A Policy Proposal to Strengthen the Income Redistribution Function of the National Pension Scheme in South Korea: An Analysis of South Korea’s 5th National Pension Comprehensive Plan (Draft)
Abstract
1. Introduction
2. Background
2.1. The CNPS and the 5NPCPD
2.2. The Significance of Income Redistribution in Pension Reform
2.3. Literature Review
- Introducing the BP-KNPS Proposal into the CNPS is expected to reduce disparities in old-age pension income among pension participants.
- Introducing the BP-KNPS Proposal into the 5NPCPD is expected to reduce disparities in old-age pension income among pension participants.
- Compared to the CNPS, the 5NPCPD, with the introduction of the BP-KNPS Proposal, is expected to further reduce disparities in old-age pension income among pension participants.
- Instead of assuming that all contributors participate in the same period, this study reflects disparities in pension participation periods and life expectancy across income groups, conducting a realistic analysis.
- The analysis distinguishes between employment types (regular employees, self-employed, and irregular employees) among NPS contributors, providing detailed insights.
- This study evaluates the income redistribution effect of the BP-KNPS Proposal alongside the CNPS and the 5NPCPD.
3. Pension Schemes
3.1. The CNPS
3.1.1. Lifetime Pension Benefits
3.1.2. Lifetime Pension Contributions
3.2. The BP-KNPS Proposal
4. Income Redistribution Measures
4.1. Income Redistribution Index
4.2. Reflecting Disparities in Contribution Periods and Life Expectancy across Income Groups
5. Data and Methods
5.1. Data and Assumptions in Statistical Analysis
- The analysis targets Workplace-based Insured Persons and Individually Insured Persons, excluding those with histories of Occupational Pension.
- The sample includes participants enrolled in the NPS between 2018 and 2020 and aged 25 to 57 as of 2020. The age of 25, the starting age for pension enrollment, follows S. H. Kim (2019), while the age of 57 reflects the scenario of an individual aged 25 in 1988 (the start year of the NPS), who would be 57 in 2020. Therefore, it is assumed that all participants enrolled in the NPS at age 25.
- Participants with a history of receiving National Pension benefits are excluded.
- Foreign workers are excluded due to employment instability and differing employment patterns.
- Participants who changed their employment status during the survey period (e.g., from regular to self-employment or irregular employment) are excluded.
- To discount lifetime pension benefits and contributions to the present value, future values of real wage growth, real interest rates, and inflation rates are based on the basic assumptions for population and economy used in the 5th National Pension Financial Estimate Results (see Table A1). Historical real interest rates from 1988 to 2019 are derived by subtracting the consumer price index (CPI) from the nominal interest rates of deposit bank interest rates.
- Individual life expectancy is based on the gender- and cohort-specific life expectancies from the “2021 Life Table” published by Statistics Korea (2022) and is used to estimate lifetime pension benefits.
- The income range analyzed only includes labor income, excluding financial income, secondary job income, and inheritance income.
- The retirement age for regular employees is assumed to be 60, in line with the Elderly Employment Promotion Act, Article 19, Paragraph 1. Self-employed and irregular workers are assumed to work until the year before they start receiving pensions, based on the “Effective Retirement Age” (J. H. Park 2022).
- Residence is assumed to remain unchanged from the last survey response of the household or household member.
- For individuals over 40, the number of children is assumed to remain unchanged, with those above 40 having no additional children. For individuals without data over 40, the number of children is set as of age 39. This study estimates the number of children using KLIPS data instead of assuming that this remains constant from the last survey response, given the importance of the number of children in projecting future individual income. However, following research by H. S. Kim (2007), due to differences in the determinants of the number of children between married women over 40 and those under 40, this assumption is made for analytical convenience.
- Employment type is assumed to remain unchanged during the employment period.
- For the years mentioned in this study, income is considered for the year it was earned (the previous year of the survey), as KLIPS collects income data from the prior year.
- The base year for discounting to the present value is 2020, the latest year for which KLIPS data are available (survey year 2021).
5.2. Methodology
Lifetime Income
6. Results
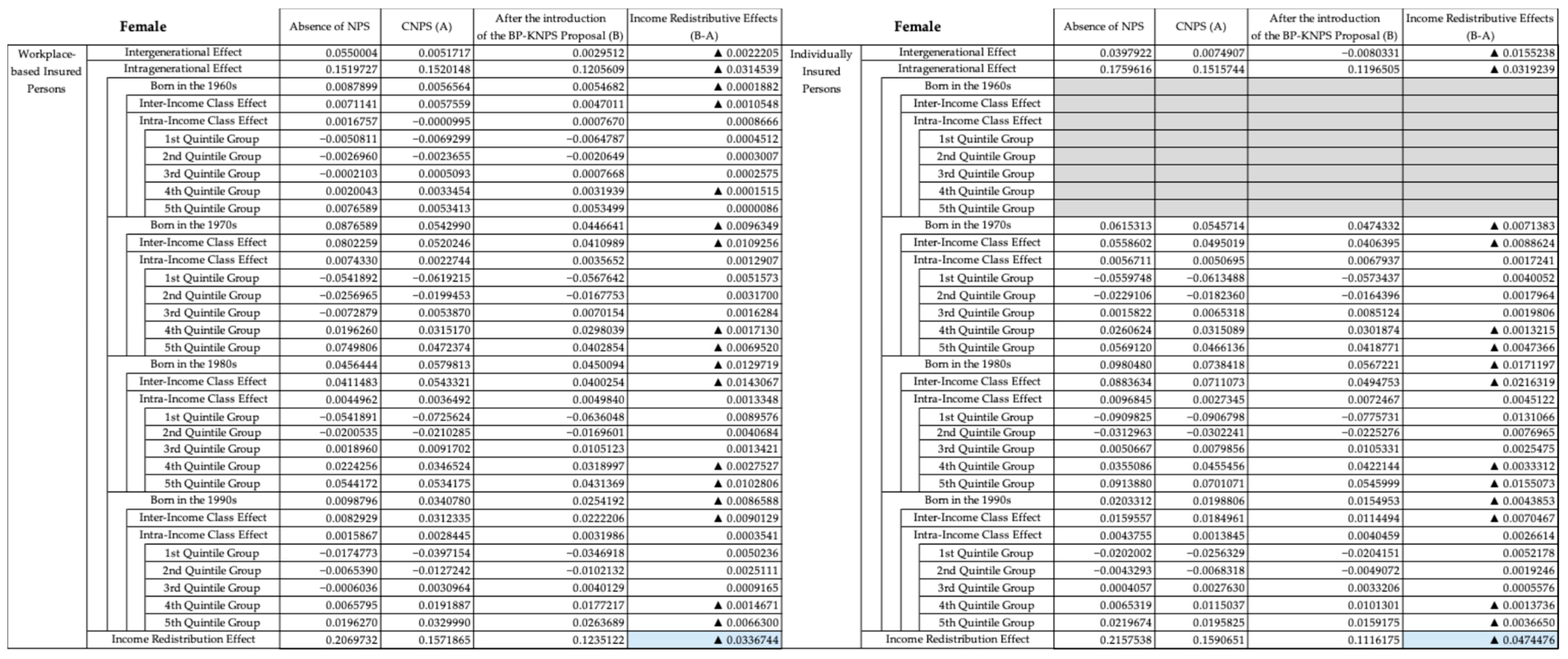
6.1. Income Redistribution Effects of the BP-KNPS Proposal
6.1.1. Effect of Introducing the BP-KNPS Proposal to the CNPS
6.1.2. Effect of Introducing the BP-KNPS Proposal to the 5NPCPD
6.1.3. Comparison between the CNPS and the 5NPCPD after Implementing the BP-KNPS Proposal
7. Discussion
- According to J. Park (2024), the effect of reducing income inequality through the proposals to increase contribution rates (Proposals 1, 2, and 3) before introducing the BP-KNPS Proposal was minimal (the reduction in MLD was 0.0004688 to 0.0013988 for Workplace-based Insured Persons and 0.0039249 to 0.0060151 for Individually Insured Persons). However, after introducing the BP-KNPS Proposal, the reduction in MLD increased from 0.0089603 to 0.0102418 for Workplace-based Insured Persons and 0.0369012 to 0.0393267 for Individually Insured Persons.
