Gate Sizing Methodology with a Novel Accurate Metric to Improve Circuit Timing Performance under Process Variations
Abstract
1. Introduction
2. Optimization Methodology
3. Coarse Strategies for Pruning Candidate Gates
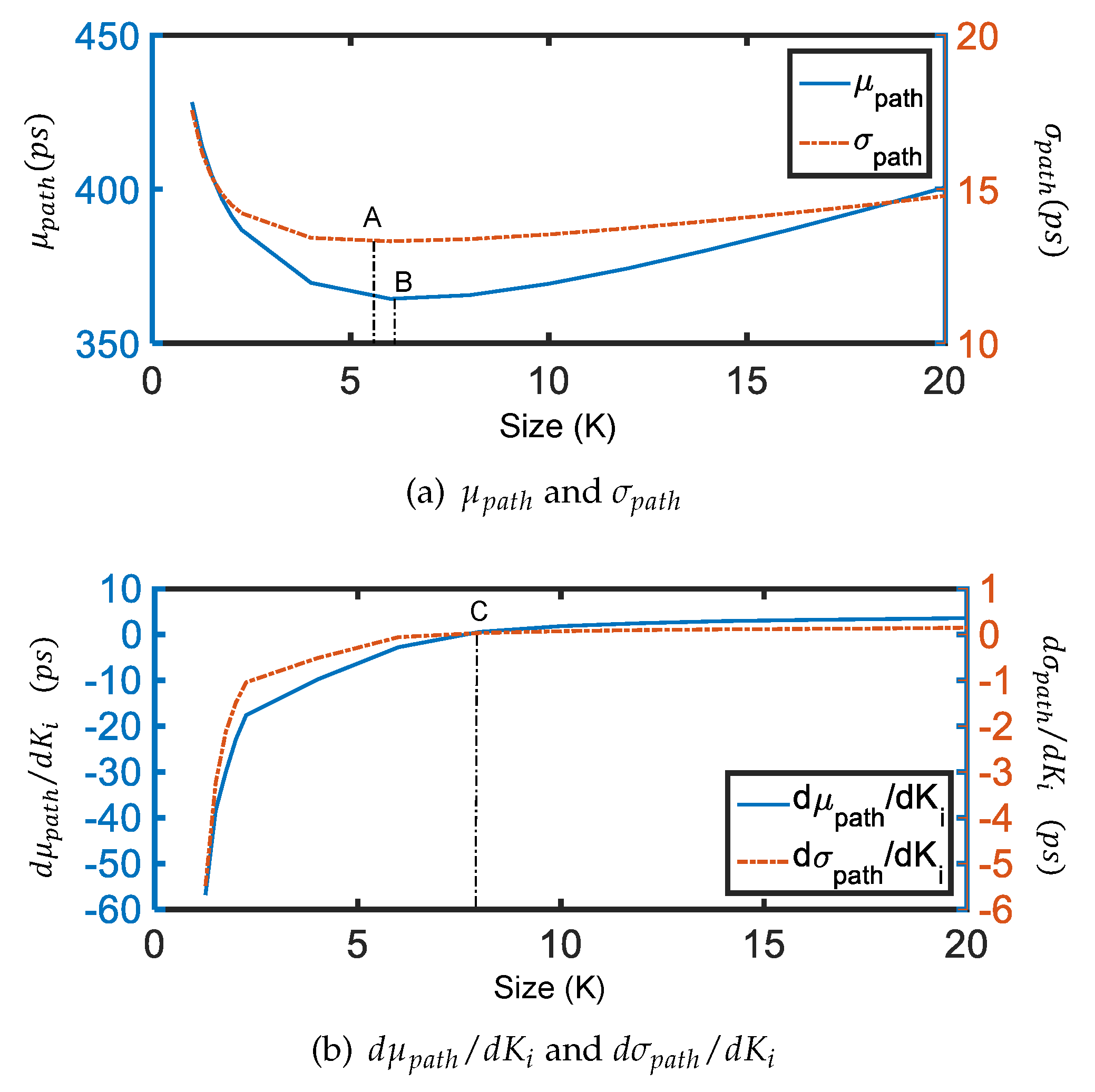
3.1. Coarse Selection Using a Simple Metric
3.2. Coarse Selection Using the Gate Criticality
4. Fine Selection Metric of Candidate Gates
4.1. Metric Fundamentals
4.1.1. Path Segment Evaluation
- -
- The gate delay standard deviation of gate reduces because as indicated [38].
