“Language Is the Place from Where the World Is Seen”—On the Gender of Trees, Fruit Trees and Edible Fruits in Portuguese and in Other Latin-Derived Languages
Abstract
:1. Introduction
2. Importance and Significance of Trees
3. Gender in Portuguese Nouns
4. Gender of Tree in Portuguese
4.1. Book of Lineages
4.2. Death of King Arthur
4.3. Chronicle of King João I
4.4. Vita Christi
4.5. Chronicle of the Kings of Bisnaga
4.6. Eclogue Crisfal
4.7. Palmeirim of England
4.8. The Consolation for the Tribulations of Israel
4.9. Child and Maid
4.10. Latin-Portuguese Dictionaries of Jerónimo Cardoso
4.11. Colloquies on the Simples and Drugs
4.12. More Palmeirim of England
4.13. Origins of Portuguese Language
4.14. Voyage of King Filipe III of Spain to Portugal
4.15. Adolfo Coelho’s Etymological Dictionary
5. Tree in the Feminine and in the Masculine in Portuguese: Errors and Misfortunes?
6. Gender of Fruit Trees and of Their Fruits
6.1. Distribution of Gender in Fruit Trees and in Their Fruits in Latin-Derived Languages
6.2. Derivation with -arius and Gender Inversion in Latin-Derived Languages
7. Final Remarks
Supplementary Materials
Acknowledgments
Author Contributions
Conflicts of Interest
References
- Ferreira, V. 1998. Espaço do Invisível V. Ensaios. Lisboa, Portugal: Bertrand Editora, Lda. [Google Scholar]
- Saussure, F. 1985. Cours de Linguistique Générale. Paris, France: Payot. [Google Scholar]
- Whitney, W.D. 1867. Language and the Study of Language. Twelve Lectures on the Principles of Linguistic Science. London, UK: N. Trübner & Co., Available online: https://archive.org/details/languageandstud04whitgoog (accessed on 20 October 2016).
- Whitney, W.D. 1875. The Life and Growth of Language. London, UK: Henry S. King & Co., Available online: https://archive.org/details/lifeandgrowthla03whitgoog (accessed on 20 October 2016).
- Arnauld, A., and P. Nicole. 1622. La Logiqve ov l’Art de Penser: Contenant, Outre les Regles Communes, Plusieurs Observations Nouvelles Propres à Former le Jugement. Paris, France: Charles Savreux, Available online: http://catalogue.bnf.fr/ark:/12148/cb300296625.public (accessed on 22 October 2016).
- Arnauld, A., and P. Nicole. La Logique ou l’Art de Bien Penser. Manuscript. Available online: http://gallica.bnf.fr/ark:/12148/btv1b90633443 (accessed on 22 October 2016).
- Radding, L., and J. Western. 2010. What’s in a name? Linguistics, geography, and toponyms. Geogr. Rev. 100: 394–412. [Google Scholar] [CrossRef]
- Köhler, W. 1964. Psychologie de la Forme. Paris, France: Editions Gallimard. [Google Scholar]
- Lindauer, M.S. 1990. The meanings of the physiognomic stimuli taketa and maluma. Bull. Psychon. Soc. 28: 47–50. [Google Scholar] [CrossRef]
- Ramachandran, V.S., and E.M. Hubbard. 2001. Synaesthesia—A window into perception, though and language. J. Conscious. Stud. 8: 3–34. [Google Scholar]
- Berlin, B. 1994. Evidence for pervasive synesthetic sound symbolism in ethnozoological nomenclature. In Sound Symbolism. Edited by L. Hinton, J. Nichols and J.J. Ohala. Cambridge, UK: Cambridge University Press, pp. 76–93. [Google Scholar]
- Foucault, M. 1966. Les Mots et les Choses. Une Archéologie des Sciences Humaines. Paris, France: Éditions Gallimard. [Google Scholar]
- Dias, A.S., L.S. Dias, and T. Santos. 2010. Transfigurações da «Árvore». Considerações sobre o género e suas alterações na língua portuguesa. Rev. Fitoter. 10: 89. [Google Scholar]
- Dias, L.S., and A.S. Dias. 2011. Porque «Uma Língua é o Lugar Donde se vê o Mundo»—Considerações Sobre a Forma de ver a Árvore. Revista TriploV de Artes, Religiões e Ciências. Número Especial. Available online: http://novaserie.revista.triplov.com/ana_luisa_janeira/dias/index.html (accessed on 16 March 2011).
