Next Article in Journal
Convergence and Heterogeneity in Euro Based Economies: Stability and Dynamics
Next Article in Special Issue
Why Migrate: For Study or for Work?
Previous Article in Journal
Influence Determination of Social Responsibility to the Productivity Enterprise Activity Level
 
 
Font Type:
Arial Georgia Verdana
Font Size:
Aa Aa Aa
Line Spacing:
Column Width:
Background:
Article

The Formation of Immigrant Networks in the Short and the Long Run †

by
Gil S. Epstein
1,2,4 and
Odelia Heizler-Cohen
3,4,*
1
Department of Economics, Bar-Ilan University, Ramat-Gan 52900, Israel
2
Center for Research and Analysis of Migration (CReAM), University College London (UCL), London WC1H 0AX, UK
3
Tel-Aviv-Yaffo Academic College, Tel-Aviv-Yaffo 6818211, Israel
4
Institute of the Study of Labor (IZA), Bonn 53229, Germany
*
Author to whom correspondence should be addressed.
This paper is based on parts of IZA working paper No. 4234. We expand this paper by focusing on the short run versus the long run.
Economies 2016, 4(3), 15; https://doi.org/10.3390/economies4030015
Submission received: 16 November 2015 / Revised: 18 July 2016 / Accepted: 27 July 2016 / Published: 30 July 2016
(This article belongs to the Special Issue Long-Run Economic Impacts of International Migration)

Abstract

:
In this paper, we present a formal framework of possible network formations among immigrants. After arriving in the new country, one of the new immigrant’s important decisions is with whom to maintain a link in the foreign country. We find that the behavior of the first two immigrants affects all those who come after them. We also find that in the long run, under specific conditions, the first immigrant will become the leader of the immigrant society. Over time, as the stock of immigrants in the host country increases, the investment in the link with the leader will increase as well.
JEL Classifications:
J15; F22; A14

1. Introduction

Numerous studies have demonstrated that immigrants tend to settle in ethnic concentrations (see, for instance, Church and King, 1983 [1]; Bartel, 1989 [2]; Borjas, 1998 [3]; Bauer, Epstein, and Gang 2005 [4]). Once the first immigrant settles in a certain location, future immigrants are no longer indifferent about destinations. As the stock of immigrants increases, the cost of subsequent immigrants decreases (see Massey, 1987 [5] and Carrington et al., 1996 [6]). This is because previous immigrants provide the new immigrant with social support, job-search assistance, help in finding accommodations and information on the alien environment and the local culture.
One of the important decisions that the immigrant has to make regards the creation of his/her link formation with the migrants’ society as well as with the natives’ society. Empirical evidence is accumulating in the literature from a large range of countries with respect to the effect of ethnic identification on migration outcomes—such as participation in the labor market, income and household ownership. Constant, Gataullina, and Zimmermann (2009) [7] developed the ethnosizer, a measure of the intensity of the individual’s ethnic identity with respect to his or her host country and source country’s societies. The ethnosizer classifies immigrants into one of four states of ethnic identification: integration, assimilation, separation or marginalization. Using this method, Constant, Kahanec, Rinne, and Zimmermann (2011) [8] found that separated migrants have a relatively slow re-integration into the labor market. Zimmermann (2007) [9] showed that if male and female migrants are fully integrated, their earnings grow dramatically, while the increase in females’ earnings is higher. Epstein and Heizler (2015) [10] presented a theoretical model that explains the connection between ethnic identification (such as assimilation, integration, segregation and marginalization) and the migration’s economic and social outcomes.
A large number of studies have shown that social networks, such as friends and relatives, play a major role in job searches with regard to both natives and immigrants. The empirical evidence reveals that in many countries, such as the U.S., informal search methods are a key determinant of labor prospects (for a survey, see Montgomery, 1991 [11]; Ioannides and Loury, 2004 [12]). However, a new immigrant in an unfamiliar environment does not know the local language or customs of the host society. Thus, social networks play an important role for the new immigrants. Kahanec and Mendola (2007) [13] examined the effect of social networks on labor market status, and showed that the role of social networks may be especially pronounced for immigrants from minority groups.
In many cases, immigrants speak different languages and have different customs than the natives. The cost of forming links within their groups is lower than the cost of forming links across various groups, thus friendships are more likely to be formed within the same race. For example, Mayer and Puller (2008) [14] who investigated the structure and composition of social networks on university campuses. They found that the ratio of Asians among friends of an Asian student is around seven times higher than their ratio in the total student population. The proportion of African Americans among friends of African Americans is between 4.5 and 15 times their proportion in the overall population. The friendship networks are not identical for all ethnic groups and further depend on relative group size. Quillian and Campbell (2003) [15] found that own-group friend selection intensifies for students in small racial minorities using data of students in grades 7 to 12 in a school in the U.S. The level of social segregation in a neighborhood, school, or at work also affects social networks (see, for example, Mouw and Entwisle, 2006 [16]).
Recently, Epstein and Heizler (2016) [17] presented theoretical model of possible types of network formation among immigrants in the diaspora and between those immigrants and the natives. They examined the applications of network structure in the country of origin and the host country, such as for international trade. Comola and Mendola (2015) [18] examined empirically the network formation among immigrants in a host society using data from Milan. They found that the time of arrival has a U-shaped effect on the establishment of links: for example, links are more frequent between immigrants who arrive at the same time, and between long-established immigrants and newcomers.
Social networks affect not only the individual’s economic outcomes, but also his/her social behavior. For example, Steglich, Snijders, and Pearson (2010) [19] examined how social networks influence smoking and alcohol consumption using a new method for analyzing the coevolution of social networks and changing characteristics of the players in the network. They showed how pairs of players change their behavior relative to each other, setting off pairs with a friendship tie against pairs without a friendship tie at the beginning of the period. Snijders, Steglich, and Schweinberger (2007) [20] examined the relationship between individual behavior and individual actions on the one hand, and the embeddedness of individuals in social structures on the other. They also presented the dynamics of friendship and alcohol consumption. Social networks also provide the individual with social support (e.g., help with tasks), informal support (e.g., advice) and emotional support, as well as reducing stress. Thus, social networks affect health-related behaviors at different stages throughout life (see for example, Umberson, 2010 [21]).
In this paper, we set out a formal framework of possible network formations of immigrants in the receiving country in the long run. We discuss the implication of each structure on the host country’s economy and society. We further examine the long-run effect of links, given that the immigrant’s benefits from the networks decrease over time, as a result of the assimilation process. In constant to Steglich et al. (2010) [19], Snijders et al. (2007) [20], Epstein and Heizler (2016) [17] and others who examined the social process evolving over time, in this paper the agent determines the level of the investment in social networks. Furthermore, this paper focuses on network formation within the immigrant society, whereas Epstein and Heizler (2016) [17] studied the network formation between the diaspora and local people.
The paper proceeds as follows. A model of network formation among immigrants is presented in Section 2. Section 3 presents extensions, such as a limited number of links, both agents bearing the cost of link formation, and the case of benefit decreases over time. The final section offers a discussion and concludes.

