population Size
These codes were written on small pieces of transparent papers, folded, and then dropped into a raffle bag for random selection. Two raffle draws were performed where the first raffle derived 10 experts (5 males; 5 females) for research and questionnaire development. The second raffle derived another 10 experts (7 males; 3 females) for the questionnaire’s pilot testing. The probability of selection for Expert Group A was 2.0% (10/50 = 0.2); whereas, the probability of selection for Expert Group B was 2.5% (10/40 = 0.25). The randomly selected participants were contacted using email with a contract for terms of participation attached. A follow-up phone call was done to inform experts of their selection officially and to confirm their participation. All selected experts confirmed their participation by returning the signed contract via email. The first group of experts (Expert Group A) met for four weeks, with three 1 h sessions held per week. The first two weeks of sessions were used to present research findings, while the other two weeks were used for questionnaire development and confirmation of statements for variables’ Likert scale.
After an extensive literature review on technology in education, leadership, and HR’s influence on ‘smartness’ phenomena such as e-government, the questionnaire was finalized. For the variables of leadership and human resources capacities, the experts agreed on modifying the original statements from [46] study, which assessed human resources capacity and top management as success factors in e-government’s implementation. These statements were grouped into three dimensions which followed the Process Theories of motivation: Valence-Instrumentality Expectancy Theory (Awareness); Goal setting theory (readiness/knowledge). The statements for the dimension of motivation for both leadership and human resources capacities followed the Content Theory of Motivator-Hygiene (Two-Factor) Theory. The statements were only formed to assess the Motivator aspect of the theory. It considered precisely facets outside of awareness and readiness, such as recognition. The statements for the moderating variable were formulated mainly from literature from [60,64,65].
The questionnaire was then pilot tested among the second group of experts (Expert Group B) for two weeks with two 1 hour sessions per week. During the first week of testing, the experts highlighted discrepancies with two statements from the variable additional investment. With the refinement of these statements and agreement amongst both groups of experts, the next step was engaged. Grenada’s Ministry of Education was once again contacted to obtain authorization to distribute questionnaires via three of their social media platforms (Facebook Page and Messenger, WhatsApp Group for principals and WhatsApp Group for teachers). These platforms had a member base of teachers from primary, secondary, and tertiary institutions. The questionnaire was arranged in googleforms.com; then, the URL was shared with senior staff at the Ministry of Education Grenada to upload to their social media platform and email to members in their friends list. The senior staff uploaded and emailed URL to contacts for three weeks. An excerpt of the questionnaire used in this research is given in the following Table 1.
Taking advantage of a probability simple random sampling, a total of 600 respondents were approached via the MOE’s three social media platforms. The respondents were tertiary level educators who were faculty members, researchers, professors, or relevant individuals with administrative responsibilities in one of the three tertiary institutions located on the island. However, out of the 600 respondents approached, 355 questionnaires were received and filled online, that is 59.2%. Out of 355 questionnaires, 349 were found correct, making 98.3% fit to proceed to analysis. Out of 349 respondents, 32.3% were male, and 67.7% were female. The highest age range of participants was 18–25 (31.3%) years. Most respondents’ highest education level was an Associate Degree (35.4%). The majority of the respondents were from the public sector. Table 2 provides further descriptive information of the targeted sample. Therefore, a diverse and large enough sample enabled this quantitative research design to allow for a moderation analysis and correlation testing using SPSS analysis software and buttressed by Smart PLS analysis software.

3.2. Measures

According to [66], once the discussion of sampling and data collection has been executed, the description of the standards used should be given. According to [67], a Likert scale is a set of items made up of equal favorable and unfavorable statements concerning respondents’ attitude to a specific object. All scale points for the statements under the tenets of leadership, human resources, additional investment, and smart education were labeled, ranging from 1 (strongly disagree) to 5 (strongly agree). The construct of leadership capacity was measured by a five point Likert scale that asked respondents to rank their response for the tenets of readiness, awareness, and motivation. Each leadership tenet had at least 6–8 statements that respondents ranked based on the level of influence they believe leadership will hold on the implementation of smart education.
Similarly, the construct of human resources was measured using a five point Likert Scale for the tenets of awareness, knowledge, and motivation. Each tenet bore at least 7–9 statements that respondents ranked based on the influence they believe human resource has on the implementation of smart education. The five statements for the variable of SE were developed to measure the components [4] outlined in their research article. The moderating variable of additional investment was measured using five statements that the first group of experts deduced from the literature.

3.3. Reliability and Validity Tests

The preliminary analysis conducted included several exploratory inquiries [60]. In testing the internal consistency reliability of the Likert scale, the recommended test is to calculate and report the Cronbach’s Alpha [67,68]. The Cronbach’s Alpha value usually ranges between 0.00 and 1.00, with a range between 0.70 and 0.90 accepted for scientific studies. Table 3 below provides an accepted Cronbach Alpha of above 0.70 for each of the tenets of leadership and human resource capacities. Additionally, smart education and additional investments provided acceptable Cronbach Alpha. The accepted Cronbach Alpha demonstrates that the Likert scale is very reliable for regression modeling. After these tests, the newly constructed variables for each variable were included in the regression analysis. Additional analysis in the Smart PLS software confirms the reliability results for the constructs assessed in this study. The results from Smart PLS are presented as an excerpt in the Appendix A of this paper.
Other than content validity, internal validity was also assessed to estimate the degree to which conclusions about the causes of relations are likely to be true. Especially given the measures used, the research setting, and the research design as a whole. The Pearson correlation test performed in SPSS showed significant operationalization for all the measures examined in this study. An excerpt of the correlation test results for some of the variables, such as the motivation and awareness tenets of leadership, is presented in the following Table 4 and Table 5. The Smart PLS software was then used to assess the construct validity of the measures used in this research

4. Results

4.1. Hypotheses Testing

The study employed the analysis of variance (ANOVA) and Pearson’s correlation methods in examining the relationships and differences among the variables presented. ANOVA was used to test the differentially of the variables. In contrast, Pearson’s correlation will assess the intensity of the relationship between the dependent variable (smart education) and the independent variables (leadership and HR) [60]. Furthermore, linear regression modeling predicts and confirms the value of the dependent variable (smart education) and the independent variables (leadership and human resource). Smart PLS was also used to buttress the results derived from SPSS through construct and hypothesis testing and a graphical representation of the model fit.

4.2. Hypothesis 1

Hypothesis 1a (H1a).
Leadership has a negative influence on smart education.
Hypothesis 1b (H1b).
Leadership has a positive influence on smart education.
The first (1) hypothesis proposed that leadership has a positive influence on SE. An ANOVA test shows in Table 6 the significance level or p-value of the one-way analysis is p < 0.05. Implying that there are significant differences between the independent variable of leadership and the dependent variable of SE resulted in F (3, 341) = 0.292, p < 0.05. Since there is sufficient confidence, the rejection of the null hypothesis is recommended, and the alternative accepted. The Pearson correlation test showed that leadership has a strong positive relationship (r = 0.067) with SE (See Table 8).

