Next Article in Journal
Studying the Safety of Femtosecond Laser Applications in Assisted Hatching Technology
Previous Article in Journal
Integrating Artificial Intelligence into Smart Infrastructure Management for Sustainable Urban Planning
 
 
Font Type:
Arial Georgia Verdana
Font Size:
Aa Aa Aa
Line Spacing:
Column Width:
Background:
Article

Advanced Analytical Modeling of Polytropic Gas Flow in Pipelines: Unifying Flow Regimes for Efficient Energy Transport

1
Department of Building Services and Process Engineering, Budapest University of Technology and Economics, 1111 Budapest, Hungary
2
Aziz Sanjar Food Safety Laboratory, Azerbaijan State University of Economics (UNEC), 6 Istiglaliyyat Str., Baku AZ1001, Azerbaijan
3
Department of Mechanical Engineering and Material Sciences, Institute of Engineering Sciences, University of Dunaújváros, Tancsics Mihaly 1/A, 2400 Dunaújváros, Hungary
4
Technical Department, University of Slavonski Brod, Ulica 108. Brigade ZNG 36, 35000 Slavonski Brod, Croatia
*
Authors to whom correspondence should be addressed.
Technologies 2025, 13(11), 482; https://doi.org/10.3390/technologies13110482
Submission received: 12 September 2025 / Revised: 19 October 2025 / Accepted: 23 October 2025 / Published: 25 October 2025
(This article belongs to the Topic Advances in Green Energy and Energy Derivatives)

Abstract

In the present work, a new analytical model of polytropic flow in constant-diameter pipelines is developed to accurately describe the flow of compressible gases, including natural gas and hydrogen, explicitly accounting for heat exchange between the fluid and the environment. In contrast to conventional models that assume isothermal or adiabatic conditions, the proposed model simultaneously accounts for variations in pressure, temperature, density, and entropy, i.e., it is based on a realistic polytropic gas flow formulation. A system of differential equations is established, incorporating the momentum, continuity, energy, and state equations of the gas. An implicit closed-form solution for the specific volume along the pipeline axis is then derived. The model is universal and allows the derivation of special cases such as adiabatic, isothermal, and isentropic flows. Numerical simulations demonstrate the influence of heat flow on the variation in specific volume, highlighting the critical role of heat exchange under real conditions for the optimization and design of energy systems. It is shown that achieving isentropic flow would require the continuous removal of frictional heat, which is not practically feasible. The proposed model therefore provides a clear, reproducible, and easily visualized framework for analyzing gas flows in pipelines, offering valuable support for engineering design and education. In addition, a unified sensitivity analysis of the analytical solutions has been developed, enabling systematic evaluation of parameter influence across the subsonic, near-critical, and heated flow regimes.

1. Introduction

Pipeline transport plays a key role in the energy sector. In the case of natural gas and crude oil, continent-spanning transmission networks exist. District heating systems also play a crucial role in urban heat supply. With the emergence of modern energy systems and the green energy transition, the transport of hydrogen has become a key technical challenge. Globally, natural gas accounts for approximately 23–24% of total energy consumption [1]. In Europe, the length of the high-pressure natural gas transmission network is estimated to be between 200,000 and 220,000 km. When including local distribution networks—which deliver gas to end users—this number exceeds 2 million kilometres [2]. In Hungary, the district heating pipeline network spans approximately 2000 km, and about 90% of municipalities have access to natural gas, while in Croatia, the total length of the gas transmission system is approximately 2544 km, with an additional 300 km of submarine gas pipelines [3]. The exact analytical description of flow in energy pipeline systems remains an unresolved challenge in engineering science. Various approaches have been proposed, often assuming specific constraints on flow parameters. It is common practice in these studies to assume constancy of certain thermodynamic properties—for instance, isothermal or adiabatic flow conditions. In contrast, polytropic flow refers to a more general case, where all thermodynamic variables are allowed to vary. This includes changes in temperature, pressure, density, and entropy, and accounts for heat exchange between the pipe and its surroundings. In real gas or steam flows, a temperature gradient between the medium and its environment is always present, leading to heat gain or heat loss. Therefore, all real flows are, in principle, polytropic in nature. However, an exact description of this type of flow is largely missing from the literature, and analytical solutions have not yet been available. Kirkland [4] analyses in detail a polytropic model for the flow of compressible gases in frictional pipes, develops explicit equations for mass flow, and compares the results with traditional approaches. Suleymanov [5] considers differential equations for stationary natural gas transport in pipelines using the Lagrangian approach and analyses the influence of thermal processes. Xu et al. [6] analyze the distribution of hydrogen concentration in mixtures with natural gas in transportation pipelines using CFD methods, with special emphasis on safety aspects and optimization of transportation conditions. Review paper [7] discuses numerical and experimental methods for modelling hydrogen transport in pipelines, including challenges such as embrittlement and safety. Research [8] develops a new analytical model for transient flow and decompression of gases in pipelines, with a special emphasis on the polytropic index and applications in safety analyses. The aim of [9] work is to analyze gas flow in high-pressure buried pipelines, considering wall friction and heat transfer. The governing equations for one-dimensional compressible flow are derived and solved numerically. The effects of friction, heat transfer, and inlet temperature on parameters like pressure, temperature, Mach number, and mass flow rate are explored. The results indicate that while heat transfer has minimal impact on the Mach number, it can reduce the choking length at higher f/DL/D values, and influence mass flow rates, particularly when the heat transfer rate is adjusted. In [10] paper, compressible flow with wall friction in a constant cross-section duct is analyzed using a barotropic modelling approach, with new analytical formulas that account for heat transfer to the walls. A comparison with classic Fanno analysis is made, and a numerical code with a variable polytropic coefficient is developed. The results show that the polytropic approach accurately models flow behaviour under diabatic conditions, with no local temperature maximum. This work [11] presents a new dimensionless model used to quantify the pressure drop of compressible gas mixtures, such as natural gas-hydrogen blends. The model compares the behaviour of ideal and non-ideal gases and applies the pressure drop based on the hydrogen mole fraction. This paper [12] addresses the steady-state optimization operation of the West–East Gas Pipeline, considering the polytropic efficiency of compressors and the characteristics of gas flow. The goal of the research is to reduce the energy consumption of the pipeline and optimize operational costs. This study [13] presents a new pressure drop prediction model for horizontal and near-horizontal multiphase flow using the ANFIS. Based on 450 field data sets, the model significantly outperformed traditional empirical and mechanistic approaches, achieving a lower average absolute error (13.256%) and a higher coefficient of determination (0.955). The ANFIS model offers improved accuracy and reliability for pipeline flow design. In paper [14] present, that transporting the same energy with hydrogen requires three times the volumetric flow compared to natural gas. Up to 40% hydrogen blends stay within safe limits, but at 60%, erosion risk appears after 290 km. The scope of this work [15] is to investigate analytically the combined effects of head loss, surface tension, viscosity and density ratio on the growth of KHI in two typical pipelines, i.e., straight pipeline with different cross-sections and bend pipeline. In practical fluid mechanics, analytical solutions for adiabatic and isentropic flows with friction are often lacking. This study [16] shows that isentropic flow with friction can be modelled as a polytropic process if the heat generated by friction is extracted, and it introduces a new analytical approach to adiabatic flows that are not isentropic due to internal friction. The paper also proposes an extended use of the adiabatic exponent κ to describe both frictional and polytropic flows more accurately.
The exact description and analytical solution of flows in energy pipeline systems remain unresolved issues. In both design and operation, only analytical or numerical methods that constrain one of the flow characteristics are used to describe pipeline flow. It is important to emphasize that, in the establishment and operation of pipeline networks, complexity cannot be neglected and simplifications should be minimized as far as possible. Considering the polytropic nature of the flow and heat exchange with the environment is essential from both theoretical and practical perspectives. Earlier design and operational methodologies typically imposed the constancy of a thermodynamic parameter, such as by assuming isothermal or adiabatic flow characteristics. However, no investigations have determined the magnitude of the error introduced by these assumptions into the solutions or the resulting design and operational parameters. These errors depend on the scale of the problem, the nature of the network, and the environmental conditions. It is therefore important to define polytropic flow: polytropic flow is a flow in which variations in all thermodynamic parameters are permitted and examined; that is, changes in temperature, density, pressure, and entropy are not neglected, and heat exchange between the pipe wall and the environment is also taken into account.
In the transportation of gases and vapours, a temperature difference between the medium and the environment always exists, resulting in heat transfer, heat gain, or heat loss. Thus, every real flow is, in principle, polytropic. However, an exact analytical description of this flow type has not been found in the literature. In the following, we present an exact formulation of polytropic flow in a pipeline of constant diameter. The task is to determine, under given initial conditions, the variation in the specific volume v(z), temperature T(z), and pressure p(z) along the pipe axis. These results enable more accurate design and sizing of transport systems. It is well known that the design of large-scale pipeline systems and the determination of operating points are carried out using complex CFD methods. Nevertheless, analytical methods remain highly useful for understanding flow characteristics and describing phenomena, and have seen significant advances in recent years. Their value is particularly evident in education and in the visual demonstration of physical processes.
The novelty of this study lies in the development of a new analytical model. The scientific contribution can be seen in the following results:
  • In contrast to previous models describing fluid flow under isothermal or adiabatic assumptions (i.e., neglecting or oversimplifying heat exchange with the surroundings), this study presents an analytical solution for realistic polytropic conditions where all thermodynamic properties (pressure, temperature, density, entropy) change simultaneously and heat transfer is explicitly included in the model.
  • The model presented enables the determination of the specific volume, temperature and pressure along the pipeline. This enables more accurate results, which are essential for optimizing the design and operation of the energy network.
  • The calculations are performed with closed mathematical expressions that can be easily processed with simple calculation tools. The results can be easily visualized, while the sensitivity of the model can be easily checked and its variants easily evaluated.
  • The solution is derived in a closed (implicit) form, without imposing artificial restrictions on the variables or flow parameters, making it widely applicable to practical cases such as the transportation of natural gas, hydrogen, or other gaseous energy carriers.
  • It is shown that the developed model for polytropic pipeline flows is universal, from which the special flow cases—with their respective restrictions and assumptions—can be directly derived. In this work, we present the mathematical relationships between the models of isothermal, adiabatic, and isentropic flows in pipelines and the universal model formulated for polytropic flows. Adiabatic flow can be obtained from the polytropic case by assuming zero heat exchange with the surroundings, i.e., q ˙ = 0 . In the isothermal case, heat must be supplied to the fluid in order to provide the source for the increasing kinetic energy of the flowing medium. The isentropic flow, which is of theoretical interest, can hypothetically be realized only if the heat generated by friction is continuously removed.
This work therefore fills a significant theoretical gap by providing the first general analytical solution for steady polytropic gas flow, enabling a unified treatment of the adiabatic, isothermal, and isentropic regimes. In addition, the study presents a comprehensive unified sensitivity analysis of the analytical solutions, allowing systematic evaluation of parameter influence across all physical regimes.