- -
- -
- The load capacitance of the preceding gate increases, and as a consequence, the delay variance of the gate increases.
4.1.2. Modelling the Input Transition Time as a Normal Distribution
4.2. Fine Metric Formulation
4.2.1. Derivation of the Basic Fine Metric
4.2.2. Basic Fine Metric
4.2.3. Including Area, Gate Criticality, and Slack Time
5. Sizing Heuristic
6. Simulation Results on the ISCAS Benchmark Circuits
6.1. Fine Metric Validation
6.2. Benefit of the Low-Cost Pruning Strategies
6.3. Optimization Results and Comparison
| Algorithm 1: Algorithm sizing heuristic |
![]() |
6.4. Comparison with Previous Works
7. Conclusions
Author Contributions
Funding
Conflicts of Interest
References
- Nassif, S.R. Modelling and Analysis of Manufacturing Variations. In Proceedings of the IEEE 2001 Custom Integrated Circuits Conference, San Diego, CA, USA, 9 May 2001. [Google Scholar]
- Blaauw, D.; Chopra, K.; Srivastava, A.; Scheffer, L. Statistical Timing Analysis: From Basic Principles to State of the Art. IEEE Trans. Comput. Aided Des. Integr. Circuits Syst. 2008, 27, 589–607. [Google Scholar] [CrossRef]
- Dadgour, H.F.; Endo, K.; De, V.K.; Banerjee, K. Grain-Orientation Induced Work Function Variation in Nano Scale Metal-Gate Transistors—Part II: Implications for Process, Devices and Circuit Design. IEEE Trans. Electron Devices 2010, 57, 2515–2525. [Google Scholar] [CrossRef]
- Matsukawa, T.; Fukada, K.; Liu, Y.; Endo, K.; Tsukada, J.; Ishikawa, Y.; Yamauchi, H.; O’uchi, S.; Migita, S.; Mizubayashi, W.; et al. Fluctuation in Drain Induced Barrier Lowering (DIBL) for FinFets Caused by Granular Work Function Variation of Metal Gates. In Proceedings of the Technical Program-2014 International Symposium (VLSI-TSA), Hsinchu, Taiwan, 28–30 April 2014. [Google Scholar]
- Rasouli, S.H.; Endo, K.; Banerjee, K. Variability Analysis of FinFET-Based Devices and Circuits Considering Electrical Confinement and Width Quantization. In Proceedings of the 2009 IEEE/ACM International Conference on Computer-Aided Design-Digest of Technical, San Jose, CA, USA, 2–5 November 2009. [Google Scholar]
- Ojha, A.; Chauhan, Y.S.; Mohapatra, N.R. A Channel Stress-Profile-Based Compact Model for threshold Voltage Prediction of Uniaxial Strained HKMG nMOS Transistors. IEEE J. Electron Devices Soc. 2016, 4, 42–49. [Google Scholar] [CrossRef]
- Datta, A.; Bhunia, S.; Choi, J.H.; Mukhopadhyay, S.; Roy, K. Profit Aware Circuit Design Under Process Variations Considering Speed Binning. IEEE Trans. Very Large Scale Integr. (Vlsi) Syst. 2008, 16, 806–815. [Google Scholar] [CrossRef]
- Mahmoodi, H.; Mukhopadhyay, S.; Roy, K. Estimation of Delay Variations due to Random Dopant Fluctuactions in Nanoscale CMOS Circuit. IEEE J. Solid State Circuits 2005, 40, 1787–1796. [Google Scholar] [CrossRef]
- Kou, L.; Robinson, W.H. Impact of Process Variations on Reliability and Performance of 32nm 6T at Near Threshold Voltage. In Proceedings of the 2014 IEEE Computer Society Annual Symposium on VLSI, Tampa, FL, USA, 9–11 July 2014. [Google Scholar]