4.3. Hypothesis 2

Hypothesis 2a (H2a).
Human resource capacity has a negative influence on smart education.
Hypothesis 2b (H2b).
Human resource capacity has a positive influence on smart education.
HR capacity positively influences SE was the second hypothesis proposed by this research. The ANOVA test results presented in Table 7 indicate that there are significant differences among HR, and SE, F (2, 346) = 0.198, p < 0.05. With enough confidence achieved, the Null hypothesis will be rejected, and the Alternative hypothesis will be accepted, which is HR will have a positive influence on SE. The correlation results for prediction two (Table 8) show that HR has a weak positive (r = 0.019) association with SE.

4.4. Hypothesis 3

Hypothesis 3a (H3a).
Additional investment in smart education will negatively moderate the effect of leadership and human resource.
Hypothesis 3b (H3b).
Additional investment in smart education will positively moderate the effect of leadership and human resource.
The third hypothesis proposed by this research is additional investments as a moderating variable will positively moderate the influence of leadership and HR on SE. The results of the ANOVA test presented in Table 9 show that there are no significant differences among firstly, leadership, additional investments, and SE, F (3, 346) = 0.538, p > 0.05; and secondly, HR, other investments, and SE. Since the confidence interval established in the test is insufficient, the Null hypothesis, which states that further investments in SE will negatively moderate the influence of L and HR on SE, will not be rejected. Additionally, the correlation results show a strong negative (r = −0.057) relationship between investment and SE (See Table 10).

4.5. Regression Modeling

The overall model proved to be significant, with the independent and the dependent variable accounting for R 39% of the variation (R = 0.397 a p = 0.030 b, F = 1.993, p < 0.05) (see Table 11—model summary and Table 12—ANOVA), respectively. Specifically, the ANOVA (F (12, 128) = 1.993, p > 0.05) results show that the regression model significantly predicts the dependent variable (SE).
From Table 13 below, it is observed that the overall model is significant with p < 0.05—the model well-fits the data. Leadership tenets of readiness (re), awareness (AWE), motivation (Mo), human resource tenets of awareness (AHR), know (knowledge), MHR (motivation), and other moderating variables such as age range demonstrated significant relationships with SE with positive correlation coefficients. However, investment, employment status, and gender showed insignificant relationships with SE.

4.6. Results Derived from Smart PLS

In an attempt to confirm the results derived in SPSS and provide the analysis from an estimator that provides a partial least squares path modeling (PLS-PM) for the dataset, the Smart PLS software was also used. This software was used to confirm the causal relationships already denoted by the SPSS software. Measurement reliability, convergent validity, and discriminant validity of the proposed measurement model were analyzed. The reliability of measurement items was analyzed by the factor loading values, in which higher values indicate that the construct’s shared variance is higher than the error variance. The value for each measurement item in all the constructs was above the lower limit value of 0.5. Convergent validity was measured based on the principles of construct reliability, composite reliability, and AVE. Construct reliability is measured based on the values of α, which needs to be above the average accepted value of 0.7. The sum of the loading values should show higher composite reliability values, indicating a higher internal consistency, and average variance extracted (AVE) needs to exceed the value of 0.5. In all cases, the validity of the measurement model satisfies the required level, as indicated in Table A1 in the Appendix A of this paper. Discriminant validity was finally evaluated to ensure that model constructs are different from each other. Cross loading of the measurement items in one construct needs to have a higher loading value than in any other construct. The bold values in Table A2 and Table A4 in the Appendix A show that the discriminant validity of the measurement model is accepted.
The structural model was analyzed using Smart PLS to confirm that the hypothesized relationships of the research model have structurally significant value. The Smart PLS results showed that the hypotheses generated by this study were supported through significant p-values of less than p < 0.010 for the moderating variable and p < 0.05 for the relationships among the dependent and independent variables. The first hypothesis connotated that leadership will positively influence SE. The p-value derived for this hypothesis was significant at p = 0.000, with a path coefficient (PC) value from leadership to SE of 0.799. The second hypothesis established that human resources capacity would positively influence SE. Significant p-values were also observed for the second hypothesis at p = 0.000 with a path coefficient of 0.244. The final hypothesis established by this study is additional investment will positively moderate the influence of leadership and human resources capacities on SE. The results derived from Smart PLS also confirmed that the hypothesis could be held to be true at a moderation interaction of p-value of 0.072 (PC = 0.053) for human resources capacity and a p-value of 0.082 (PC = −0.062) for leadership capacity. However, in the case of leadership, the hypothesis will be rejected because the PC = −0.062. Since the Smart PLS is deemed more statistically reliable, the study will conclude that the findings from Smart PLS will be closer to the truth for hypothesis three. Table 14 presents further features of the construct of structural model and results for hypothesis testing for this study.
In diagraming, the variables of this study in Smart PLS were operationalized through a reflective measurement model. The ovals represent the latent variables of leadership capacity, human resources capacity, smart education, and additional investments; whereas the connected rectangles represent their indicators. In the case of leadership capacity, the tenets of awareness, motivation, and readiness were each measured by two indicators. Likewise, the human resources capacity tenets of motivation, knowledge, and awareness were measured by two indicators. Altogether, each independent variable was measured by 12 indicators, six for each. The latent moderating variable of investment and the latent dependent variable of SE were measured using five indicators. Therefore, to obtain consistent estimates, the reflective measurement model was estimated by PLS. After selecting the best indicators for the latent variables, the model fit was tested at 81.8% variance on the dependent variable. Thus, showing an acceptable model fit. The graphical coefficient pathway for the model fit is presented in Figure 3.