- The author of J. Park (2024) found that the effect of reducing income inequality through the proposal to adjust the rate of the increase in contribution rates (Proposal 4) before introducing the BP-KNPS Proposal was also minimal (the reduction in MLD was 0.0006981 for Workplace-based Insured Persons and 0.0065319 for Individually Insured Persons). After introducing the BP-KNPS Proposal, the reduction in MLD increased to 0.0078768 for Workplace-based Insured Persons and 0.0387219 for Individually Insured Persons.
- The author of J. Park (2024) found that the proposals to raise the pensionable age (Proposals 5 and 6) increased income inequality for all employment types (the increase in MLD was 0.0196043 to 0.0206274 for Workplace-based Insured Persons and 0.0064172 to 0.0069503 for Individually Insured Persons). However, after introducing the BP-KNPS Proposal, these proposals showed a reduction in income inequality for Individually Insured Persons (the reduction in MLD was 0.0285848 to 0.0310393).
- The author of J. Park (2024) identified that income inequality in the absence of the NPS and under the CNPS and the 5NPCPD was primarily due to intragenerational income disparities. In contrast, after introducing the BP-KNPS Proposal, the reduction in MLD indicated that intragenerational income redistribution reduced overall income inequality under the CNPS and the proposals to increase contribution rates (Proposals 1, 2, and 3) and adjust the rate of increases in contribution rates (Proposal 4).
- The author of J. Park (2024) found that all reform proposals (Proposals 1 to 6) increased intragenerational income inequality for middle-aged cohorts (born in the 1960s and 1970s). However, after introducing the BP-KNPS Proposal, self-employed and irregular workers born in the 1970s showed a reduction in intragenerational income inequality under all reform proposals.
Funding
Informed Consent Statement
Data Availability Statement
Conflicts of Interest
Abbreviations
| NPS | National Pension Scheme |
| CNPS | Current National Pension Scheme |
| 5NPCPD | 5th National Pension Comprehensive Plan (Draft) |
| BP-KNPS | Proposal to incorporate the Bend Points mechanism into the Korean NPS |
| OASDI | Old Age, Survivors, and Disability Insurance |
| KLIPS | Korean Labor & Income Panel Study |
| OLS | Ordinary Least Squares |
| MLD | Mean Log Deviation |
| SMI | Standard monthly income |
| KRW | Korean Won (Korea’s Currency Unit) |
| AIME | Average Indexed Monthly Earnings |
| PIA | Primary Insurance Amount |
Appendix A
| Economic Variables | Year | |||||
|---|---|---|---|---|---|---|
| 2023–2030 | 2031–2040 | 2041–2050 | 2051–2060 | 2061–2070 | 2071–2080 | |
| Real economic growth rate | 1.9 | 1.3 | 0.7 | 0.4 | 0.2 | 0.2 |
| Real wage growth rate | 1.9 | 1.9 | 1.8 | 1.7 | 1.6 | 1.6 |
| Real interest rate | 1.4 | 1.4 | 1.3 | 1.2 | 1.2 | 1.2 |
| Inflation rate | 2.2 | 2 | 2 | 2 | 2 | 2 |
| Upper Limit | Lower Limit | Applicable Period |
|---|---|---|
| 2,000,000 | 70,000 | 1988.11.~1995.3. |
| 3,600,000 | 220,000 | 1995.4.~2007.3. |
| 3,600,000 | 220,000 | 2007.4.~2008.3. (Employee) |
| 2007.4.~2008.6. (Employer) | ||
| 3,600,000 | 220,000 | 2008.4.~2009.6. (Employee) |
| 2008.7.~2009.6. (Employer) | ||
| 3,600,000 | 220,000 | 2009.7.~2010.6. |
| 3,680,000 | 230,000 | 2010.7.~2011.6. |
| 3,750,000 | 230,000 | 2011.7.~2012.6. |
| 3,890,000 | 240,000 | 2012.7.~2013.6. |
| 3,980,000 | 250,000 | 2013.7.~2014.6. |
| 4,080,000 | 260,000 | 2014.7.~2015.6. |
| 4,210,000 | 270,000 | 2015.7.~2016.6. |
| 4,340,000 | 280,000 | 2016.7.~2017.6. |
| 4,490,000 | 290,000 | 2017.7.~2018.6. |
| 4,680,000 | 300,000 | 2018.7.~2019.6. |
| 4,860,000 | 310,000 | 2019.7.~2020.6. |
| 5,030,000 | 320,000 | 2020.7.~2021.6. |
| 5,240,000 | 330,000 | 2021.7.~2022.6. |
| 5,530,000 | 350,000 | 2022.7.~2023.6. |
| 5,900,000 | 370,000 | 2023.7.~2024.6. |
| Multiplying the inflation rate (assumed value) of the 5th National Pension Financial Estimate by the value of the previous year. | 2024.7.~2081.6. | |
| Variable | Obs | Mean | Std. Dev. | Min | Max |
|---|---|---|---|---|---|
| kid | 36,846 | 1.442219 | 0.863746 | 0 | 5 |
| age | 36,868 | 33.22263 | 4.178013 | 16 | 39 |
| education level (No formal education to middle school graduate = 1, High school graduate = 2, Junior college graduate = 3, University graduate = 4, Graduate school graduate = 5) | 36,856 | 2.741507 | 0.988337 | 1 | 5 |
| employment status | 36,868 | 0.449957 | 0.497496 | 0 | 1 |
| lnwage | 36,868 | 1.979052 | 2.459094 | 0 | 7.600903 |
| lnhwage (total labor income of household members excluding married women) | 36,868 | 6.7881 | 3.162861 | 0 | 28.00957 |
| homeownership | 36,868 | 0.498861 | 0.500006 | 0 | 1 |
| residence in a metropolitan area (Seoul Special City, Gyeonggi Province, Metropolitan Cities (Busan, Daegu, Daejeon, Incheon, Gwangju, Ulsan) = 1, Others = 0) | 36,868 | 0.715037 | 0.451403 | 0 | 1 |
