Abstract
Corporate credit ratings provide multiple strategic, financial, and managerial benefits for decision-makers. Therefore, it is essential to have accurate and up-to-date ratings to continuously monitor companies’ financial situations when making financial credit decisions. Machine learning (ML)-based internal models can be used for the assessment of companies’ financial situations using annual statements. Particularly, it is necessary to check whether these ML models achieve better results compared to statistical methods. Due to the multi-class classification problem when forecasting corporate credit ratings, the development, monitoring, and maintenance of ML-based systems are more challenging compared to simple classifications. This problem becomes even more complex due to the required coordination with financial regulators (e.g., OECD, EBA, BaFin, etc.). Furthermore, the ML models must be updated regularly due to the periodic nature of annual statements as a dataset. To address the problem of the limited dataset, multiple sampling strategies and machine learning algorithms can be combined for accurate and up-to-date forecasting of credit ratings. This paper provides various implications for ML-based forecasting of credit ratings and presents an approach for combining sampling strategies and ML techniques. It also provides design recommendations for ML-based services in the finance industry on how to fulfill the existing regulations.
1. Introduction
A quantified and accurate assessment of corporate creditworthiness provides multiple benefits to external decision-makers such as investors, creditors, and bankers in terms of their financial, strategic, and operational judgments based on ratings (; ; ). In addition, all participants and decision-makers are legal entities that cannot act alone but act through certain persons with clear responsibilities (). Moreover, the credit ratings have to be updated by rating agencies to reflect the latest credit status of the companies (; ). In addition, annual financial statements are important for several stakeholders in the finance industry while determining the financial situation and development of an entity to guide the current and future of external activities (; ). In light of financial fluctuations caused by the COVID-19 pandemic, it has become more important to consistently monitor the financial situation of even the most successful international companies and their business partners (). In addition, it is necessary to improve quality and accuracy while forecasting corporate credit ratings (; ). However, companies do not always provide accurate information, which degrades automated credit scoring results and must be carefully considered and sorted out (; ). In this context, it is necessary to gather further recommendations for policy-compliant forecasting, monitoring, and maintenance mechanisms (; ).
As a result of the financial crisis in 2007–2009, banks were already encouraged to develop internal credit rating models for evaluating loans to businesses and their associated risks, as well as for business partners with credit lines (). Compared to traditional credit ratings, ML-based approaches have a strong ability to extract meaning and identify trends from datasets (). These approaches can facilitate the process of identifying key criteria for forecasting credit ratings in the underlying dataset. Obviously, these ML models must be able to predict the correct risk classes or credit rating from a non-binary list. It is essential to consider that annual financial statements have different qualities depending on the size of the company while illustrating the financial health of companies (; ; ; ). Since forecasting accuracy is to be increased, non-traditional and up-to-date data from numerous other sources can be considered additionally (; ). But first of all, it is essential to clearly define appropriate design, development, and maintenance processes to address the complexity due to the multi-class classification problem while forecasting credit ratings (; ; ; ).
Moreover, this classification problem becomes more complex due to the requirements of the financial supervisory authorities for ML-based financial services (; ; ; ). The fact that any changes in ML-based services must be agreed upon by supervisory authorities poses a critical coordination effort for financial services companies and entities, especially for services with long-term development and testing periods (; ; ). This kind of coordination with regulatory authorities is not part of traditional credit scoring, which poses a challenge during the development and deployment of ML-based services. Current requirements, regulations, and expectations of the supervisory authorities (e.g., explainability and traceability of ML) increase the complexity of the maintenance and monitoring of ML-based services (; ). Consequently, research and practice struggle with multiple questions and conceptual regulations, even though better results are achieved through ML.
The benefits or improvements of ML-based credit ratings over existing statistical methods are necessary to examine before building ML-based financial services. Depending on the used dataset and the relevance of periodic changes and releases, it is necessary to monitor and retrain the ML models to ensure a good forecasting quality of credit ratings. In cases with non-binary classification problems, it is elaborate to define clear structures for the design, development, and monitoring of ML-based services and at the same time meet the requirements of supervisory authorities (; ; ).
Different from traditional rating agencies, ML-based services can be adapted and trained more dynamically using partial data on a monthly or quarterly basis to track the latest financial developments (). Furthermore, existing studies on this topic focus more on the ML techniques themselves and do not propose an appropriate structure for the deployment or maintenance of the underlying process (; ; ; ; ). Due to the fact that financial services companies have to fulfill the requirements if they want to offer or use ML-based services, they have to consider steps like evaluation and deployment properly (; ). Furthermore, well-defined structures are necessary to be able to retrain, test, and validate these models for forecasting credit ratings when new annual statements are available.
Financial ratios required for forecasting credit ratings can subsequently be derived and/or (re-)calculated using these annual statements (; ). Hence, we focus on finding key aspects for the use of ML in forecasting corporate credit ratings and associated procedures to support development, monitoring, and maintenance structures. From this background, we define the following research question in this paper:
RQ: How can ML and oversampling techniques be used to analyze annual financial statements for forecasting corporate credit ratings?
First, we introduce the theoretical foundations of corporate credit rating and give an overview of existing European regulatory principles in the finance industry. Subsequently, the research approach for forecasting credit ratings presented in Section 3 outlines each step of the construction and evaluation of the ML approach. In Section 4, we discuss the results of this study. Implications for research and practice and possible future directions are presented in Section 5.
2. Theoretical Foundations
In the following, we first summarize the theoretical background of corporate credit ratings. Further, the existing regulatory principles in Europe are presented in Section 2.2 to ensure a common understanding related to ML usage in the finance industry.
2.1. Corporate Credit Ratings
The credit rating of a company indicates how high the risk is that a borrower or counterparty will not meet its obligations according to the agreed terms (). As one of the three largest external rating agencies, () defines credit rating as follows: “Ratings assigned on Moody’s long-term and short-term rating scales are forward-looking opinions of the relative credit risks of financial issued by non-financial corporates, financial institutions, structured finance vehicles, project finance vehicles, and public sector entities.” The definition presented here distinguishes between short-term and long-term credit ratings and presents them as an assessment rather than a legally binding valuation. Moreover, credit ratings can be issued for different types of debtors, such as companies and countries ().
Credit rating refers to both the procedure and its result (; ). Moreover, the creditworthiness of a company is assessed as part of the rating process and is an important part of risk management in financial services (; ). There is a distinction between internal and external credit ratings based on the issuer of the credit rating (). Internal ratings are issued by banks as part of the lending process to ensure that equity capital is adequately backed by risk (; ). External ratings are usually performed by external credit agencies or information providers and increase market transparency by preventing information asymmetries between issuers and potential investors (; ; ).
Financial ratios are essential in determining the creditworthiness of corporations because they rely on corporate governance characteristics and macroeconomic variables, which provide additional relevant information for ratings (). Hereby, linear regression, logistic regression, or discriminate analysis are common statistical techniques for forecasting credit ratings (; ; ). However, recent developments in ML and increased computing capacity provide a relevant basis to build and test new internal models using learning or ensemble techniques such as Neural Networks (NN) or XGBoost (; ). However, further research is necessary to test whether these new ML-based forecasting models can deliver more accurate and compliant results or cause more work and costs in consideration of further design, development, monitoring, and maintenance steps.
Moreover, as a result of Basel II and III guidance, banks that meet certain minimum disclosure and supervisory requirements are allowed to use their own assessments of various risk exposures using internal risk rating systems, known as the “internal ratings-based” (IRB) approach (; ). Further, it is advantageous and important for financial companies to be able to classify credit ratings independently of rating agencies (; ). Nevertheless, qualitative and quantitative elements are being considered while assigning credit risk ratings to facilitate the assessment of borrowers’ creditworthiness over a period of time (; ; ; ). For this assessment, a transition matrix helps to identify the financial stress and illustrates movements as a center of modern risk management over the years that can be assisted by ML-based models to increase the precision of financial decisions ().
2.2. Regulatory Principles for the Use of ML in the Finance Industry
In Europe, financial institutions are subject to extensive regulations for the use of ML and Big Data (BD) techniques to determine credit ratings (; ; ). If any intelligent and automated technology is implemented, numerous supervisory regulations and implications arise (). Compliance with these principles is also significant in terms of ensuring applicable ethical standards to prevent any discrimination through automated decisions. ML models that act as a kind of non-transparent “black box” will not be accepted by banking supervision (; ; ; ). Therefore, considering and establishing the documentation process is necessary to promote the explainability and traceability of ML models and ML-based services (). Besides, due to the increasing interest in ML-based services, supervisory authorities need to develop their own AI/ML competencies to be able to monitor and regulate ML-based services in a structured way ().
However, common expectations of supervisory authorities regarding the use of ML exist with traditional statistical models such as transparency, reliability, accountability, fairness, and ethics (; ). However, due to the recent developments in ML, it is not yet clear whether and how regulators and supervisors consider specific risks when it comes to offering ML-based services in the finance industry (; ; ). As an example, the German Federal Bank proposes to focus on features of ML that are novel to current regulation and supervisory practices (; ). Furthermore, monitoring and maintenance procedures also become more relevant for practitioners and supervisory authorities, increasing their ability to control the quality of the model ().
From the European perspective, explainability is a key requirement for all ML-based services to ensure fundamental safety and enable people to trust the system (). However, the progress made through the use of ML, e.g., in credit scoring, compared to classical statistical mechanisms must be recognizable (). We summarize the identified regulatory principles from the international regulatory and supervisory authorities and recent studies in three groups (see Figure 1): First, there are general principles that consider basic and partially functional aspects such as the potential problems with bias and differentiation (; ; ). In this context, the training datasets play a crucial role because if they are biased, the classification will be biased as well (). The principles of the “Development Phase” contain currently common quality features and assessment mechanisms that must be carried out properly by data miners and documented in a structured manner (; ; ). Principles D2 and D4 determine the set of allowed ML techniques that are explainable enough depending on the task (; ). Lastly, principles are listed for the “Application Phase,” which considers maintenance, monitoring, and control of the system at an abstract level. When ML-based services work with periodic datasets such as annual statements, principles such as A5 must be considered to coordinate with supervisors so that model changes can be made if necessary ().