2. Materials and Methods

The general model and computational method are developed for describing compressible, polytropic, steady-state flows. We assume that the working fluid is homogeneous, single-phase, and an ideal gas. Deviations from ideal gas behaviour can be taken into account using the compressibility factor. The transport pipeline is of constant diameter, with constant wall thickness, insulation, and heat transfer coefficient. Local pressure losses can be considered as equivalent pipe lengths (e.g., in the case of fittings, connections, valves). The temperature dependence of the fluid properties is neglected.
The governing equations are formulated using the mean velocity in the pipe. Turbulent flows are considered, while secondary flows in the pipe, tangential, and radial flows are neglected. In the study of polytropic flows, an important issue is how heat loss or gain between the fluid and its environment is induced and how it is accounted for. Heat transfer between the fluid and the environment can occur naturally, driven by the temperature difference between the fluid and the surroundings, or it can be imposed explicitly when a known, constant heat flux (cooling or heating) is applied along the transported fluid. The model presented here corresponds to the latter case, where a predefined and constant heat input or removal exists along the pipeline. Local pressure losses are represented as equivalent pipe lengths, a standard assumption in pipeline hydraulics for fully developed turbulent flow. While this simplification ensures analytical tractability, it may not fully describe complex or branched systems. Future extensions of the model may incorporate local loss coefficients (K-factors) for a more detailed representation.
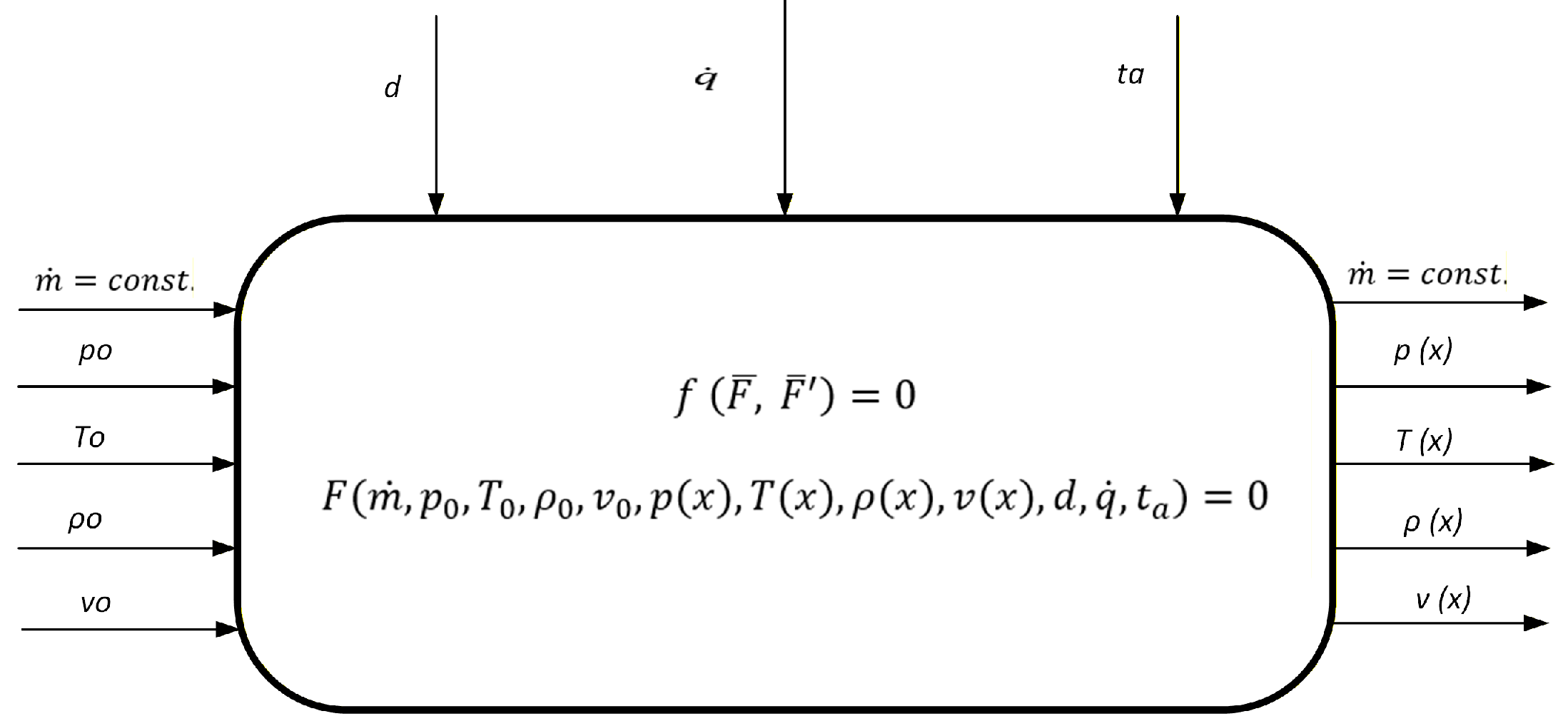
So, the proposed model does not consider the variability of heat transfer along the pipeline (e.g., depending on soil composition or seasonal conditions). The model is applicable only to subsonic flows. The physical model is shown in Figure 1.
According to the proposed method, we formulate the mathematical model, i.e., the coupled differential equations describing the flow, known as the fundamental equations, which for steady-state flow include
  • The momentum equation;
  • The continuity equation;
  • The energy equation;
  • The equation of state for ideal or real gases.
The mathematical model must also include initial and boundary conditions. The fundamental equations contain all relevant variables (pressure, temperature, density, specific volume, entropy). The problem can be approached in two ways: either determining the values of the above variables along the pipe for a given diameter or determining the pipe diameter and performing economic optimization for a prescribed mass flow rate. The solution of the problem is considered complete when the coupled simultaneous differential equations are solved and discussed. In the numerical evaluation of the results, attention is paid to whether the results appear in the real or complex domain and whether they are technically feasible.
Figure 2 Methodological flowchart of the proposed analytical model for polytropic gas flow in pipelines, illustrating the logical progression from the physical model to the mathematical formulation, variable transformation, analytical solution, numerical validation, and practical conclusions.
The mathematical model, i.e., the basic system of equations, the initial and boundary conditions as well as the solution for the stationary case are presented below.

