Abstract
This paper attempts to apply an adaptive network-based fuzzy inference system (ANFIS) for analysis of the resonant frequency of a single-layer single-patch microstrip rectangular patch antenna with two equal size slots which are placed on the patch in the form of parallel to resonance edges. The resonant frequency is calculated as the position of the slots is shifted from the right endpoint to the left endpoint on the patch between −4.2 mm ≤ Xslot ≤ 4.2 mm with the steps of 0.1 mm. The designed antenna is proposed for downlink of X band satellite, broadcasting satellite service, fixed-satellite service uplink, satellite (Earth-to-space), radio navigation, mobile-satellite (Earth-to-space), and KU band which can be achieved at the resonant frequencies of 7.2 GHz, 12.2 GHz, 14.6 GHz, 17.5 GHz and 19.3 GHz. Next, High Frequency Electromagnetic Field Simulation software (ANSYS HFSS) results for the prototype microstrip antenna are compared with the values obtained through ANFIS system. It can be concluded that the adaptive network-based fuzzy inference system in such designs can be conveniently used due to fuzzy system’s high approximation capability and much faster convergence rate. The best results for our ANFIS system can be obtained if Gaussian membership is used which leads to the mean absolute error of 1.4653.
1. Introduction
Microstrip antennas have gained much attention for telecommunication engineers and researchers especially in recent years because they have very simple installation. Furthermore, they have many advantages, such as being cheap, light in terms of weight and easy to work with. Additionally, when they have slotted structures of various forms, they can enhance the bandwidth to such a degree that multi bands can be covered simultaneously. In addition, radiation loss in these antennas has been reported to be much lower [1,2,3,4,5]. Obviously, it is much preferable to take advantage of only one single multiband antenna instead of several antennas which is able to operate in different frequency bands. Reportedly, when a slot is cut appropriately on the microstrip patch with the right dimensions, a multiband slot antenna can be fabricated more efficiently [1,6]. Hereupon, it is attempted to evaluate the effect of changing the position of the two slots which are located parallel to resonance edges on the antenna characteristics especially the parameter of resonant frequency. As well as, the feed line of the antenna is fixed in order to make the analysis of the antenna much simpler. In previous works Artificial Neural Network (ANNs) have successfully been introduced to compute different parameters of the rectangular antennas [7,8,9,10]. In [11], the frequency in which a rectangular microstrip antenna resonates can be computed by using connectionist systems namely artificial neural networks. Nevertheless, almost all the previously published papers focus on estimation of a single resonant frequency [7,8,9,10,11]. ANNs will perform better than other techniques if large data sets have to be analyzed. However, in this work, since the number of data points is limited to 84, ANFIS has been applied to simulate multiple resonant frequencies at the same time and fortunately the results are quite satisfactory.
2. Resonant Frequency of Rectangular Microstrip Antenna with Slots Parallel to Resonance Edges
A rectangular microstrip antenna is shown in Figure 1. This microstrip antenna has a rectangular shape of the dimensions of L and W representing the length and the width of the antenna respectively. There is a conducting surface acting as the ground plane which is located over a substrate with the thickness of h and relative permittivity of . Equation (1) indicates the frequency of the antenna in which the antenna resonates and it can be computed as:
where is the effective relative permittivity for the patch, c is the velocity of electromagnetic waves in free space, m and n integers, and Le and We are the effective dimensions. Reportedly, the width of the patch has direct effect on some important parameters of the antenna such as radiation pattern and the frequency in which the antenna probably resonates. The resonant frequency of the antenna at its fundamental TM10 mode can be calculated from Equation (1):
Le can be defined as follows:
Le = L + 2ΔL
Figure 1.
Geometry of rectangular MSA.
is referred to as the effective relative permittivity and Le is the effective length showing the field fringing at the end of the patch. They are indicating the effects of the non-uniform medium and the fringing fields at each end of the patch. Two formulas for Equations (2) and (3) presented by Schneider (1969) and Hammerstad (1975) can be used to calculate (W) and L.
Figure 2 illustrates inset-fed microstrip antenna with two slots which are placed parallel to the resonance edges on the patch. The antenna is fabricated on FR-4 substrate, with a thickness of 1.6 mm and permittivity of = 4.2. Table 1 gives the values of the proposed microstrip antenna.
Figure 2.
Full ground plane microstrip antenna without slots on the left side and with two slots on the right side being parallel to resonance edges fabricated on FR-4 substrate with a thickness of 1.6 mm.
Table 1.