- 1978. Constitución española. Bol. Of. Estado 311: 29315–29339. Available online: http://www.boe.es/boe/dias/1978/12/29/pdfs/A29313-29424.pdf (accessed on 9 August 2017).
- Vasconcellos, J.L. 1955. Filologia Barranquenha: Apontamentos para o seu Estudo. Lisboa, Portugal: Imprensa Nacional de Lisboa. [Google Scholar]
- Clements, J.C. 2009. The Linguistic Legacy of Spanish and Portuguese. Cambridge, UK: Cambridge University Press. [Google Scholar]
- Vasconcellos, J.L. 1900–1901. Estudos de Philologia Mirandesa. Lisboa, Portugal: Imprensa Nacional, Two Volumes. Available online: http://www.archive.org/details/estudosdephilolo01vascuoftand http://www.archive.org/details/ estudosdephilolo02vascuoft (accessed on 27 October 2015).
- 1999. Lei n.º 7/99 de 29 de Janeiro. Reconhecimento official de direitos linguísticos da comunidade mirandesa. D. Rep. I Sér. - A 24: 574.
- Quarteu, R., and X.F. Conde. 2001. L Mirandés: Ua lhéngua minoritaira an Pertual. IANUA Rev. Philol. Romanica 2: 89–105. [Google Scholar]
- Ceolin, R. 2002. Um enclave leonês na paisagem unitária da língua Portuguesa. IANUA Rev. Philol. Romanica 3: 62–83. [Google Scholar]
- Sacred Species and Sites: Advances in Biocultural Conservation. 2012. Pungetti, G., G. Oviedo, and D. Hooke, eds. Cambridge, UK: Cambridge University Press. [Google Scholar]
- Zipes, J. 1987. The enchanted forest of the Brothers Grimm: New modes of approaching the Grimm’s fairy tales. Ger. Rev. Lit. Cult. Theory 62: 66–74. [Google Scholar] [CrossRef]
- The Holy Scriptures. Tora. 1989. Fisch, H., ed. Jerusalem, Israel: Koren Publishers Jerusalem Ltd. [Google Scholar]
- Cotterell, A. 1979. A Dictionary of World Mythology. Oxford, UK: Oxford University Press. [Google Scholar]
- The Vishnu Purana. 1840. Wilson, H.H., ed. London, UK: John Murray, Available online: http://www.sacred-texts.com/hin/vp/ (accessed on 9 October 2015).
- Lima, M. 2014. The Book of Trees. Visualizing Branches of Knowledge. New York, NY, USA: Princeton Architectural Press. [Google Scholar]
- Breiman, L., J.H. Friedman, R.S. Olshen, and C.J. Stone. 1984. Classification and Regression Trees. Boca Raton, FL, USA: Chapman & Hall/CRC. [Google Scholar]
- Pastrana, J. 1492. Compendium Grammatice Brevissimum ac Utilisimum Thesaurus Pauperum & Speculum Pueroruz a Devotissimo Magistrado Iohanne de Pastranna Editu Incipit in Nomine Domini. Salamanca, Spain: Imprenta de Nebrissensis, Located at Biblioteca Pública de Évora, INC. 213. [Google Scholar]
- Pastrana, J. Compendium Gramatice Breve et Utile Sive Tractatus Intitulatus Thesaurus Pauperum Sive Expeculum Puerorum/Editum a Devote Johanne de Pastrana. Available online: http://bdh-rd.bne.es/viewer.vm?id= 0000044812&page=1 (accessed on 6 October 2015).