- Kansal, S.; Lanuzza, M.; Corsonello, P. Impact of Random Process Variations on different 65nm SRAM cell topologies. In Proceedings of the Third International Conference on Emerging Trends in Engineering and Technology, Goa, India, 19–21 November 2010. [Google Scholar]
- Arulvani, M.; Karthikeyan, S.S.; Neelima, N. Investigation of Process Variation on Register Files in 65nm Technology. In Proceedings of the International Conference on Emerging Trends in VLSI, Embedded System, Nano Electronics and Telecomunication System (ICEVENT), Tiruvannamalai, India, 7–9 January 2013. [Google Scholar]
- Abhishek, D.; Srekan, O.; Gokhan, M.; Joseph, Z.; Alok, C. Microarchitectures for Managing Chip Revenues Under Process Variations. IEEE Comput. Archit. Lett. 2008, 6, 29–32. [Google Scholar]
- Wang, X.; Cheng, B.; Brown, A.R.; Millar, C.; Asenov, A. Statistical Variability in 14nm node SOI FinFets and its Impact on Corresponding 6T-SRAM Cell Design. In Proceedings of the European Solid-State Device Research Conference (ESSDERC), Bordeaux, France, 17–21 September 2012. [Google Scholar]
- Alioto, M.; Consoli, E.; Palumbo, G. Variations in Nanometer CMOS Flip-Flops: Part I Impact of Process Variations on Timing. IEEE Trans. Circuits Syst. Regul. Pap. 2015, 62, 2035–2043. [Google Scholar] [CrossRef]
- Chen, C.; Chris, C.N.; Wong, D.F. Fast and Exact Simultaneous Gate and Wire Sizing by Lagarngian Relaxation. IEEE Trans. Comput. Adided Des. Integr. Circuits Syst. 1999, 18, 1014–1025. [Google Scholar] [CrossRef]
- Champac, V.; Reyes, A.N.; Gomez, A.F. Circuit Performance Optimization for Local Intra-Die Process Variations Using Gate Selection Metric. In Proceedings of the IFIP/IEEE International Conference on Very Large Scale Integration (VLSI-SoC), Daejeon, Korea, 5–7 October 2015. [Google Scholar]
- Raj, S.; Vrudhula, S.B.K.; Wang, J.A. Methodology to Improve Timing Yield in the Presence of Process Variations. In Proceedings of the 41st Design Automation Conference, San Diego, CA, USA, 7–11 July 2004. [Google Scholar]
- Davoodi, A.; Siravastava, A. Variability Driven Gate Sizing for Binning Yield Optimization. IEEE Trans. Very Large Scale Integr. (Vlsi) Syst. 2008, 16, 683–692. [Google Scholar] [CrossRef]
- Lu, Y.; Shang, L.; Zhou, H.; Zhu, H.; Yang, F.; Zeng, X. Statistical Reliability Analysis Under Process Variation and Aging Effects. In Proceedings of the 2009 46th ACM/IEEE Design Automation Conference, San Francisco, CA, USA, 26–31 July 2009. [Google Scholar]
- Choi, S.H.; Paul, B.C.; Roy, K. Novel Sizing Algorithm for Improvement under Process Variation in Nanometer Technology. In Proceedings of the 41st Design Automation Conference (DAC’04), San Diego, CA, USA, 7–11 July 2004. [Google Scholar]
- Sun, J.; Wang, J. Robust Gate Sizing by Uncertainty Second Order Cone. In Proceedings of the 11th International Symposium on Quality Electronic Design (ISQED), San Jose, CA, USA, 22–24 March 2010. [Google Scholar]