The values of the proposed microstrip antenna with its parameters without slots.
The first thing to do is to estimate the feeding line. As can be seen from Figure 3, the best feed line is calculated when L1 = 3 mm.
Figure 3.
Estimation of the feed line for the proposed antenna.
After estimating the feed line, the length and width of the radiating patch must be examined. L5 and L6 are considered to be equal in this design. It means they have the same value but as the value of L5 is changed, the value of L6 is varied as well to obtain the optimum length and width of the patch. Figure 4 shows S11 curves in dB versus frequency to evaluate and obtain the best results from the length and width of the proposed patch antenna.
Figure 4.
S11 curves for calculation of the best dimensions of the proposed patch antenna.
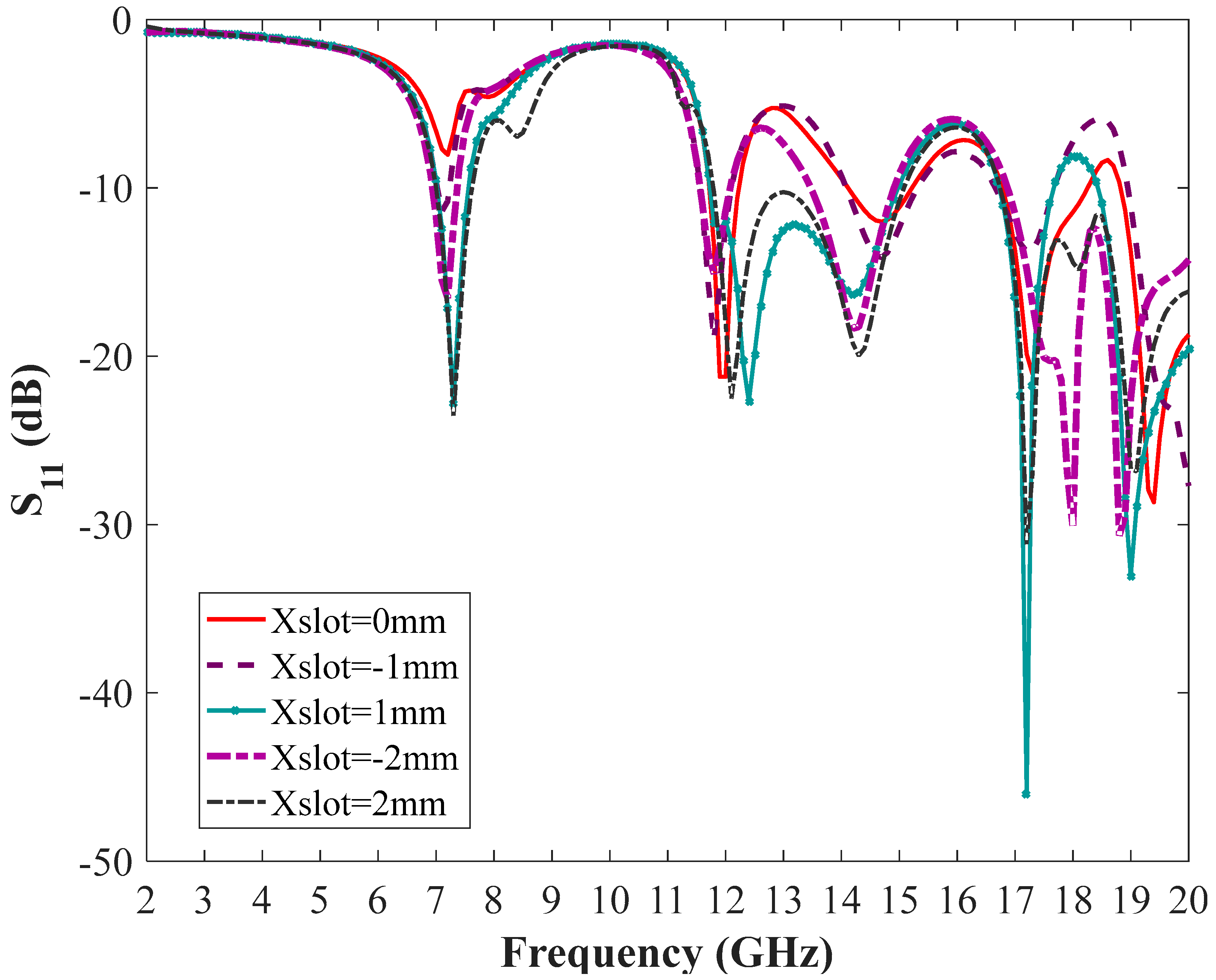
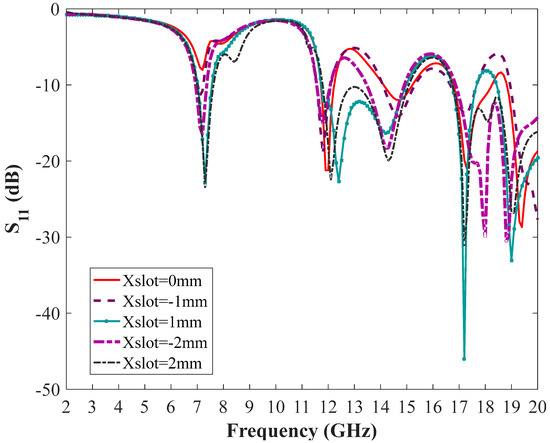
As explained before, the two slots are placed parallel to resonance edges on the patch. In the case of having two slots being parallel to resonance edges, they are exactly placed in the middle point of L5 and L6. Then, they are shifted from the beginning point of L5 and L6 to the endpoint of the patch in order to find the best point and the most appropriate location. The results reveal that as the slots get closer to the right and left sides of the patch (the endpoints), a better response can be expected. Figure 5 shows the values of Xslot when −2 mm ≤ Xslot ≤ 2 mm from which the best position is selected as Xslot = 1 mm. i.e., a distance of 1 mm from the right and left sides of the patch.
Figure 5.
Finding the best coordination for Xslot on the patch with two slots being parallel to resonance edges.
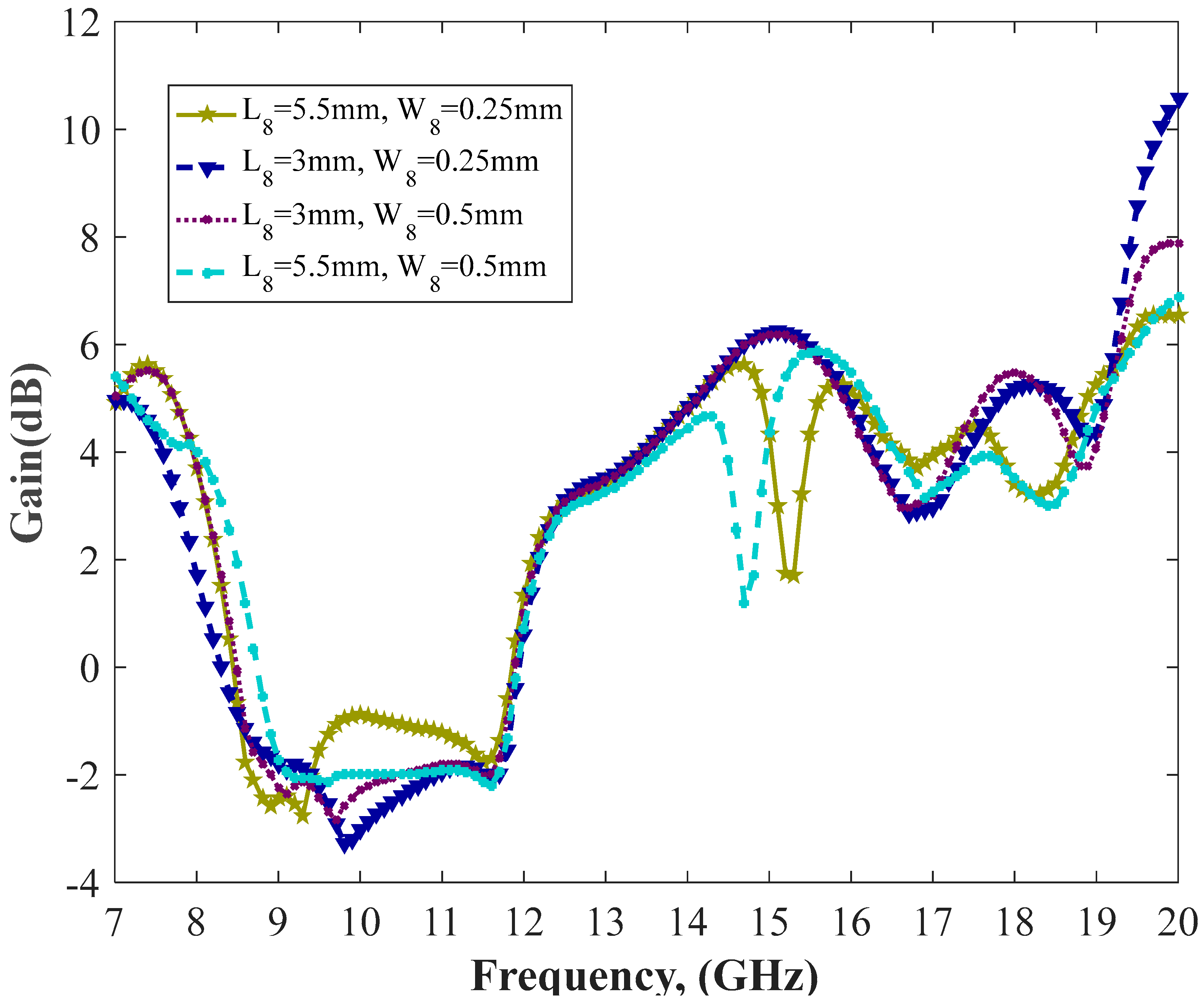