| year | 36,868 | 2008.15 | 7.075877 | 1997 | 2020 |
| region | 36,868 | 6.970082 | 4.611014 | 1 | 19 |
| Variables | Kid |
|---|---|
| age | 0.0605 *** |
| (0.00105) | |
| education level | −0.0657 *** |
| (0.00466) | |
| employment status | 0.00566 |
| (0.0190) | |
| lnwage | −0.0744 *** |
| (0.00423) | |
| lnhwage | 0.0362 *** |
| (0.00190) | |
| homeownership | 0.133 *** |
| (0.00861) | |
| residence in a metropolitan area | −0.123 |
| (0.0799) | |
| year | YES |
| region | YES |
| Constant term | −0.886 *** |
| (0.0892) | |
| Observations | 36,834 |
| Sample size | 5826 |
| Log likelihood | −43,750.36 |
| Wald chi2(45) | 6797.60 |
| Standard errors in parentheses |
| <Male> | |||||
| Variable | Obs | Mean | Std. Dev. | Min | Max |
| employment status | 59,193 | 0.394354 | 0.488716 | 0 | 1 |
| age | 59,193 | 36.63639 | 7.390114 | 25 | 57 |
| age 2 | 59,193 | 1396.838 | 565.5429 | 625 | 3249 |
| kid | 59,193 | 0.950873 | 0.967501 | 0 | 5 |
| kid 2 | 59,193 | 1.840201 | 2.447556 | 0 | 25 |
| employment experience | 59,193 | 0.891119 | 0.311493 | 0 | 1 |
| residence in a metropolitan area (Seoul Special City, Gyeonggi Province, Metropolitan Cities (Busan, Daegu, Daejeon, Incheon, Gwangju, Ulsan) = 1, Others = 0) | 59,193 | 0.732131 | 0.442853 | 0 | 1 |
| lnhwage (total labor income of household members excluding married women) | 59,193 | 6.309842 | 3.08751 | 0 | 22.40521 |
| homeownership | 59,193 | 0.55167 | 0.497327 | 0 | 1 |
| education level (No formal education to middle school graduate = 1, High school graduate = 2, Junior college graduate = 3, University graduate = 4, Graduate school graduate = 5) | 59,191 | 2.945414 | 1.034599 | 1 | 5 |
| unhealthy condition (Unhealthy = 1, Healthy = 0) | 51,963 | 0.038085 | 0.191403 | 0 | 1 |
| marital status | 59,193 | 0.689085 | 0.462872 | 0 | 1 |
| population by city/province | 59,193 | 229,829.1 | 166,068.3 | 3315 | 585,772 |
| year | 59,193 | 2010.477 | 6.534704 | 1997 | 2020 |
| region | 59,193 | 6.80915 | 4.593756 | 1 | 19 |
| <Female> | |||||
| Variable | Obs | Mean | Std. Dev. | Min | Max |
| employment status | 55,806 | 0.246103 | 0.430743 | 0 | 1 |
| age | 55,806 | 36.47563 | 7.473477 | 25 | 57 |
| age 2 | 55,806 | 1386.323 | 572.4163 | 625 | 3249 |
| kid | 55,806 | 1.103 | 0.971376 | 0 | 5 |
| kid 2 | 55,806 | 2.160162 | 2.581674 | 0 | 25 |
| employment experience | 55,806 | 0.568201 | 0.495331 | 0 | 1 |
| residence in a metropolitan area (Seoul Special City, Gyeonggi Province, Metropolitan Cities (Busan, Daegu, Daejeon, Incheon, Gwangju, Ulsan) = 1, Others = 0) | 55,806 | 0.735082 | 0.441293 | 0 | 1 |
| lnhwage (total labor income of household members excluding married women) | 55,806 | 5.839738 | 3.559387 | 0 | 22.40521 |
| homeownership | 55,806 | 0.554295 | 0.497048 | 0 | 1 |
| education level (No formal education to middle school graduate = 1, High school graduate = 2, Junior college graduate = 3, University graduate = 4, Graduate school graduate = 5) | 55,785 | 2.690687 | 0.976857 | 1 | 5 |
| unhealthy condition (Unhealthy = 1, Healthy = 0) | 48,678 | 0.045236 | 0.207824 | 0 | 1 |
| marital status | 55,806 | 0.830896 | 0.374847 | 0 | 1 |
| population by city/province | 55,806 | 215160.6 | 158417.9 | 3145 | 541,289 |
| year | 55,806 | 2010.019 | 6.371594 | 1997 | 2020 |
| region | 55,806 | 6.726123 | 4.606665 | 1 | 19 |
| Male | Female | |||
|---|---|---|---|---|
| Variables | Employment Status | Employment Status | ||
| Coefficient | Marginal Effect | Coefficient | Marginal Effect | |
| age | 0.538 *** | 0.092 | 0.453 *** | 0.066 |
| (0.0167) | (0.0190) | |||
| age 2 | −0.00913 *** | −0.002 | −0.00737 *** | −0.001 |
| (0.000218) | (0.000247) | |||
| kid | 0.285 *** | 0.049 | 0.518 *** | 0.075 |
| (0.0406) | (0.0451) | |||
| kid 2 | −0.0806 *** | −0.014 | −0.128 *** | −0.019 |
| (0.0138) | (0.0150) | |||
| employment experience | 0.679 *** | 0.116 | 0.837 *** | 0.121 |
| (0.0474) | (0.0321) | |||
| residence in a metropolitan area | 0.1000 | 0.017 | 1.610 *** | 0.233 |
| (0.239) | (0.287) | |||
| lnhwage | 0.0191 *** | 0.003 | 0.0601 *** | 0.009 |
| (0.00428) | (0.00427) | |||
| homeownership | 0.163 *** | 0.028 | −0.0596 ** | −0.009 |
| (0.0222) | (0.0249) | |||
| education level | 0.227 *** | 0.039 | −0.0502 *** | −0.007 |
| (0.0107) | (0.0134) | |||
| unhealthy condition | −0.270 *** | −0.046 | −0.245 *** | −0.035 |
| (0.0657) | (0.0706) | |||
| marital status | 0.212 *** | 0.036 | −0.170 *** | −0.025 |
| (0.0380) | (0.0470) | |||
| population by city/province | 3.06 × 10−7 | 5.23 × 10−8 | −2.95 × 10−6 *** | −4.27 × 10−7 |
| (2.77 × 10−7) | (3.22 × 10−7) | |||
| Constant term | −5.172 *** | 0.428 | −4.795 *** | 0.267 |
| (0.367) | (0.429) | |||
| year | YES | YES | ||
| region | YES | YES | ||