5. Discussion

Education has been viewed by many as a pivotal investment that can nurture tremendous benefits for society’s sustainable development [34]. The use of technology to enhance the performance and connectivity of things such as cars or a simple wristwatch has fashioned a smartness era. This smartness era has moved education away from its traditional methods of delivery into a connected, flexible smart one [34], thus giving rise to the phenomenon of smart education. The incorporation of smart technology in the education field has left several unanswered questions despite countless studies and specifically the proposal of a conceptual framework for SE. For example: How can leadership and HR influence the implementation of smart education? What are the leadership and HR capacity needed to implement smart education successfully? Therefore, this is one of the first studies to empirically investigate the influence that leadership and HR will have on SE’s implementation by delving into the capacities of leadership and HR that will be needed to make this implementation a success. Thus, contributing to the expansion of literature in the area of SE; specifically, confirming the participatory influence of the independent and moderating variables in the adoption of SE.
Therefore, the research findings were supported through the first hypothesis, which proposed that leadership would have a positive influence on the implementation of SE. This support was shown through a significant ANOVA p-value, and significant p-value result in Smart PLS. Additionally, a strong positive association between leadership and SE were derived from correlation results from both data analysis software. The results confirm previous research conducted by [46], showing that leadership had a strong positive association with the adoption of e-government. Despite the differences in the dependent variables’ name, both SE and e-government are innovative technological advancements being pursued by governments in developing regions, which can result in similar adoption methods. Therefore, leadership is a pivotal variable in the implementation of SE. For example, the MOE of Grenada, along with school administrators need to develop their leadership capacity when considering the implementation of SE. The leadership capacity in influencing human resources to accept SE as the new norm must be centered around the constructs of readiness, awareness, and motivation. In so doing, there will be a higher possibility of SE becoming a successful venture in schools.
Furthermore, the tenets of leadership capacity, which were readiness, awareness, motivation, all showed a high level of significance from the regression coefficients; the highest importance among these three was motivation. It demonstrates the importance of leadership in preparing HR for SE’s adoption through training, skills development, and educational advancement [69,70]. Other than leadership fostering readiness among HR, there is also the need to foster a culture of awareness. The principle of awareness is taught by sharing the SE’s vision with HR and the building of HR’s familiarity with SE’s initiatives. However, leadership seems to have a more considerable influence on SE’s adoption when encouraging the motivation of HR by HR’s empowerment in providing input and feedback for SE’s implementation. These results may also demonstrate that a top-down managerial approach is needed for the implementation of SE. Therefore, leadership is assumed with the responsibility of using its capacities of awareness, readiness, and motivation to build an organizational environment and culture that nurtures the implementation of SE. Particularly, during this COVID-19 era, administrators must recognize the importance of their preparedness via the mentioned capacities in order to equip employees with instructional excellence tools so that they can survive and thrive in current and future education scenarios [32]. This builds into the second hypothesis, which proposed that HR would have a positive influence on the implementation of SE.
Therefore, the results derived for the second hypothesis showed that HR has a strong significant positive association with SE. This result supports the findings of previous research conducted by [53] on the influence of human resources capacity in the implementation of e-government. Therefore, reinforcing the importance of human resources capacity in the adoption of new technological advancement. The tenets of HR (awareness, knowledge, and motivation) all showed significant regression coefficients. The principles of awareness and motivation had the highest regression coefficients. The results establish that for HR to be effective in the adoption of SE, the employees must be cognizant of SE’s vision and expected outcomes. Additionally, this tenet was given recognition for encouraging commitment to SE’s project among workers. Knowledge in the form of training, skills development, work experience, and qualifications also broadens the influence that HR can have on the adoption of a novel concept. Finally, the motivation of HR by encouraging employees to have input and feedback in SE’s initiative builds employees’ desire to be a part of SE’s projects. This shows that despite the need for a top-down managerial approach in the implementation of SE, HR in their aptitudes of awareness, knowledge, and motivation act correspondingly in the execution process of SE.
Although the results from SPSS for the third hypothesis did not support the proposed positive moderating effects of investments in the implementation of SE, the results derived from Smart PLS showed significant results for the moderating interaction on human resources but not leadership. The SPSS ANOVA results showed that investments had an insignificant moderating effect on SE. Pearson correlation presented a negative moderating effect between investments and SE. This may imply that the influence leadership and human resources will have on SE may decrease when other essential investments such as innovative infrastructure, strategic partnerships, and SE policy development are not sustained. However, results derived in Smart PLS showed significant results for the third hypothesis, confirming that additional investments positively moderate the influence of human resources capacity in the implementation of SE. This can be interpreted as an investment in physical resources such as equipment [40], technological platforms such as ICT infrastructures will increase HR’s influence on SE’s implementation. The availability of these infrastructures will give leadership capacity more prominence in developing the human resources capacity that employees should exhibit for SE’s implementation. Therefore, investment in these resources can lead to a decrease in the lack of resources, lack of skills training, and the lack of access to technology among employees.
Additionally, the development of strategic SE policies [7,20] and smart strategic partnerships [58] will build a strategic plan for SE’s employees to be guided. The strategic plan can thoroughly outline the roles and responsibilities of all stakeholders in SE’s implementation so that each person can account for their actions. Moreover, strategic partnerships with developed nations such as the United Kingdom and China can afford developing countries such as Grenada opportunities to adopt tested and tried implementation processes and share technologies and information systems that can be used in the developing context. Although there is an emphasis on leadership and HR, if the presence of hard resources such as innovative infrastructure receives minimal attention, the overall efforts of leadership and HR will decrease. Therefore, it is encouraged that soft and hard resources cannot function without each other but coexist in SE’s ecosystem.
In conclusion, the findings showed that both leadership and HR had a strong positive association with the implementation of smart education. Additionally, the leadership capacities of awareness, readiness, and motivation, along with HR’s capacities of awareness, knowledge, and motivation, were pivotal for SE’s implementation. Furthermore, for leadership and HR to be truly useful, there needs to be an investment in innovative infrastructures and SE policy development.

5.1. Research Implication

5.1.1. Theoretical Implication

The ANT postulates a sociotechnical ecosystem of a phenomenon; where humans and technology are equal actors [3]. This research confirmed a modeled ecosystem of the SE phenomenon that supports leadership, human resources, and technology (sociotechnical) as equal actors in implementing SE. For example, the inclusion of virtual or augmented reality in education requires an ecosystem that entails the participatory variables studied in this research. The annexation of these variables builds an ecosystem that generates the desired outcomes of SE. Additionally, the primary premise of the ANT, which was people is a pivotal aspect in the realization of a phenomenon, was also supported in this study. The study unequivocally showed that leadership and human resources occupy influential acting roles in the ecosystem of SE. Thus, forming a relationship between leadership and human resources, both external variables and SE, and additional investments with other variables. These relationships support the ANT stance that networks and connections are formed in an ecosystem, with each connection immensely influencing the phenomenon at hand. The subtraction of one of the connections can lead to a decrease in the phenomenon’s overall intensity. Additionally, the study supports the past understanding of motivational theories in influencing not only job satisfaction and work performance, but also in stimulating readiness, awareness, and motivation that can assist in employees’ gravitation to a new concept and leadership’s understanding of how they make that organization change a reality
The study also used TAM innovatively to assess how employees consider the influence of leadership and human resources capacities in SE’s implementation. Most importantly, this paper adopted a strategic use of TAM’s perceived usefulness. Typically, the perceived usefulness factor of the TAM is situated between the external variable and the technology phenomenon to be adopted. However, in this study, the perceived usefulness variable acted on the external variables of leadership and human resources capacities. This adds new insight into the TAM theory by demonstrating that external variables do not always need to act upon the perceived usefulness belief of workers; but, the perceived usefulness belief of workers can act upon the external variable. This reordering of the variables is most useful in painting a clearer picture of how employees perceive the usefulness of external variables of leadership and human resources capacities. Due to this rearranging of the TAM variables, a thorough analysis was conducted on the external variables’ influence on SE’s implementation.