As can be seen from Figure 6, with changing the length of the patch, the resonant frequency varies imperceptibly but the bandwidth and impedance matching vary tangibly. Accordingly, the length of the feed line is selected longer owing to the existence of more resonant frequencies, high impedance matching (little return loss) and more bandwidth. Both L4 = 9 mm and 10 mm, and L5 = 5 mm and 6 mm are appropriate for the length and width of the patch because they have good bandwidths and acceptable resonant frequencies. In this work, we selected L5 to be 4 mm and L4 to be 9 mm. In the 1 mm distance left to the ends of the patch the two slots are placed and after estimation of the length of the slots, the gain of the antenna is calculated for different lengths and widths of the slots. As the width of the slots increases, the bandwidth and impedance matching decrease. Figure 6 shows the gain of the proposed antenna versus frequency based on changes in the width and the length of the slots. L8 and W8 represent the length and the width of the slots which are placed on the patch in parallel form to resonance edges on the patch and the two slots are shifted to the right and left side during the whole procedure.
Figure 6.
The gain of the proposed slotted-patch antenna as the length and the width of the slots are changed.
Table 2 gives the values of resonant frequency, bandwidth and return loss for the proposed antenna with parallel slots to resonance edges when L8 = 7.5 mm, W8 = 0.25 mm. Resonant frequency and bandwidth are measured in GHz and return loss and gain are measured in dB. Figure 7 and Figure 8 show S11 and gain of the proposed antenna without slots and in the presence of slots respectively.
Table 2.
Different parameters of the proposed antenna.
Figure 7.
S11 parameters for the patch antenna without and with slots.
Figure 8.
The gain of the patch antenna without and with slots.
In Figure 7 and Figure 8, S11 curves and the gain of the proposed antenna are illustrated in the presence of slots and without them respectively.
A comparison between resonant frequency, maximum gain and dimensions between the proposed antenna and some other recent works is shown in Table 3.