Mathematical Model

  • Momentum equation
The momentum equation can be written as follows:
w d w d z = 1 ρ d p d z λ 2 D w 2
where:
  • w —flow velocity (m/s),
  • z —axial coordinate along the pipe (m),
  • ρ —gas density (kg/m3),
  • p —static pressure (Pa),
  • λ —friction factor (−),
  • D—internal pipe diameter (m).
  • Energy equation
d d z κ κ 1 R T + 1 2 m ˙ A 2 v 2 = q ˙ m ˙
From this:
d T d z = κ 1 R κ q ˙ m ˙ κ 1 R κ m ˙ A 2 v d v d z
where
  • T—gas temperature (K),
  • R—specific gas constant (J/kg·K),
  • m ˙ —mass flow rate (kg/s),
  • A—pipe cross-sectional area (m2),
  • v —specific volume (m3/kg),
  • q ˙ —heat flux per unit mass flow rate (W/kg)
  • κ—heat capacity ratio.
  • Continuity equation
For steady flow in a constant-diameter pipe, mass flow rate is conserved:
m ˙ = A · ρ · w
  • Equation of state
The real gas equation:
p = Z R T v .
where Z is the compressibility factor (–).
Garbai et al. [16] developed a modified adiabatic equation suitable for ideal gases p v k = c o n s t . which also describes polytropic, frictional flow changes in the pipe:
d d z p v n = n 1 λ 2 D v w 2 + q ˙ A w v n .
where n is the polytropic exponent.
  • Modified momentum equation
Considering the continuity (4) and the equation of state (5), the momentum Equation (1) can be rewritten as:
d v d z = R m ˙ A 2 d T d z λ 2 D v 2 v v 2 R T m ˙ A 2 .
  • Boundary conditions
At z = l , then p = p 0 , T = T 0 , v = v 0 , w = w 0
  • Initial conditions
The flow has been running for a long time and is steady ( m ˙  = const).

3. Results

The analytical solution of the governing equations proceeds as follows. Starting from the coupled momentum (Equation (7)) and energy (Equation (3)) equations, several auxiliary constants (Equation (8)) are introduced to reduce the number of parameters. The system is then reformulated as a pair of first-order differential equations in v and T. Through substitution and rearrangement, a single differential equation in v(z) is obtained (Equation (17)). The key steps are: (i) variable transformation z* (Equation (18)); (ii) introduction of an auxiliary variable u (Equation (22)) to linearize the equation; and (iii) analytical integration using standard methods for first-order linear ODEs. This procedure yields closed-form implicit solutions (Equations (49)–(54)) that describe the variation in specific volume along the pipeline for different flow regimes.