2. The Model

Consider a new immigrant in an unfamiliar environment. The immigrant does not know the foreign location, the local language or the customs of the host society. The immigrant needs assistance to become familiar with the new environment and to find accommodation and a job. If, in the host country, there are migrants from the same origin who arrived earlier in time, they will most probably be able to provide the new migrant with ethnic networks, i.e., the necessary help to assimilate in the new location.
The immigrant can form a link with the natives, but is more likely to form a link with immigrants from his/her source country who have already settled in the new location. There are many different approaches to this phenomena. The economic reason for this is that the cost of forming links within groups is lower than that of forming links across groups (see Galeotti, Goyal, and Kamphorst 2006 [22]). In many cases, immigrants speak a different language and have different customs than the natives. Thus, the immigrant must invest a higher effort to acquire the local language and to form a link with the natives. Windzio and Bicer (2013) [23] indicated that ethnic segregation affects the cost of networks via parameters such as leisure time spent together, visits to one another’s homes, and contact between children’s parents.
The sociological reason for choosing to form a link with same-origin immigrants is “ethnic homophily”, i.e., ties are selected in part based on similarity between the agents (see for example Snijders et al., 2010 [24]). Smith, Maas, and van Tubergen (2014) [25] showed that adolescents tend to have friends who are of similar ethnicity, with similar cultural and socioeconomic characteristics, using data of secondary school classes in England, Germany, the Netherlands and Sweden. However, they did not find evidence for ethnic homophily being explained by cultural and socioeconomic homophily. Leszczensky and Pink (2014) [26] showed that ethnic homophily is more pronounced for friendships between classrooms than for those within classrooms using data of adolescents in Germany.
The sociological literature offers an additional reason for creating links with similar partners, termed “contact theory” (see Moody, 2007 [27]). This theory states that the greater the individual opportunities for people to meet, the greater the likelihood that relationships will form. The friendship is based on status equality of the participants and on a common goal. These characteristics are compatible with migration. Another reason to prefer a link with a similar individual is the exposure effect, i.e., outgroup exposure in the neighborhood may also dampen preferences for same-ethnic friendship and may decrease the same-ethnic friendship preferences (see Kruse et al., 2016 [28]). However, in our model, the immigrants have just arrived and are not exposed to outgroup neighbors.
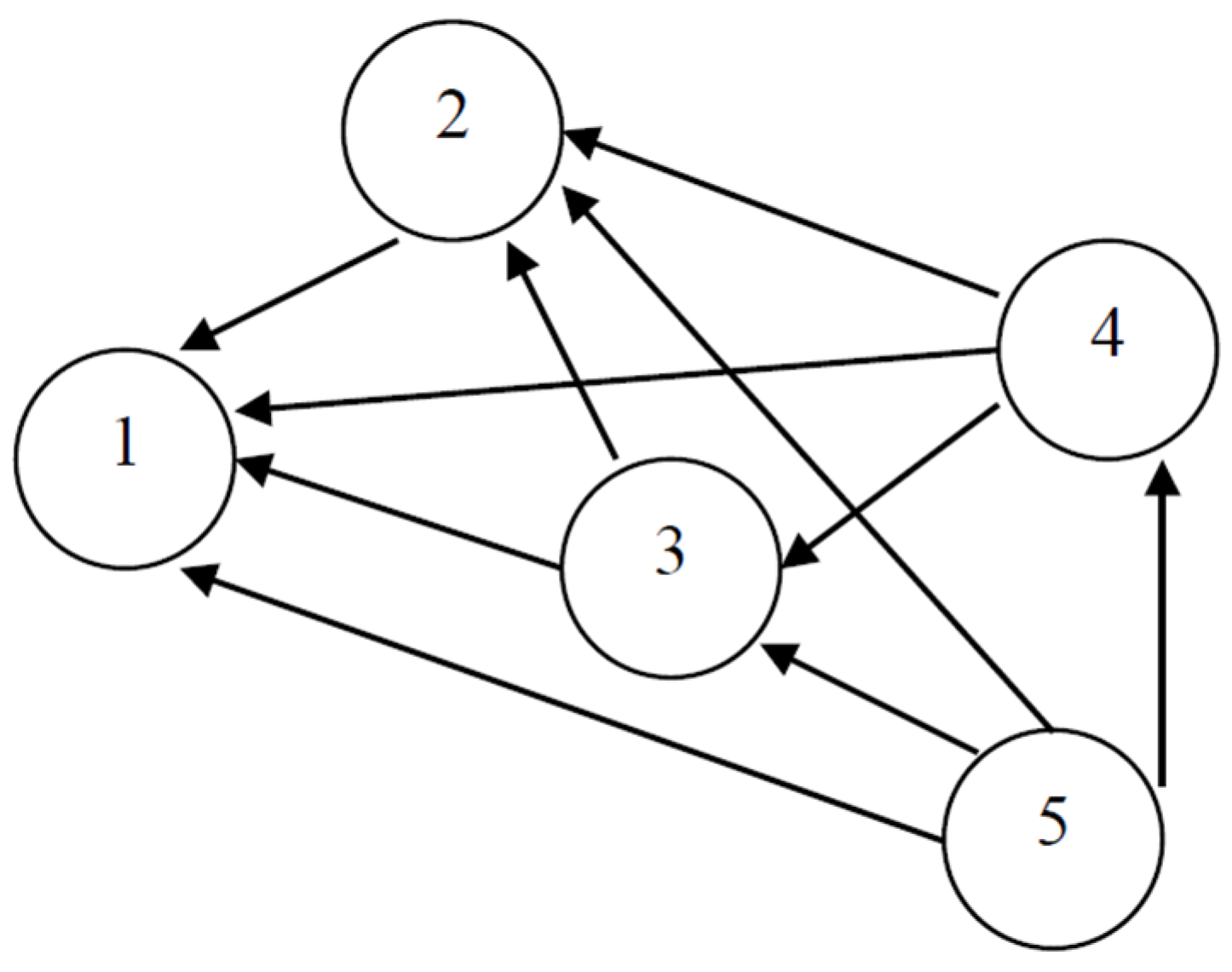
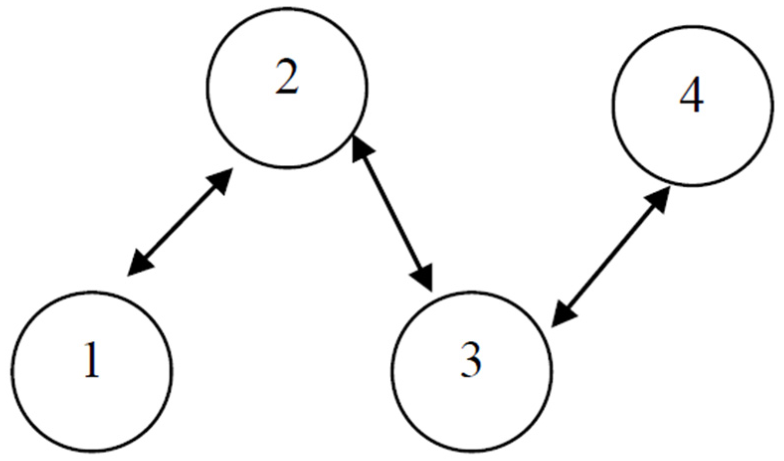
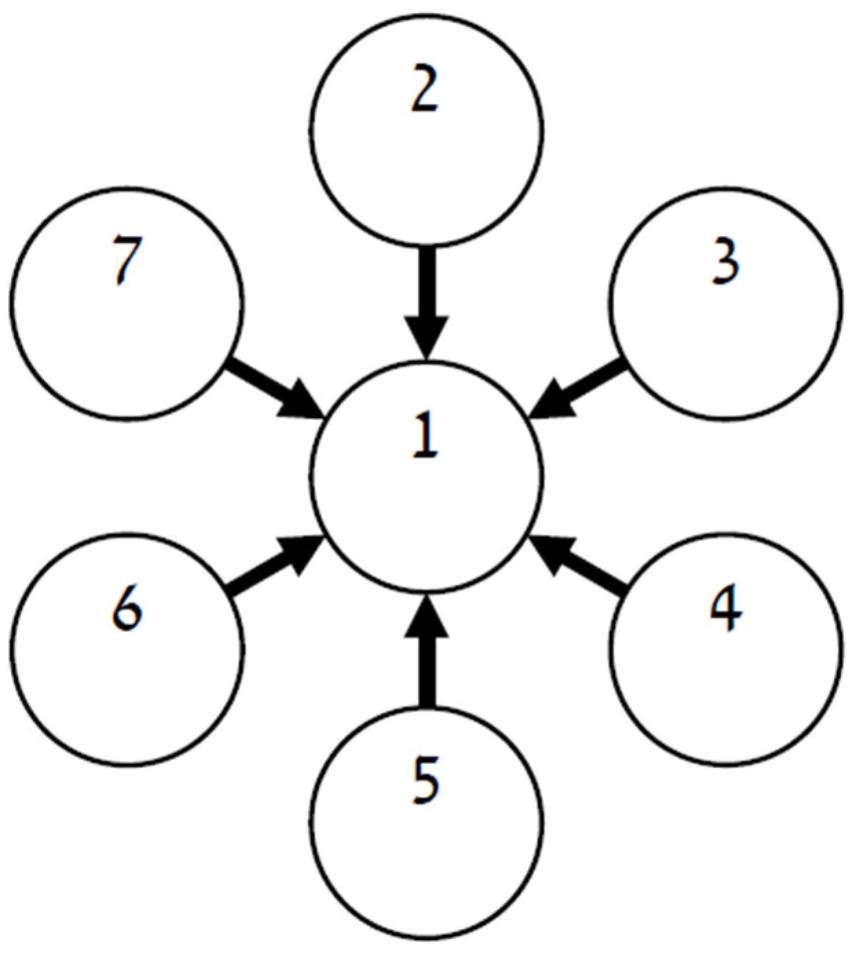
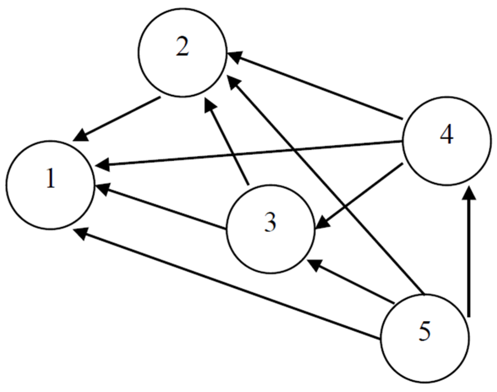
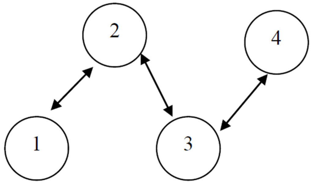
Social relationships come in many shapes and sizes, and there is no single model that encompasses them all (for a comprehensive review, see Jackson, 2003 [29]). The main network structures addressed in this paper are “empty network”—this occurs when nobody forms a link with anyone else; “full network”—in this scenario, each agent (or immigrant) forms links with all of the previously arrived agents (immigrants). Thus, agent i benefits from i 1 direct links (see Figure 1); “star network”—in this scenario, each agent (or immigrant) only invests in a single central agent and enjoys his/her links (Figure 2).
We consider a finite set of homogeneous immigrants N = { 1 , 2 , i , , n } who join the society at different times, such that there exists a time gap between them1. The new immigrant, i N , must decide how many agents he/she wishes to maintain links with or, in other words, how many friends he/she wants. The friendship decisions are made sequentially, with people joining the society (or the new place) at a given stage or age in their lives (so that people of different ages make decisions at different times). The information is complete, i.e., when a new immigrant joins the group, he/she is aware of the friendship links between the group’s members and his/her decision is based on this common knowledge. However, the immigrant does not have complete information about the future because the migration policy can change and the flow of immigrants to the destination country can cease2.
The benefit from the friendship link equals u , but requires investment of non-financial and financial resources, such as time and money, on the others’ part. Following Bala and Goyal (2000 [30], 2000 [31]), we assume that the costs of link formations are incurred only by the agent who initiates the link (one-sided and non-cooperative link formation), but both agents benefit from the friendship (two-way flow model). Hence, if one individual connects to another agent, he/she will incur the linking cost3. When the new immigrant creates a link with a previous immigrant, both immigrants benefit from the relationship. For example, the immigrant who arrived first can employ the newcomer and supply him/her with more information on the host society. However, the latter benefits more than the former. Thus the new immigrant incurs the linkage cost.
We follow Watts (2001 [32], 2002 [33]) and Jackson and Watts (2002) [34] and consider myopic behavior, i.e., the immigrants do not forecast how their decision to add or sever a link will affect future decisions of others. As stated by these authors, such myopic behavior is natural in the context of large networks. In addition, the agents have limited information about the number of future agents who may or could join the group. For example, a member of a minority group does not know when the flow of immigrants to the destination country will cease, due, for example, to a reform in migration policy. Furthermore, Jackson (2003) [29], in a literature review of experiments that compared myopic versus forward-looking behavior in networks, stated that there is little evidence of forward-looking behavior, even in environments designed to elicit it4.