Figure 1.
Identified regulatory principles for AI-Use in the finance industry.
3. Research Approach for Forecasting Credit Ratings
To answer the research question, we employ below a standardized data mining project according to CRISP-DM (). First, we present the dataset in Section 3.1. Then, we identify the key features for forecasting credit ratings and describe the relevant steps for pre-processing in Section 3.2. Perform oversampling to cope with the class imbalance problem as presented in Section 3.3. Modeling; The evaluation results of the ML-based forecasting are described in Section 3.4 and Section 3.5.
3.1. Dataset of Annual Financial Statements
For this paper, we have selected the dataset from the study of (), which consists of 3.3 Mio. entries of annual financial statements from 2000–2012 with 74 metrics. Moreover, this dataset provides evidence that small- and medium-sized companies provide less and mostly unprecise information about their financial situations as part of their disclosures and poses a real practical situation (; ; ).
Following the German Commercial Code §267 and §267a, the dataset is divided into four categories based on the business sizes of the companies in the dataset: Micro-, small-, medium-, and large-sized businesses. The analysis of business sizes before data pre-processing revealed that 95% of the entire dataset belongs to micro- and small-sized businesses. Therefore, this analysis, together with the arguments of () and (), suggests splitting the dataset into smaller pieces. Due to the insufficient number of entries after data cleaning, large businesses are excluded from this study.
3.2. Data Analysis and Pre-Processing of Annual Financial Statements
The dataset contains the rating class, which ranges from AAA to D, as a dependent feature for ML models. Furthermore, we observed an imbalanced distribution for the rating classes in the dataset (Appendix B). Otherwise, they would not be suitable as explanatory features. In addition, the second step is to examine the missing or incorrect values because they can lead to errors and misclassifications in ML models. Because of the requirement by the German Commercial Code (HGB) to provide different disclosures in their financial statements, we checked whether certain disclosures were systematically missing. This exists, for example, if there is no value for earnings before interest and taxes (EBIT) and operational results together. However, there are no systematically missing values in the entire dataset.
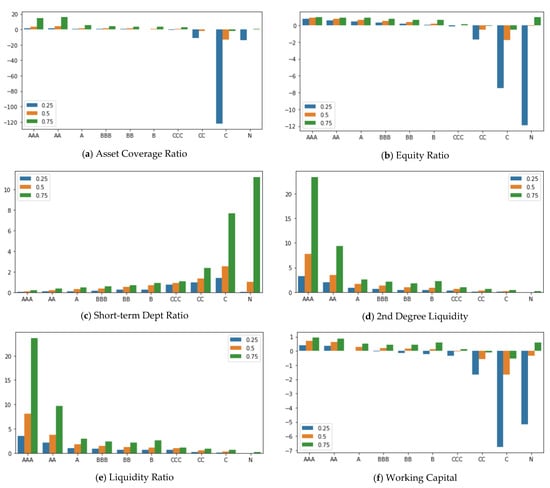
Afterward, 48 metrics with more than 30% missing, negative, or invalid values were deleted. This is because methods such as imputation with the median or arithmetic mean would have distorted the data. The 13 features containing irrelevant information (e.g., addresses and IDs) were also deleted. In total, 61 of the initial 74 metrics were removed from the dataset. The remaining 13 metrics were examined using 25%, 50%, and 75% quartiles for each rating class to check the relationship between explanatory features and the rating class and whether they are useful for the classification (see Appendix A). In total, six metrics showed a positive or negative trend as the rating level worsened: Asset Coverage Ratio (ACR), Equity Ratio (ER), Short-term Dept Ratio (STDR), 2nd Degree Liquidity (L2), Liquidity Ratio (LR), and Working Capital (WC). Due to the identified Pearson Correlation between LR and L2, we only considered LR as a feature in the dataset ().
Furthermore, it was not possible to reconstruct the calculation of ACR and WC based on the underlying dataset, so we decided to recalculate them using the following basic metrics: Net Income (NI), Assets (A), Intensity of Investment (II), and Working Capital Intensity (WCI). Therefore, all entries with missing or invalid values in NI, A, II, WCI, L2, ER, and STDR were excluded. Furthermore, four additional features (Working Capital Ratio, Return on Total Assets, Return on Equity, and Asset Coverage Ratio) were calculated using NI, A, II, and WCI for forecasting corporate credit ratings (see Table 1) that are relevant for examining a company’s capital structure, profitability, and liquidity (; ; ; ). As a result of the data pre-processing, we have 2.5 M. entries remaining in the cleaned dataset (Table 2) that have an uneven distribution of rating classes (Appendix B).