| Observations | 51,961 | 48,658 | ||
| Pseudo R2 | 0.2535 | 0.2264 | ||
| Log pseudolikelihood | −26,486.845 | −21,844.672 | ||
| Wald chi2(45) | 11497.1 | 9225.56 | ||
| Robust standard errors in parentheses | ||||
| <Male> | ||||||
| Variable | Obs | Mean | Std. Dev. | Min | Max | |
| lnwage | 18,282 | 5.71934 | 0.435339 | 1.609438 | 8.006368 | |
| age | 18,282 | 35.60103 | 5.929402 | 25 | 54 | |
| age 2 | 18,282 | 1302.589 | 439.3385 | 625 | 2916 | |
| continuous years of employment | 18,249 | 6.302044 | 5.577653 | 0 | 37 | |
| continuous years of employment 2 | 18,249 | 70.82426 | 115.3605 | 0 | 1369 | |
| kid | 18,282 | 1.014495 | 0.951569 | 0 | 5 | |
| marital status | 18,282 | 0.71863 | 0.44968 | 0 | 1 | |
| education level (No formal education to middle school graduate = 1, High school graduate = 2, Junior college graduate = 3, University graduate = 4, Graduate school graduate = 5) | 18,282 | 3.364019 | 0.897408 | 1 | 5 | |
| residence in a metropolitan area (Seoul Special City, Gyeonggi Province, Metropolitan Cities (Busan, Daegu, Daejeon, Incheon, Gwangju, Ulsan) = 1, Others = 0) | 18,282 | 0.728586 | 0.444702 | 0 | 1 | |
| unhealthy condition (Unhealthy = 1, Healthy = 0) | 18,282 | 0.010502 | 0.101943 | 0 | 1 | |
| firm size (Large/Medium-sized enterprise = 1, Small/Micro enterprise = 0) | 16,586 | 0.3017 | 0.45901 | 0 | 1 | |
| Occupation | Legislators, Senior Officials, and Managers | 18,269 | 0.012918 | 0.112924 | 0 | 1 |
| Professionals | 18,269 | 0.210849 | 0.407923 | 0 | 1 | |
| Technicians and Associate Professionals | 18,269 | 0.122393 | 0.327748 | 0 | 1 | |
| Clerical Support Workers | 18,269 | 0.223767 | 0.416779 | 0 | 1 | |
| Service Workers | 18,269 | 0.039794 | 0.195481 | 0 | 1 | |
| Sales Workers | 18,269 | 0.059609 | 0.236768 | 0 | 1 | |
| Skilled Agricultural, Forestry, and Fishery Workers | 18,269 | 0.004981 | 0.070403 | 0 | 1 | |
| Craft and Related Trades Workers | 18,269 | 0.128414 | 0.33456 | 0 | 1 | |
| Plant and Machine Operators and Assemblers | 18,269 | 0.151185 | 0.358239 | 0 | 1 | |
| Elementary Occupations | 18,269 | 0.046089 | 0.209684 | 0 | 1 | |
| year | 18,282 | 2015.871 | 3.449272 | 2002 | 2020 | |
| region | 18,282 | 7.042938 | 4.555748 | 1 | 19 | |
| <Female> | ||||||
| Variable | Obs | Mean | Std. Dev. | Min | Max | |
| lnwage | 6078 | 5.327467 | 0.446229 | 2.302585 | 7.313221 | |
| age | 6078 | 35.91922 | 6.915953 | 25 | 55 | |
| age 2 | 6078 | 1338.013 | 517.2262 | 625 | 3025 | |
| continuous years of employment | 6075 | 5.195226 | 5.370692 | 0 | 33 | |
| continuous years of employment 2 | 6075 | 55.82996 | 111.7608 | 0 | 1089 | |
| kid | 6078 | 1.019579 | 0.964114 | 0 | 5 | |
| marital status | 6078 | 0.724087 | 0.44701 | 0 | 1 | |
| education level (No formal education to middle school graduate = 1, High school graduate = 2, Junior college graduate = 3, University graduate = 4, Graduate school graduate = 5) | 6078 | 3.086542 | 0.893035 | 1 | 5 | |
| residence in a metropolitan area (Seoul Special City, Gyeonggi Province, Metropolitan Cities (Busan, Daegu, Daejeon, Incheon, Gwangju, Ulsan) = 1, Others = 0) | 6078 | 0.721948 | 0.448076 | 0 | 1 | |
| unhealthy condition (Unhealthy = 1, Healthy = 0) | 6078 | 0.014149 | 0.118116 | 0 | 1 | |
| firm size (Large/Medium-sized enterprise = 1, Small/Micro enterprise = 0) | 5394 | 0.202818 | 0.402135 | 0 | 1 | |
| Occupation | Legislators, Senior Officials, and Managers | 6076 | 0.00181 | 0.042514 | 0 | 1 |
| Professionals | 6076 | 0.203753 | 0.40282 | 0 | 1 | |
| Technicians and Associate Professionals | 6076 | 0.186801 | 0.389783 | 0 | 1 | |
| Clerical Support Workers | 6076 | 0.359941 | 0.480022 | 0 | 1 | |
| Service Workers | 6076 | 0.085583 | 0.27977 | 0 | 1 | |
| Sales Workers | 6076 | 0.066162 | 0.248585 | 0 | 1 | |
| Skilled Agricultural, Forestry, and Fishery Workers | 6076 | 0.000988 | 0.031411 | 0 | 1 | |
| Craft and Related Trades Workers | 6076 | 0.020902 | 0.143068 | 0 | 1 | |
| Plant and Machine Operators and Assemblers | 6076 | 0.039829 | 0.195573 | 0 | 1 | |
| Elementary Occupations | 6076 | 0.034233 | 0.181842 | 0 | 1 | |
| year | 6078 | 2017.965 | 2.11118 | 2008 | 2020 | |
| region | 6078 | 6.853735 | 4.703885 | 1 | 19 | |
| Regular Employees | Self-Employed & Non-Regular Employees | |||
|---|---|---|---|---|
| Male | Female | Male | Female | |
| Variables | lnwage | lnwage | lnwage | lnwage |
| age | 0.0400 *** | 0.0162 ** | 0.190 *** | 0.0520 * |
| (0.00445) | (0.00771) | (0.0234) | (0.0300) | |
| age 2 | −0.000395 *** | −0.000190 * | −0.00247 *** | −0.000678 * |
| (5.97 × 10−5) | (0.000102) | (0.000331) | (0.000394) | |
| continuous years of employment | 0.0105 *** | 0.0223 *** | NO | NO |
| (0.00122) | (0.00219) | |||
| continuous years of employment 2 | 9.06 × 10−5 | 9.99 × 10−6 | NO | NO |
| (5.74 × 10−5) | (0.000101) | |||