We assume that the immigrants’ investment is not only a binary action (i.e., to form a link or not), but also endogenous (see, for example, Brueckner, 2006 [35]; Bloch and Dutta, 2009 [36]). This means that the investment in creating a friendship connection is not constant and known, and each immigrant decides how much effort to invest in the link. As the immigrant increases his effort, e i , j , the benefits from the friendship grow, on the one hand because the strength of his/her link with the other immigrant increases, and on the other because his/her financial and non-financial costs increase. We also assume that the distance between the links is limited to 2. This means that the agent can benefit from a friend and the friends of that friend. We ignore the benefit from friends of a friend of the friend because it is negligible.
Denote the benefit from a friendship link by u and the effort that is invested in agent number j by agent number i by e i , j . Following Epstein and Gang (2009) [37], the intensity (or strength) of the relationship between i and j depends on the investment e: p ( e i , j ) 5. This intensity depends on the investment in the relationship and satisfies 0 p ( e i , j ) < 1 , 0 e i , j < , p ( 0 ) = 0 , ( lim P ( e i , j ) e i , j ) 1 , 2 p ( e i , j ) e i , j 2 < 0 , (see Figure 3)6. For example, p ( e i , j ) = 1 exp ( e i , j a ) , a > 0 (see Figure 4 for an illustration).
Consider a sequence of homogeneous immigrants who join the country over each given period of time. The second immigrant faces the following possibilities: (a) not to form a link; (b) to form a link with the first immigrant. If the second immigrant chooses (a), then the cost is higher than the benefit, thus an empty network is obtained.
Let us now consider different structures of network formations assuming that the second immigrant chooses possibility (b). This implies that the benefit from the friendship is higher than the investment, that is:
B 2 = p ( e 2 , 1 * ) u e 2 , 1 * > 0
where e 2 , 1 * denotes the second immigrant’s optimal investment in the first immigrant.
The third immigrant faces two options: to invest in a friendship with one immigrant and benefit from an indirect link with the other, or to invest in friendships with both immigrants and benefit from two direct links. The fourth immigrant faces three possibilities: to invest in one, two or three agents, and so forth. On the face of it, the number of possibilities seems to increase with group size, but as will be seen in the following propositions, some possibilities are not valid.
Lemma 1: 
If the second and third immigrants form a link with the same immigrant but not with each other, then all future immigrants who arrive will invest in the same immigrant and a star network will be created.
Proof: 
Denote the effort in a star network by es and the central agent by 1. In period N the utility of individual i      i 3 in a star network will be7:
B i = p ( e i , 1 s ) ( u + j = 2 , j i j = N p ( e j , 1 s ) u ) e i , 1 s
The optimal effort of individual i who is invested in the relationship with the central agent satisfies:
B i e i , 1 s = 0 p ( e i , 1 s ) e i , 1 s = 1 u + j = 2 , j i j = N p ( e j , 1 s ) u
Proposition 1: 
In the formation of a star network, the intensity of the agentsrelationships with the central agent increases in every period.
Proof: 
In the star network structure, each immigrant who joins the country creates a link with the central agent, the star “hub” to provide for basic and immediate needs, such as finding an apartment and a job in the new country. Each immigrant derives more benefit than the previous immigrants, because more immigrants are connected to the central agent. In the long run, it is expected that the hub of the star, the central agent, will become the local leader of the group. In the long run, the stock of migrants in the new country will increase, personal linkages with the central agent will become more beneficial and the migrants’ investment in the central agent will grow. The central agent bases his/her position and becomes a social and political leader of the immigrants. The central agent will play a crucial role in the immigrants’ ability to communicate with the host society. The local people can also benefit from the linkage with the central agent, who is familiar with the host society, as well as with his or her home society and has knowledge of his/her home country’s market sources, such as laws and regulations, and of differences in culture and in ways of doing business. The central agent can mediate between the home society and the local society on issues such as international trade between the host country and the home country. The two societies can receive benefits in such a structure. Kelly (2003) [39], who examined the Bosnian refugees in Britain, presented an example of the immigrant leader’s role. He found that the community leaders, who are rarely elected or democratically chosen, convey the needs of the group to others.
A good example of the emergence of a leader in the long run is the parties of immigrants from the former USSR in Israel. A massive immigration wave from the former USSR to Israel began in 1990, but it is only in the long run, in 1996 and 1999, that the first and second immigrant parties were established, respectively (see Hazan and Rahat, 2000 [40]). The immigrants parties’ leaders, Natan Sharansky and Avigdor Lieberman, as the first immigrants from the former USSR to Israel, assimilated in Israeli society and connected between the immigrants and the natives.
In his famous book, Barabási (2003) [41] described a similar mechanism for creating the hub of the star. In his system, in every period, a new node (or agent) joins the networks and can establish two links. Rich people get richer, i.e., new agents prefer to attach to the more connected agents (or nodes). The first node (or agent) will thus be the richest, since this node has had a longer time to collect links. The poorest node will be the last one to join the system, with only two links.