5.1.2. Managerial Implication

The general framework presented herein acknowledges a mixture of top-down and bottom-up managerial approaches in SE’s execution. Therefore, since Grenada is seeking to adopt SE, the country needs to allocate sufficient power to leadership and HR to generate varying perspectives on SE’s holistic adoption. For example, there will be instances when leadership will need to consult employees on the preferred smart infrastructures and systems they are capable of working with. By doing this, leadership will show that employees’ opinions and feedback are valued. Additionally, there will be a higher possibility of achieving successful results with a system or infrastructure employees have validated for use. This shows a communicative relationship between leadership and human resources that is angled for the successful implementation of SE.
Moreover, a mixture of top-down and bottom-up approaches in the implementation of SE encourages not to favor one approach over the other; but, rather the application of the approach based on the situation at hand. It must also be realized that for SE to be enacted holistically, leadership and human resources must become smart people in all respects. Their smartness should be shown in the way they think, their attitude towards collaboration and change, and most importantly, how they interact with technology.
Additionally, leadership needs to garner the dimensions developed in this paper to achieve maximum capacity and inculcate in human resources the dimensions studied herein so that their capacity can also mature. When institutions and governments provide the obligatory responsiveness to HRC and LC variables, they can curtail barriers, such as lack of knowledge and skills [40] that can affect SE’s enactment. Additionally, policymakers in developing regions need to formulate guidelines that will help cater to less fortunate students by creating avenues to easily access technological infrastructures and gadgets. Moreover, the governments of small island developing regions need to develop policies that will address the capacities of leadership and human resources in order to implement SE successfully. A similar stance was taken by the Republic of Korea central government when they initiated the policy to improve their national education system through a smart education project that will help meet the demand for a customized and efficient learning environment for 21st century learners [23]. Noteworthy to mention, neighboring Caribbean islands can also use this knowledge when implementing SE since they share similar cultures and are within the same geographical location.

6. Limitations and Future Research

The results reported in this study are viewed through the sampling approach’s lens as a significant limitation [39]. Based on statistical grounds, the small sampling size has restricted the results’ generalizability to a larger population. Therefore, to enable the generalization of the findings, future research can specifically target a larger cross-sectional sample of workers from the educational industry. This cross-sectional sample can be observed through a longitudinal study that will assess leadership and human resources capacities in a real-world situation by observing the influence that these variables exhibit at varying academic stages. The longitudinal study’s ultimate goal will be to assess learners’ work performance in the workplace to rectify whether SE has helped expand skills compulsory to function in the Smart Machine Age [71]. The SE participatory variables’ realignment, with SE now occupying the independent variable position and work performance as a dependent, is envisioned. Researchers can also replicate this study in other small island developing regions to confirm the research findings’ cogency. However, due to the similarity of the cultures and population size of other small island countries in the Caribbean, the results may be the same. The inclusion of a relative component will permit researchers to observe the similarities and differences among regions.

Author Contributions

Conceptualization, J.W. and W.L.; methodology, J.W.; software, J.W.; validation, X.W., W.L. and J.W.; formal analysis, J.W.; investigation, J.W.; resources, J.W.; data curation, J.W.; writing—original draft preparation, J.W.; writing—review and editing, J.W.; visualization, J.W. and W.L.; supervision, X.W. and W.L.; project administration, X.W., W.L. and J.W.; All authors have read and agreed to the published version of the manuscript.

Funding

This research received no external funding.

Institutional Review Board Statement

No humans or animals were harmed in conducting this study.

Informed Consent Statement

Informed consent was obtained from all subjects involved in the study.

Data Availability Statement

Raw data were generated through the Google online survey platform. Derived data supporting the findings of this study are available from the corresponding author, J. Wilson, upon reasonable request.

Acknowledgments

The authors thank all respondents for their participation in this study. Thank you to the reviewers for their thoughtful feedback which enhanced the quality of this paper. Finally, thank you to Patrick Kandege, Wendy Crawford-Daniel, Antonio Alleyne, Raphael Johnson, Roxanne Benjamin and Mussie Tesfay Teklu for your insightful advice and feedback to better the quality of this paper.

Conflicts of Interest

The authors declare no conflict of interest.

Appendix A

Appendix A.1. Smart Education’s Conceptual Frameworks

Figure A1. Zhu et al.’s conceptual framework of smart education (Zhu et al., 2016a).
Figure A1. Zhu et al.’s conceptual framework of smart education (Zhu et al., 2016a).
Education 11 00138 g0a1
Figure A2. Revamped model of Zhu et al.’s smart education conceptual framework (Zhu et al., 2016b).
Figure A2. Revamped model of Zhu et al.’s smart education conceptual framework (Zhu et al., 2016b).
Education 11 00138 g0a2

Appendix A.2. Smart PLS Results

Table A1. Results of reliability and AVE.
Table A1. Results of reliability and AVE.
ItemαCRAVE
HRC60.9170.9360.709
Investment50.9570.9670.854
Leadership cap.60.9150.9340.702
Smart edu.50.9290.9460.780
α—Cronbach’s Alpha, CR—composite reliability, AVE—average variance extraction.
Table A2. PLS indicator cross-loading.
Table A2. PLS indicator cross-loading.
HRCInvestmentLeadership CapacitySmart Education
HRC10.8850.7980.5260.518
HRC20.7840.60.4540.464
HRC30.7860.6410.4660.454
HRC40.8580.7630.4520.479
HRC50.8610.9380.5010.487
HRC60.8730.9170.470.45
AI10.8490.8960.5040.478
AI20.8650.9390.5060.488
AI30.8780.9320.4860.458
AI40.8440.9310.4670.447
AI50.8280.9210.4730.452
LC10.5190.4810.8700.698
LC20.5050.460.8720.904
LC30.40.4030.8060.591
LC40.5260.4820.8600.714
LC50.5150.4590.8880.932
LC60.3610.3550.7190.546
SE10.5040.4590.8710.904
SE20.5190.4620.8840.931
SE30.5070.4650.7790.888
SE40.5110.4440.680.835
SE50.460.3930.7290.854
Note: Bold values demonstrate that the discriminant validity of the measurement model is accepted.
Table A3. Weights and loading of measurements.
Table A3. Weights and loading of measurements.
ConstructIndicatorLoadingWeightT-Value
Additional investment AI10.8960.22369.055
AI20.9390.227118.484
AI30.9320.213103.482
AI40.9310.208102.528
AI50.9210.21184.331
Human resource capacityHRC10.7840.21660.863
HRC20.8850.19330.008
HRC30.7860.18930.301
HRC40.8580.19947.243
HRC50.8610.20347.716
HRC60.8730.18758.565
Leadership capacityLC10.8700.18848.919
LC20.8720.24465.385
LC30.8060.16025.793
LC40.8600.19348.55
LC50.8880.25262.757
LC60.7190.14716.736
Smart educationSE10.9040.24872.214
SE20.9310.252116.593
SE30.8880.22356.631
SE40.8350.19740.141
SE50.8540.20938.693
Table A4. Correlations among constructs.
Table A4. Correlations among constructs.
HRCInvestmentLeadership CapacitySE
HRC0.842
Investment0.9230.924
Leadership capacity0.5690.5280.838
Smart education0.5660.5040.8990.883
HRC—human resource capacity, SE—smart education.