3.1. Solution of the Flow Governing Equations for an Arbitrary Constant Heat Flux q = const

We combine the constants in Equation (7) as follows:
R m ˙ A 2 = C 0 ,   λ 2 D = C 1   ,   q ˙ m ˙ κ 1 κ R = C 2 ,   κ 1 R κ m ˙ A 2 = C 3
Using these, Equations (3) and (7) can be rewritten as:
d v d z = C 0 v v 2 C 0 T d T d z C 1 v 3 v 2 C 0 T
d T d z = C 2 C 3 v d v d z
Integrating the expression for d T d z yields:
T = T 0 + C 2 z + C 3 v 0 2 2 C 3 v 2 2
Substituting the expressions for d T d z and T into the momentum Equation (7) and rearranging, we obtain the following differential equation:
d v d z = C 0 C 2 v C 1 v 3 v 2 1 C 0 C 3 2 C 0 C 2 z C 0 T 0 C 0 C 3 v 0 2 2
To simplify this expression, we introduce the following constants:
C 0 C 2 = A 0
C 1 = A 1 ,
1 C 0 C 3 2 = A 2
C 0 T 0 C 0 C 3 v 0 2 2 = A 3 .
This corresponds to Equation (11)
d v d z = A 0 v A 1 v 3 A 2 v 2 + A 0 z + A 3
Let us define a new variable:
A 0 z + A 3 = z * ,
Thus:
z = z * A 3 A 0 ,   d z = 1 A 0 d z * .
Using this new notation, the differential equation becomes:
A 0 d v d z * = A 0 v A 1 v 3 A 2 v 2 + z *
Thus, the equation becomes:
d v d z * = v A 1 A 0 v 3 A 2 v 2 + z * = v A 1 * v 3 A 2 v 2 + z *   where   A 1 A 0 = A 1 *
Let us introduce a new variable, which is an auxiliary variable needed to solve the equation and has no physical meaning:
A 2 v 2 + z * = u ,
From this it follows that:
z * = u A 2 v 2 ,
and therefore:
d z * = d u 2 A 2 v d v .
Substituting these expressions into Equation (17), we obtain:
d v   u = v A 1 v 3 d u 2 A 2 v   d v .
Rearranging Equation (25):
d u d v u v A 1 * v 3 = 2 A 2 v
This is a linear inhomogeneous differential equation of the first order with variable coefficients, the general solution of which is as follows:
u = C + 2 A 2 v e d v v A 1 * v 3 d v e d v v A 1 * v 3
The integrals given in Equation (27) are analyzed in detail below. Let us first look at the more general form
d u d v + u F ( v ) = G ( v )
This is a linear inhomogeneous differential equation of the first order. If both sides are multiplied by e ( F ( v ) d v ) , the left-hand side becomes a total derivative, that is:
d d v u e ( F ( v ) d v ) = G v e ( F ( v ) d v ) ,
This allows the integral to be evaluated directly.
u = C + G v e F ( v ) d v d v e F ( v ) d v
Applying Equation (30) to Equation (26) yields the following expression:
u = C + 2 A 2 v e d v v A 1 * v 3 d v e d v v A 1 * v 3 .
We denote the integral as:
I = 2 A 2 v e d v v A 1 * v 3 v d v ,
To calculate the inner integral of the exponential, we apply the partial fraction decomposition:
d v v A 1 * v 3 = 0.5 A 1 * v A 1 * 1 + 0.5 A 1 * v A 1 * + 1 1 v d v ,
The closed-form of the integral is:
d v v A 1 * v 3 = 0.5 l n v 2 A 1 * 1 v 2 = 0.5 l n 1 v 2 A 1 * v 2 ,   h a   A 1 * < 1 v 2 . 0.5 l n v 2 A 1 * 1 v 2 ,   h a   A 1 * > 1 v 2 .  
It should be noted that the constant of integration is not explicitly written out here, as in practical application it can be contained in the constant C in Equation (31). In the following, we analyze the possible cases on the basis of the sign of A 1 * .
  • Case 1: A 1 * < 1 v 2 .
From Equation (34), the integral in (32) takes the form
I 1 = 2 A 2 1 v 2 A 1 * d v ,
This integral can be easily evaluated using the substitution s i n ( t ) = v 2 A 1 * since cos t d t = d v A 1 * . If we apply the trigonometric linearization formula, we get:
I 1 = 2 A 2 1 s i n 2 ( t ) c o s t d t A 1 * = 2 A 2 A 1 * 1 2 c o s ( 2 t ) 2 d t = 2 A 2 A 1 * t 2 s i n ( 2 t ) 4 .
As agreed, subscripts of I, u, and z refer to the corresponding case number. After back-substitution, we obtain:
I 1 = A 2 A 1 * a r c s i n v A 1 * + A 2 v 1 v 2 A 1 *
Substituting into (30), the general solution for differential Equation (26) in Case 1 is as follows:
u 1 = C · v 1 v 2 A 1 * + A 2 A 1 * v a r c s i n v A 1 * 1 v 2 A 1 * + A 2 v 2 .
  • Case 2: A 1 * > 1 v 2 .
In this case, the integral becomes
I 2 = 2 A 2 v 2 A 1 * 1 d v ,
Using the substitution c h ( t ) = v A 1 * , it follows that c o s h ( t ) d t = d v A 1 * , which transforms the integral into the form:
I 2 = 2 A 2 c h 2 t 1 s h t d t A 1 * = 2 A 2 A 1 * s h 2 t d t
Noting that c h 2 t 1 = s h 2 t ,   s h 2 t = 2 s h t c h t , and s h 2 t = 0.5   c h 2 t 0.5 , by applying the hyperbolic linearization equation, we obtain:
I 2 = A 2 A 1 * v 2 A 1 * 1 · v A 1 * a r c h v A 1 * .
If we insert this result into (30), we obtain the general solution for the differential Equation (26) in Case 2:
u 2 = C · v v 2 A 1 * 1 A 2 A 1 * v a r c h v A 1 * v 2 A 1 * 1 + A 2 v 2 .
It is worth noting that in both cases where A 1 * < 0 , the calculations require extending into the complex number domain. This immediately raises the question of how this will affect the actual solution, as the specific volume cannot take on complex values. The analysis addressing this issue is discussed in Case 3.
  • Case 3. A 1 * < 0 .
Let A 1 * = δ , where δ > 0 . The integral (32) then becomes:
I 3 = A 2 A 1 * a r c s i n v A 1 * + v A 1 * 1 v 2 A 1 * .
Back-substitution leads to the general solution of (26) for Case 3:
u 3 = c v 1 v 2 A 1 * A 2 A 1 * v a r s h v A 1 * 1 v 2 A 1 * + A 2 v 2 .
It is worth noting that Case 3. essentially follows from Case 1, as the inequality A 1 * < 1 v 2 , automatically holds. The Maclaurin series for the a r c s i n x function:
a r c s i n x = k = 0 2 k ! 4 k k ! 2 2 k + 1 x 2 k + 1 ,
is uniformly convergent for x < 1 . In accordance with Equation (45), it can be written as:
a r c s i n x = k = 0 2 k ! i 1 k 4 k k ! 2 2 k + 1 x 2 k + 1 = i k = 0 1 2 2 k ! 4 k k ! 2 2 k + 1 x 2 k + 1 .
It can be verified that the infinite series on the right-hand side corresponds to the Maclaurin series expansion of the a r c s i n i x function. Therefore, the following identity holds:
a r c s i n i x = i a r s h x .
can be established, confirming that Case 3. is indeed a consequence of Case 1:
a r c s i n v A 1 * = a r c s i n i v A 1 * = i a r s h v A 1 * .
Case 3 represents the transition regime in which dissipative effects dominate the flow behaviour. Although the mathematical form of the differential equation introduces complex-valued components, the physically measurable quantities—such as pressure, temperature, and specific volume—remain real-valued. The appearance of complex terms indicates that frictional dissipation and thermal interaction have become comparable in magnitude to the thermodynamic driving forces. This regime corresponds to the transition between subsonic and near-sonic flow, where energy losses due to friction and heat transfer strongly influence stability and transport efficiency. Thus, the complex solution does not represent non-physical behaviour but rather highlights the critical operating domain in which the flow becomes increasingly dominated by dissipative mechanisms.
Next, we return to the original variables to derive the general solution for z ( v ) . Based on the structure of the previous results, we observe that a closed-form solution can only be given for the inverse function z ( v ) . The general solutions, omitting intermediate steps, are as follows:
If A 1 * < 1 v 2 , than
z 1 = A 3 A 0 + C · v A 0 1 v 2 A 1 * + A 2 A 0 A 1 * v a r c s i n v A 1 * 1 v 2 A 1 * ,
If A 1 * > 1 v 2 , than
z 2 = A 3 A 0 + C · v A 0 v 2 A 1 * 1 A 2 A 0 A 1 * v a r c h v A 1 * v 2 A 1 * 1 ,
If A 1 * < 0 , than
z 3 = A 3 A 0 + C · v A 0 1 v 2 A 1 * + A 2 A 0 A 1 * v a r c s h v A 1 * 1 v 2 A 1 * .
In the following, we deal with the derivation of a solution that satisfies the boundary condition z = 0 ,   v = v 0 . To this end, Equations (49)–(51) are substituted into, and the constants C are subsequently determined. Omitting intermediate steps, the resulting expressions for the pipeline length z as a function of specific volume v are as follows:
If A 1 * < 1 v 2 , than
z 1 = A 3 A 0 v v 0 1 v 0 2 A 1 * 1 v 2 A 1 * 1 + A 2 v A 0 A 1 * · a r c s i n v A 1 * a r c s i n v 0 A 1 * 1 v 2 A 1 * ,
If A 1 * > 1 v 2 , than
z 2 = A 3 A 0 v v 0 v 0 2 A 1 * 1 v 2 A 1 * 1 1 + A 2 v A 0 A 1 * a r c h v 0 A 1 * a r c h v A 1 * v 2 A 1 * 1 ,
If A 1 * < 0 , than
z 3 = A 3 A 0 v v 0 1 v 0 2 A 1 * 1 v 2 A 1 * 1 + A 2 v A 0 A 1 * a r s h v A 1 * a r s h v 0 A 1 * 1 v 2 A 1 * .
The analytical solution yields three distinct branches (Equations (49)–(51)), each corresponding to a different physical flow regime:
  • Trigonometric (subcritical) regime: A 1 * < 1 v 2 , representing subsonic flow where thermodynamic parameters vary smoothly, and the flow remains stable.
  • Hyperbolic (supercritical) regime: A 1 * > 1 v 2 , associated with near-sonic conditions and a strong nonlinear response of specific volume and velocity.
  • Complex (transition) regime: A 1 * < 0 , corresponding to dissipative or friction-dominated flow characterized by significant energy loss and heat exchange.
These branches are now explicitly related to the physical nature of the flow—subsonic, near-sonic, and friction-dominated transport. To enhance interpretability, Figure 3 has been extended to include the variation in specific volume v(z) for each case, clearly illustrating their different behaviours.
The variables z 1 , z 2 and z 3 represent the pipeline length, and for given numerical values of these variables, the corresponding specific volume v can be determined. The equations are implicit with respect to the specific volume v . The problem can also be inverted: for a prescribed specific volume in the flow, the pipeline length at which this volume is realized can be calculated. A significant advantage of the presented analytical formulas is their generality: both isothermal and adiabatic flow regimes can be derived from them. Specifically, by setting the heat flux q ˙ = 0 , the solution for adiabatic flow is obtained.