Barabási (2003) [41] also referred to the effect of the central agent (termed connector) on the group. The connector is defined as the node (or agent) with an anomalous number of links; he/she is an extremely important component in social networks. According to Barabási (2003) [41], the connector creates trends and fashions and affects his/her society. In our model, the central agent can affect the attitude of the immigrants toward the natives via his/her attitude toward the natives. The leader can also affect the immigrants’ attitude through his/her relation with the natives. Negative behavior of the central agent can cause xenophobia against all immigrant groups.
Let us examine the optimal investment in the full network. In this structure, each agent forms links with all previous agents. Thus at period N , agent i benefits from N 1 direct links, but he maintains the link only with the i 1 previous agents. All of the agents are identical, hence, the agent invests the same effort in them, i.e., e i , 1 f = e i , 2 f = = e i , i 1 f ( f denotes “full network”).
The utility of individual i is thus given by:
B i = ( i 1 ) ( p ( e i , 1 f ) u e i , 1 f )
From Equation (4) it follows that the optimal effort of the investment of individual i satisfies:
B i e i , 1 f = 0 p ( e i , 1 f ) e i , 1 c = 1 u
As opposed to the star network, the optimal level of effort in the full network, e f , is constant and is independent of the size of the group. In a star network, agent i derives benefit from one direct link and N 2 indirect links via a single investment, whereas in a full network, the agent benefits from one direct link from each investment. It is easy to see from Proposition 1 and Figure 3 that as the number of the members in the group increases, the gap between the investments in the two structures increases as well.
Clearly, because p ( e i , j ) is a concave function, while the benefit from the link, u , is higher, the immigrant’s optimal investment in the link increases. Battu, Seaman, and Zenou (2011) [42], for example, showed theoretically and empirically that less assimilated unemployed ethnic workers are more likely to use their friends and family as their main method of searching for a job instead of formal methods. Thus, it is expected that the less assimilated unemployed ethnic workers, who have a high benefit from the link, u , invest a higher effort in social networks than the more assimilated immigrants.
It should be noted that the sociological literature predicts that living in segregated neighborhoods yields more same-ethnicity friendships (see Kruse et al., 2016 [28]; Mouw and Entwisle, 2006 [16]). In segregated neighborhoods, the short distance between the immigrants creates more opportunities to meet. The cost of effort to form a link, e , versus the intensity of the effort, p ( e ) , is relatively low compared to non-segregeted neighborhoods. Thus, it is expected that the full network structure will be more common in segregated neighborhoods than in mixed ones.
Let us compare the structure of a full network versus a star network and consider long run versus short run. In contrast to the structure of the star network, which in the long run develops leadership, in full structure, there is no leader of the immigrants. Thus, the cost of the local population to associate with the natives is high, and their ability to connect with the natives is lower. It is expected that the ethnic group will be segregated and will not associate with the majority group. The phenomenon of xenophobia will be more common in the full network structure than in the star network structure sins there is no leader who is in connection with the host society. Xenophobia and a negative attitude toward immigrants sometimes occur because the immigrants increase the supply of workers and may take jobs away from the local workers (see Constant et al. 2009 [43]). It is, therefore, expected that in the long run, when the labor supply becomes large, the natives’ negative attitude toward immigrants will increase versus the short run. It is also assumed that in the long term, the immigrants will continue to maintain their ethnic identity and new markets with ethnic goods will be developed.
Snijders et al. (2007) [20] indicated that in many social situations, the behavior and attitudes of individuals follow the patterns of assimilation of others to whom they are tied (for example, community pupils copying the ‘chic’ behavior of their friends at school, or traders in a market copying the allegedly successful behavior of their competitors). It is assumed that the behavior of the immigrants and their identification with the host society influence all immigrants who join the networks. In the full network structure, the effect of the immigrants who have already settled in the country is higher than in the star network, because in the former, each immigrant has more links.
Proposition 2: 
Three possible equilibria exist:
1.
A star network – all immigrants invest only in a central agent 
2.
A full network – each immigrant invests in all previous immigrants 
3.
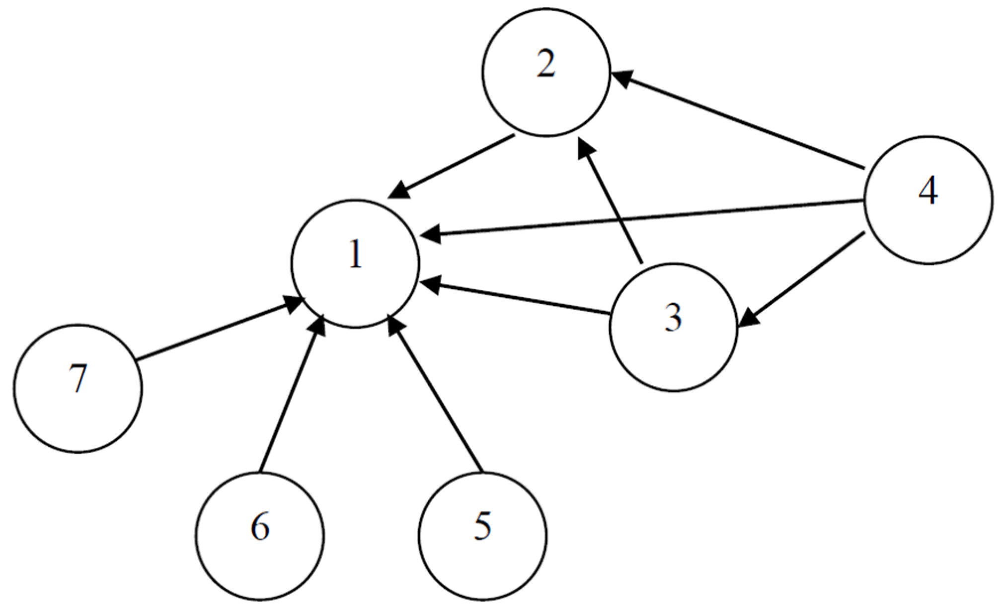
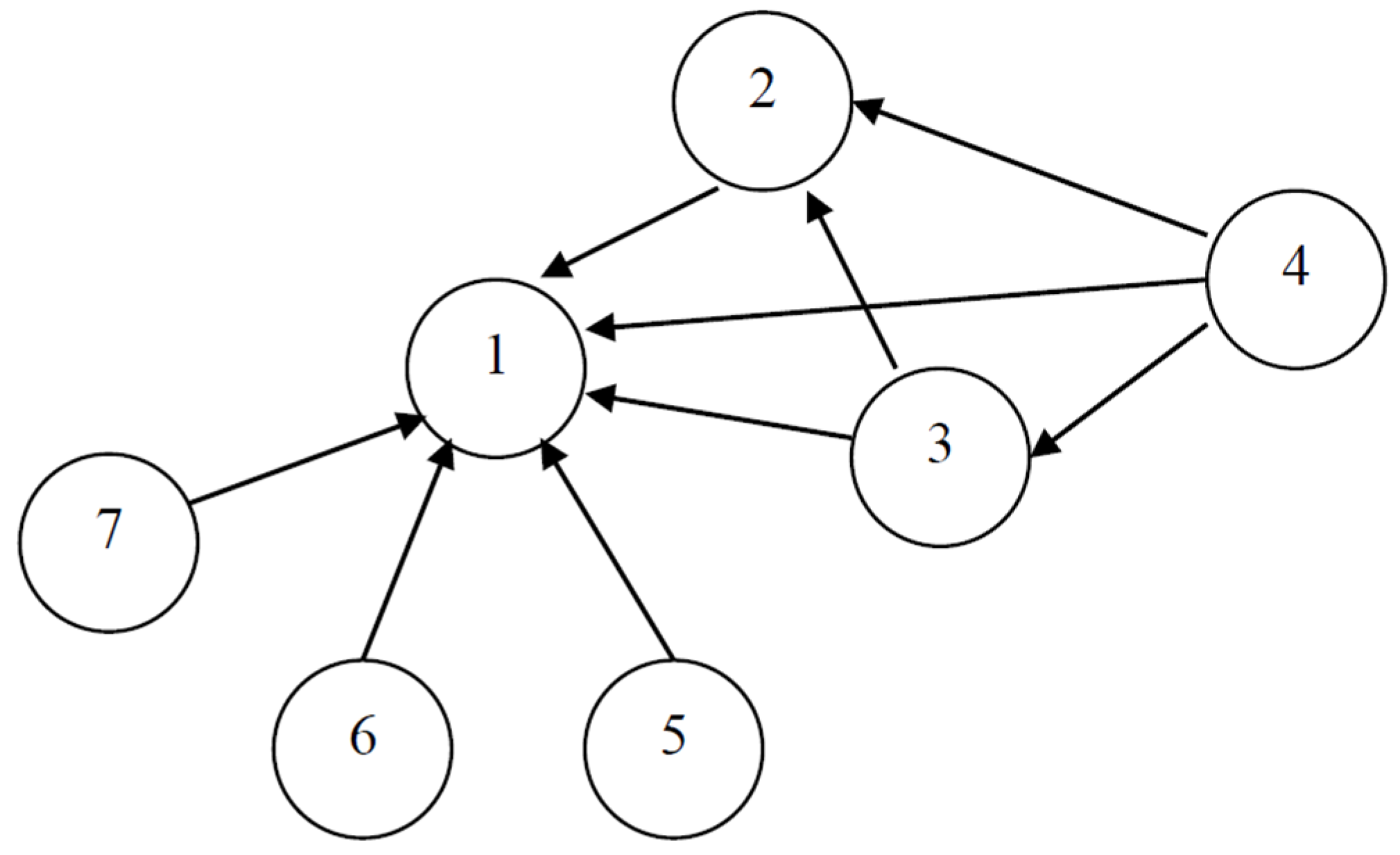
The possibility of moving from a full network to a star network. At the beginning everyone invests in all previous immigrants and from a specific immigrant, all immigrants will invest in a single central agent (Figure 5). 
Proof: 
The star network equilibrium and the full network equilibrium can occur in the short run as well as in the long run, whereas moving from a full network to a star network is only possible in the long run. As shown above, in the long run, the immigrants’ stock increases and the power of the central agent increases as well. The central agent, for example, has more information about labor market opportunities and can mediate between the new immigrant and the immigrant who seeks worker. Thus, the future immigrant can receive higher benefits by investing in one linkage. It is clear that the optimal investment in a linkage with the central agent will be higher than the investment in one agent in the full network. Each immigrant from those who arrived in the past may become the central agent, while the immigrant that has been in the host country the longest has more contacts and information, and thus will probably become a leader.