- Pastrana, J. 1497. Grammatica Pastranae Thesaurus Pauperum Sive Speculum Puerorum. Lisboa, Portugal: Valentim Fernandes, Located at Biblioteca Nacional de Portugal, INC. 1425. Available online: http://purl.pt/22005 (accessed on 7 October 2015).
- Barros, J. 1539. Grammatica da Língua Portuguesa com os Mandamentos da Santa Mádre Igreja. Lizboa, Portugal: Luis Rodriguez, Located at Fundação Biblioteca Nacional—Brasil. Available online: http://objdigital.bn.br/acervo_digital/div_obrasraras/or814512.pdf (accessed on 7 October 2015).
- Buescu, M.L.C. 1984. Historiografia da Língua Portuguesa. Século XVI. Lisboa, Portugal: Livraria Sá da Costa Editora. [Google Scholar]
- Lisboa, C. 1967. História dos Animais e Árvores do Maranhão. Lisboa, Portugal: Arquivo Histórico Ultramarino and Centro de Estudos Históricos Ultramarinos. [Google Scholar]
- Amorim, M.A. 2003. Frei Cristóvão de Lisboa, primeiro missionário naturalista da Amazónia. In O Olhar do Viajante. Dos Navegadores aos Exploradores. Edited by F. Cristóvão. Coimbra, Portugal: Almedina and Centro de Literaturas de Expressão Portuguesa da Universidade de Lisboa, pp. 89–105. [Google Scholar]
- Houaiss, A., M.S. Villar, and F.M.M. Franco. 2002–2003. Dicionário Houaiss da Língua Portuguesa. Lisboa, Portugal: Círculo de Leitores, Volume 1–6. [Google Scholar]
- Dicionário da Língua Portuguesa Contemporânea da Academia das Ciências. 2001. Casteleiro, J.M., Coord. Lisboa, Portugal: Editorial Verbo, Volume 1.
- Pérez, X.A.A. 2008–. Dictionnaire Étymologique Roman (DÉRom); Edited by É. Buchi, W. Schweickard and Dirs. Nancy, France: ATILF. Available online: http://www.atilf.fr/DERom (accessed on 28 February 2017).
- Campos, M.C.N., X.M.G. Clemente, and P.B. Jareño. 1997. Diccionario de Sinónimos da Lingua Galega. Vigo, Spain: Editorial Galaxia, S.A. [Google Scholar]
- Dobrinesco, G. 1978. Gramática da Língua Romena. Rio de Janeiro, Brazil: São Paulo, Brazil: Presença and Editora da Universidade de São Paulo. [Google Scholar]
- Vicente, X.X.S. 1996. Diccionariu Asturianu-Castellanu, Castellanu-Asturianu. Uviéu, Spain: Trebe, Lda. [Google Scholar]
- Rodrigues, L. 2010. Banco Comercial Português, Évora, Portugal. Personal communication. [Google Scholar]
- Almoyna, J.M. 2006. Dicionário de Português-Espanhol. Porto, Portugal: Porto Editora, Lda. [Google Scholar]
- Sanromán, Á.I. 2008. Dicionário de Espanhol-Português. Porto, Portugal: Porto Editora, Lda. [Google Scholar]
- Devi, M.S.V. 1985. Diccionari Portuguès-Català. Barcelona, Spain: Enciclopèdia Catalana, S.A. [Google Scholar]
- Anonymous. 1999. Dicionário de Português-Francês. Porto, Portugal: Porto Editora, Lda. [Google Scholar]
- Cid, X.G.F., X.M.E. Rodríguez, R.R. Goméz, and C.P. Fernández. 1986. Diccionario da Lingua Galega. Vigo, Spain: Ir Indo Edicións, S.A. [Google Scholar]
- Ricoi, H.N., and C. Silvar. 2001. Guía das Árbores de Galícia, 2nd ed. A Coruña, Spain: Baía Edicións. [Google Scholar]
- Giuseppe, M. 1999. Dicionário de Português-Italiano. Porto, Portugal: Porto Editora, Lda. [Google Scholar]
- Ferreira, A.G. 1989. Dicionário de Português-Latim. Porto, Portugal: Porto Editora, Lda. [Google Scholar]
- Ferreira, A.G. 1997. Dicionário de Latim-Português. Porto, Portugal: Porto Editora, Lda. [Google Scholar]
- Palabreru Llïones Recopilado por Amadeu Nuñez. Associación Cultural Esllabón Lleonesista. Available online: http://users.servicios.retecal.es/amnue/dicllion/dicciona/aqueda.htm (accessed on 28 April 2010). new location in 11 August 2017 at http://webs.ono.com/esllabon/dicllion/indice.htm.