Table 3.
Comparison between the proposed antenna and other similar microstrip antennas.
Figure 9 shows the radiation patterns of the proposed microstrip patch antenna in the presence of slots at resonant frequencies of 7.3 GHz, 12.5 GHz, 17.4 GHz and 19.2 GHz for E- and H-plane including both co-polarization and cross-polarization. It can be seen that the radiation patterns are nearly omnidirectional in most of the frequencies mentioned above.
Figure 9.
Radiation patterns of the proposed microstrip antenna with slots parallel to resonance edges at (a) 7.4 GHz (b) 12.5 GHz (c) 17.4 GHz (d) 19.2 GHz.
3. Adaptive Neuro-Fuzzy Inference System (ANFIS)
Basically a fuzzy inference system is composed of five functional blocks (see Figure 10). The main contribution of this system can be attributed to computation of some data both in granular and imprecise form. Here, membership functions are employed to compute numerically small and big datasets. Fuzzy inference system (FIS) originates form the principles pertaining to fuzzy sets, fuzzy if-then rules and fuzzy reasoning. Fuzzy inference system can be strongly used to classify data if necessary. Whenever the inputs and outputs of a fuzzy system are determined by variables, the following steps ought to be done successively. The first step, which is called fuzzification, indicates expressing variables in the form of fuzzy and then calculating their dependence on the fuzzy set. As the membership function can take numerous shapes, the ones in a smooth shape can be more efficient. After that, the level of statement is appraised and some algebraic operators are used to approximate classification task. Activation is the next step in order to calculate the activations of the rules applied to the system. Finally all the output activations are connected to each other and this step is called accumulation [16,17,18,19].