3. Extensions

3.1. Limited Number of Links

In the short run, the number of immigrants in the destination country is small. Over time, however, the stock of immigrants in the destination country increases. Thus, it is possible that in the long run many immigrants will settle in the destination country, and the newcomer will not be able to create links with all previous immigrants. Let us examine the network structures with a limited number of links.
It is assumed, for simplicity, that the time that the immigrant can devote to creating social networks, T ¯ , is fixed. Denote the optimal investment in each agent in the full network by e * and the number of possible links by k . Clearly, k = T ¯ e * .
In period k + 1 , the utility of individual i      i k + 1 in a full network will be:
B i = p ( e * ) ( ( k u + p ( e * ) ( i k ) u ) k e *
Equation (6) will be valid for all future immigrants; each immigrant in period k + i will benefit from k direct links and i 1 indirect links8. Figure 6 demonstrates this: in this example, the number of links is limited to 3. Each new agent prefers to connect to the first three agents who have more links, and therefore benefits from a higher number of links. A structure similar to a star with three hubs is obtained. Barabási (2003) [41] presented a similar structure of networks, with each new agent connecting to the existing networks with two links.
It should be noted that in the star network, each agent creates only one link with the central agent, and the limitation on the number of links is therefore irrelevant in this structure.

3.2. Both Agents Bear the Cost for Link Formation

Empirical results show that time elapsed since immigration is important for the migrants’ assimilation in the host country (see for example, Zimmermann, Zimmermann, and Constant 2007 [44]). Thus, the immigrants who immigrate first acquire the local language, know the labor market and the housing market, and have more information on the new economy than the newly arriving immigrants. Thus, it makes sense that the arriving immigrants will initiate the linkage and bear the linking cost. If, to create a link, both agents bear the cost, as shown in Equation (3), the last immigrant, who gains more benefit from the linkage, invests more effort than his/her partner.
However, in this scenario, many more possibilities exist than only the three equilibria presented above. It is assumed that Equation (1) is satisfied for the second immigrant and that he/she initiates a linkage with the first immigrant. The first immigrant, who previously had no links, agrees to this proposal. Now the third immigrant settles in the country; Equation (1) is satisfied for him/her, but it may not be satisfied for the first two immigrants. u represents the migrants’ benefit from the connection in the first period after the migration, and this term is lower for the first two immigrants. It could be, for example, that the first two immigrants refused to link to the third immigrant and the fourth immigrant will only link to the third immigrant. It could be that the second immigrant, who previously refused to connect to the third immigrant, initiates a link with the third immigrant to benefit from his/her link with the fourth immigrant (see Figure 7). There are many different possible scenarios, depending on the benefit that the immigrant derives from the link.

3.3. Diminishing Benefits from Linkage over Time

It was assumed that the benefit from a linkage over time is constant and equals to u . However, the newcomers’ benefit from the linkage may well decrease over time, as the immigrant gains more knowledge of the local population, etc. In the long run, the value of the linkage to the immigrant decreases. Thus, u decreases over time.
Proposition 3: 
In the formation of a star network, the investment in the link formation with the central immigrants by the newcomer is higher than the investment made by a former immigrant. 
Proof: 
It is easy to see from Equation (3) that where u decreases, p ( e i , 1 s ) e i , 1 s = 1 u + j = 2 , j i j = N p ( e j , 1 s ) u increases. Remember that p ( e i , 1 s ) is a concave function. Thus, while the slope increases, the effort decreases.
Under the structure of a full network, over time, the benefit of the immigrants from a direct link increases and their investment in link formation decreases. On the one hand, a newcomer may form a link only with the later immigrants, since the later immigrant may have stronger ties than the earlier immigrants. On the other hand, the benefit that the newcomer can receive from the link with the earlier immigrants may be higher than the link with the later immigrants. The reason for this is that the former immigrants have more knowledge and ties in the receiving country. Thus, given the assumption of the model together with the diminishing benefit of linkage over time, it is impossible to know if the full network structure will remain in the long run.