Table 1.
Key features for forecasting corporate credit ratings.

Table 2.
Raw and cleaned datasets.
3.3. Oversampling Structure
As derived from the literature, we first split the dataset into three training sets (micro, small, and medium) using the attribute “business size” to cope with the class imbalance problem in the dataset (; ; ). After data cleaning, we excluded the large companies in this study because the lower quality caused by increased missing and invalid values in the remaining 4605 entries was insufficient for a multi-class classification problem.
Due to the uneven distribution of rating classes (Appendix B), it is necessary to oversample the minority classes to avoid any bias. Hereby, we have oriented the oversampling structure according to (). So, we used the Synthetic Minority Oversampling Technique (SMOTE) and tested/combined it with the cleaning algorithms Tomek Links (SMOTE-TOMEK) and Edited Nearest Neighbor (SMOTE-ENN, see Table 3). SMOTE oversamples minority classes using synthetically generated observations (). But, to remove the overlap caused by the SMOTE algorithm, Tomek Links and ENN are used in combination with SMOTE ().

Table 3.
Number of observations in each dataset after oversampling.
Tomek links are based on the calculation of the distance between two observations of different classes (). It occurs when no observation of the same class with a shorter distance exists in the dataset for these two observations. Identified Tomek Links are then deleted from the dataset. Each combination, SMOTE-TOMEK and SMOTE-ENN, is used to make clean observations of the majority class. For SMOTE, the default value of k = 5 nearest neighbors was considered while deleting observations of the majority class. The number of observations after oversampling is shown in Table 3 and in Appendix B.
3.4. Modeling
ML models that have achieved the best results so far have been identified from the literature for credit rating: Neural Network (NN), XGBoost, Logistic Regression (LR), and Decision Tree (DT). Moreover, ten-fold stratified cross-validation was used to train and test the models of LR, DT, and XGBoost because it ensures balancing the class frequencies in the dataset (). For this, each of the three datasets was divided into ten disjoint test and training datasets (). Due to the complexity of NN, we decided to split the dataset into training (60%), testing (20%), and validation (20%) subsets. Moreover, the validation subset is used to optimize the hyperparameters, and the test subset is used to test the predictive power of the NN model. The next step is the standardization of the features in these subsets so that they have a mean of zero and a standard deviation of one. This is essential to prevent the learning process from being dominated by their scale level and to quickly update the weights in algorithms such as NN (). The following metrics were then used for evaluation of the prediction quality of the ML models: Accuracy, Recall, Precision, and F1.
Moreover, a Grid Search for XGBoost, LR, and DT was performed to find optimal hyperparameters (). The hyperparameters used in Grid Search are shown in Table 4. The hyperband algorithm was performed to optimize the number of neurons in the frist layer of the NN (). Each iteration in Grid Search eliminates configurations with lower accuracy in the validation dataset until the best hyperparameter is identified. Overfitting is prevented by early stopping for NN if the validation error does not improve after k = 3 epochs (; ). Moreover, Root Mean Square Propagation (RMSProp) is employed as an optimizer to improve the convergence speed and stability of the model training process. RMSProp can stabilize the learning process and prevent oscillations in the optimization trajectory (). An overview of the final hyperparameters for NN, XGBoost, LR, and DT is shown in Table 5.

Table 4.
Grid search parameters for neural networks, XGBoost, logistic regression, and decision trees.

Table 5.
Hyperparameters considered for Neural Network, XGBoost, Logistic Regression, and Decision Tree.
3.5. Evaluation of the ML-Approach for Forecasting Credit Ratings
The Attribute-based ML-Approach (see Figure 2) has shown that splitting datasets using business sizes and combining them with oversampling techniques has a major positive impact on model performance for forecasting credit ratings (). The results of the four ML models presented in Table 6 are the arithmetic mean of the ten models produced by the ten-fold stratified cross-validation. The features are calculated for each rating class, so the weighted average of each feature, ML model, and business size are reported here. The weighted average is used because there may be slight imbalances in the dataset after data sampling with SMOTE-ENN and SMOTE-Tomek.

Figure 2.
Attribute-based machine learning approach.

Table 6.
Evaluation results of ML models combined with oversampling techniques.
The models considered in Table 5 were trained, validated, and tested for each of the three oversampling techniques. First, SMOTE was tested to evaluate the forecasting quality. For all four models, it is clear that the forecasting quality is worse than a binary classification problem (). This problem arises from the large number of different classes and their associated complexity. Moreover, a comparison with SMOTE and Tomek Links shows that these adjustments can improve the overall prediction accuracy for three out of four models. But for the LR model, the adjustment with SMOTE-Tomek decreases the forecasting quality for each dataset.
Furthermore, the models achieve significantly better results based on the SMOTE-ENN (see Table 6). For each model, the accuracy increases by more than 20%. The number of observations after oversampling for each technique is reported in Table 3 to capture how many of the observations are deleted from ENN as part of the data-cleaning process. It is clear that SMOTE-ENN deleted significantly more entries for each dataset. This could be the reason for better prediction and higher accuracy because deleting the observations makes it easier for ML models to learn the classification boundaries. Moreover, the provisioning rate (PR), as another feature, was calculated and combined with the best-performing oversampling strategy (SMOTE-ENN) to improve the model’s performance. But this could only improve the forecasting quality of medium-sized companies with LR and XGBoost models. The reason for this could be the increasing impact of the provisioning rate depending on the business size (). For smaller companies, the PR and, consequently, its impact on the financial situation of the company are lower.
An overview of achieved F1-Scores (see Table 7) per rating class helps to analyze whether the best model (XGBoost with SMOTE-ENN) has the same prediction quality after data cleaning. The F1-Scores indicate that the rating classes B-BBB are difficult to classify in the given dataset. In addition, XGBoost has the best F1-Score for rating class D, which is oversampled the most. This could be due to many similar synthetic observations. Moreover, this attribute-based approach (Figure 2) can aid the training and evaluation of multi-class classification cases, such as credit rating, with increased complexity. Hence, it is necessary to ensure enough entries in every minority class (e.g., B-BBB), which poses another issue and encourages further measures while oversampling the dataset. Multi-class classification problems can be extended and handled by one more split using rating classes. Moreover, the results indicate, that the ensemble method XGBoost achieves the best results while forecasting corporate credit ratings.