| kid | 0.0453 *** | −0.0315 *** | 0.0396 ** | −0.0592 ** |
| (0.00323) | (0.00633) | (0.0164) | (0.0247) | |
| marital status | 0.0937 *** | 0.0231 * | 0.400 *** | −0.251 *** |
| (0.00711) | (0.0140) | (0.0357) | (0.0621) | |
| education level | 0.0748 *** | 0.0932 *** | 0.0408 *** | 0.0546 *** |
| (0.00301) | (0.00574) | (0.0122) | (0.0179) | |
| residence in a metropolitan area | −0.138 *** | 0.0577 | −0.357 | −0.0101 |
| (0.0292) | (0.0771) | (0.315) | (0.215) | |
| unhealthy condition | −0.103 *** | −0.0709 * | −0.213 * | −0.148 |
| (0.0226) | (0.0411) | (0.111) | (0.109) | |
| firm size | 0.232 *** | 0.191 *** | NO | NO |
| (0.00512) | (0.0114) | |||
| Occupation | YES | YES | NO | NO |
| year | YES | YES | YES | YES |
| region | YES | YES | YES | YES |
| Constant term | 4.318 *** | 4.651 *** | 1.871 ** | 4.261 *** |
| (0.179) | (0.280) | (0.750) | (0.769) | |
| Observations | 14,896 | 4650 | 2531 | 1028 |
| Sample size | 3552 | 1893 | 935 | 573 |
| Log likelihood | −1745.765 | −925.8452 | −2042.939 | −766.7597 |
| Wald chi2(52) | 15,093.77 | |||
| Wald chi2(46) | 3112.14 | |||
| Wald chi2(38) | 1034.86 | |||
| Wald chi2(34) | 155.85 | |||
| Standard errors in parentheses | ||||
Appendix B






References
- Barr, Nicholas, and Peter Diamond. 2008. Reforming Pensions: Principles and Policy Choices. Oxford: Oxford University Press, pp. 1–366. [Google Scholar] [CrossRef]
- Bengtsson, Niklas, Bertil Holmlund, and Daniel Waldenström. 2016. Lifetime versus Annual Tax-and-Transfer Progressivity: Sweden, 1968–2009. Scandinavian Journal of Economics 118: 619–45. [Google Scholar] [CrossRef]
- Choi, Jang Hoon, and Joseph H. T. Kim. 2016. Designing an Alternative Public Pension Scheme: A Korean Case Study. Global Economic Review 45: 380–404. [Google Scholar] [CrossRef]
- Choi, Ki-Hong. 2016. Intergenerational Equity and Sustainability of the Korean National Pension: A Generational Accounting. Economic Analysis 22: 50–89. [Google Scholar]
- Choi, Ki-Hong. 2018. A Comparative Study of the Progressivity of Benefit Formulas: Korean National Pension vs OASDI. Korean Journal of Public Finance 11: 85–115. [Google Scholar]
- Choi, Ki-Hong, and Jung Lim Han. 2017. Measurement of the Profitabilities of the National Pension by Income Class. Journal of the Korean Official Statistics 22: 44–64. [Google Scholar] [CrossRef]
- Chun, Young Jun. 2020. Structural Problems of Korean Public Pension System. The Korean Economic Forum 13: 33–66. [Google Scholar] [CrossRef]
- Coronado, Lynn Julia, Don Fullerton, and Thomas Glass. 2000. The Progressivity of Social Security. NBER Working Paper No7520. Cambridge: National Bureau of Economic Research. [Google Scholar] [CrossRef]
- Coronado, Lynn Julia, Don Fullerton, and Thomas Glass. 2011. The Progressivity of Social Security. BE Journal of Economic Analysis and Policy 11: 1–43. [Google Scholar] [CrossRef]
- Haan, Peter, Daniel Kemptner, and Victoria Prowse. 2017. Insurance, Redistribution, and the Inequality of Lifetime Income. DIW Discussion Paper No1716. Berlin: German Institute for Economic Research. [Google Scholar] [CrossRef]
- Haider, Steven, and Gary Solon. 2006. Life-Cycle Variation in the Association between Current and Lifetime Earnings. American Economic Review 96: 1308–20. [Google Scholar] [CrossRef]
- Joo, Eunsun. 2022. Two Ways to Reform Korean Pension System to Secure Adequacy—Establishment of Roles of Basic Pension and National Pension. Social Welfare Policy 49: 87–119. [Google Scholar] [CrossRef]
- Kang, Sung-ho, Seung-Hoon Jeon, and Byung In Lim. 2008. An Analysis on the Effect of Both the Income Distribution and Labor Supply of the National Pension Act Revision. The Korean Journal of Economic Studies 56: 75–107. [Google Scholar]
- Kawaguchi, Daiji. 2011. Application of the Mincer Wage Equation to the Japanese Labor Market (ミンサー型賃金関数の日本の労働市場への適用). RIETI Discussion Paper Series 11-J-026: 1–26. [Google Scholar]
- Khang, Young Ho, Jinwook Bahk, Dohee Lim, Hee Yeon Kang, Hwa Kyung Lim, Yeon Yong Kim, and Jong Heon Park. 2019. Trends in inequality in life expectancy at birth between 2004 and 2017 and projections for 2030 in Korea: Multiyear cross-sectional differences by income from national health insurance data. BMJ Open 9: e030683. [Google Scholar] [CrossRef]
- Kim, Hyun-Sook. 2007. The Economic and Social Implication of Count Regression Models for Married Women’s Completed Fertility in Korea. Korea Journal of Population Studies 30: 107–35. [Google Scholar]
- Kim, Jun Young, and Sung-Ho Kang. 2005. Redistribution Effect of National Pension on Initial Generation. 公共経済 10: 129–58. [Google Scholar]
- Kim, Migon. 2018. Korea’s Social Security System. Sejong-si: Korea Institute for Health and Social Affairs, pp. 1–591. Available online: https://www.kihasa.re.kr/publish/report/view?type=research&seq=27900 (accessed on 23 July 2024).