4. Concluding Remarks

In this paper, we analyzed the formation of social networks among immigrants when the investment in the linkage is endogenous, i.e., the players choose how much effort to invest in each relationship. Network and social ties play a significant role in the assimilation process (see, for instance, Massey, 1987 [5]; Chiswick, 1996 [45]; Carrington 1996 [6]; Borjas 2000 [46]; Bauer, Epstein, and Gang 2007 [47]). Furthermore, the immigration network formation is compatible with the theoretical model: a sequence of homogeneous individuals join the country and must decide with whom to form a link.
Following the pioneering study by Bala and Goyal (2000) [30], we consider a non-cooperative model of network formation where the cost of link formation is incurred only by the agent who initiates the link. We examine the investment of the immigrant in network formation in both the short and long run. We find that three possible equilibria exist: Star network, full network, and moving from a full network to a star network. The first and second equilibria are possible in the short run as well as in the long run, whereas the last equilibrium is only possible in the long run. In the long run, when the stock of immigrants in the host country is high enough, the newcomer will prefer to create only one link and to receive the benefit from many indirect links via this direct link. If all of the following immigrants behave like this newcomer, then a star network is obtained. Our results are supported by the empirical outcomes presented by Comola and Mendola (2015) [18] who examined the link formation among immigrants in the host society. They show that the network formation is of a number of “Stars” type that connect to each other.
Our results show that network formations are affected by the first immigrants’ behavior, which stems from their skills and the social distance between the two societies. Public policy can affect the network formation by allocating resources for the assimilation of the first immigrants and thus affecting the immigrant’s attitude toward natives and vice versa. We expand our model to the limited number of links that an immigrant can create due to limited time. Our results are similar to those of Barabási (2003) [41]. We also study the case in which the immigrant’s utility from direct linkages with another immigrant decreases over time as a result of the assimilation process. In this case, in the long run, in a star network, the newcomer decides to invest in the immigrants’ leader rather than the earlier immigrants. However, it is not clear how they behave in a full network structure. While the immigrants settle in enclaves and are not assimilated in the receiving country, the benefit is almost constant over time. This paper presents the creation of social networks by immigrants, but it can be applied to other social scenarios, such as groups in a workplace, school or neighborhood.

Acknowledgments

We are grateful to the editor and two anonymous referees for their helpful, constructive and important comments.

Author Contributions

Both authors contributed equally to this work.

Conflicts of Interest

The authors declare no conflicts of interest.

Appendix A

Denote the optimal effort of agent i where he/she benefits from one direct link (which was presented in Equation (5)) by e f , and his/her effort if he/she joins the star network by e i s . Individual 3 faces two options: the first, to invest in the friendship with one individual (number 1 or 2) and to benefit from an indirect link with another; the second, to invest in both individuals and to benefit from two direct links. If individual 3 decides to invest in only one agent then B 3 ( e 3 s ) > B 3 ( e f ) , hence:
p ( e 3 s ) ( u + p ( e f ) u ) e 3 s > 2 ( p ( e f ) u e f )
Rearranging Equation (A1) gives us:
p ( e 3 s ) p ( e f ) u > p ( e f ) u e f + ( p ( e f ) u e f ) ( p ( e 3 s ) u e 3 s )
e c is the value of e which maximizes B 3 ( e f ) = p ( e f ) u e f , thus it is clear that:
p ( e f ) u e f > p ( e 3 s ) u e 3 s
Hence, from Equations (A2) and (A3), it follows that:
p ( e 3 s ) p ( e f ) u > p ( e f ) u e f
It is assumed that n 1 agents are connected in the form of a star network, and e n 1 s denotes the intensity of their link with the central agent. Let us prove that individual n also connects only to the central agents. Individual n faces a number of options: (a) to form a link with the central agent; (b) to form a link with all the n 1 individuals; (c) to form a link with the central agent and with additional k ( 0 k n 2 ) agents, and (d) to form a link with k ( 0 k n 2 ) agents without the central agent.
From multiplying Equation (A4) by ( n 3 )   i > 3 and adding it to Equation (A1), the following result is obtained:
p ( e 3 s ) ( u + ( n 2 ) p ( e f ) u ) e 3 s > ( n 1 ) ( p ( e f ) u e f )
e n s is the optimal effort of individual n in the star network structure, thus B n ( e 3 s ) > B n ( e 3 s ) . If Equation (A5) is true then:
p ( e n s ) ( u + ( n 2 ) p ( e n 1 s ) u ) e n s > ( n 1 ) ( p ( e f ) u e f )
This means that the benefit of individual n from possibility (a) is higher than the benefit from possibility (b). Now we prove that possibility (a) is better than possibility (c). To do this, we show that:
p ( e n s ) ( u + ( n 2 ) p ( e n 1 s ) u ) e n s > p ( e n , 1 ) ( u + ( n 2 k ) p ( e n 1 s ) u ) e n , 1 + k ( p ( e f ) u e f )
It is known that e n s is a maximum value of the function level thus:
p ( e n s ) ( u + ( n 2 ) p ( e n 1 s ) u ) e n s > p ( e n , 1 ) ( u + ( n 2 ) p ( e n 1 s ) u ) e n , 1
Therefore it is sufficient to prove that:
p ( e n s ) ( u + ( n 2 ) p ( e n 1 s ) u ) e n s > p ( e n , 1 ) ( u + ( n 2 ) p ( e n 1 s ) u ) e n , 1
or, equally:
p ( e n 1 s ) p ( e n , 1 ) u > p ( e f ) u e f
By Equation (A4) and the fact that p ( e n 1 s ) > p ( e 3 s ) and p ( e n , 1 ) > p ( e f ) , Equation (A10) must be true.
Finally, to prove that possibility (a) is better than possibility (d) we show that:
p ( e n s ) ( u + ( n 2 ) p ( e n 1 s ) u ) e n s > p ( e n , i ) ( u + p ( e n 1 s ) u + ( n 3 k ) p ( e n 1 s ) p ( e n 1 s ) u ) e n , i + ( k 1 ) ( p ( e f ) u e f )
for i 1 .
Equation (A8) is satisfied; thus, in order to prove that Equation (A11) holds, it is sufficient to prove that:
p ( e n , 1 ) ( u + ( n 2 k ) p ( e n 1 s ) u ) e n , 1 > p ( e n , i ) ( u + p ( e n 1 s ) u + ( n 3 k ) p ( e n 1 s ) p ( e n 1 s ) u ) e n , i + ( k 1 ) ( p ( e f ) u e f )
It is known that e n , 1 is a maximum value of the function, thus it is sufficient to prove that:
p ( e n , i ) ( u + ( n 2 k ) p ( e n 1 s ) u ) e n , i > p ( e n , i ) ( u + p ( e n 1 s ) u + ( n 3 k ) p ( e n 1 s ) p ( e n 1 s ) u ) e n , i + ( k 1 ) ( p ( e f ) u e f )
By algebraic manipulation we obtain:
p ( e n 1 s ) < 1
Equation (A14) is satisfied as assumed above.

Appendix B

In the next period, N + 1 agents are members of the group, the utility of individual i increases to B i = p ( e i , 1 s ) ( u + j = 2 , j i j = N + 1 p ( e j , 1 s ) u ) e i , 1 s , the optimal effort of individual i therefore equals:
B i e i , 1 s = 0 p ( e i , 1 s ) e i , 1 s = 1 u + j = 2 , j i j = N + 1 p ( e j , 1 s ) u
From Equations (3) and (B1) it follows that:
1 u + j = 2 , j i j = N p ( e j , 1 s ) u > 1 u + j = 2 , j i j = N + 1 p ( e j , 1 s ) u
p ( e i , 1 s ) is a concave function. Thus while the slope decreases, the effort increases.