References

  1. Information Polity. Smartness in Governance, Government, Urban Environments, and the Internet of Things: An Editorial Introduction; IOS Press: Amsterdam, The Netherlands, 2016. [Google Scholar]
  2. Chatfield, A.; Reddick, C. A Framework for Internet of Things-Enabled Smart Government: A Case of IoT; Elsevier Inc.: Amsterdam, The Netherlands, 2019. [Google Scholar]
  3. Boes, K.; Buhalis, D.; Inversini, A. Smart tourism destinations: Ecosystems for tourism destination competitiveness. Int. J. Tour. Cities 2016, 2, 108–124. [Google Scholar] [CrossRef]
  4. Zhu, Z.; Yu, M.; Riezebos, P. A research framework of smart education. Smart Learn. Environ. 2016, 3, 1–17. [Google Scholar] [CrossRef]
  5. Babich, L.; Shabunova, A.; Belekhova, G. Economic modernization, human capital and smart learning technology. In MIC 2017: Managing the Global Economy; Proceedings of the Joint International Conference, Monastier di Treviso, Italy, 24–27 May 2017; University of Primorska Press: Koper, Slovenia, 2017. [Google Scholar]
  6. Garcia, J.; Zhang, J.; Cid, G. Conceptualizing smartness in government: An integrative and multi-dimensional view. Gov. Inf. Q. 2016, 33, 524–534. [Google Scholar] [CrossRef]
  7. Al-Jenaibi, B. Upgrading society with smart government: The use of smart services among federal offices of the UAE. Int. J. Inf. Syst. Soc. Chang. 2016, 7, 20–51. [Google Scholar] [CrossRef]
  8. Lee, J.; Kim, S. Validation of a tool evaluating educational apps for smart education. J. Educ. Comput. Res. 2015, 52, 1–16. [Google Scholar] [CrossRef]
  9. Scholl, J.H.; Scholl, M.C. Smart Governance: A Roadmap for Research and Practice. iSchool 2016. [Google Scholar] [CrossRef]
  10. Bdiwi, R.; Runz, C.; Faiz, S.; Cherif, A. Smart learning environment: Teacher’s role in assessing classroom attention. Res. Learn. Technol. 2019, 27, 2072. [Google Scholar] [CrossRef]
  11. Giannakos, M.; Sampson, D.; Kidzinski, L. Introduction to smart learning analytics: Foundations and developments in video-based learning. Smart Learn. Environ. 2016, 12, 1–9. [Google Scholar] [CrossRef]
  12. Gros, B. The design of smart educational environments. Smart Learn. Environ. 2016, 3, 1–11. [Google Scholar] [CrossRef]
  13. Hack, C. Applying learning analytics to smart learning. In Smart Learning: Teaching and Learning with Smartphones and Tablets in Post Compulsory Education; Middleton, A., Ed.; MELSIG and Sheffield Hallam University: London, UK, 2015; pp. 57–62. [Google Scholar]
  14. Hoel, T.; Mason, J. Standards for smart education-towards a development framework. Smart Learn. Environ. 2018, 5, 1–25. [Google Scholar] [CrossRef]
  15. Kiryakova, G.; Angelova, N.; Yordanova, L. The potential of Augmented Reality to transform education into smart education. TEM J. 2018, 7, 556–565. [Google Scholar]
  16. Verma, P. Challenges, issues, and social implications of smart learning through the internet of things (IoT). Int. J. Comput. Sci. 2018, 6, 88–95. [Google Scholar]
  17. Zhu, Z.; Sun, Y.; Riezebos, P. Introducing the smart education framework: Core elements for successful learning in a digital world. Int. J. Smart Technol. Learn. 2016, 1, 53–66. [Google Scholar] [CrossRef]
  18. Singh, H.; Miah, S. Smart education: A theoretical analysis. Educ. Inf. Technol. 2020, 25, 3299–3328. [Google Scholar] [CrossRef]
  19. Lai, P. The literature review of technology adoption models and theories for the novelty technology. J. Inf. Syst. Technol. Manag. 2017, 14, 21–38. [Google Scholar] [CrossRef]
  20. Organisation for Economic Co-operation and Development. Innovating Education and Educating for Innovation: The Power of Digital Technologies; OECD Publishing: Paris, France, 2016. [Google Scholar]
  21. United Nations. United Nations E-Government Survey; United Nations Department of Economics and Social Affairs: New York, NY, USA, 2018; Available online: https://www.un.org/development/desa/publications/2018-un-e-government-survey.html (accessed on 18 June 2019).
  22. D. Capital Partners. Impact Investing in Education: An Overview of the Current Landscape; Open Society Foundation: New York, NY, USA, 2013; Available online: https://www.opensocietyfoundations.org/publications/impact-investing-education-overview-current-landscape (accessed on 15 November 2019).
  23. Lim, C.; Kye, B. Classroom Revolution through SMART Education in the Republic of Korea; UNESCO: Paris, France, 2019. [Google Scholar]
  24. IBM Australia. Smart Education Australia; IBM: Sydney, Australia, 2012. [Google Scholar]
  25. Vlachopoulos, D. Covid-19: Threat or Opportunity for Online Education? High. Learn. Res. Commun. 2020, 10, 16–19. [Google Scholar]
  26. Martin, A.; Alario-Hoyos, C.; Kloos, C.D. Smart education: A Review and future research directions. Proceedings 2019, 31, 57. [Google Scholar] [CrossRef]
  27. Kats, Y. Learning Management System Technologies and Software Solution for Online Teaching Tools &Applications; Information Science Reference: New York, NY, USA, 2010. [Google Scholar]
  28. Lin, J.; Pu, H.; Li, Y.; Lian, J. Intelligent Recommendation System for Course Selection in Smart Education. In 2017 International Conference on Identification, Information, & Knowledge in the Internet of Things; Science Direct, Procedia Computer Science; Elsevier: Amsterdam, The Netherlands, 2018; pp. 449–453. [Google Scholar]
  29. Bajaj, R.; Sharma, V. Smart Education with artificial intelligence based determination of learning styles. Procedia Comput. Sci. 2018, 132, 834–842. [Google Scholar] [CrossRef]
  30. Basset, M.; Manogaran, G.; Mohamed, M.; Rushdy, E. Internet of things in Smart Education environment: Supportive framework in the decision-making process. Concurr. Comput. Pract. Exp. 2018, 31, e4515. Available online: https://www.researchgate.net/publication/324952543_Internet_of_things_in_smart_education_environment_Supportive_framework_in_the_decision-making_process (accessed on 12 December 2019). [CrossRef]
  31. Finogeev, A.; Kravets, A.; Deev, M.; Bershadsky, A.; Gamidullaeva, L. Life-cycle management of educational programs & resources in a smart learning environment. Smart Learn. Environ. 2018, 5, 1–10. [Google Scholar]