Unified Sensitivity Analysis of the Analytical Solutions

Equations (52)–(54) provide closed-form inverse solutions z = z ( v ) for three distinct regimes defined by the sign and magnitude of A 1 * and the product A 1 * v 2 :
Trig. (Case 1): A 1 * v 2 < 1 —subsonic, weakly dissipative;
Hyp.-cosh (Case 2): A 1 * v 2 > 1 —near-critical with strong geometric/friction effect;
Hyp.-sinh (Case 3): A 1 * < 0 —heated, friction-dominated (dissipation-controlled).
All branches share the coefficient definitions given by Equations (13)–(16) together with Equation (8).
  • Dimensionless control groups and outputs
Parameter influence is organized by four independent, interpretable groups:
Π 1 = A 1 * = A 1 A 0 = λ 2 D k ( k 1 ) G 2 Z m ˙ q ˙
Π 2 = A 2 = 1 Z ( k 1 ) 2 k
Π 3 = A 3 A o = k R T o ( k 1 ) m ˙ q ˙ + G 2 v 0 2 m ˙ 2
Π 4 = C 2 L T o = q ˙ L m ˙ R T κ 1 κ
Π1 condenses friction, geometry, and inertia versus line heating; Π2 incorporates real-gas and specific-heat ratio effects; Π3 combines inlet thermodynamic head and inlet kinetic head against heating; and Π4 measures non-dimensional axial heating strength.
The primary observables are the normalized inverse length and state profiles:
Z v = z v L , v v 0 , T T 0 , p p 0
  • Sensitivity metrics
Local, normalized sensitivities with respect to primitive inputs x ϵ ( λ ,   D ,   q ˙ ,   m ˙ ,   Z ,   k ) are defined for ξ = v v o     ϵ ( ξ m i n , 1 ) as
S x ξ = 𝜕 Z 𝜕 x x Z .
Evaluation proceeds by the chain rule through the common coefficient set:
𝜕 Z 𝜕 x = j ϵ ( 0.1 2.3 ) 𝜕 Z 𝜕 A j 𝜕 A j 𝜕 x .
Closed-form expressions 𝜕 Z 𝜕 A j depend on the branch (arcsin/arcosh/asinh kernels); the algebraic forms are lengthy; so, results are reported as trends (signs, relative magnitudes) and were cross-validated numerically on dense ξ -grids for representative parameter sets. The chosen definition makes S x directly comparable across regimes and along the pipe: S x = + 1 means a 1% increase in x produces (locally) a 1% increase in Z for fixed ξ .
  • Regime-resolved trends
Case 1—Trigonometric branch
Friction/diameter. Since Π 1 ~ λ D (or decreasing D) steepens the arcsin-term and increases curvature of Z ξ : S λ > 0 ,   S λ   large, S D < 0   with S D S λ scaled by D λ .
Heating: increasing q ˙ reduces Π 1 and flattens Z(ξ), leading to S q ˙ < 0 of modest magnitude near the inlet (ξ→1) and stronger impact mid-span.
Mass flow/inertia: G m ˙ enters Π 1 ,   Π 3 . Larger m ˙ increases inertial head, shortening the normalized length: S m ˙ < 0 .
Real-gas and κ: Z < 1 lowers Π 2 and enhances coupling; typically, S Z < 0 (smaller Z → stronger effective dissipation → longer dimensional length for a given v-change). Higher κ (weaker Cp/Cv gap) mildly reduces heating leverage: S k 0 and small.
Case 2—Hyperbolic-cosh branch
Threshold amplification: Sensitivities peak near the transition A 1 * v 2 1 due to the arcosh kernel: S λ and S D attain local maxima (transition-induced stiffness).
Mass flow: larger m ˙ (hence larger G) increases A 0 and A 3 , compressing Z ξ : S m ˙ < 0 with greater magnitude than in Case 1.
Thermal bias: ooling ( q ˙ ↓) pushes the solution deeper into Case 2; heating relaxes it toward Case 1, so S q ˙ > 0 is possible close to the threshold, but typically S q ˙ 0 away from it.
Gas model: near-critical sensitivity to Z increases, S Z is largest around the threshold and decays downstream.
Case 3—Hyperbolic-sinh branch
Let δ = A 1 * > 0 . The a s i n h ( δ v ) kernel produces monotone, heating-dominated behaviour:
Heating: q ˙ ↑ strengthens Π 4 and reduces δ , flattening Z ξ : S q ˙ < 0 with the largest magnitude among the three branches.
Friction/diameter. Because Π 1 = δ is negative, increases in λ (or decreases in D) still lengthen the required normalized distance: S λ > 0 ,   S D < 0   , but S λ is smaller than in Case 2 and comparable to Case 1 mid-span.
Mass flow: S m ˙ < 0 (inertial stabilization) with weak axial variation.
Real-gas and κ: the impact of Z, κ is mediated primarily via Π 2 and Π 3 ; signs follow Cases 1–2 but magnitudes remain moderate due to dominance of q ˙ .
  • Global sensitivity ranking
For decision support, path-integrated importance was quantified by
S ¯ x = ξ m i n 1 w ξ S x ξ d ξ ,
With w ( ξ ) uniform unless noted. Across broad parameters sweeps the following robust ranking emerged:
  • Case 1: S ¯ λ S ¯ D > S ¯ m ˙ S ¯ q ˙ > S ¯ Z S ¯ k .
  • Case 2: S ¯ λ S ¯ D > S ¯ m ˙ > S ¯ q ˙ > S ¯ Z S ¯ k .
  • Case 3: S ¯ q ˙ > S ¯ λ S ¯ D > S ¯ m ˙ > S ¯ Z S ¯ k .
These orderings were insensitive to moderate changes of v 0 ,   T 0 and inlet kinetic head embedded in Π 3 .
  • Practical implications
Geometry vs. operation: when operation is close to A 1 * v 2 1 (transition zone), geometric/frictional tolerances dominate. Moving the design point away from this threshold (by increasing D or gentle heating q ˙ ) materially reduces sensitivity.
Heating-dominated lines: In Case 3, line heating control ( q ˙ ) is the primary lever for profile shaping; friction and m ˙ become secondary.
Measurement priorities: If a single parameter must be characterized with higher fidelity, choose λ (or equivalently surface condition/roughness) in Cases 1–2, and q ˙ in Case 3.
Model selection: Real-gas effects (via Z) are more consequential near the threshold; elsewhere they contribute second-order corrections.

3.2. Numerical Simulation

In the following, we present an example to demonstrate the modelling of flows and the simple implementation of the associated calculations. Let us calculate the change in the specific volume of the medium in a polytropic flow using the following input data:
Specific   volume   of   inlet   air :   v 0 = 0.171052   m 3 k g
The   pipe   diameter :   D = 0.1   m
The   pipe   length :   L = 1000   m
The   flowing   gas ,   air :   κ = 1.4 , R = 287   J k g K
The   inlet   pressure :   p 0 = 0.5   M P a
The   inlet   temperature :   T 0 = 298   K
The   inlet   flow   velocity :   w 0 = 20   m s
The   roughness   of   the   pipe   wall :   ε = 0.1   mm
The   inlet   enthalpy :   h 0 = a 0 2 κ 1 = 299 , 341   J k g
The   kinematic   viscosity   of   the   inlet   air   temperature :   υ = 3.2   ·   10 6   m 2 s
The   inlet   Reynolds   number :   R e = w 0 D υ = 6.25   ·   10 5 .
The   reciprocal   of   the   relative   roughness   of   the   pipe :   D ε = 100 0.1 = 1000 .
The   value   of   the   pipe   friction   factor :   λ = 0.02 .
The   density   of   the   inlet   medium :   ρ 0 = p 0 R T 0 = 5.8461   k g m 3
The   inlet   speed   of   sound :   a 0 = κ R T = 346.029   m s
Mass   flow   of   medium :   m ˙ = A ρ 0 w 0 = D 2 π 4 · ρ 0 w 0 = 0.9178   k g s
Flow   cross - sec tion :   A = D 2 π 4 = 0,1 2 π 4 = 0.00785   m 2
The selected parameter values (Reynolds number, relative roughness, friction factor) correspond to standard turbulent gas flow conditions in steel pipelines, consistent with EN 1594 (2021) and ISO 13623 (2017), as well as the empirical correlations provided in references [17,18,19].
Using Equation (5), the constants of the calculation formulas are as follows:
C 0 = 0.1062807 ,
C 1 = 0.0633333 .
The values of C 2 are as follows:
  • if q ˙ = 2000   W m 2   than C 2 = 2.1681807 ,
  • if q ˙ = 400   W m 2   than C 2 = 0.4336361 ,
  • if q ˙ = 200   W m 2   than C 2 = 0.2681807 ,
  • if q ˙ = 20   W m 2   than C 2 = 0.02681807 ,
  • if q ˙ = 20   W m 2   than C 2 = 0.02681807 ,
  • if q ˙ = 200   W m 2   than C 2 = 0.2681807 .
Regarding C 3 , the solution is: C 3 = 13.594.
Our task is to determine the specific volume at z = 1000   m .
For a heat flux of q ˙ = 2000   W m 2   , the required constants are as follows:
  • A 1 * 0.274840 , using Equation (21),
  • A 2 0.857143 , using Equation (15),
  • A 3 31.14 , using Equation (16).
Since A 1 * < 0 , Equation (54) must be used. The numerical form of the equation is:
z 3 = A 3 A 0 v v 0 1 v 0 2 A 1 * 1 v 2 A 1 * 1 + A 2 v A 0 A 1 * a r s h v A 1 * a r s h v 0 A 1 * 1 v 2 A 1 * .
The numerical solution of this nonlinear equation yields v = 2.205   m 3 k g for a pipe length of z = 1000   m . Figure 3. presents the variation in specific volume as a function of pipe length under different heat exchange conditions.

3.3. Linking Special Flow Types to Polytropic Flow

In the following, we present the derivation of adiabatic, isothermal and isentropic flows from the previously introduced polytropic flow model. We use an example to demonstrate and compare the results.
The adiabatic flow represents an extreme case of polytropic flow where no heat is added or removed from the system; mathematically, this corresponds to q ˙ = 0 . Both isothermal and isentropic flow can theoretically be considered as special cases of polytropic flow. In order to achieve an isothermal flow, heat must be continuously supplied to the pipe at a variable heat supply rate. Isentropic flow could be achieved by dissipating the frictional heat generated during the process, which, as will be shown, would also require a varying rate of heat removal along the pipe. These are theoretical assumptions, but they are very useful for comparing and evaluating different flow regimes.

3.3.1. Adiabatic Flow

Adiabatic flow can be derived from polytropic flow by setting q ˙ = 0 in Equation (2), which corresponds to C 2 = 0 in Equation (8). In our previous works [16], a solution for the adiabatic flow calculation formula was obtained from Equations (1) and (6), given as:
v 0 v = w 0 w = 1 2 v 0 2 p 0 v 0 + 1 2 m ˙ A 2 β v 0 2 k 1 k λ 2 D m ˙ A 2 z β k + 1 k l n v 0 v .
The validity of Equation (63) requires perfect thermal insulation; no heat is added along the pipe at any z coordinate ( q ˙ = 0 ). However, the equation takes into account internal heat generation caused by turbulence and friction within the flow.