Appendix C

Individual 3 faces two options: first, to invest in the friendship with one individual and to benefit from an indirect link with another individual; second, to invest in both individuals and to benefit from two direct links. As presented in Lemma 1, if individual 3 choses the first possibility, all future immigrants will follow him/her and a star network will be obtained. Let us now examine the case of a full network. If the third individual decides to invest in both agents, then B 3 ( e f ) > B 3 ( e 3 s ) , i.e.,:
2 ( p ( e c ) u e c ) > p ( e 3 s ) ( u + p ( e c ) u ) e 3 s
B 3 ( e 3 s ) is a maximum point, so it is clear that:
p ( e 3 s ) ( u + p ( e f ) u ) e 3 s > p ( e f ) ( u + p ( e f ) u ) e f
Equations (C1) and (C2) together give us:
2 ( p ( e f ) u e f ) > p ( e f ) ( u + p ( e f ) u ) e f
or, equally:
p ( e f ) u e f > p ( e f ) p ( e f ) u
The RHS represents the net benefit from an indirect link, whereas the LHS represents the utility from a direct link. As long as this condition exists, each agent connects to all previous agents and a full network is created. Now we prove that if this condition is not satisfied for individual i , then he/she will form a link only with one individual. The central agent can be each agent who is linked in the network, because the benefit that agent i can yield from each agent (one direct link and i 2 indirect links) is identical.
It is given that:
p ( e i s ) p ( e f ) u > p ( e f ) u e f
We prove that the benefit from one direct link and i 2 indirect links is higher than the benefit from k   k > 1 direct links and i k 1 indirect links, meaning that:
p ( e i s ) ( u + ( i 2 ) p ( e f ) u ) e i s > p ( e i * ) ( k u + ( i k 1 ) p ( e f ) u ) k e i *
Where e i * is the optimal investment if the individual forms a link with k agents. e i s is the maximum point of the function, and it is sufficient to prove that:
p ( e i * ) ( u + ( i 2 ) p ( e f ) u ) e i * > p ( e i * ) ( k u + ( i k 1 ) p ( e f ) u ) k e i *
Rearranging Equation (C7) gives us:
( 1 k ) p ( e i * ) u ( 1 k ) e i * > ( 1 k ) p ( e i * ) p ( e f ) u
Since 1 k < 0 , then:
p ( e i * ) p ( e f ) u > p ( e i * ) u e i *
By Equation (C5) and the facts that e i s > e i * , p ( e f ) u e f > p ( e i * ) u e i * , Equation (C9)must be true.
As shown in proposition 1, e i + 1 * > e i * . Thus if Equation Equation (C9) is valid for individual i , it will be valid for individual i + 1 . All future agents will form a link only with the central agent and the shift from a full network to a star network will be obtained.