  32. Choi, B.; Song, S.; Zaman, R. Smart Education: Opportunities and Challenges Induced by COVID-19 Pandemic: A Survey-Based Study. In Proceedings of the 2020 IEEE International Smart Cities Conference (ISC2), Piscataway, NJ, USA, 28 September–1 October 2020; pp. 1–8. [Google Scholar]
  33. Xu, D.; Xu, Y. The Ambivalence about distance learning in higher Education. In Handbook of Theory and Research; Perna, L., Ed.; Springer: Berlin/Heidelberg, Germany, 2020; pp. 1–52. [Google Scholar]
  34. Sa, M.; Serpa, S. The Covid-19 Pandemic as an opportunity to foster the sustainable development of teaching in higher education. Sustainability 2020, 12, 8525. [Google Scholar] [CrossRef]
  35. Giovannella, C.; Passarelli, M.; Persico, D. The Effects of the Covid-19 Pandemic on Italian Learning Ecosystems: The School Teachers’ Perspective at the Steady State. Interact. Des. Archit. J. 2020, 44, 264–286. [Google Scholar]
  36. Milovanović, A.; Kostić, M.; Zorić, A.; Đorđević, A.; Pešić, M.; Bugarski, J.; Todorović, D.; Sokolović, N.; Josifovski, A. Transferring covid-19 challenges into learning Potentials: Online workshops in architectural education. Sustainability 2020, 12, 7024. [Google Scholar] [CrossRef]
  37. Uskov, V.; Howlett, R.; Jain, L. Smart education and e-learning 2020. In Proceedings of the 7th International KES Conference on Smart Education and Learning, Split, Croatia, 17–19 June 2020. [Google Scholar]
  38. Hanafi, Z.; Noor, F. Relationship between demographic factors and emerging adult’s academic achievement. Int. J. Acad. Res. Bus. Soc. Sci. 2016, 6, 2222–6990. [Google Scholar]
  39. Momani, M.; Alshaikhi, T.; Al-Inizi, T. The obstacles of using smart board in teaching english at Tabuk secondary schools. Asian J. Educ. Res. 2016, 4, 22–39. [Google Scholar]
  40. Plumb, M.; Kautz, K. Retrieved from Barriers to the Integration of IT within Early Childhood Education and Care Organizations: A Review of the Literature; Australasian Conference of Information Systems: Sydney, Australia, 2015; Available online: https://www.semanticscholar.org/paper/Barriers-to-the-Integration-of-Information-within-A-Plumb-Kautz/022c2cc8c95862a33b2d528bf5660b8ac4004598 (accessed on 7 September 2020).
  41. Lim, C.; Chai, C.; Churchill, D. A framework for developing pre-service teacher’s competence in using technologies to enhance teaching & learning. Educ. Media Int. 2011, 48, 69–83. [Google Scholar]
  42. Seuwou, P.; Banissi, E.; Ubakanma, G.; Sharif, M.; Healey, A. Actor-Network Theory as a Framework to Analyse Technology Acceptance Model’s External Variables: The Case of Autonomous Vehicles. In Global Security, Safety and Sustainability—The Security Challenges of the Connected WorldICGS3 2017 Proceedings; Jahankhani, H., Carlile, A., Emm, D., Hosseinian-Far, A., Brown, G., Sexton, G., Jamal, A., Eds.; Springer International Publishing: New York, NY, USA, 2017. [Google Scholar]
  43. Fenwick, T.; Edwards, R. Actor-Network in Education; Routledge: New York, NY, USA, 2010. [Google Scholar]
  44. Bencherki, N. Actor-network theory. Int. Encycl. Organ. Commun. 2017, 23, 1–3. [Google Scholar]
  45. Lambert, L. Lasting leadership: A study of high leadership capacity schools. Educ. Forum 2006, 70, 238–254. [Google Scholar] [CrossRef]
  46. Alketbi, H. An Evaluation of E-Government Effectiveness in Dubai Smart Government Departments. Ph.D. Thesis, Southampton Solent University, Southampton, UK, 2018. Available online: https://www.semanticscholar.org/paper/An-evaluation-of-e-government-effectiveness-in-Alketbi/09179462853148a21987b1c9685598b022f6a68d (accessed on 12 December 2019).
  47. Kakabadse, A.; Abdulla, M.; Abouchakra, R.; Jawad, A. Leading Smart Transformation: A Roadmap for World-Class Government; Palgrave Macmillan: New York, NY, USA, 2014. [Google Scholar]
  48. Lee, S.; Trimi, S. Innovation for creating a smart future. J. Innov. Knowl. 2018, 3, 1–8. [Google Scholar] [CrossRef]
  49. Price, J. Transforming learning for the smart learning environment: Lessons learned from the intel education initiatives. Smart Learn. Environ. 2015, 2, 1–16.ki. [Google Scholar] [CrossRef]
  50. Folden, R. General Perspective in Learning Management Systems. In Higher Education Institutions & Learning Management Systems: Adoption & Standardization; Babo, R., Azevedo, A., Eds.; Information Science Reference: New York, NY, USA, 2012. [Google Scholar]
  51. Yamoah, E. The Link Between Human Resource Capacity and Job Performance. Int. J. Hum. Resour. Stud. 2014, 4, 139. [Google Scholar] [CrossRef]
  52. Schultz, D.; Schultz, S. Psychology and Work Today: An Introduction to Industrial and Organizational Psychology; Pearson Education Inc.: Upper Saddle River, NJ, USA, 2010. [Google Scholar]
  53. Wairiuko, J.; Nyonje, R.; Omulo, E. Human Resource Capacity and Adoption of E-Government for Improved Service Delivery in Kajiado County, Kenya. Int. J. Bus. Soc. Sci. 2018, 9, 94–110. [Google Scholar] [CrossRef]
  54. Scholl, H.J. Smartness in governance, government, urban environments, and The Internet of Things: An editorial introduction. Inf. Polity 2016, 1, 1–3. [Google Scholar] [CrossRef]
  55. Smith, I. Achieving readiness for organizational change. Libr. Manag. 2005, 26, 408–412. [Google Scholar] [CrossRef]
  56. Kimaro, H. Strategies for developing human resource capacity to support sustainaibility of ICT based health information systems: A case from Tanzania. Electron. J. Inf. Syst. Dev. Ctries. 2006, 26, 1–23. [Google Scholar] [CrossRef]
  57. Park, S.; Ertmer, P. Examining barriers in technology-enhanced problem-based learning: Using a performance support systems approach. Br. J. Educ. Technol. 2008, 39, 631–643. [Google Scholar] [CrossRef]
  58. Leahy, M.; Davis, N.; Lewin, C.; Charania, A.; Nordin, H.; Orlič, D.; Butler, D.; Lopez-Fernadez, O. Smart partnerships to increase equity in education. Educ. Technol. Soc. 2016, 19, 84–98. [Google Scholar]
  59. Jonker, J.; Pennink, B. The Essence of Research Methodologies—A Concise Guide for Master and Ph.D. Students in Management Science; Springer: London, UK, 2010. [Google Scholar]