Figure 10.
A fuzzy inference system.
4. How to Take Advantage of the ANFIS in Calculating the Resonant Frequency of Rectangular Antennas Operating at Multi Bands
Figure 11 below illustrates S11 curves for the whole possible situations. Since the antenna resonates in more than one frequency, it is necessary that an appropriate algorithm to detect the resonant frequencies be selected. Experimentally, artificial neural networks are unable to diagnose the frequencies because in many cases the resonant frequencies are very similar or close to each other.
Figure 11.
S11 obtained from the whole possible cases simulated by High Frequency Electromagnetic Field Simulation software (HFSS).
Hence, the ANFIS was utilized in order to analyze multiple resonant frequencies of the proposed rectangular patch antenna having slots being parallel to resonance edges on it. For the ANFIS, the inputs were the position of slots and the output was the measured resonant frequency The network was trained with 84 samples. The database was divided fortuitously into two separate groups for training and testing as well as validation. The random divisions were performed by dividing the whole data into two equal datasets. But in this work, the final division for training, testing and validation was selected as 80:10:10. The training was carried out in 220 epochs selected based on MATLB default. To implement and test the proposed architecture MATLAB Fuzzy Logic Toolbox (FLT) from MathWorks was selected. The ANFIS is able to do simulation and analyses of existing relationship between the input and output data through a hybrid learning. The next step is to identify optimal parameters of the presumed FIS. Commonly, measurement and simulation are considered as two ways of generating data which can be used in antennas. Here, the dataset was obtained through simulation results using HFSS because it is practically impossible to design and fabricate the whole antennas mentioned earlier. Table 4 provides the results of the ANFIS tested with 8 different membership functions (trimf, trapmf, psigmf, pimf, dsigmf, gaussmf, gauss2mf, and gbellmf). In our proposed architecture the best result belonged to Gaussmf with mean absolute error of 1.4653. Some data were left for validation. Here, the validated data were not included in the training and testing phases and the lowest computational time was almost 106.578 s. Also, Table 4 gives detailed information about different membership functions applied here as well as quantitative values of the margin of error between the estimated values and the experimental data (Root mean square error, mean absolute error and coefficient of determination).
Table 4.
Results of the adaptive network-based fuzzy inference system (ANFIS) tested with different membership functions.
As can be seen from Table 4, this algorithm can determine the resonant frequencies with high precision. Figure 12 shows the flow chart of ANFIS training process step by step.
Figure 12.
ANFIS training process flowchart.
In Figure 13, the results of the approximation of both training data and Fuzzy output are depicted.
Figure 13.
Approximation of training data and fuzzy output (O and * are symbols representing the trained data and FIS output respectively).
Likewise, Figure 14 illustrates the same outputs approximated by line graphs and the error function obtained through curve fitting indicating the difference between original and ANFIS outputs.
Figure 14.
Original and fuzzy output with error function obtained from curve fitting method.
5. Conclusions
Microstrip patch antennas are versatile structures which can be modified by adding simple slots either “parallel to radiation edges” or “parallel to resonance edges” in the design structure to overcome selected limitations of conventional patch antennas. The antenna can provide improved bandwidth enhancement, under certain conditions, while maintaining many of the desirable features of conventional patches. However, it is difficult to determine or predict resonant frequencies and bandwidths especially when the changes in terms of position of slots and the widths of slots are relatively small. As a result, machine algorithms can be applied to interpret the relationship between inputs and outputs of the system. Depending on the problem, the appropriate algorithms such as ANNs can be selected to estimate the outputs. This paper concludes that the results obtained using adaptive network-based fuzzy inference system (ANFIS) technique are quite satisfactory and far outweigh some algorithms such as ANNs because the data set is small and its complexity can be analyzed by ANFIS more successfully.
Author Contributions
All authors contributed equally in the design and performance of the experiments, the analysis of the data and the writing and revision of the manuscript.
Conflicts of Interest
The authors declare no conflict of interest.