- Ferreira, A. 2010. Associaçon de Lhéngua Mirandesa, Lisboa, Portugal. Personal communication. [Google Scholar]
- Vrajitoru, A. 2011. Universidade de Lisboa, Lisboa, Portugal. Personal communication. [Google Scholar]
- Pascual, V. 2005. Diccionari Tabarca: Valencià-Castellà, Castellà-Valencià. Valencia, Spain: Tabarca Llibres. [Google Scholar]
- Machado, J.P. 1990. Dicionário Etimológico da Língua Portuguesa com a Mais Antiga Documentação Escrita e Conhecida de Muitos dos Vocábulos Estudados, Primeiro Volume A-B, 9th ed. Lisboa, Portugal: Livros Horizonte, Lda. [Google Scholar]
- Anonymous. 1973. Tratado de Confissom (Chaves, 8 de Agosto de 1489). Fac-símile do exemplar vnico pertencente ao Dr. Migvel Gentil Qvina. Leitura diplomática e estvdo bibliográfico por José V. de Pina Martins. Lisboa, Portugal: Portvgaliae Monvmenta Typographica, Imprensa Nacional–Casa da Moeda. [Google Scholar]
- Asensio, E. 1977. Une découverte bibliographique: Tratado de Confissom (Chaves, 8.VIII.1489). Arq. Cent. Cult. Port. XI: 35–40. [Google Scholar]
- Amzalak, M.B. 1922. A Tipografia Hebraica em Portugal no Século XV. Coimbra, Portugal: Imprensa da Universidade, Available online: http://sammlungen.ub.uni-frankfurt.de/freimann/urn/urn:nbn:de:hebis:30:1-126069 (accessed on 17 April 2017).
- Anonymous. 2003. Tratado de Confissom (Chaves, 1489). Edição semidiplomática, estudo histórico e informático-linguístico de José Barbosa Machado. Braga, Portugal: Edições APPACDM de Braga. [Google Scholar]
- Vercial, C.S. 2005. Sacramental. Edição semidiplomática, introdução, lematização e notas de José Barbosa Machado. Leça da Palmeira, Portugal: Publicações Pena Perfeita. [Google Scholar]
- Vercial, C.S. 1488. Sacramental. Publisher unknown. Chaves, Portugal: Available online: http://objdigital.bn.br/objdigital2/acervo_digital/div_obrasraras/or813980/or813980.pdf (accessed on 18 April 2017).
- Verdelho, T. 2002. Dicionários portugueses, breve história. In História do Saber Lexical e Constituição de um Léxico Brasileiro. Edited by J.H. Nunes and M. Petter. São Paulo, Brazil: Humanitas FFLCH/USP and Pontes Editores, pp. 15–64. [Google Scholar]
- Verdelho, T. Dicionários portugueses, breve história. Available online: http://clp.dlc.ua.pt/Publicacoes/Dicionarios_breve_historia.pdf (accessed on 30 November 2015).