  60. Saunders, M.; Lewis, P.; Thornhill, A. Research Methods for Business Students; Pearson Education Limited: London, UK, 2019. [Google Scholar]
  61. Caribbean Examination Council. Electronic Testing. 2016. Available online: https://www.cxc.org/electronic-testing/ (accessed on 7 January 2020).
  62. Government of Grenada. Grenada’s Budget Report 2018; Government of Grenada: St. George’s, Grenada, 2018.
  63. Government of Grenada. Grenada’s Budget Report 2019; Government of Grenada: St. George’s, Grenada, 2019.
  64. Shah, V.; Shah, A. Relationship between student perception of school worthiness and demographic factors. Front. Educ. 2018, 3, 45. Available online: https://www.frontiersin.org/articles/10.3389/feduc.2018.00045/full (accessed on 22 April 2020). [CrossRef]
  65. Casanova, F.; Linares, M.; Torre, M.; Carpio, M. Influence of family and socio-demographic variables on students with low academic achievement. Int. J. Exp. Psychol. 2005, 4, 423–435. [Google Scholar] [CrossRef]
  66. Kotze, T. Guidelines on Writing a First Quantitative Academic Article; University of Pretoria: Pretoria, South Africa, 2007. [Google Scholar]
  67. Olaniyi, A. Application of likert scale’s type and cronbach’s alpha analysis in an airport perception study. Sch. J. Appl. Sci. Res. 2019, 2, 01–05. [Google Scholar]
  68. Kumar, R. Research Methodology a Step-by-Step Guide for Beginners; Sage: Washington, DC, USA, 2011. [Google Scholar]
  69. Khawaja, L.; Jan, S.; Shaheen, N. Association of training satisfaction with employee development aspect of job satisfaction. J. Manag. Sci. 2013, 7, 159–178. [Google Scholar]
  70. Sung, S.; Choi, J. Do organizations spend wisely on employees/effects of training and development investments on learning and innovation in organizations. J. Organ. Behav. 2014, 3, 393–412. [Google Scholar] [CrossRef] [PubMed]
  71. Hess, E. Retrieved from Transforming School Education for the Smart Machine Age; Government of New South Wales: Sydney, Australia, 2018. Available online: https://education.nsw.gov.au/teaching-and-learning/education-for-a-changing-world/resource-library/transforming-school-education-for-the-smart-machine-age (accessed on 8 February 2020).
Figure 1. Proposed conceptual framework of the interaction among leadership and human capacities in achieving smart education. Note: LC—leadership capacity; HRC—human resource capacity; I—investment; SE—smart education.
Figure 1. Proposed conceptual framework of the interaction among leadership and human capacities in achieving smart education. Note: LC—leadership capacity; HRC—human resource capacity; I—investment; SE—smart education.
Education 11 00138 g001
Figure 2. A conceptual framework with proposed variable interaction in SE’s implementation.
Figure 2. A conceptual framework with proposed variable interaction in SE’s implementation.
Education 11 00138 g002
Figure 3. Model fit derived from Smart PLS.
Figure 3. Model fit derived from Smart PLS.
Education 11 00138 g003
Table 1. Questionnaire excerpt.
Table 1. Questionnaire excerpt.
Demographics
1. What is your gender?
2. What is your age?
3. What is your highest qualification level?
4. What is your nationality?
5. Which sector are you employed in?
Leadership Capacity: Awareness
Please show the extent to which awareness as a leadership capacity can influence the successful implementation of smart education. Answer on a 1 to 5 scale, where 1 strongly disagrees; 2 disagree, 3 neutral, 4 agree, 5 strongly agree
Leaders clarify the purpose for the adaptation of smart-education to employees. 12345
Leaders create awareness for the urgent need of smart-education implementation.
Leaders create awareness of the progress of smart-education implementation.
Leaders provide the necessary information and opportunity to employees.
Leaders promote hiring skilled workers in ICT.
Leaders sensitize the public about smart educational initiatives
Human Resources Capacity: Knowledge
Please show the extent to which knowledge as a human resources capacity can influence the successful implementation of smart education. Answer on a 1 to 5 scale, where 1 strongly disagrees; 2 disagree, 3 neutral, 4 agree, 5 strongly agree
Skills and knowledge gap analysis are done to ensure that all employees are ready for SE implementation.12345
Provide feedback on SE skills for improvement.
Adequate training for employees across the organization is provided.
Adequate training about SE and its concepts is provided to employees.
Online support, guidelines, and other informational material for employees are available.
Blended learning options are available for employees to improve current skills.
Work experience or participation in ICT training is encouraged.
Table 2. Demographic descriptive results of respondents.
Table 2. Demographic descriptive results of respondents.
VariablesFrequencyPercent
Gender
Female11332.3
Male23667.7
Age range
18–2510931.3
25–305816.7
31–356719.2
36–403710.6
41–45236.6
46–50236.6
50+329.1
Qualification level
Associate degree12435.4
Bachelor9727.8
CoC236.6
Diploma236.6
Masters7220.7
PhD113.0
Sector employed
Private12435.4
Public17550.0
Self-employment5114.5
Total349100.0
Note: CoC—Certificate of Completion.
Table 3. Reliability test results for leadership capacity, human resources capacity, smart education, and additional investments.
Table 3. Reliability test results for leadership capacity, human resources capacity, smart education, and additional investments.
Measured VariablesFactor LoadingsCronbach’s AlphaMeasured VariablesFactor LoadingsCronbach’s AlphaMeasured VariablesFactor LoadingsCronbach’s Alpha
Leadership: AwarenessHuman Resource: AwarenessSmart Education
AL10.8980.922AH10.8220.957SE00.8950.929
AL20.919AH20.871SE10.927
AL30.926AH30.929SE20.884
AL40.893AH40.900SE30.838
AL50.759AH50.910SE40.871
AL60.875AH60.918
AH70.890
Leadership: ReadinessHuman Resource: KnowledgeAdditional Investments
R10.8710.922K10.9030.961AI10.8940.959
R20.785K20.895AI20.937
R30.875K30.927AI30.940
R40.788K40.926AI40.935
R50.719K50.910AI50.925
R60.862K60.918
R7 0.872K7 0.827
Leadership: MotivationHuman Resource: Motivation
ML10.8860.950MH10.8680.972
ML30.922MH30.929
ML40.867MH40.928