- Kim, Sangho. 2021. A Study on Restructuring of Basic Pension, National Pension and Basic Livelihood Security Program. Korean Social Security Studies 37: 41–64. [Google Scholar]
- Kim, Sang Ho. 2004. Intra-generative Redistribution Effects of the planned Revision in the Naional Pension Scheme. The Korean Journal of Economic Studies 52: 123–44. [Google Scholar]
- Kim, Sang Ho. 2019. Financial Imbalance of National Pension Scheme and Effect of Reform Proposals on Income Distribution: Based on Representative Insurer. Korean Journal of Public Finance 12: 79–104. [Google Scholar]
- Kim, TaeIl. 2015. An Analysis of the Within and Between Generation Equities of the National Pension Plan in Korea. 예산정책연구 4: 31–55. [Google Scholar] [CrossRef]
- Kim, Wonsub, Sungho Kang, Hyungsu Kim, and Yongha Lee. 2016. A Study on Restructuring the Korean Public Pension to a Universal Multi-layered Social Security. Korean Social Security Studies 32: 1–29. [Google Scholar]
- Korea Development Institute. 2008. A Comprehensive Study on the Establishment of an Old-Age Income Security System in Korea: Evaluation of the Public Pension System and Policy Issues (II) (우리나라 노후소득보장체계 구축에 관한 종합연구: 공적연금제도의 평가와 정책과제(Ⅱ)). December. Available online: https://www.kdi.re.kr/research/reportView?&pub_no=10722 (accessed on 17 September 2024).
- Ku, Inhoe, Seong-ho Kang, Hyung-jon Park, Byung-don Son, Haebong Woo, Won-jin Lee, Ok-geum Choi, and Seon-yoo Ham. 2021. In-Depth Analysis of the Multi-Layered Retirement Income Security System Using Administrative Data (행정데이터를 활용한 다층노후소득보장체계 심층분석). Seoul National University Industry-Academic Cooperation Foundation Ministry of Health and Welfare. pp. 1–260. Available online: https://policy.nl.go.kr/search/searchDetail.do?rec_key=SH1_UMO20221358195 (accessed on 23 July 2024).
- Lee, Dongyeol, Woo Chang Kim, and Woong Bee Choi. 2016. An Analysis on the Intra-generational After-tax Income Redistribution Effect of the National Pension Scheme. Korean Social Security Studies 32: 159–74. [Google Scholar]
- Lee, Kyung woo, and Younghun Shim. 2018. Fiscal and Welfare Effects of Balanced-budget Reforms of Korea’s National Pension System. Global Economic Review 47: 367–94. [Google Scholar] [CrossRef]
- Lee, Sang Eun. 2006. Differential life expectancy and the progressivity of the national pension system in Korea. Korean Social Security Studies 22: 217–40. [Google Scholar]
- Leimer, Dean R. 2004. Historical Redistribution Under the Social Security Old-Age and Survivors Insurance and Disability Insurance Programs. ORES Working Paper No. 102. Available online: https://www.ssa.gov/policy/docs/workingpapers/wp102.html (accessed on 23 July 2024).
- Levell, Peter, Barra Roantree, and Jonathan Shaw. 2015. Redistribution from a Lifetime Perspective. IFS Working Paper W15/27. Richmond: IFS, pp. 1–90. [Google Scholar] [CrossRef][Green Version]
- Liebman, Jeffrey B. 2002. Redistribution in the Current U.S. Social Security System. Chicago: University of Chicago Press. Available online: https://www.degruyter.com/document/doi.org/10.7208/9780226241890-003/html (accessed on 23 July 2024).
- Ministry of Employment and Labor. 2021. Survey on Employment Conditions by Employment Type: Wages and Working Hours by Employment Type (고용형태별근로실태조사: 고용형태별 임금 및 근로시간); Sejong-si: Ministry of Employment and Labor. Available online: https://kosis.kr/statHtml/statHtml.do?orgId=118&tblId=DT_118N_LCE0001&vw_cd=MT_ZTITLE&list_id=101_ATITLE_10_A001_B001&scrId=&s-qNo=&lang_mode=ko&obj_var_id=&itm_id=&conn_path=MT_ZTITLE&path=%252FstatisticsList%252FstatisticsListIndex.do (accessed on 23 July 2024).
- Ministry of Health and Welfare. 2023a. The 5th National Pension Comprehensive Plan (Draft); Tokyo: Ministry of Health and Welfare. Available online: https://www.mohw.go.kr/board.es?mid=a10714050100&bid=0060&act=view&list_no=1478700&tag=&nPage=4 (accessed on 22 July 2024).
- Ministry of Health and Welfare. 2023b. The 5th National Pension Financial Estimate Results (제 5차 국민연금 재정계산 재정추계결과); Tokyo: Ministry of Health and Welfare, March 31. Available online: https://www.mohw.go.kr/board.es?mid=a10503010100&bid=0027&tag=&act=view&list_no=375649&cg_code= (accessed on 24 July 2024).
- National Pension Service. 2008. A 20-Year History of the National Pension Scheme (국민연금 20년사); Jeonju-si: National Pension Service, February. Available online: https://ndlsearch.ndl.go.jp/books/R100000002-Ia1000070941 (accessed on 24 July 2024).
- National Pension Service. 2020. Number of Workplace-Based Insured Person by Gender and Age (Fiscal Year 2020) and Number of Individually Insured Person by Gender and Age (Fiscal Year 2020). Available online: https://data.nps.or.kr/pportal/main/listStandardIncome.do?cmsid=102020103000 (accessed on 24 July 2024).
- National Pension Service. 2023. Standard Monthly Income (SMI). Available online: https://www.nps.or.kr/jsppage/cyber_pr/easy/easy_03_01.jsp#:~:text=%EA%B8%B0%EC%A4%80%EC%86%8C%EB%93%9D%EC%9B%94%EC%95%A1%EC%9D%B4%EB%9E%80,%EB%B2%94%EC%9C%84%EB%A1%9C%20%EA%B2%B0%EC%A0%95%ED%95%98%EA%B2%8C%20%EB%90%A9%EB%8B%88%EB%8B%A4 (accessed on 1 May 2023).
- National Pension Service. 2024. Types of National Pension Scheme Enrollment. Available online: https://www.nps.or.kr/jsppage/info/easy/easy_02_01.jsp (accessed on 23 July 2024).