- Anonymous. 1797. A short historical view of Portuguese literature. Edinb. Mag. Lit. Misc. 9: 114–121. [Google Scholar]
- Bluteau, R. 1712. Vocabulario Portuguez, e Latino, Aulico, Anatomico, Architectonico, Bellico, Botanico, Brasilico, Comico, Critico, Chimico, Dogmatico, Dialectico, Dendrologico, Ecclesiastico, Etymologico, Economico, Florifero, Forense, Fructifero, Geographico, Geometrico, Gnomonico, Hydrographico, Homonymico, Hierologico, Ichtyologico, Indico, Isagogico, Laconico, Liturgico, Lithologico, Medico, Musico, Meteorologico, Nautico, Numerico, Neoterico, Ortographico, Optico, Ornithologico, Poeticco, Philologico, Pharmaceutico, Quidditativo, Qualitativo, Quantitativo, Rhetorico, Rustico, Romano; Symbolico, Synonimico, Syllabico, Theologico, Terapteutico, Technologico, Uranologico, Xenophonico, Zoologico, Autorizado com Exemplos dos Melhores Escritores Portugueses, e Latinos e Offerecido a ElRey de Portugal, D. Joaõ V. Coimbra, Portugal: Collegio das Artes da Companhia de Jesu, Volume 1, Available online: http://purl.pt/13969 (accessed on 5 November 2015).
- Vasconcellos, J.L. 1907. Textos Archaicos, 2nd ed. Augmented. Lisboa, Portugal: Livraria Clássica Editora de A. M. Teixeira & C.ta, Available online: https://archive.org/details/textosarchaicos00leitgoog (accessed on 6 October 2016).
- Ramalho, A.G. 1905. Legislação Agricola ou Colecção de Leis, Decretos, Cartas e Outros Documentos Oficiais de Interesse Agrícola Promulgados Desde a Fundação da Monarchia Até 1820. Volume I, 1139 a 1385. Lisboa, Portugal: Imprensa Nacional. [Google Scholar]
- Vasconcellos, J.L. 1906. O Livro de Esopo. Fabulario Português Medieval. Lisboa, Portugal: Imprensa Nacional, Available online: https://archive.org/details/olivrodeesopofa00vascgoog (accessed on 6 October 2016).
- Saraiva, A.J., and O. Lopes. 1996. História da Literatura Portuguesa, 17th ed. Porto, Portugal: Porto Editora. [Google Scholar]
- Bell, A.F.G. 1921. Fernam Lopez. London, UK: Oxford University Press, Humphrey Milford, Available online: https://archive.org/details/fernamlopez00belluoft (accessed on 1 March 2016).
- Collecção de Livros Ineditos de Historia Portugueza, dos Reinados de D. Dinis, D. Afonso IV. D. Pedro I. E D. Fernando. 1816. Lisboa, Portugal: Officina da Academia Real das Sciencias de Lisboa, Available online: https://archive.org/details/collecadeliv04corruoft (accessed on 13 March 2016).
- Lopes, F. Crónicas de D. Pedro I, D. Fernando e D. João I. Manuscript written by the same hand, 1525–1575. Available online: http://purl.pt/24170 (accessed on 16 March 2016).
- Lopes, F., and G.E. de Zurara. Crónicas de D. Pedro I e D. Fernando. Crónica de D. João I: Terceira Parte. Manuscript written by the same hand, 1575–1600. Available online: http://purl.pt/24128 (accessed on 12 March 2016).
- Duarte, D. Leal Cõsselheyro, Livro da Enssynança de Bem Cavalgar Toda Sela. Available online: http://gallica.bnf.fr/ark:/12148/btv1b60004002/f1.image.r=Duarte%20Leal (accessed on 8 October 2016).
- Roquete, J.I. 1842. Leal Conselheiro, o Qual Fez Dom Duarte, Pela Graça de Deos Rei de Portugal e do Algarve, e Senhor de Ceuta. Pariz, France: J. P. Aillaud, Available online: https://archive.org/details/lealconselheiroo00duar (accessed on 8 October 2016).