3.3.2. Isothermal Flow

The calculation formula for the isothermal flow can be derived from the basic polytropic flow equations by setting d T d z = 0 in Equation (3). This shows that an isothermal flow can be realized in practice by adding an amount of energy to the flow that corresponds to the increase in kinetic energy caused by the expansion of the specific volume.
p p 0 = 1 λ w 0 2 ρ 0 p 0 z D + w 0 2 ρ 0 p 0 ln p p 0 2
Since p p 0 = w 0 w , the variation in velocity along the pipe can also be expressed as:
w 0 w = 1 λ w 0 2 ρ 0 p 0 z D + w 0 2 ρ 0 p 0   ln w 0 w 2
Equation (64) can be solved iteratively: an initial estimate of p p 0 is substituted into the right-hand side of the equation to calculate a new, more accurate value of p p 0 . This process is repeated until the desired accuracy is achieved.
In Equation (65), the substitution w = a must be applied. It should be noted that a = κ R T and, since T = T 0 , the local speed of sound does not change along the pipe, thus a = a 0 .
z = 1 w 0 a 2 + w 0 2 ρ 0 p 0 ln w 0 a 2 p 0 D w 0 2 ρ 0 λ
By introducing the Mach number, we can determine the pipe length required for the flow to accelerate to the speed of sound:
z = 1 M a 0 2 + κ M a 0 2 ln M a 0 2 1 κ M a 0 2 D λ
In an isothermal flow, the amount of heat added is that which increases the kinetic energy of the gas without changing the temperature:
E = E 1 E 0
Total energy at the outlet:
E 1 = h 1 + w 1 2 2 .
Total energy at the inlet:
E 0 = h 0 + w 0 2 2 .
The required energy is the difference between the outlet and inlet energies. Since the flow is isothermal, h 1 = h 0 , therefor:
E = m ˙ w 1 2 2 w 0 2 2 .

3.3.3. Isentropic Flow

An isentropic flow can be achieved by removing the heat generated by friction from the flowing medium. In the basic equations formulated, the three equation has the following form:
Temperature change:
d T d z = 𝜕 T 𝜕 s v d s d z + 𝜕 T 𝜕 v s d v d z = 𝜕 T 𝜕 v s d v d z .
Specific volume change:
d v d z = 𝜕 v 𝜕 s T d s d z + 𝜕 v 𝜕 T s d T d z = 𝜕 v 𝜕 T s .
Total differential of entropy:
d s = c v d T T + R d v v ,
Since
ds = 0
it follows that
C v R d T T = d v v .
Using Equation (76) in Equation (72), we get:
𝜕 T 𝜕 v s = R T c v v = c p c v c v T v = κ 1 T v .
Then, Equation (72) becomes:
d T d z = 1 κ T v d v d z
Using Equations (9) and (78):
d v d z = C 0 v v 2 C 0 T 1 κ T v d v d z C 1 v 3 v 2 C 0 T
After rearrangement and using Equations (10), (68), and (75):
d v d z = C 1 v 3 v 2 + C 0 1 κ T C 0 T = C 1 v 3 v 2 κ C 0 T .
d v d z = C 2 v 3 C 3 v 2 + 1 κ T
In Equations (80) and (81), we substitute the isentropic relations:
T = T 0 v 0 v κ 1
v 0 v = T T 0 1 κ 1
After substitution and variable separation, Equation (80) becomes:
v κ + 1 C 0 κ T 0 v 0 κ 1 v κ + 2 d v = C 1   dz .
Rewriting:
1 v C 0 κ T 0 v 0 κ 1 1 v κ + 2 d v = C 1 d z
Integrating:
ln v + C 0 κ T 0 v 0 κ 1 κ + 1 1 v κ + 1 = C 1 z + C .
Boundary condition:
z = 0 ,   v = v 0
Specific volume change along the pipe:
ln v v 0 + C 0 κ T 0 v 0 κ 1 κ + 1 1 v κ + 1 1 v 0 κ + 1 = C 1 z
Substituting constants:
ln v v 0 + 1 κ + 1 a 0 2 w 0 2 v 0 v κ + 1 1 = λ 2 D z .
Velocity change:
ln w w 0 + 1 κ + 1 a 0 2 w 0 2 w 0 w κ + 1 1 = λ 2 D z .
Pressure change:
ln p p 0 1 κ + 1 κ + 1 a 0 2 w 0 2 p p 0 κ + 1 κ 1 = λ 2 D z .
  • Frictional heat removal to maintain isentropic flow
Equation (73) can be used to determine the specific volume change along the pipe. If you know the specific volume, you can calculate the frictional heat generated that must be dissipated for the flow to remain isentropic.
Frictional heat:
q ˙ = λ 2 D v m ˙ A 2 m ˙ v = λ 2 D v m ˙ A 2 m ˙ v 2 = λ 2 D m 3 ˙ A 2 v 2 = λ π 4 A 5 2 m ˙ 3 v 2
or equivalently:
q ˙ = C 1 m ˙ A 2 m ˙ v 2 = C 1 m 3 ˙ A 2 v 2
This must equal the removed heat. Since frictional heat varies along the pipe, the removed heat is not constant, and hence the parameter C 2 in Equation (81) cannot remain constant
q ˙ m ˙ k 1 k R = C 2 .
The calculations can be verified by comparing Equations (80) and (81):
C 1 v 3 v 2 C 0 k T = C 2 v C 3 v 2 + ( 1 k ) T .
Simplifying:
C 1 v 2 v 2 C 0 k T = C 2 C 3 v 2 + ( 1 k ) T .
To calculate C 2 , the substitution from Equation (82) must also be applied. The correctness of the calculation is confirmed if the values calculated from Equations (94) and (96) match.