Table 7.
F1-Scores for XGBoost with SMOTE-ENN.
4. Discussion and Implications for ML-Based Forecasting Credit Ratings
Using an attribute-based ML approach (Figure 2) for forecasting credit ratings indicates that increased complexity due to multi-class classification can be addressed more accurately with oversampling techniques. The pre-processing and splitting of datasets using the attribute “business size” was important to be able to identify and solve the imbalances in the dataset. Moreover, the results confirm that more complex models such as NN and ensemble methods such as XGBoost still provide better forecasting performance (see Table 6). However, the forecast quality of the credit rating depending on business size is lower than a simple binary classification like bankruptcy forecasting (). Thus, a sampling based on multiple layers (e.g., based on business size and credit rating class) is necessary in cases like credit rating with multi-class classification. The results illustrate that this approach can iteratively balance datasets based on firm size and additionally based on rating class, which contributes to a more accurate multiclass classification. However, these additional steps for solving the imbalance problem on such periodic datasets will increase the complexity and, thus, the costs of the development and use of ML-based services.
Due to the fact that smaller companies have poorer data quality, a much higher number of observations are removed from the dataset of micro-sized companies (see Table 3) by SMOTE-Tomek and SMOTE-ENN (; ). Furthermore, the selection of explanatory features is necessary to provide accurate forecasts for much more complex problems, which will make the development and maintenance of such ML-based services even more challenging. Due to the requirements of regulatory authorities, the underlying methods of ML-based services must also be explainable. Therefore, it is not sufficient to consider only the development of ML models. So, an agreement on underlying procedures, including detailed documentation, with regulatory authorities is mandatory for ML-based services. Even though the dataset has been trained with annual financial statements, the procedure can be extended or adapted if partial data are submitted, for example, on a monthly or quarterly basis. In this way, it is possible to follow new financial developments more dynamically than with conventional credit ratings.
Moreover, there are regulatory principles (Section 2.2) that must be met to offer an ML-based service at all. The general expectations of the regulatory authorities [G1, G2] must be fulfilled in general, whereby the principle to avoid bias and discrimination [G3] can be tested on a representative dataset before the development phase begins. To build a data strategy and governance [D1], individual steps in the development of ML-based services must be documented carefully [D4] so that reproducibility of the results can be achieved [D3]. Based on the documentation of the steps and measures, the results can be agreed upon with supervisory authorities so that a technical and formal validation [D5] can be carried out in a structured manner. However, whether a relevant dataset is used for validation [D6] is to be verified both by the developers and the regulatory authorities. Therefore, it is relevant to document the intermediate steps and measures and provide the associated datasets.
In addition, this study helps to structure the validation and testing processes of ML models by both developers and regulators and enables iterative identification, discovery, resolution, and documentation of issues [A5]. Structured documentation of each step up to deployment promotes the traceability of the decisions and results [A1], as required by regulatory authorities (; ; ). Considering these regulatory principles and increased efforts, it is obvious to take a critical look at the existing focus on developing ML models in research for different use cases in the finance industry. On the one hand, even if the developed ML models are explainable enough, financial companies must consider and evolve compliant procedures for the development, monitoring, and maintenance of these products or services. On the other hand, they must be able to overcome these challenges for each model change and ensure the consistency and security of their ML-based services. Due to these circumstances, an explainable and well-documented approach must be seen as an important part of ML-based services. The attribute-based ML approach can be used to systematically address the required explainability and promote documentation of the process and decisions for forecasting credit ratings. In this study, we used the built-in feature importance of XGBoost based on 10-fold stratified cross validation to weigh how much the selected features affect the outcome, thus promoting the explainability of the data and the ML model [A1]. It consists of counting the number of times each feature is split across all boosting trees in the model, which can be visualized in a graph with the features ordered according to how many times they appear. In this study, Figure 3 indicates that the features, depending on the underlying sampling technique, features, and dataset, are weighted differently for forecasting credit ratings. It also helps to identify some logical relationships between the features, such as the 2nd-degree liquidity [L2] that plays a more important role while forecasting the credit ratings of smaller companies. Likewise, the equity ratio [ER] indicates a higher importance for small-sized companies but represents the opposite importance level of the short-term debt ratio [STDR] for forecasting credit ratings compared to micro-sized companies.