- OECD. 2018. Working Better with Age: Korea. Paris: OECD, pp. 1–132. [Google Scholar] [CrossRef]
- OECD. 2023. Pensions at a Glance 2023. Paris: OECD, pp. 1–233. [Google Scholar] [CrossRef]
- Oh, Keon-Ho. 2021. A study on Restructuring of Pension Systems in Korea: Focusing on a ‘multi-pillar pension system by class. Korea Social Policy Review 28: 123–57. [Google Scholar] [CrossRef]
- Oshio, Takashi. 2010. Welfare Analysis of Redistribution: Questioning Equity and Efficiency (再分配の厚生分析: 公平と効率を問う). Tokyo: Nippon Hyoron-sha (日本評論社), pp. 1–250. Available online: https://www.hit-u.ac.jp/academic/book/2010/100930.html (accessed on 23 July 2024).
- Oshio, Takashi, and Kunio Urakawa. 2008. Intragenerational Redistribution Effects of the Public Pension System (公的年金による世代内再分配効果). Keimei Kaizuka & Ministry of Finance Japan’s Policy Research Institute (eds.), Studies on Social Security System Reform in a Depopulating Society, Chuo Keizai-sha. Available online: https://www.mof.go.jp/pri/publication/shoseki/17.htm (accessed on 23 July 2024).
- Park, Jeonyong. 2024. Income Redistributive Effects of South Korea’s 5th National Pension Reform Plan: Focusing on Disparities in Contribution Period and Life Expectancy across Income Class. Keio-IES Discussion Paper Series 2024: 1–52. [Google Scholar]
- Park, Ji-Hye. 2022. Delayed Retirement: Preparing for Life Cycle Budget Deficits. Mirae Asset Investment and Pension Report No54. Available online: https://investpension.miraeasset.com/file/pdfView.do?fileNm=1646695005470.pdf (accessed on 23 July 2024).
- Ryu, Jaerin. 2022. A Study on the Restructuring Strategy of the Public Pension System in Korea. Sejong-si: Korea Institute for Health and Social Affairs, pp. 1–237. [Google Scholar] [CrossRef]
- Ryu, Jaerin, and Joonil Kim. 2019. Current Issues and Systemic Reform of the Korean Public Pension System: Focusing on the Re-establishment of the Roles of National Pension and Basic Pension. Journal of Korean Social Trend and Perspective (KSTP) 107: 54–89. [Google Scholar] [CrossRef]
- Seok, Jaeeun. 2018. Reform Proposals for the National Pension and Basic Pension for Sustainable Elderly Income Security: Addressing Intergenerational Inequity and Intragenerational Inequality (지속가능한 노인 기본소득보장 위한 국민연금과 기초연금 개혁방안: 세대 간 불공평 및 세대 내 불평등 개선). Korean Social Security Studies 2018: 73–96. [Google Scholar]
- Social Security Administration (SSA). 2024a. Benefit Formula Bend Points. Available online: https://www.ssa.gov/oact/cola/bendpoints.html (accessed on 23 July 2024).
- Social Security Administration (SSA). 2024b. National Average Wage Index. Available online: https://www.ssa.gov/oact/cola/AWI.html (accessed on 23 July 2024).
- Song, Heonjae. 2012. The Analysis of Household’s Fertility Decision in Korea using KLIPS. Korea Review of Applied Economics 14: 51–78. [Google Scholar]
- Statistics Korea. 2021. Consumer Price Inflation Rate (소비자물가상승률). Available online: https://www.index.go.kr/unify/idx-info.do?idxCd=4226 (accessed on 23 July 2024).
- Statistics Korea. 2022. 2021 Life Table. December. Available online: https://kostat.go.kr/board.es?mid=a10301060100&bid=208&act=view&list_no=422107&tag=&nPage=1&ref_bid= (accessed on 23 July 2024).
- Statistics Korea. 2024a. Future Population Projections (by City and Province): 2022–2052. Available online: https://www.index.go.kr/unity/potal/indicator/IndexInfo.do?cdNo=210&idxCd=F0002 (accessed on 26 July 2024).
- Statistics Korea. 2024b. Population Trends Survey 2023: Birth and Death Statistics. February 28. Available online: https://kostat.go.kr/board.es?mid=a10301020300&bid=204&act=view&list_no=429586 (accessed on 23 July 2024).
- Tchoe, Byongho, and Sung-Ho Kang. 2019. Social Consensus for Reforming the National Pension System Sustainable. The Journal of Korean Public Policy 21: 141–77. [Google Scholar] [CrossRef]
- Tchoe, Byongho, and Sung-Ho Kang. 2023. Reform of National Pension System- Parametric Reform vs. Structural Reform. The Journal of Korean Public Policy 25: 71–103. [Google Scholar] [CrossRef]
- Xing, Xuege. 2021. Challenges of the Pension System in China: A Perspective on Income Redistribution (中国における年金制度の問題点 ————所得再分配効果の視点から). Pension Studies (年金研究) 14: 39–64. [Google Scholar] [CrossRef]
- Yuh, Yoonkyung, and Jaehwan Yang. 2011. The Valuation and Redistribution Effect of the Korea National Pension. Hitotsubashi Journal of Economics 52: 113–42. [Google Scholar] [CrossRef]




| National Pension | Special Occupational Pension | |||
|---|---|---|---|---|
| Government Employees Pension | Private School Teachers Pension | Military Pension | ||
| Year of introduction | 1988 | 1960 | 1975 | 1963 |
| Basis | NATIONAL PENSION ACT | PUBLIC OFFICIALS PENSION ACT | TEACHERS PENSION ACT | MILITARY PENSION ACT |
| Applicable subjects | Citizens aged 18 to 59 | Civil servants, judges, police officers | Private school teachers (including hospital staff) | Career soldiers |
| System management | Ministry of Health and Welfare (National Pension Service) | Ministry of the Interior and Safety (Public Officers Pension Service) | Ministry of Education (Teachers Pension Service) | Ministry of National Defense (Welfare Division Military Pension Department) |
| Enrollment Type | Eligible Participants | Contribution Rate (9%) | Method of Contribution Payment | Examples |
|---|---|---|---|---|
| Workplace-based Insured Person | Workplaces (companies) employing one or more employees are required to participate in the National Pension Scheme. Employers and employees aged 18 to 59 working at these workplaces are classified as workplace-based enrollees. | Employer: 4.5% Employee: 4.5% | Employee pension contributions are deducted from monthly salary. | Regular employees, * Non-regular employees |