3.3.4. Comparison of the Presented Flow Types

In everyday design practice and in education, useful conclusions can be drawn by understanding the assumptions under which the flow properties are calculated. Let us calculate the pressure drop for an isothermal gas flow. The input values are those presented in Section 3.2.
The outlet pressure ratio, using Equation (64), is
p p 0 = 1 λ w 0 2 ρ 0 p 0 z D + w 0 2 ρ 0 p 0 ln p p 0 2
From this, the initial estimate of the outlet pressure ratio is:
p 1 p 0 = 1 λ w 0 2 ρ 0 p 0 z D = 1 0.02 20 2 · 5.8461 · 1000 0.5 · 10 6 · 0.1 = 0.254215
From this, the initial estimate of the outlet pressure ratio is:
p 1 = p 0 p 1 p 0 = 0.1271 · 10 6   M P a
We now examine the error caused by neglecting the term w 0 2 ρ 0 p 0 ln p p 0 2 .
Performing iterations for an accurate determination of p p 0 !
1 st   iteration :   p p 0 1 = 0.2542
2 nd   iteration :   p 1 p 0 2 = 1 λ w 0 2 ρ 0 p 0 z D + w 0 2 ρ 0 p 0 ln p p 0 1 2 = 0.227646
3 rd   iteration :   p 1 p 0 3 = 1 λ w 0 2 ρ 0 p 0 z D + w 0 2 ρ 0 p 0 ln p p 0 2 2 = 0.2253444
4 th   iteration :   p 1 p 0 4 = 1 λ w 0 2 ρ 0 p 0 z D + w 0 2 ρ 0 p 0 ln p p 0 3 2 = 0.2251354
5 th   iteration :   p p 0 5 = 0.225116
We accept this value as the accurate solution. The corresponding outlet pressure is:
p 1 = p 0 p 1 p 5 = 0.5 · 10 6 · 0.2251354 = 112,558   P a
Neglecting the term w 0 2 ρ 0 p 0 ln p p 0 2 thus results in an error of:
H = p 1 p 1 p 1 100 % = 12.97 % .
The   outlet   specific   volume :   v = p 0 v 0 p = 0.75983937 m 3   k g
The   outlet   temperature :   T = p v R = 298   K
Hence, the flow is indeed isothermal.
The   inlet   total   energy :   E = h 1 + w 1 2 2 = 303,286.8667   J K .
The   outlet   velocity :   w = w 0 p p 0 = 88.8354291   m s .
The result is verified by expressing the length from Equation (64) and checking against z = 1000   m .
z = 1 0.225116 2 + 1.4 · 20 2 346 · 0.294 2 l n 0.225116 2 500,000 · 0.1 · 0.171052 20 2 · 0.02 = 999.986   m
Thus, the calculation is very accurate.
We first check the isothermal flow calculation:
p p 0 = 1 λ w 0 2 ρ 0 p 0 z D + w 0 2 ρ 0 p 0 ln p p 0 2 = 4.4263103 .
The corresponding outlet pressure is: p 1 = 0.1129609   M P a = 0.1125   M P a .
Using the data from the previous example, let us calculate how the pressure distribution in the flow develops when the flow is not isothermal but adiabatic. Equation (63) was used for the calculation:
v 0 v = w 0 w = 1 2 v 0 2 p 0 v 0 + 1 2 m ˙ A 2 β v 0 2 k 1 k λ 2 D m ˙ A 2 z β k + 1 k l n v 0 v .
The equation in iterative form is written as:
m ˙ A 0 m ˙ A = v 0 v = 1 v 0 2 p 0 v 0 2 + 1 4 m ˙ A 2 v 0 2 k 1 k λ 2 D m ˙ A 2 z 1 2 m ˙ A 2 k + 1 k l n v 0 v .
The solution of the equation:
v 0 v = 1 0.934775 0.0080124 l n v 0 v .
Iteration steps:
1 st   iteration :   v 0 v 1 = 1 0.934775 = 0.2553919 .
2 nd   iteration :   v 0 v 2 = 1 0.934775 + 0.0080124 · l n 0.2553919 = 0.2329988 .
3 rd   iteration :   v 0 v 3 = 1 0.934775 + 0.0080124 l n 0.3229988 = 0.2314156 .
4 th   iteration :   v 0 v 4 = 1 0.934775 + 0.0080124 l n 0.2314156 = 0.2312975 .
The iteration can be considered converged at this point.
The   specific   volume   at   the   outlet :   v 1 = v 0 v 0 v 1 4 = 0.7395420   m 3 k g
The   outlet   pressure :   p = p 0 v 0 2 1 2 m ˙ A 2 k 1 k v 2 v 0 2 v = 114,281.6976   P a .
Thus, compared to the isothermal flow, the pressure drop is slightly smaller.
The outlet velocity:
w = m ˙ A v = 86.46932334   m s .
The outlet enthalpy:
h 1 = k p 1 v 1 k 1 = 295,806.4033   J k g .
The outlet total energy:
E = h 1 + w 1 2 2 = 299,544.8752   J k g .
The inlet total energy E 0 = 299 , 541   J k g , which agrees well with the outlet energy value. In adiabatic flow, the inlet and outlet total energy values theoretically coincide.
The outlet temperature:
T 1 = p 1 v 1 R = 294.573   K .
Let us determine the characteristics of the isentropic flow, using the known inlet data and applying Equation (65).
First   approximation :   w w 0 = 1 0.1 · 1000 1.4 + 1 0.0209936 0.171052 2 1.4 · 298 2 = 0.50953802
Sec ond   approximation :   w w 0 = 0.50360185
Third   approximation :   w w 0 = 0.50360185
This result is accepted as sufficiently accurate.
The   outlet   velocity :   w = w 0 w 0 w = 39.71391302   m 3 kg
The   outlet   specific   volume :   v = v 0 w 0 w = 0.339657   m 3 kg
The   outlet   temperature :   T = T 0 v 0 v k 1 = 226.4911824   K .
The   outlet   pressure :   p = p 0 v 0 v k = 191,378.27   Pa .
or   equivalently   p = R T v = 191,378.27   Pa .
The   pressure   drop :   p = 308,621.7291   Pa
The   pressure   ratio :   p p 0 = 0.38275654 .
Verification   of   isentropic   character :   s s 0 = k R k 1 l n T T 0 R l n p p 0 .
s s 0 = 1.4 · 287 1.4 1 l n 226.4911824 298 287 l n 191,378.27 500,000 = 0 .
Thus, the flow can indeed be regarded as isentropic.
Now, let us calculate the amount of heat extracted in isentropic flow.
The inlet total energy:
E 0 = h 0 + w 0 2 2 = 299 , 541   J k g
The outlet total energy:
E 1 = h 1 + w 1 2 2 = k k 1 p v + w 1 2 2 = 228,298.9896   J k g .
The extracted heat:
E = E 1 E 0 = 71,042.01   J k g
It is obvious that a considerable amount of continuous heat dissipation is required for the assumed realization of an isentropic flow. However, the pressure loss is much lower. For comparison, the pressure losses are about 348,000 Pa for isentropic flow, 386,000 Pa for adiabatic flow and 388,000 Pa for isothermal flow. Although the numerical differences between adiabatic and isothermal flow regimes are small, this does not make the more general polytropic formulation redundant. In engineering practice, isothermal and adiabatic models provide sufficiently accurate results for preliminary design or simplified analyses, particularly under stable operating conditions. However, the polytropic model is essential when dealing with transient or non-equilibrium conditions, hydrogen–natural gas mixtures, or pipelines with significant heat exchange.

4. Conclusions

This study highlights the significance of energy transportation systems. It is highly likely that the importance of this mode of energy transport will continue to grow in the future. The emergence of LNG transportation will result in the construction of new pipeline systems. After unloading and regasification, new transmission lines must be developed to deliver gas to end users.
To date, an exact analytical model for describing flow in such systems has been lacking. The introduction of polytropic flow behaviour into analytical modelling has remained unresolved. In this work, the full complexity of variations in thermodynamic parameters has been considered, without assuming either isothermal or adiabatic flow characteristics. The analytical model developed in this study imposes no simplifying constraints but represents the flow based on realistic physical behaviour. The model accounts for heat transfer between the fluid and the environment, including both heat gains and losses. It provides closed-form analytical solutions (Equations (52)–(54)) that are straightforward to use and yield rapidly converging approximations, despite being implicit in nature.
One proposed approach is to calculate the variation in the specific volume of the transported gas for a given pipeline length, or conversely, to determine the required pipeline length for a given specific volume. The model can also identify critical limits of specific volume variation, where the flow velocity approaches the speed of sound, the specific volume increases excessively, and the transport task becomes infeasible.
The model can be applied to both ideal and real gases, taking into account the compressibility factor. The main advantages of the formula-based approach are the simple visualization, clarity and reproducibility of the results as well as the flexibility and parameterization that result from the explicit form and allow the comparison of different scenarios. In the example presented, it becomes clear that the consideration of heat losses leads to considerable changes in the calculation results. A possible and necessary direction for the further development of the model is to analyze the effect of natural heat exchange under the conditions of constant specific heating or cooling per unit pipe length, according to the equation Q = k A   T f l u i d T a m b i e n t . Introducing T f l u i d as a variable, however, makes the analytical solution of the differential equations uncertain, indicating the need for further investigation of alternative approaches. The assumption of constant heat flux represents an idealized base case; however, the model can be extended to include spatially variable heat exchange q ˙ (z) for realistic operating conditions. This ensures that the present ‘universal’ model is understood in its mathematical sense, while practical boundary-condition variability can be incorporated in future extensions.
Although this can already be analyzed with the available results, the model can be made more precise by treating the natural heat exchange as a variable. The question therefore arises as to what values the heat exchange between the environment and the transported medium—whether cooled, refrigerated or heated—can assume. For insulated or non-insulated pipelines, this value can be between 3 4   W m and 30 40   W m (in the case of natural gas or vapour transport), depending on whether the transported medium is close to the ambient temperature or differs significantly from it. In the case of natural gas transport, the heating intensity can be considered equivalent to the natural heat inflow from the environment, which is typically in the range of 10–20 W/m. The consideration of heating is particularly important for processes in the chemical industry or in the energy sector when vapours are transported (both in winter and in summer).
The paper compares a universal polytropic flow model adapted to the environmental conditions with isothermal, adiabatic and isentropic flow models. It is shown what kind of heating or cooling is required to implement these flow models. It is found that the calculation results do not differ significantly under isothermal and adiabatic assumptions. However, it is not useless to consider the differences in the transport capacity of natural gas pipelines between winter and summer operation.
The realization of an isentropic flow, as suggested by the extrapolated results of our calculations, seems to have only theoretical significance: It implies an enormous need for specific heat dissipation, the practical realization of which would certainly be uneconomical.
This type of calculation and its results deserve special attention in terms of clarification and awareness-raising. Of course, detailed numerical simulations are carried out in design and operational practice, but increasing the number of input parameters does not necessarily increase the reliability of the supposedly more accurate results. Consider the widening of confidence intervals for normally distributed random variables: Increasing the confidence level from 95% to 99% results in an approximate 1.4-fold increase in the width of the confidence interval.
Although the current modelling assumptions have some limitations, the proposed approach provides a basis for further research, including variable heat exchange and transient conditions. Future research also includes an actual validation of the results under real conditions, especially for new gases such as hydrogen or its mixtures through an experimental validation of the model. This work also shows the importance of combining analytical and numerical methods to reliably support the green energy transition and safe hydrogen transport.
The analytical model proposed in this study can also serve as a robust physical framework for hybrid optimization and diagnostic systems. Owing to its explicit mathematical structure and parametric transparency, it can be easily coupled with data-driven methods such as machine learning or real-time optimization algorithms. This integration would enable predictive maintenance, energy-efficient operation, and fault detection in complex gas and hydrogen transport networks. Future research will focus on developing digital twin applications based on the present analytical framework to support intelligent and adaptive energy transport systems. In addition, a unified sensitivity analysis of the analytical solutions has been carried out, providing a quantitative assessment of the influence of key parameters (λ, D, m ˙ , q ˙ , Z, κ) across subsonic, near-critical, and heated flow regimes. This analysis further confirms the robustness and general applicability of the developed model and highlights the relative dominance of frictional, geometric, and thermal effects under realistic operating conditions.