Figure 3.
XGBoost feature importance overview of the best results.
Explaining a model decision in terms of feature importance can also help to consider the principle [A1] for interpreting the model decisions and providing correct results [D3]. In addition, it is possible to find out whether logical subject-specific relationships can be found that provide for the systematic and rational functioning of the model. From the perspective of developers, it allows us to compare the results of the existing and, if necessary, retrained models with each other [A5]. So, it is possible to examine how the decision-making principles of the models have changed depending on the periodical movements in the dataset, which can bring more transparency into the model’s decision-making structure. However, the measures for the required explainability of models vary by ML mechanism and dataset, so it must be considered whether the preferred ML model and measures are sufficiently explainable for regulators.
Furthermore, clearly defined processes are also needed to coordinate with supervisory authorities and enable ML-based services for credit scoring. In this context, providing transparency in the development process can boost mutual understanding of how ML-based services work. In addition, it is important to consider the relevant process by which internal rating models with ML must be developed, tested, agreed upon, and then deployed rapidly to ensure a competitive advantage. Thus, financial services companies and supervisory authorities need to improve their competencies so that this process is completed promptly and adequately (). The processes of data preparation, model validation, monitoring, and escalation are therefore becoming more relevant than simply focusing on the model’s performance in research (; ). Due to the regulatory principles [A4, A5], ML-based services must be continuously monitored and equipped with emergency measures, e.g., notifying the responsible person in case of outliers in ML-based decisions (). Such measures are also necessary to control and ensure the quality and accuracy of services provided by financial institutions. Additionally, due to the increasing interest in alternative credit scoring models, non-traditional data from numerous sources and their assessments are also gaining importance (; ). In order to integrate these new data sources into credit rating forecasting, clearly defined processes are essential, especially for transparent and compliant big data analysis (). Especially, these rapidly evolving market conditions and the associated dynamics require further research and evaluation for the definition of these policy-compliant processes and principles.
From a practical perspective, the split made here based on business size helps to identify the underrepresented and problematic cluster systematically. Thus, the progress made compared to classical statistical mechanisms is recognizable as expected by supervisory authorities (). Due to the multi-class classification, there is a need for an additional split in the dataset (e.g., rating class) to address imbalances in the dataset more precisely. However, this approach also increases the complexity of developing and maintaining an ML-based system for forecasting credit ratings. Due to the fact that credit ratings are to be forecasted on the most up-to-date dataset, these models must be regularly maintained and monitored. It is also necessary to coordinate with supervisory authorities about whether new models or changes are allowed to be made. Therefore, the concept of a dashboard can extract the results and automatically visualize them to reduce this maintenance effort for financial companies and regulatory authorities. Compared to traditional statistical methods, ML-based approaches can detect patterns and correlations of key features used for forecasting credit ratings between groups, e.g., using business sizes. This allows us to build and use different features depending on the dataset to increase accuracy (; ).
5. Conclusions and Future Work
This paper proposes to find an appropriate structure for ML-based forecasting of corporate credit ratings given the increased complexity that the finance industry, including supervisory authorities, must deal with while developing, deploying, and maintaining ML-based services. Hence, this paper provides multiple implications for research and practice. Within the proposed process, which consists of data pre-processing, sampling, and training processes, we answered the research question. It consists of three oversampling techniques and four ML models for ML-based forecasting of credit ratings. Afterward, we discussed the regulatory principles based on the findings of the research question to highlight the strengths and weaknesses of this approach and identify where future research is needed.
The ML models (NN, XGBoost, LR, and DT) are combined with four sampling techniques to balance the distribution of ten credit rating classes. The results indicate that XGBoost provides the best outcome with SMOTE-ENN (75–89%). However, a closer look at F1 scores after oversampling with SMOTE-ENN per rating class has shown that the rating classes B-BBB are difficult to classify in the given dataset for the XGBoost model. In addition, XGBoost has the best F1 score for rating class D, which is oversampled the most due to a large number of similar synthetic observations. Hence, a split of the dataset based on business size can be extended for multi-class classification problems to increase the forecasting quality. Since new datasets always need to be examined, the proposed approach may be most appropriate for the selected dataset but may differ again for future or other datasets (). Moreover, this increases the complexity in terms of the performance and maintenance of the developed ML models. To cope with this increased complexity, this study provides an appropriate structure for forecasting credit ratings with an attribute-based ML approach. However, further research is required on how this approach can be extended to consider non-traditional and more up-to-date data for better forecasting credit ratings.
Moreover, the results indicate that ML-based systems working with periodic datasets can be monitored and maintained systematically due to periodic changes. Once the regulatory principles are considered in the development phase of ML-based financial services, only developing further ML models for forecasting credit ratings is not enough for ML-based services in the finance industry. Further research to conceptualize development, documentation, maintenance, and measures to address and fulfill the regulatory principles will shape the future of the financial industry. In addition, traceable and explainable approaches can facilitate coordination with regulatory authorities.
Furthermore, the ensemble XGBoost model could provide better results than the DT, LR, and NN models. However, the increased number of parameters and models, which also increase the training time, must still be viewed critically in terms of the non-ML-based and already-used statistical methods in the finance industry. Nevertheless, the traceability of the processes undertaken by regulatory authorities increases the complexity of development, deployment, and monitoring concepts with ever-changing legal regulations. Compared to traditional credit scoring, there is a high level of dynamism in the development or deployment of new ML-based services. It is essential to bring more structure to the design and development phases of such ML-based services (; ). This structure can promote more transparency and traceability of ML-based forecasting credit ratings for the supervisory authorities. In addition, the aspect of how to deal with the maintenance of such complex ML-based services is an important issue for future research. But it must be evaluated whether the increased effort for the ML-based services for forecasting credit ratings is profitable in comparison to established procedures.
However, we acknowledge that our research has some limitations and that the identified regulatory principles might not include the principles of all regulatory authorities. We are certain that we have identified the most relevant international authorities and their statements on artificial intelligence, ML, and Big Data. Additionally, this approach to forecasting corporate credit ratings with ML must be critically compared with classical statistical methods in further studies to determine whether the required effort and achieved benefits indicate more profitable and convincing advantages. Furthermore, it is relevant to investigate further measures based on these regulatory principles so that structured and policy-compliant concepts for the development, deployment, monitoring, and maintenance of ML-based services can be derived.
Author Contributions
Conceptualization, M.P. and M.S.; methodology, M.P.; formal analysis, M.P.; data curation, M.P. and M.S.; writing—original draft preparation, M.P.; writing—review and editing, M.P. and M.S.; visualization, M.P.; validation, M.P.; project administration, M.S. All authors have read and agreed to the published version of the manuscript.
Funding
We acknowledge support from the Open Access Publication Funds of Göttingen University.
Data Availability Statement
The annual financial statement data are not publicly available due to data protection reasons with an external partner.
Acknowledgments
We would like to thank the reviewers for their thoughtful comments and efforts towards improving our manuscript.
Conflicts of Interest
The authors declare no conflict of interest.
Appendix A. Financial Ratio Quartiles for the Exploratory Data Analysis and Variable Selection


Figure A1.
Quartiles for exploratory data analysis.
Appendix B. Sampling Results

Figure A2.
Distribution of rating classes in cleaned dataset before sampling.

Figure A3.
Sampling results with SMOTE.

Figure A4.
Sampling results with SMOTE-Tomek.