- Hwang, E.J.; Kim, W.; Kim, Y.H. Timing Yield Slack for Timing Yield-Constrained Optimization and its Appliation to Statistical Leakage Minimization. IEEE Trans. Very Large Scale Integr. (Vlsi) Syst. 2013, 12, 1783–1796. [Google Scholar] [CrossRef]
- Raji, M.; Ghavami, B. Soft Error Rate Reduction of Combinational Circuits Using Gate Sizing in the Presence of Process Variations. IEEE Trans. Very Large Scale Integr. (Vlsi) Syst. 2017, 25, 247–260. [Google Scholar] [CrossRef]
- Agarwal, A.; Chopra, K.; Blaauw, D.; Zolotov, V. Circuit Optimization using statistical timing analysis. In Proceedings of the 42nd Design Automation Conference 2005, Anaheim, CA, USA, 13–17 June 2005. [Google Scholar]
- Yelamarthi, K.; Chen, C.H. A timing optimization technique for Nanoscale CMOS circuits susceptible to process variations. In Proceedings of the IEEE International Instrumentation and Measurement Technology Conference, Binjiang, China, 10–12 May 2011. [Google Scholar]
- Sreemath, K.; Ramesh, S.R. Statistical Viability Analysis and Optimization Through Gate Sizing; Bhattacharya, S., Gandhi, T., Sharma, K., Dutta, P., Eds.; Advanced Computational and Communications Paradigms Lecture Notes in Electrical Engineering; Springer: Singapore, 2018. [Google Scholar]
- Neiroukh, O.; Song, X. Improving the Process Variation Tolerance of Digital Circuits Using Gate Sizing and Statistical Techniques. In Proceedings of the Design, Automation and Test in Europe Conference exhibition (DATE’05), Munich, Germany, 7–11 March 2005. [Google Scholar]
- Tsai, C.; Cheng, C.; Huang, N.; Wu, K. Analysis and Optimization of Variable-Latency Design in the Presence of Timing Variability. In Proceedings of the Design, Automation Test in Europe Conference Exhibition (DATE), Lausanne, Switzerland, 27–31 March 2017. [Google Scholar]
- Ramprasath, S.; Vasudevan, V. An Efficient Algorithm for Statistical Timing Yield Optimization. In Proceedings of the 2015 52nd ACM/EDAC/IEEE Design Automation Conference (DAC), San Francisco, CA, USA, 8–12 June 2015. [Google Scholar]
- Sinha, D.; Shenoy, N.V.; Zhou, H. Statistical gate sizing for timing yield optimization. In Proceedings of the ICCAD-2005 IEEE/ACM International Conference on Computer-Aided Design, San Jose, CA, USA, 6–10 November 2005. [Google Scholar]
- Ebrahimipour, S.M.; Ghavami, B.; Raji, M. Adjacent Criticality: A Simple However, Effective Metric for Statistical Timing Yield Optimization of Digital Integrated Circuits. IET Circuits Devices Syst. 2019, 13, 979–987. [Google Scholar] [CrossRef]
- Hassan, F.; Vanderbauwhede, W.; Rodriguez, F.S. Impact of Random Dopant Fluctuactions on Timing Characteristics of Flip-Flop. IEEE Trans. Very Large Scale Integr. (Vlsi) Syst. 2012, 20, 157–161. [Google Scholar] [CrossRef]
- Chung, S.S. The Variability Issues in Small Scale Trigate CMOS Devices: Random Dopant and Trap Induced Fluctuations. In Proceedings of the 20th IEEE International Symposium on the Physical and Failure Analysis of Integrated Circuits (IPFA), Suzhou, China, 15–19 July 2013. [Google Scholar]