References

  1. J. Church, and I. King. “Bilingualism and Network Externalities.” Can. J. Econ. 26 (1983): 337–345. [Google Scholar] [CrossRef]
  2. A.P. Bartel. “Where do the new US immigrants live? ” J. Labor Econ. 7 (1989): 371–391. [Google Scholar] [CrossRef] [PubMed]
  3. G.J. Borjas. “To Ghetto or not to Ghetto: Ethnicity and residential segregation.” J. Urban Econ. 44 (1998): 228–253. [Google Scholar] [CrossRef]
  4. T. Bauer, G.S. Epstein, and I.N.G. Enclaves. “Language and the Location Choice of Migrants.” J. Popul. Econ. 18 (2005): 649–662. [Google Scholar] [CrossRef]
  5. D.S. Massey. “Understanding Mexican Migration to the United States.” Am. J. Sociol. 92 (1987): 1372–1403. [Google Scholar] [CrossRef]
  6. W.J. Carrington, E. Detragiache, and T. Vishwanath. “Migration with Endogenous Moving Costs.” Am. Econ. Rev. 86 (1996): 909–930. [Google Scholar]
  7. A. Constant, L. Gataullina, and K.F. Zimmermann. “Ethnosizing Immigrants.” J. Econ. Behav. Organ. 69 (2009): 274–287. [Google Scholar] [CrossRef]
  8. A. Constant, M. Kahanec, U. Rinne, and K.F. Zimmermann. “Ethnicity, Job Search and Labor Market Reintegration of the Unemployed.” Int. J. Manpow. 32 (2011): 753–776. [Google Scholar] [CrossRef]
  9. K.F. Zimmermann. “Migrant Ethnic Identity: Concept and Policy Implications.” In The Cyprus Economic Society Annual Lecture in Economics. Bonn, Germany: IZA, 2007. [Google Scholar]
  10. G.S. Epstein, and O. Heizler. “Ethnic identity: A theoretical framework.” IZA J. Migr. 4 (2015): 1–11. [Google Scholar]
  11. J.D. Montgomery. “Social Networks and Labor-Market outcomes: Toward an Economic Analysis.” Am. Econ. Rev. 81 (1991): 1408–1418. [Google Scholar]
  12. Y.M. Ioannides, and L.D. Loury. “Job Information Networks, Neighborhood Effects, and Inequality.” J. Econ. Lit. 42 (2004): 1056–1093. [Google Scholar] [CrossRef]
  13. M. Kahanec, and M. Mendola. “Social Determinants of Labor Market Status of Ethnic Minorities in Britain.” Res. Labor Econ. 29 (2007): 167–195. [Google Scholar]
  14. A. Mayer, and S.L. Puller. “The old boy (and girl) network: Social network formation on university campuses.” J. Public Econ. 92 (2008): 329–347. [Google Scholar] [CrossRef]
  15. L. Quillian, and M.E. Campbell. “Beyond black and white: The present and future of multiracial friendship segregation.” Am. Sociol. Rev. 68 (2003): 540–566. [Google Scholar] [CrossRef]
  16. T. Mouw, and B. Entwisle. “Residential Segregation and Interracial Friendship in Schools1.” Am. J. Sociol. 112 (2006): 394–441. [Google Scholar] [CrossRef]
  17. G.S. Epstein, and O. Heizler. “The Formation of Networks in the Diaspora.” Int. J. Manpow., 2016, in press. [Google Scholar]
  18. M. Comola, and M. Mendola. “Formation of Migrant Networks.” Scand. J. Econ. 117 (2015): 592–618. [Google Scholar] [CrossRef]
  19. C. Steglich, T.A. Snijders, and M. Pearson. “Dynamic networks and behavior: Separating selection from influence.” Sociol. Meth. 40 (2010): 329–393. [Google Scholar] [CrossRef]
  20. T.A.B. Snijders, C.E.G. Steglich, and M. Schweinberger. “Modeling the co-evolution of networks and behavior.” In Longitudinal Models in the Behavioral and Related Sciences. Edited by K. van Montfort, J. Oud and A. Satorra. Mahwah, NJ, USA: Lawrence Erlbaum Associates (European Association of Methodology Series), 2007, pp. 41–71. [Google Scholar]
  21. D. Umberson, R. Crosnoe, and C. Reczek. “Social relationships and health behavior across life course.” Annu. Rev. Sociol. 36 (2010): 139. [Google Scholar] [CrossRef] [PubMed]
  22. A. Galeotti, S. Goyal, and J. Kamphorst. “Network Formation with Heterogeneous Players.” Games Econ. Behav. 54 (2006): 353–372. [Google Scholar] [CrossRef]
  23. M. Windzio, and E. Bicer. “Are we just friends? Immigrant integration into high-and low-cost social networks.” Ration. Soc. 25 (2013): 123–145. [Google Scholar] [CrossRef]
  24. T.A. Snijders, G.G. Van de Bunt, and C.E. Steglich. “Introduction to stochastic actor-based models for network dynamics.” Soc. Netw. 32 (2010): 44–60. [Google Scholar] [CrossRef]
  25. S. Smith, I. Maas, and F. van Tubergen. “Ethnic ingroup friendships in schools: Testing the by-product hypothesis in England, Germany, the Netherlands and Sweden.” Soc. Netw. 39 (2014): 33–45. [Google Scholar] [CrossRef]
  26. L. Leszczensky, and S. Pink. “Ethnic segregation of friendship networks in school: Testing a rational-choice argument of differences in ethnic homophily between classroom- and grade-level networks.” Soc. Netw. 42 (2014): 18–26. [Google Scholar] [CrossRef]
  27. J.R. Moody. “School Integration, and Friendship Segregation in America.” Am. J. Soc. 107 (2001): 679–716. [Google Scholar] [CrossRef]
  28. H. Kruse, S. Smith, F. van Tubergen, and I. Maas. “From neighbors to school friends? How adolescents’ place of residence relates to same-ethnic school friendships.” Soc. Netw. 44 (2016): 130–142. [Google Scholar] [CrossRef]
  29. M.O. Jackson. “A Survey of Network Formation: Stability and Efficiency.” Available online: http://web.stanford.edu/~jacksonm/netsurv.pdf (accessed on 28 July 2016).
  30. V. Bala, and S. Goyal. “A Noncooperative Model of Network Formation.” Econometrica 68 (2000): 1181–1229. [Google Scholar] [CrossRef]
  31. V. Bala, and S. Goyal. “A Strategic Analysis of Network Reliability.” Rev. Econ. Des. 5 (2000): 205–228. [Google Scholar] [CrossRef]
  32. A. Watts, and A. Dynamic. “Model of Network Formation.” Games Econ. Behav. 34 (2001): 331–341. [Google Scholar] [CrossRef]
  33. A. Watts. “Non-myopic Formation of Circle Networks.” Econ. Lett. 74 (2002): 277–282. [Google Scholar] [CrossRef]
  34. M.O. Jackson, and A. Watts. “The Evolution of Social and Economics Networks.” J. Econ. Theory 106 (2002): 265–291. [Google Scholar] [CrossRef]
  35. J.K. Brueckner. “Friendship Networks.” J. Reg. Sci. 46 (2006): 847–865. [Google Scholar] [CrossRef]
  36. F. Bloch, and B. Dutta. “Communication Networks with Endogenous Link Strength.” Games Econ. Behav. 66 (2009): 39–56. [Google Scholar] [CrossRef]
  37. G.S. Epstein, and I.N. Gang. “Ethnicity, assimilation and harassment in the labor market.” Res. Labor Econ. 79 (2009): 67–90. [Google Scholar]
  38. D. Kahneman, and A. Tversky. “Prospect theory: An analysis of decision under risk.” Econ. J. Econ. Soc. 47 (1979): 263–291. [Google Scholar] [CrossRef]
  39. L. Kelly. “Bosnian Refugees in Britain Questioning Community.” Sociology 37 (2003): 35–49. [Google Scholar] [CrossRef]
  40. R.Y. Hazan, and G. Rahat. “Representation, electoral reform, and democracy. Theoretical and empirical lessons from the 1996 elections in Israel.” Comp. Political Stud. 33 (2000): 1310–1336. [Google Scholar] [CrossRef]
  41. A.L. Barabási. Linked: How Everything Is Connected to Everything Else and What It Means for Business, Science, and Everyday Life. New York, NY, USA: Plume, 2003. [Google Scholar]
  42. H. Battu, P. Seaman, and Y. Zenou. “Job contact networks and the ethnic minorities.” Labour Econ. 18 (2011): 48–56. [Google Scholar] [CrossRef]
  43. A.F. Constant, M. Kahanec, and K.F. Zimmermann. “Attitudes towards immigrants, other integration barriers, and their veracity.” Int. J. Manpow. 30 (2009): 5–14. [Google Scholar] [CrossRef]
  44. L. Zimmermann, K.F. Zimmermann, and A. Constant. “Ethnic Self-Identification of First-Generation Immigrants1.” Int. Migr. Rev. 41 (2007): 769–781. [Google Scholar] [CrossRef]
  45. B.R. Chiswick, and P.W. Miller. “Ethnic Networks and Language Proficiency among Immigrants.” J. Popul. Econ. 9 (1996): 19–35. [Google Scholar] [CrossRef] [PubMed]
  46. G.J. Borjas. “Ethnic Enclaves and Assimilation.” Swed. Econ. Policy Rev. 7 (2000): 89–122. [Google Scholar]
  47. T. Bauer, G.S. Epstein, and I.N. Gang. “The Influence of Stocks and Flows on Migrants’ Location Choices.” Res. Labor Econ. 26 (2007): 199–229. [Google Scholar]
  • 1The group may also be a religious, minority, political or sports group, a school fraternity, youth group, etc.
  • 2The model can also be applied with regard to a new wave of immigrants. If there is a large time gap time between the current wave and the previous wave. Over time, the immigrants of the first wave may have assimilated thus acquiring the local language and the local cultural. As a result, they may have weak link with their host country. In this case, the first immigrant in the second wave may be considered as “the first” immigrants in the process or having lower costs.
  • 3Note that, while a link is created between two agents, both agents have costs but one agent incurs the main cost or the additional cost of maintaining the link. For example, if one individual hosts or phones the second, both individuals have a time cost, but only one pays for the hospitality or the conversation.
  • 4Snijders et al. (2007) [20] also assumed myopic behavior without taking into account the consequences of his actions on the future. However, some of their assumptions differ from the current paper. They assumed that all actors act conditionally independently of each other, while we assume that each affects the next actors. Snijders et al. (2007) [20] adopted a Markov process thus, the decision made at a certain state is independent of the history. In the current paper, the individuals take into consideration the actions made by pervious immigrants.
  • 5The immigrant’s decision with regard to the optimal investment may depend also in a subjective assessment with regard to the probability of a successful of the investment see Kahneman and Tversky (1979) [38] where people tend to underweight the high probability outcomes and overweight the low probability outcomes. In this model, we restrict ourselves to objective probabilities.
  • 6Brueckner (2006) [35], who also assumes that 0 p ( e i , j ) < 1 , p ( e i , j ) e i , j > 0 and 2 p ( e i , j ) e i , j 2 < 0 , explains why this approach can be justified.
  • 7It should be noted that in star networks, the immigrants can form links with other immigrants (except for the central agent), but not with high intensity.
  • 8Each immigrant i      i k + 1 creates at least one link with the migrants who immigrated until period k in order to benefit from the maximal number of indirect links.
Figure 1. A full network.
Figure 1. A full network.
Economies 04 00015 g001
Figure 2. A star network.
Figure 2. A star network.
Economies 04 00015 g002
Figure 3. The probability of being friends.
Figure 3. The probability of being friends.
Economies 04 00015 g003
Figure 4. An example of function of investment in the relationship, p ( e i , j ) .
Figure 4. An example of function of investment in the relationship, p ( e i , j ) .
Economies 04 00015 g004
Figure 5. Moving from a full network to a star network.
Figure 5. Moving from a full network to a star network.
Economies 04 00015 g005
Figure 6. Limited number of links under full network structure.
Figure 6. Limited number of links under full network structure.
Economies 04 00015 g006
Figure 7. An example of the case in which both agents bear the cost of link formation.
Figure 7. An example of the case in which both agents bear the cost of link formation.
Economies 04 00015 g007

Share and Cite

MDPI and ACS Style

Epstein, G.S.; Heizler-Cohen, O. The Formation of Immigrant Networks in the Short and the Long Run. Economies 2016, 4, 15. https://doi.org/10.3390/economies4030015

AMA Style

Epstein GS, Heizler-Cohen O. The Formation of Immigrant Networks in the Short and the Long Run. Economies. 2016; 4(3):15. https://doi.org/10.3390/economies4030015

Chicago/Turabian Style

Epstein, Gil S., and Odelia Heizler-Cohen. 2016. "The Formation of Immigrant Networks in the Short and the Long Run" Economies 4, no. 3: 15. https://doi.org/10.3390/economies4030015

APA Style

Epstein, G. S., & Heizler-Cohen, O. (2016). The Formation of Immigrant Networks in the Short and the Long Run. Economies, 4(3), 15. https://doi.org/10.3390/economies4030015

Note that from the first issue of 2016, this journal uses article numbers instead of page numbers. See further details here.

Article Metrics

Back to TopTop