Figure A5.
Sampling results with SMOTE-ENN.
References
- Abad, Pilar, and M. Dolores Robles. 2014. Credit rating agencies and idiosyncratic risk: Is there a linkage? Evidence from the Spanish Market. International Review of Economics & Finance 33: 152–71. [Google Scholar] [CrossRef]
- Ala’raj, Maher, and Maysam F. Abbod. 2016. A new hybrid ensemble credit scoring model based on classifiers consensus system approach. Expert Systems with Applications 64: 36–55. [Google Scholar] [CrossRef]
- Altman, Edward I., and Anthony Saunders. 1997. Credit risk measurement: Developments over the last 20 years. Journal of Banking & Finance 21: 1721–42. [Google Scholar] [CrossRef]
- Andersson, Andreas, and Paolo Vanini. 2008. Credit Migration Risk Modelling. SSRN Electronic Journal 6: 3–30. [Google Scholar] [CrossRef]
- Andreeva, Galina, Raffaella Calabrese, and Silvia Angela Osmetti. 2016. A comparative analysis of the UK and Italian small businesses using Generalised Extreme Value models. European Journal of Operational Research 249: 506–16. [Google Scholar] [CrossRef]
- Andriosopoulos, Dimitris, Michalis Doumpos, Panos M. Pardalos, and Constantin Zopounidis. 2019. Computational approaches and data analytics in financial services: A literature review. Journal of the Operational Research Society 70: 1581–99. [Google Scholar] [CrossRef]
- Arrieta, Alejandro Barredo, Natalia Díaz-Rodríguez, Javier Del Ser, Adrien Bennetot, Siham Tabik, Alberto Barbado, Salvador García, Sergio Gil-López, Daniel Molina, Richard Benjamins, and et al. 2020. Explainable Artificial Intelligence (XAI): Concepts, Taxonomies, Opportunities and Challenges toward Responsible AI. Information Fusion 58: 82–115. [Google Scholar] [CrossRef]
- Arya, Vijay, Rachel K. E. Bellamy, Pin-Yu Chen, Amit Dhurandhar, Michael Hind, Samuel C. Hoffman, Stephanie Houde, Q. Vera Liao, Ronny Luss, Aleksandra Mojsilović, and et al. 2019. One Explanation Does Not Fit All: A Toolkit and Taxonomy of AI Explainability Techniques. arXiv arXiv:1909.03012. [Google Scholar] [CrossRef]
- BaFin. 2021. Big Data and Artificial Intelligence: Principles for the Use of Algorithms in Decision-Making Processes. BaFin. Available online: https://www.bafin.de/SharedDocs/Downloads/EN/Aufsichtsrecht/dl_Prinzipienpapier_BDAI_en.html (accessed on 15 June 2022).
- Bathaee, Yavar. 2018. The Artificial Intelligence Black Box and the Failure of Intent and Causation. Harvard Journal of Law & Technology 31. Available online: https://jolt.law.harvard.edu/assets/articlePDFs/v31/The-Artificial-Intelligence-Black-Box-and-the-Failure-of-Intent-and-Causation-Yavar-Bathaee.pdf (accessed on 1 April 2023).
- Batista, Gustavo E. A. P. A., Ronaldo C. Prati, and Maria Carolina Monard. 2004. A study of the behavior of several methods for balancing machine learning training data. ACM SIGKDD Explorations Newsletter 6: 20–29. [Google Scholar] [CrossRef]
- Bauer, Julian, and Vineet Agarwal. 2014. Are hazard models superior to traditional bankruptcy prediction approaches? A comprehensive test. Journal of Banking & Finance 40: 432–42. [Google Scholar] [CrossRef]
- Bauer, Kevin, Oliver Hinz, and Patrick Weber. 2021. KI in der Finanzbranche: Im Spannungsfeld zwischen technologischer Innovation und regulatorischer Anforderung. SAFE White Paper 80. Frankfurt am Main: Leibniz Institute for Financial Research SAFE. Available online: https://www.econstor.eu/handle/10419/230672 (accessed on 15 March 2023).
- Beckman, Judy, Christina Brandes, and Brigitte Eierle. 2007. German Reporting Practices: An Analysis of Reconciliations from German Commercial Code to IFRS or US GAAP. Advances in International Accounting 20: 253–94. [Google Scholar] [CrossRef]
- Benbya, Hind, Thomas H. Davenport, and Stella Pachidi. 2020. Artificial Intelligence in Organizations: Current State and Future Opportunities. MIS Quarterly Executive 19: 4. [Google Scholar] [CrossRef]
- Benlala, Mejd Aures. 2023. Perspectives on Fractional Reserve Banking and Money Creation/Production through the Lenses of Legal and Religious Moral Precepts and Ethics. Perspectives of Law and Public Administration 12: 5–30. Available online: https://ideas.repec.org/a/sja/journl/v12y2023i1p5-30.html (accessed on 15 April 2023).
- Bergstra, James, Rémi Bardenet, Yoshua Bengio, and Balázs Kégl. 2011. Algorithms for Hyper-Parameter Optimization. In Advances in Neural Information Processing Systems. Edited by J. Shawe-Taylor, R. Zemel, P. Bartlett, F. Pereira and K. Q. Weinberger. Red Hook: Curran Associates, Inc. [Google Scholar]
- BIS, ed. 2000. Principles for the Management of Credit Risk. Basel: Bank for International Settlements. [Google Scholar]
- BIS. 2005. International Convergence of Capital Measurement and Capital Standards. A Revised Framework, 2005th ed. Basel: BIZ. [Google Scholar]
- BIS. 2011. Basel III: A Global Regulatory Framework for More Resilient Banks and Banking Systems. Basel: Bank for International Settlements. [Google Scholar]
- Cao, Longbing. 2020. AI in Finance: A Review. SSRN Electronic Journal. [Google Scholar] [CrossRef]
- Chawla, N. V., K. W. Bowyer, L. O. Hall, and W. P. Kegelmeyer. 2002. SMOTE: Synthetic Minority Over-sampling Technique. Journal of Artificial Intelligence Research 16: 321–57. [Google Scholar] [CrossRef]
- Chen, Yuh-Jen, and Yuh-Min Chen. 2022. Forecasting corporate credit ratings using big data from social media. Expert Systems with Applications 207: 118042. [Google Scholar] [CrossRef]
- Ciampi, Francesco. 2015. Corporate governance characteristics and default prediction modeling for small enterprises. An empirical analysis of Italian firms. Journal of Business Research 68: 1012–25. [Google Scholar] [CrossRef]
- Daniel, Avram Costin, Avram Marioara, and Dragomir Isabela. 2017. Annual Financial Statements as a Financial Communication Support. Ovidius University Annals, Economic Sciences Series 17: 403. Available online: https://ideas.repec.org/a/ovi/oviste/vxviiy2017i1p403-406.html (accessed on 15 January 2023).
- de Andrés, Javier, Manuel Landajo, and Pedro Lorca. 2012. Bankruptcy prediction models based on multinorm analysis: An alternative to accounting ratios. Knowledge-Based Systems 30: 67–77. [Google Scholar] [CrossRef]
- Deutsche Bundesbank. 2020. Policy Discussion Paper: The Use of Artificial Intelligence and Machine Learning in the Financial Sector. Available online: https://www.bundesbank.de/resource/blob/598256/5e89d5d7b7cd236ad93ed7581800cea3/mL/2020-11-policy-dp-aiml-data.pdf (accessed on 11 September 2022).