- Zhang, K.; Chen, Y.; Dong, Y.; Xie, Z.; Zhao, Z.; Si, P.; Yu, T.; Dai, L.; Lv, W. Effect of Random Channel Dopant on Timing Variation for Nanometre CMOS Inverters. In Proceedings of the IEEE 2nd International Conference on Electronics Technology (ICET), Chengdu, China, 10–13 May 2019. [Google Scholar]
- Ye, Y.; Liu, F.; Chan, M.; Nassif, S.; Cao, Y. Statistical Modeling and Simulation of Threshold variations Under Random Dopant Fluctuactions and Line Edge Rougness. IEEE Trans. Very Large Scale Integr. (Vlsi) Syst. 2011, 19, 987–996. [Google Scholar] [CrossRef]
- Sakurai, T.; Newton, A.R. Alpha - Power Law Model and its Application to CMOS Inverter Delay and other Formulas. IEEE J. Solid State Circuits 1990, 25, 584–594. [Google Scholar] [CrossRef]
- Guthaus, M.R.; Venkateswarant, N.; Visweswariaht, C.; Zolotov, V. Gate Sizing Using Incremental Parameterized Statistical Timing Analysis. In Proceedings of the ICCAD-2015 IEEE/ACM International Conference on Computer-Aided Design, San Jose, CA, USA, 6–10 November 2005. [Google Scholar]
- Pelgrom, J.M.; Duinmaijer, C.J.; Welbers, P.G. Matching Properties of MOS Transistors. IEEE J. Solid State Circuits 1989, 24, 1433–1439. [Google Scholar] [CrossRef]
- Roy, S.; Pan, D.Z. Reliability Aware Gate Sizing Combating NBTI and oxide Breakdown. In Proceedings of the 2014 27th International Conference on VLSI Design and 2014 13th International Conference on Embedded Systems, Mumbai, India, 5–9 January 2014. [Google Scholar]
- Ozdal, M.M.; Burns, S.; Hu, J. Algorithms for Gate Sizing and Device Parameter Selection for High-Performance Design. IEEE Trans. Comput. Aided Des. Integr. Circuits Syst. 2012, 31, 1558–1571. [Google Scholar] [CrossRef]
- Shin, S.; Yu, W.; Jun, Y.; Kim, J.; Kong, B.; Lee, C. Slew Rate Controlled Output Driver Having Constant Transition Time Over Process, Voltage Temperature, and Output Load Variations. IEEE Trans. Circuits Syst. 2007, 54, 601–605. [Google Scholar] [CrossRef]
- Kouno, T.; Onodera, H. Consideration of Transition-Time Variability in Statistical Timing Analysis. In Proceedings of the IEEE International SoC Conference, Taipei, Taiwan, 24–27 September 2006. [Google Scholar]
- Chang, H.; Sapatnekar, S. Statistical Timing Analysis Under Spatial Correlations. IEEE Trans. Comput. Aided Des. Integr. Circuits Syst. 2005, 24, 1467–1482. [Google Scholar] [CrossRef]
- Livramento, V.; Guth, C.; Johann, M.O. Evaluating the Impact of Slew on Delay and Power of Neighbouring Gates in Discrete Gate Sizing. In Proceedings of the IEEE 3rd Latin American Symposium on Circuits and Systems (LASCAS), Playa del Carmen, Mexico, 29 February–2 March 2012. [Google Scholar]
- Perez, Z.; Villacorta, H.; Champac, V. An Accurate Novel Gate-Sizing Metric to Optimize Circuit Performance Under Local Intra-Die Process Variations. In Proceedings of the 2018 IFIP/IEEE International Conference on Very Large Scale Integration (VLSI-SoC), Verona, Italy, 8–10 October 2018. [Google Scholar]