Author Contributions

L.G.: Conceptualization, Methodology, Supervision, Validation, Writing—original draft, Writing—review and editing. R.S.: Data curation, Formal analysis, Methodology, Project administration, Visualization, Writing—original draft, Writing—review and editing. M.B.: Data curation, Visualization, Writing—original draft, Writing—review and editing. All authors have read and agreed to the published version of the manuscript.

Funding

This research received no external funding.

Institutional Review Board Statement

Not applicable.

Informed Consent Statement

Not applicable.

Data Availability Statement

Data is available upon reasonable request.

Conflicts of Interest

The authors declare no conflicts of interest.

References

  1. International Energy Agency: IEA. Global Energy Review. 2025. Available online: www.iea.org (accessed on 22 August 2025).
  2. Pluta, A.; Medjroubi, W.; Diettrich, J.; Dasenbrock, J.; Tetens, H.P. SciGRID_gas—Data Model of the European Gas Transport Network. In Proceedings of the Open Source Modelling and Simulation of Energy Systems, Aachen, Germany, 4–5 April 2022; pp. 1–7. [Google Scholar] [CrossRef]
  3. European Commission. Hydrogen in Gas Grids. 2023. Available online: https://higgsproject.eu/wp-content/uploads/2024/06/D6.1.pdf (accessed on 22 August 2025).
  4. Kirkland, W.M. A Polytropic Approximation of Compressible Flow in Pipes with Friction. J. Fluids Eng. 2019, 141, 121404. [Google Scholar] [CrossRef]
  5. Suleymanov, V.A. Natural Gas Pipeline Transportation as the Thermodynamic Process. Am. J. Appl. Math. 2021, 9, 211–215. [Google Scholar] [CrossRef]
  6. Xu, W.; An, Y.; Yan, S.; Li, R.; Cai, M.; Jia, G. Simulation study on hydrogen concentration distribution in hydrogen blended natural gas transportation pipeline. PLoS ONE 2024, 19, e0314453. [Google Scholar] [CrossRef] [PubMed]
  7. Raj, A.; Larsson, I.A.S.; Ljung, A.L.; Forslund, T.; Andersson, R.; Sundström, J.; Lündström, T.S. Evaluating hydrogen gas transport in pipelines: Current state of numerical and experimental methodologies. Int. J. Hydrogen Energy 2024, 67, 136–149. [Google Scholar] [CrossRef]
  8. Pistiner, A.A. Self-similar solution for transient flow in a pipeline. Int. J. Press. Vessel. Pip. 2020, 188, 104207. [Google Scholar] [CrossRef]
  9. Nouri-Borujerdi, A.; Ziaei-Rad, M. Simulation of compressible flow in high pressure buried gas pipelines. Int. J. Heat Mass Transf. 2009, 52, 5751–5758. [Google Scholar] [CrossRef]
  10. Ferrari, A.; Vento, O.; Zhang, T. The Polytropic Approach in Modeling Compressible Flows Through Constant Cross-Section Pipes. J. Fluids Eng. 2021, 143, 091502. [Google Scholar] [CrossRef]
  11. Conner, J.; Manousiouthakis, V.I. On a pipeline pressure drop model for nonideal, compressible, gas mixture flow with application to pipeline flow of natural gas-hydrogen blends. arXiv 2024, arXiv:2410.20292. [Google Scholar] [CrossRef]
  12. Liu, E.; Lv, L.; Ma, Q.; Zhang, L. Steady-state optimization operation of the west-east gas pipeline. Adv. Mech. Eng. 2019, 11, 1–14. [Google Scholar] [CrossRef]
  13. Ouyang, X.; He, Q.; Chai, C.; Wang, Y.; Di, T.; Zhou, J.; Sun, X. A numerical study on hydrogen blending in natural gas pipeline by a T-Pipe. J. Pipeline Sci. Eng. 2024, 4, 100186. [Google Scholar] [CrossRef]
  14. Abbas, A.J.; Hassani, H.; Burby, M.; John, I.J. An Investigation into the Volumetric Flow Rate Requirement of Hydrogen Transportation in Existing Natural Gas Pipelines and Its Safety Implications. Gases 2021, 1, 156–179. [Google Scholar] [CrossRef]
  15. Yang, X.C.; Cao, Y.G. Effects of head loss, surface tension, viscosity and density ratio on the Kelvin–Helmholtz instability in different types of pipelines. Phys. D Nonlinear Phenom. 2021, 424, 132950. [Google Scholar] [CrossRef]
  16. Garbai, L.; Santa, R. New models for adiabatic and isentropic flow description in tubular friction and adiabatic exponent generalization. J. Therm. Anal. Calorim. 2024, 149, 14781–14789. [Google Scholar] [CrossRef]
  17. White, F.M. Fluid Mechanics, 9th ed.; McGraw-Hill Education: New York, NY, USA, 2021. [Google Scholar]
  18. ISO 13623:2017; Petroleum and Natural Gas Industries—Pipeline Transportation Systems. International Organization for Standardization: Geneva, Switzerland, 2017.
  19. EN 1594:2013; Gas Supply Systems—Pipelines for Maximum Operating Pressure over 16 Bar—Functional Requirements. European Committee for Standardization (CEN): Brussels, Belgium, 2013.
Figure 1. Physical model of polytropic flow ( m ˙ = const).
Figure 1. Physical model of polytropic flow ( m ˙ = const).
Technologies 13 00482 g001
Figure 2. Methodological flowchart.
Figure 2. Methodological flowchart.
Technologies 13 00482 g002
Figure 3. Variation in specific volume along the pipe length.
Figure 3. Variation in specific volume along the pipe length.
Technologies 13 00482 g003
Disclaimer/Publisher’s Note: The statements, opinions and data contained in all publications are solely those of the individual author(s) and contributor(s) and not of MDPI and/or the editor(s). MDPI and/or the editor(s) disclaim responsibility for any injury to people or property resulting from any ideas, methods, instructions or products referred to in the content.

Share and Cite

MDPI and ACS Style

Garbai, L.; Santa, R.; Bošnjaković, M. Advanced Analytical Modeling of Polytropic Gas Flow in Pipelines: Unifying Flow Regimes for Efficient Energy Transport. Technologies 2025, 13, 482. https://doi.org/10.3390/technologies13110482

AMA Style

Garbai L, Santa R, Bošnjaković M. Advanced Analytical Modeling of Polytropic Gas Flow in Pipelines: Unifying Flow Regimes for Efficient Energy Transport. Technologies. 2025; 13(11):482. https://doi.org/10.3390/technologies13110482

Chicago/Turabian Style

Garbai, Laszlo, Robert Santa, and Mladen Bošnjaković. 2025. "Advanced Analytical Modeling of Polytropic Gas Flow in Pipelines: Unifying Flow Regimes for Efficient Energy Transport" Technologies 13, no. 11: 482. https://doi.org/10.3390/technologies13110482

APA Style

Garbai, L., Santa, R., & Bošnjaković, M. (2025). Advanced Analytical Modeling of Polytropic Gas Flow in Pipelines: Unifying Flow Regimes for Efficient Energy Transport. Technologies, 13(11), 482. https://doi.org/10.3390/technologies13110482

Note that from the first issue of 2016, this journal uses article numbers instead of page numbers. See further details here.

Article Metrics

Back to TopTop