- Deutsche Bundesbank, and BaFin. 2021. Consultation Paper: Machine Learning in Risk Models—Characteristics and Supervisory Priorities. Available online: https://www.bundesbank.de/resource/blob/793670/61532e24c3298d8b24d4d15a34f503a8/mL/2021-07-15-ml-konsultationspapier-data.pdf (accessed on 11 September 2022).
- Dimler, Nick, Joachim Peter, and Boris Karcher. 2018. Unternehmensfinanzierung im Mittelstand. Wiesbaden: Springer Fachmedien Wiesbaden. [Google Scholar]
- Dittrich, Fabian. 2007. The Credit Rating Industry: Competition and Regulation. SSRN Electronic Journal. [Google Scholar] [CrossRef]
- Doerr, Sebastian, Leonardo Gambacorta, and Jose Maria Serena. 2021. Big Data and Machine Learning in Central Banks. Available online: https://www.bis.org/publ/work930.pdf (accessed on 11 July 2022).
- EBA. 2020. EBA Report on Big Data and Advanced Analytics. Available online: https://www.eba.europa.eu/eba-report-identifies-key-challenges-roll-out-big-data-and-advanced-analytics (accessed on 13 November 2022).
- El Kalak, Izidin, and Robert Hudson. 2016. The effect of size on the failure probabilities of SMEs: An empirical study on the US market using discrete hazard model. International Review of Financial Analysis 43: 135–45. [Google Scholar] [CrossRef]
- European Commission. 2021. Regulation of the European Parliament and of the Council. Laying Down Harmonised Rules on Artificial Intelligence (Artificial Intelligence Act) and Amending Certain Union Legislative Acts. Available online: https://eur-lex.europa.eu/legal-content/EN/TXT/HTML/?uri=CELEX:52021PC0206 (accessed on 10 November 2022).
- Faraj, Samer, Stella Pachidi, and Karla Sayegh. 2018. Working and organizing in the age of the learning algorithm. Information and Organization 28: 62–70. [Google Scholar] [CrossRef]
- Fraisse, Henri, and Matthias Laporte. 2022. Return on investment on artificial intelligence: The case of bank capital requirement. Journal of Banking & Finance 138: 106401. [Google Scholar] [CrossRef]
- Fridson, Martin S., and Fernando Alvarez. 2022. Financial Statement Analysis. A Practitioner’s Guide. Hoboken: John Wiley & Sons. [Google Scholar]
- Friedrich, Lars, Andreas Hiese, Robin Dreßler, and Franziska Wolfenstetter. 2021. Künstliche Intelligenz in Banken—Status quo, Herausforderungen und Anwendungspotenziale. In Künstliche Intelligenz. Berlin and Heidelberg: Springer Gabler, pp. 49–63. [Google Scholar]
- Gavalas, Dimitris, and Theodore Syriopoulos. 2014. Bank Credit Risk Management and Rating Migration Analysis on the Business Cycle. International Journal of Financial Studies 2: 122–43. [Google Scholar] [CrossRef]
- Gordy, Michael B. 2003. A risk-factor model foundation for ratings-based bank capital rules. Journal of Financial Intermediation 12: 199–232. [Google Scholar] [CrossRef]
- Guerra, Pedro, Mauro Castelli, and Nadine Côrte-Real. 2022. Machine learning for liquidity risk modelling: A supervisory perspective. Economic Analysis and Policy 74: 175–87. [Google Scholar] [CrossRef]
- He, Haibo, and E. A. Garcia. 2009. Learning from Imbalanced Data. IEEE Transactions on Knowledge and Data Engineering 21: 1263–84. [Google Scholar] [CrossRef]
- Hirk, Rainer, Laura Vana, and Kurt Hornik. 2022. A corporate credit rating model with autoregressive errors. Journal of Empirical Finance 69: 224–40. [Google Scholar] [CrossRef]
- Huang, Jason. 2020. RMSProp—Cornell University Computational Optimization Open Textbook. Available online: https://optimization.cbe.cornell.edu/index.php?title=RMSProp (accessed on 9 July 2023).
- Huang, Guang-Bin, Hongming Zhou, Xiaojian Ding, and Rui Zhang. 2012. Extreme learning machine for regression and multiclass classification. IEEE Transactions on Systems, Man, and Cybernetics. Part B, Cybernetics: A Publication of the IEEE Systems, Man, and Cybernetics Society 42: 513–29. [Google Scholar] [CrossRef]
- Hurley, Mikella, and Julius Adebayo. 2016. Credit Scoring in the Era of Big Data. Yale Journal of Law and Technology 18: 148. Available online: https://heinonline.org/HOL/Page?handle=hein.journals/yjolt18&id=148&div=6&collection=journals (accessed on 15 January 2023).
- Hwang, Ruey-Ching, Huimin Chung, and C. K. Chu. 2010. Predicting issuer credit ratings using a semiparametric method. Journal of Empirical Finance 17: 120–37. [Google Scholar] [CrossRef]
- Islam, Md Saiful. 2020. Predictive Capability of Financial Ratios for Forecasting of Corporate Bankruptcy. SSRN Electronic Journal. [Google Scholar] [CrossRef]
- Júdice, Pedro, and Qiji Jim Zhu. 2021. Bank balance sheet risk allocation. Journal of Banking & Finance 133: 106257. [Google Scholar] [CrossRef]
- Kao, Yu-Chun, Yu Tsou, Pei-Yu Jhang, D. N. Chen, and Chia-Yu Lai. 2020. Credit Rating Prediction Using Corporate Innovation and Financial Ratios. Paper presented at the 24th Pacific Asia Conference on Information Systems, PACIS 2020, Dubai, United Arab Emirates, June 22–24, vol.24. [Google Scholar]
- Kim, Kyoung-jae, and Hyunchul Ahn. 2012. A corporate credit rating model using multi-class support vector machines with an ordinal pairwise partitioning approach. Computers & Operations Research 39: 1800–11. [Google Scholar] [CrossRef]
- Kim, Myoung-Jong, and Dae-Ki Kang. 2012. Classifiers selection in ensembles using genetic algorithms for bankruptcy prediction. Expert Systems with Applications 39: 9308–14. [Google Scholar] [CrossRef]
- Korol, Tomasz. 2019. Dynamic Bankruptcy Prediction Models for European Enterprises. Journal of Risk and Financial Management 12: 185. [Google Scholar] [CrossRef]
- Krüger, Steffen, Daniel Rösch, and Harald Scheule. 2018. The impact of loan loss provisioning on bank capital requirements. Journal of Financial Stability 36: 114–29. [Google Scholar] [CrossRef]
- Lessmann, Stefan, Bart Baesens, Hsin-Vonn Seow, and Lyn C. Thomas. 2015. Benchmarking state-of-the-art classification algorithms for credit scoring: An update of research. European Journal of Operational Research 247: 124–36. [Google Scholar] [CrossRef]
- Li, Weiping, and Feng Mei. 2020. Asset returns in deep learning methods: An empirical analysis on SSE 50 and CSI 300. Research in International Business and Finance 54: 101291. [Google Scholar] [CrossRef]
- Li, L., K. Jamieson, Giulia DeSalvo, A. Rostamizadeh, and A. Talwalkar. 2018. Hyperband: A novel bandit-based approach to hyperparameter optimization. Journal of Machine Learning Research 18: 1–52. [Google Scholar]