- Hwang, E.J.; Kim, W.; Kim, Y.H. Timing Yield Slack for Timing Statistical Optimization. In Proceedings of the 2011 3rd Asia Symposium on Quality Electronic Design (ASQED), Kuala Lumpur, Malaysia, 19–20 July 2011. [Google Scholar]







| CKT | Before Opt. (ps) | Total | Paths | Paths | Total | Gates | Gates | After Opt. (ps) | ||||
|---|---|---|---|---|---|---|---|---|---|---|---|---|
| Paths | DSTA | SSTA | Gates | CMs | FM | |||||||
| S298 | 7.36 | 342.9 | 365 | 231 | 106 | 25 | 31 | 23 | 13 | 4.46 | 289 | 302 |
| S838 | 19.7 | 801.6 | 860 | 1714 | 378 | 50 | 39 | 10 | 7 | 12.4 | 685 | 723 |
| C880 | 10.7 | 699.7 | 732 | 4935 | 2973 | 105 | 66 | 19 | 17 | 8.31 | 653 | 678 |
| CKT | Time (s) | |||||||||||
|---|---|---|---|---|---|---|---|---|---|---|---|---|
| Our | DVP | L | Our | DVP | L | Our | DVP | L | Our | DVP | L | |
| S298 | 39.33 | 42.4 | 42.0 | 17.0 | 17.9 | 16.9 | 3.2 | 3.4 | 2.8 | 0.53 | 1.7 | 2.17 |
| C432 | 39.9 | 45.1 | 45.3 | 16.1 | 19.2 | 18.1 | 4.8 | 4.4 | 5.0 | 14.8 | 27.9 | 83.44 |
| S838 | 36.0 | 36.0 | 38.17 | 16.0 | 16.0 | 15.3 | 5.2 | 5.3 | 5.0 | 1.08 | 3.18 | 10.32 |
| S5378 | 21.9 | 21.9 | 21.9 | 9.39 | 9.38 | 9.38 | 0.2 | 0.16 | 0.38 | 0.77 | 1.45 | 9.93 |
| C880 | 22.75 | 22.86 | 23.77 | 7.28 | 7.26 | 7.9 | 1.3 | 1.3 | 3.0 | 1.29 | 2.85 | 11.77 |
| C1908 | 25.78 | 25.94 | 26.83 | 11.33 | 11.39 | 8.2 | 5.2 | 5.2 | 5.2 | 23.2 | 41.34 | 98.8 |
| C5315 | 22.31 | 22.31 | 22.31 | 11.8 | 11.49 | 10.9 | 1.9 | 1.4 | 1.5 | 5.46 | 9.17 | 29.21 |
| C2670 | 14.3 | 16.1 | 17.6 | 7.3 | 6.2 | 4.4 | 2.56 | 2.6 | 2.23 | 1.28 | 3.23 | 9.92 |
© 2020 by the authors. Licensee MDPI, Basel, Switzerland. This article is an open access article distributed under the terms and conditions of the Creative Commons Attribution (CC BY) license (http://creativecommons.org/licenses/by/4.0/).
Share and Cite
Perez-Rivera, Z.; Tlelo-Cuautle, E.; Champac, V. Gate Sizing Methodology with a Novel Accurate Metric to Improve Circuit Timing Performance under Process Variations. Technologies 2020, 8, 25. https://doi.org/10.3390/technologies8020025
Perez-Rivera Z, Tlelo-Cuautle E, Champac V. Gate Sizing Methodology with a Novel Accurate Metric to Improve Circuit Timing Performance under Process Variations. Technologies. 2020; 8(2):25. https://doi.org/10.3390/technologies8020025
Chicago/Turabian StylePerez-Rivera, Zahira, Esteban Tlelo-Cuautle, and Victor Champac. 2020. "Gate Sizing Methodology with a Novel Accurate Metric to Improve Circuit Timing Performance under Process Variations" Technologies 8, no. 2: 25. https://doi.org/10.3390/technologies8020025
APA StylePerez-Rivera, Z., Tlelo-Cuautle, E., & Champac, V. (2020). Gate Sizing Methodology with a Novel Accurate Metric to Improve Circuit Timing Performance under Process Variations. Technologies, 8(2), 25. https://doi.org/10.3390/technologies8020025