| Individually Insured Person | Citizens aged 18 to 59 residing in Korea who have income from individual businesses. This includes all individuals with income except for those classified as workplace-based enrollees. | 9% | Individuals must report their standard monthly income to the National Pension Service (NPS), which will determine the contribution amount based on this income. | Self-employed individuals, Agricultural and fisheries workers, Non-regular employees |
| Voluntarily Insured Person (Voluntarily Insured/Voluntarily and Continuously Insured Person) | Individuals aged 18 to 59 who do not fall under workplace-based or region-based categories and choose to enroll voluntarily by applying. | 9% | Contributions are determined each year based on the standard monthly income as of December 31 of the previous year for all region-based enrollees, using the median standard monthly income as the reference point (“Median Standard Monthly Income”). | Full-time homemakers, Students |
| Fiscal Objectives | Estimation Period | Explicit Statement | |
|---|---|---|---|
| Korea (NPS) |
| 70 years | ○ |
| Germany (National Pension System) |
| 15 years (5-year medium-term outlook) | ○ |
| Canada (CPP) |
| 75 years | ○ |
| Japan (National Pension System, Employees’ Pension Insurance) |
| 100 years | × |
| United States (OASDI) |
| 75 years (10-year short-term outlook) | × |
| Sweden |
| 75 years | × |
| Age | Overall | Gender | Income Quintile Group | |||||
|---|---|---|---|---|---|---|---|---|
| Male | Female | 1st | 2nd | 3rd | 4th | 5th | ||
| 15–24 | 13.51 | 11.34 | 15.67 | 6.48 | 10.55 | 15.53 | 16.34 | 13.87 |
| 25–29 | 33.95 | 28.64 | 40.03 | 17.79 | 24.24 | 33.84 | 38.91 | 37.97 |
| 30–34 | 67.66 | 63.42 | 73.47 | 37.05 | 49.47 | 65.91 | 73.87 | 78.4 |
| 35–39 | 105.16 | 106.53 | 103.05 | 56.6 | 78.03 | 103.7 | 117.72 | 125.23 |
| 40–44 | 134.63 | 144.38 | 120.74 | 74.8 | 99.87 | 130.63 | 151.48 | 167.55 |
| 45–49 | 158.07 | 181.61 | 127.43 | 91.33 | 121.88 | 151.15 | 175.36 | 201.48 |
| 50–54 | 170.9 | 212.21 | 123.11 | 107.36 | 134.02 | 158.21 | 182.82 | 220.87 |
| 55–59 | 175.68 | 228.41 | 116 | 122.86 | 143.53 | 162.61 | 186.6 | 233.56 |
| Income Quintile Group | Average Life Expectancy by Income Quintile (Khang et al. 2019) | Assumed Values in This Paper | |
|---|---|---|---|
| Male | 1st | 75.31 | 75 |
| 2nd | 79.81 | 80 | |
| 3rd | 80.81 | 81 | |
| 4th | 81.81 | 82 | |
| 5th | 83.22 | 83 | |
| Female | 1st | 83.38 | 83 |
| 2nd | 86.12 | 86 | |
| 3rd | 86.22 | 86 | |
| 4th | 86.71 | 87 | |
| 5th | 87.72 | 88 |
| National Pension Service | KLIPS | Sample Used in This Study (KLIPS) | ||
|---|---|---|---|---|
| Workplace-based Insured Persons | Male | 8,307,000 (58) | 8113 (56.9) | 5792 (58.5) |
| Female | 6,012,000 (42) | 6150 (43.1) | 4117 (41.5) | |
| Individually Insured Persons | Male | 1,858,000 (48.9) | 6807 (50.7) | 3073 (51.6) |
| Female | 1,941,000 (51.1) | 6622 (49.3) | 2885 (48.4) |
| Workplace-Based Insured Persons | CNPS | 5NPCPD | |||||
| (1) Increase in the Contribution Rate | (2) Differences in the Rate of Increase by Age Group | (3) Raising the Pensionable Age | |||||
| Proposal 1 | Proposal 2 | Proposal 3 | Proposal 4 | Proposal 5 | Proposal 6 | ||
| Before the introduction of the BP-KNPS Proposal | 0.2022863 | 0.2018175 | 0.2009814 | 0.2008875 | 0.2015882 | 0.2218906 | 0.2229137 |
| After the introduction of the BP-KNPS Proposal | 0.1929960 | 0.1933260 | 0.1921718 | 0.1920445 | 0.1944095 | 0.2217297 | 0.2247273 |
| Individually Insured Persons | CNPS | 5NPCPD | |||||
| (1) Increase in the contribution rate | (2) Differences in the rate of increase by age group | (3) Raising the pensionable age | |||||
| Proposal 1 | Proposal 2 | Proposal 3 | Proposal 4 | Proposal 5 | Proposal 6 | ||
| Before the introduction of the BP-KNPS Proposal | 0.2046127 | 0.2006878 | 0.1987771 | 0.1985977 | 0.1980808 | 0.2115630 | 0.2110299 |
| After the introduction of the BP-KNPS Proposal | 0.1721433 | 0.1677115 | 0.1654873 | 0.1652860 | 0.1658908 | 0.1735735 | 0.1760280 |
Disclaimer/Publisher’s Note: The statements, opinions and data contained in all publications are solely those of the individual author(s) and contributor(s) and not of MDPI and/or the editor(s). MDPI and/or the editor(s) disclaim responsibility for any injury to people or property resulting from any ideas, methods, instructions or products referred to in the content. |
© 2024 by the author. Licensee MDPI, Basel, Switzerland. This article is an open access article distributed under the terms and conditions of the Creative Commons Attribution (CC BY) license (https://creativecommons.org/licenses/by/4.0/).
Share and Cite
Park, J. A Policy Proposal to Strengthen the Income Redistribution Function of the National Pension Scheme in South Korea: An Analysis of South Korea’s 5th National Pension Comprehensive Plan (Draft). Economies 2024, 12, 275. https://doi.org/10.3390/economies12100275
Park J. A Policy Proposal to Strengthen the Income Redistribution Function of the National Pension Scheme in South Korea: An Analysis of South Korea’s 5th National Pension Comprehensive Plan (Draft). Economies. 2024; 12(10):275. https://doi.org/10.3390/economies12100275
Chicago/Turabian StylePark, Jeonyong. 2024. "A Policy Proposal to Strengthen the Income Redistribution Function of the National Pension Scheme in South Korea: An Analysis of South Korea’s 5th National Pension Comprehensive Plan (Draft)" Economies 12, no. 10: 275. https://doi.org/10.3390/economies12100275
APA StylePark, J. (2024). A Policy Proposal to Strengthen the Income Redistribution Function of the National Pension Scheme in South Korea: An Analysis of South Korea’s 5th National Pension Comprehensive Plan (Draft). Economies, 12(10), 275. https://doi.org/10.3390/economies12100275