ML50.821MH50.938
ML60.872MH60.915
ML7 0.857MH7 0.941
MH80.867
Note. AL = awareness in leadership, RL = readiness in leadership, ML = motivation in leadership, AH = awareness in HR, KH = knowledge in HR, MH = motivation in HR, SE = smart education, AI = additional investments.
Table 4. An excerpt of Pearson correlation validity test results (leadership awareness).
Table 4. An excerpt of Pearson correlation validity test results (leadership awareness).
StatementsAL1AL2AL3AL4AL5AL6AL7
AL11
AL20.797 **1
AL30.781 **0.850 **1
AL40.772 **0.773 **0.795 **1
AL50.570 **0.619 **0.635 **0.617 **1
AL60.699 **0.661 **0.722 **0.662 **0.607 **1
AL70.756 **0.702 **0.730 **0.698 **0.591 **0.669 **1
** Correlation is significant at the 0.01 level (2-tailed).
Table 5. An excerpt of Pearson correlation validity test results (leadership motivation).
Table 5. An excerpt of Pearson correlation validity test results (leadership motivation).
StatementsML1ML2ML3ML4ML5ML6
ML11
ML20.834 **1
ML30.749 **0.799 **1
ML40.674 **0.724 **0.679 **1
ML50.719 **0.749 **0.702 **0.683 **1
ML60.703 **0.731 **0.673 **0.701 **0.763 **1
** Correlation is significant at the 0.01 level (2-tailed).
Table 6. One-way analysis of variance of leadership on smart education.
Table 6. One-way analysis of variance of leadership on smart education.
SourceDfSSMSFp
Between Groups30.1140.0380.2920.031
Within Groups34123.6480.131
Total34523.762
Note. df = degree of freedom, SS = sum of squares, MS = mean square. p ≤ 0.05.
Table 7. One-way analysis of variance of human resource on smart education.
Table 7. One-way analysis of variance of human resource on smart education.
SourcedfSSMSFp
Between groups20.0510.0250.1980.020
Within groups34323.8010.128
Total34623.852
Note. df = degree of freedom, SS = sum of squares, MS = mean square. p ≤ 0.05.
Table 8. Pearson correlation result of leadership and human resource on smart education.
Table 8. Pearson correlation result of leadership and human resource on smart education.
VariableSmart EducationHR on Smart EducationLeadership on Smart Education
Smart education1
HR on smart education0.0191
Leadership on smart education0.067−0.1031
Table 9. One-way analysis of variance of investment moderating the effect of leadership and human resource on smart education.
Table 9. One-way analysis of variance of investment moderating the effect of leadership and human resource on smart education.
SourcedfSSMSFp
Between groups30.7330.2440.5380.657
Within groups34679.9950.455
Total34980.728
Between groups41.7430.5811.2430.296
Within groups34084.1210.467
Total34385.864
Note. df = degree of freedom, SS = sum of squares, MS = mean square. p ≤ 0.05.
Table 10. Pearson correlation results for investment moderating the effect of leadership and human resources on smart education.
Table 10. Pearson correlation results for investment moderating the effect of leadership and human resources on smart education.
VariableInvestmentSmart Education
Investment1−0.057
Smart sducation−0.0571
Table 11. Model summary of regression.
Table 11. Model summary of regression.
ModelRR SquareAdjusted R SquareStd. Error of the Estimate
10.397 a0.1570.0780.32150
Note. a Predictors: (Constant), Leadership, HR.
Table 12. ANOVA analysis of regression model’s summary.
Table 12. ANOVA analysis of regression model’s summary.
ModelDfSSMSFp
Regression122.4720.2061.9930.030 b
Residual12813.2300.103
Total14015.702
Note. Dependent variable: SE, b Predictors: (Constant), Leadership, and HR.
Table 13. Summary of regression coefficients’ result.
Table 13. Summary of regression coefficients’ result.
ModelUnstandardized CoefficientsStandardized CoefficientstSig.
BStd. ErrorBeta
1(Constant)10.0600.191 50.5640.000
Re0.0300.0580.0820.5240.040
AWE0.0170.0740.0500.2350.038
Mo0.0310.0640.0910.4810.003
AHR0.0950.0390.32020.4320.002
Know0.0080.0540.0250.1380.036
MHR0.0940.0580.31810.6270.006
Gender−0.0380.061−0.053−0.6290.531
Age range−0.0350.016−0.205−20.1550.033
Employment status−0.0190.022−0.080−0.8690.387
Demographic00.0500.0700.0600.70000.485
Investment 1−0.0730.020−0.300−30.6050.000
Investment 20.0200.0280.0600.7100.048
Investment 30.0300.0350.0710.8430.401
Note. Dependent variable: SE. Leadership tenets: Re (readiness), AWE (awareness), Mo (motivation). HR Tenets: AHR (awareness), know (knowledge), MHR (motivation).
Table 14. Construct of structural model and hypothesis testing.
Table 14. Construct of structural model and hypothesis testing.
Constructs and HypothesesCoef.Mt-Valuep-Value
Leadership capacity -> smart education0.7990.01179.7110.000
HRC -> smart education0.2440.04612.2820.000
Investment -> smart edu.−0.1370.0831.6500.100
HRC-Inv-SmaEdu -> smart edu.0.0530.0291.8020.072
LC-Inv-SmaEdu. -> smart edu.−0.0620.0351.7450.082
Notes: HRC—human resources capacity, LC—leadership capacity, Inv—investment, Coef—coefficient, M—mean.
Publisher’s Note: MDPI stays neutral with regard to jurisdictional claims in published maps and institutional affiliations.

Share and Cite

MDPI and ACS Style

Wang, X.; Wilson, J.; Li, W. An Empirical Investigation of Leadership and Human Resources Capacities as Key Actors in the Implementation of Smart Education. Educ. Sci. 2021, 11, 138. https://doi.org/10.3390/educsci11030138

AMA Style

Wang X, Wilson J, Li W. An Empirical Investigation of Leadership and Human Resources Capacities as Key Actors in the Implementation of Smart Education. Education Sciences. 2021; 11(3):138. https://doi.org/10.3390/educsci11030138

Chicago/Turabian Style

Wang, Xuhui, Jonela Wilson, and Wenjing Li. 2021. "An Empirical Investigation of Leadership and Human Resources Capacities as Key Actors in the Implementation of Smart Education" Education Sciences 11, no. 3: 138. https://doi.org/10.3390/educsci11030138

APA Style

Wang, X., Wilson, J., & Li, W. (2021). An Empirical Investigation of Leadership and Human Resources Capacities as Key Actors in the Implementation of Smart Education. Education Sciences, 11(3), 138. https://doi.org/10.3390/educsci11030138

Note that from the first issue of 2016, this journal uses article numbers instead of page numbers. See further details here.

Article Metrics

Back to TopTop