References
- Garg, R.; Bhartia, P.; Bahl, I.; Ittipiboon, A. Microstrip Antenna Design Handbook; Artech House: Norwood, MA, USA, 2001. [Google Scholar]
- Wong, K.L. Compact and Broadband Microstrip Antennas; J. Wiley and Sons: New York, NY, USA, 2002. [Google Scholar]
- Chen, W.S. A novel broadband design of a printed rectangular slot antenna for wireless applications. Microw. J. 2006, 49, 122. [Google Scholar] [CrossRef]
- Azadegan, R.; Sarabandi, K. Bandwidth Enhancement of Miniaturized Slot Antennas Using Folded, Complementary, and Self-Complementary Realizations. IEEE Trans. Antennas Propag. 2007, 55, 2435–2444. [Google Scholar] [CrossRef]
- Zhang, L.; Jiao, Y.C.; Zhao, G.; Song, Y.; Wang, X.M.; Zhang, F.-S. A novel CPW-FED monopole antenna for multiband operation. J. Electromagn. Waves Appl. 2008, 22, 741–747. [Google Scholar] [CrossRef]
- Sze, J.Y.; Wong, K.L. Bandwidth enhancement of a microstrip line-fed printed wide-slot antenna. IEEE Trans. Antennas Propag. 2001, 49, 1020–1024. [Google Scholar] [CrossRef]
- Guney, K.; Gultekin, S.S. Artificial Neural Networks for Resonant Frequency Calculation of Rectangular Microstrip Antennas with Thin and Thick Substrates. Int. J. Infrared Millim. Waves 2004, 25, 1383. [Google Scholar] [CrossRef]
- Gultekin, S.S.; Guney, K.; Sagiroglu, S. Neural networks for the calculation of bandwidth of rectangular microstrip antennas. Appl. Comput. Electromagn. Soc. (ACES) J. 2003, 18, 46–56. [Google Scholar]
- Karaboga, D.; Guney, K.; Sagiroglu, S.; Erler, M. Neural computation of resonant frequency of electrically thin and thick rectangular microstrip antennas. IEE Proc. Microw. Antennas Propagat. 1999, 146, 155–159. [Google Scholar] [CrossRef]
- Guney, K.; Erler, M.; Sagiroglu, S. Artificial neural networks for the resonant resistance calculation of electrically thin and thick rectangular microstrip antennas. Electromagnetics 2000, 20, 387–400. [Google Scholar] [CrossRef]
- Guney, K.; Sagiroglu, S.; Erler, M. Comparison of neural networks for resonant frequency computation of electrically thin and thick rectangular microstrip antennas. J. Electromagn. Waves Appl. 2012, 15, 1121–1145. [Google Scholar] [CrossRef]
- Amanpreet, K.; Gurmohan, S.; Manjit, K. Miniaturized Multiband Slotted Microstrip Antenna for Wireless Applications. Wirel. Pers. Commun. 2017. [Google Scholar] [CrossRef]
- Jiachen, Y.; Huanling, W.; Zhihan, L.; Huihui, W. Design of Miniaturized Dual-Band Microstrip Antenna for WLAN Application. Sensors 2016, 16, 983. [Google Scholar] [CrossRef]
- Naresh, K.; Darimireddy, R.; RamanReddy, A.; Mallikarjuna, P. Design of triple-layer double U-slot patch antenna for wireless applications. J. Appl. Res. Technol. 2015, 13, 526–534. [Google Scholar]
- Liu, S.; Qi, S.S.; Wu, W.; Fang, D.G. Single-Layer Single-Patch Four-Band Asymmetrical U-Slot Patch Antenna. IEEE Trans. Antennas Propag. 2014, 62, 4895–4899. [Google Scholar] [CrossRef]
- Jang, J.S.R. Anfis: Adaptive-network-based fuzzy inference system. IEEE Trans. Syst. Man Cyber. 1993, 23, 665–685. [Google Scholar] [CrossRef]
- Jang, J.S.R.; Sun, C.T.; Mizutani, E. Neuro-Fuzzy and Soft Computing: A Computational Approach to Learning and Machine Intelligence; Prentice-Hall: Upper Saddle River, NJ, USA, 1997. [Google Scholar]
- Bassam, A.; May Tzuc, O.; Escalante Soberanis, M. Temperature Estimation for Photovoltaic Array Using an Adaptive Neuro Fuzzy Inference System. Sustainability 2017, 9, 1399. [Google Scholar] [CrossRef]
- Mashaly, A.F.; Alazba, A.A. Application of adaptive neuro-fuzzy inference system (ANFIS) for modeling solar still productivity. J. Water Supply Res. Technol. AQUA 2017, 66, 367–380. [Google Scholar] [CrossRef]
© 2017 by the authors. Licensee MDPI, Basel, Switzerland. This article is an open access article distributed under the terms and conditions of the Creative Commons Attribution (CC BY) license (http://creativecommons.org/licenses/by/4.0/).