- Liang, Deron, Chih-Fong Tsai, and Hsin-Ting Wu. 2015. The effect of feature selection on financial distress prediction. Knowledge-Based Systems 73: 289–97. [Google Scholar] [CrossRef]
- Lokanan, Mark Eshwar, and Kush Sharma. 2022. Fraud prediction using machine learning: The case of investment advisors in Canada. Machine Learning with Applications 8: 100269. [Google Scholar] [CrossRef]
- Marqués, A. I., V. García, and J. S. Sánchez. 2013. A literature review on the application of evolutionary computing to credit scoring. Journal of the Operational Research Society 64: 1384–99. [Google Scholar] [CrossRef]
- Matthies, Alexander B. 2013. Empirical Research on Corporate Credit-Ratings: A Literature Review. SFB 649 Discussion Paper 2013-003. Berlin: Humboldt University of Berlin, Collaborative Research Center 649—Economic Risk. Available online: https://www.econstor.eu/handle/10419/79580 (accessed on 15 January 2023).
- Montavon, Grégoire, Geneviève B. Orr, and Klaus-Robert Müller, eds. 2012. Neural Networks: Tricks of the Trade. Berlin and Heidelberg: Springer. [Google Scholar]
- Moody’s Investors Services. 2022. Rating Symbols and Definitions. Available online: https://www.moodys.com/researchdocumentcontentpage.aspx?docid=PBC_79004 (accessed on 13 June 2022).
- Obermann, Lennart, and Stephan Waack. 2016. Interpretable Multiclass Models for Corporate Credit Rating Capable of Expressing Doubt. Frontiers in Applied Mathematics and Statistics 2: 16. [Google Scholar] [CrossRef]
- OECD. 2021. Artificial Intelligence, Machine Learning and Big Data in Finance: Opportunities, Challenges, and Implications for Policy Makers. Available online: https://www.oecd.org/finance/financial-markets/Artificial-intelligence-machine-learning-big-data-in-finance.pdf (accessed on 13 November 2022).
- Olson, David L., Dursun Delen, and Yanyan Meng. 2012. Comparative analysis of data mining methods for bankruptcy prediction. Decision Support Systems 52: 464–73. [Google Scholar] [CrossRef]
- Onay, Ceylan, and Elif Öztürk. 2018. A review of credit scoring research in the age of Big Data. Journal of Financial Regulation and Compliance 26: 382–405. [Google Scholar] [CrossRef]
- Pai, Ping-Feng, Yi-Shien Tan, and Ming-Fu Hsu. 2015. Credit Rating Analysis by the Decision-Tree Support Vector Machine with Ensemble Strategies. International Journal of Fuzzy Systems 17: 521–30. [Google Scholar] [CrossRef]
- Pamuk, Mustafa, René Oliver Grendel, and Matthias Schumann. 2021. Towards ML-based Platforms in Finance Industry—An ML Approach to Generate Corporate Bankruptcy Probabilities based on Annual Financial Statements. Paper presented at ACIS 2021 Proceedings, Sydney, Australia, December 6–10, vol. 8. Available online: https://easychair.org/cfp/ACIS2021 (accessed on 13 November 2022).
- Peráček, Tomáš, and Michal Kaššaj. 2023. A Critical Analysis of the Rights and Obligations of the Manager of a Limited Liability Company: Managerial Legislative Basis. Laws 12: 56. [Google Scholar] [CrossRef]
- Prechelt, Lutz. 2012. Early Stopping—But When? In Neural Networks: Tricks of the Trade. Edited by Grégoire Montavon, Geneviève B. Orr and Klaus-Robert Müller. Berlin and Heidelberg: Springer, pp. 53–67. [Google Scholar]
- Prenio, Jermy, and Jeffery Yong. 2021. Humans Keeping AI in Check—Emerging Regulatory Expectations in the Financial Sector. Basel: Bank for International Settlements, Financial Stability Institute. [Google Scholar]
- Raschka, Sebastian. 2014. About Feature Scaling and Normalization. Available online: https://sebastianraschka.com/Articles/2014_about_feature_scaling.html (accessed on 3 June 2021).
- Rodrigues, Ana Rita D., Fernando A. F. Ferreira, Fernando J. C. S. N. Teixeira, and Constantin Zopounidis. 2022. Artificial intelligence, digital transformation and cybersecurity in the banking sector: A multi-stakeholder cognition-driven framework. Research in International Business and Finance 60: 101616. [Google Scholar] [CrossRef]
- Saunders, Anthony, and Linda Allen. 2010. Credit risk management in and out of the financial crisis. In New Approaches to Value at Risk and Other Paradigms, 3rd ed. Hoboken: Wiley. [Google Scholar]
- Shearer, Colin. 2000. The CRISP-DM Model: The New Blueprint for Data Mining. Journal of Data Warehousing 5: 13–22. [Google Scholar]
- Tache, Cristina Elena Popa. 2022. Public International Law And Fintech Challenges. Perspectives of Law and Public Administration 11: 218–25. Available online: https://ideas.repec.org/a/sja/journl/v11y2022i2p218-225.html (accessed on 15 January 2023).
- Tomak, Kerem. 2022. Machine-Learning-Anwendungen im Banking: Wie aus Daten Produkte werden. Available online: http://www.ki-note.de/einzelansicht/machine-learning-anwendungen-im-banking-wie-aus-daten-produkte-werden-1 (accessed on 9 November 2022).
- van Gestel, Tony, and Bart Baesens. 2009. Credit Risk Management. Basic Concepts: Financial Risk Components, Rating Analysis, Models, Economic and Regulatory Capital. Edited by Tony van Gestel and Bart Baesens. Oxford: Oxford University Press. [Google Scholar]
- Wall, Larry D. 2018. Some financial regulatory implications of artificial intelligence. Journal of Economics and Business 100: 55–63. [Google Scholar] [CrossRef]
- Wang, Jialan, Jeyul Yang, Benjamin Charles Iverson, and Raymond Kluender. 2020. Bankruptcy and the COVID-19 Crisis. SSRN Electronic Journal. [Google Scholar] [CrossRef]
- White, Lawrence J. 2013. Credit Rating Agencies: An Overview. Annual Review of Financial Economics 5: 93–122. [Google Scholar] [CrossRef]
- Xia, Han. 2014. Can investor-paid credit rating agencies improve the information quality of issuer-paid rating agencies? Journal of Financial Economics 111: 450–68. [Google Scholar] [CrossRef]
Disclaimer/Publisher’s Note: The statements, opinions and data contained in all publications are solely those of the individual author(s) and contributor(s) and not of MDPI and/or the editor(s). MDPI and/or the editor(s) disclaim responsibility for any injury to people or property resulting from any ideas, methods, instructions or products referred to in the content. |
© 2023 by the authors. Licensee MDPI, Basel, Switzerland. This article is an open access article distributed under the terms and conditions of the Creative Commons Attribution (CC BY) license (https://creativecommons.org/licenses/by/4.0/).