- D’Azvrara, G.E. 1644. Chronica Delrey D. Ioam I de Boa Memoria e dos Reys de Portvgal o Decimo. Terceira Parte. Em qve se Contem a Tomada de Ceita. Lisboa, Portugal: Antonio Aluarez, Available online: http://purl.pt/218 (accessed on 9 March 2016).
- Disney, A.R. 2009. A History of Portugal and the Portuguese Empire. Cambridge, UK: Cambridge University Press, Volume 2. [Google Scholar]
- Caminha, P.V. 1968. A Carta de Pêro Vaz de Caminha. Lisboa, Portugal: Comissão Executiva das Comemorações do V Centenário do Nascimento de Pedro Álvares Cabral. [Google Scholar]
- Vicente, G. 1562. Copilacam de Todalas Obras de Gil Vicente, a Qual se Reparte em Cinco Liuros. O Primeyro he de Todas suas Cousas de Deuaçam. O Segundo as Comedias. O Terceyro as Tragicomedias. No Quarto as Farsas. No Quinto as Obras Meudas. Lixboa, Portugal: Iouam Alvarez, Available online: http://purl.pt/11494 (accessed on 27 October 2015).
- Vicente, G. 1586. Copilacam de Todalas Obras de Gil Vicente, a Qual se Reparte em Cinco Liuros. O Primeyro he de Todas suas Cousas de Deuaçam. O Segundo as Comedias. O Terceyro as Tragicomedias. No Quarto as Farsas. No Quinto as Obras Meudas. Lixboa, Portugal: Andres Lobato, Available online: http://purl.pt/15106 (accessed on 27 October 2015).
- Branco, M.J.C., and F. Bilou. 2015. Forais Manuelinos. Juromenha—Alandroal—Terena (1512–1516). Lisboa, Portugal: Edições Colibri. [Google Scholar]
- Resende, G. 1516. Cancioneiro Geral: Cum Preuilegio. Almeyrym, Lisboa, Portugal: Hermã de Cãpos, Available online: http://purl.pt/12096 (accessed on 27 October 2015).
- Dias, A.F. 1990–1993. Cancioneiro Geral de Garcia de Resende. Volumes 1–4. Lisboa, Portugal: Imprensa Nacional Casa da Moeda. [Google Scholar]
- Góis, D. 2002. O Livro de Eclesiastes. Lisboa, Portugal: Fundação Calouste Gulbenkian. [Google Scholar]
- Earle, T.F. 2001. Ecclesiastes de Salamam: An unknown biblical translation by Damião de Góis. Port. Stud. 17: 42–63. [Google Scholar] [CrossRef]
- Sancta Fee, H. 1565. Tratado Que Fez Mestre Hieronimo, Medico do Papa Benedicto. 13. Cõtra os Judeus: Ẽ Que Proua o Messias da Ley Ser Vindo. Carta do Primeiro Arcebispo de Goà a o Pouo de Israel Seguidor Ainda da Ley de Moises, & do Talmud, Por Engano & Malicia dos Seus Rabis. Goa, India: Ioão de Endem, Available online: http://purl.pt/15121 (accessed on 10 February 2016).
- Disney, A.R. 2009. A History of Portugal and the Portuguese Empire. Cambridge, UK: Cambridge University Press, Volume 1. [Google Scholar]
- Rozeira, A.M. 2001. Os Lusíadas de Luís de Camões. Vida e Obra de Camões e Vocabulário dOs Lusíadas. Lisboa, Portugal: Guimarães Editores. [Google Scholar]
- Camoẽs, L. 1572. Os Lusiadas. Facsimile of the princeps edition of 1572, by Academia Brasileira de Letras, Rio de Janeiro, Brazil, 1972. Lisboa, Portugal: Antonio Gõçalues Impressor. [Google Scholar]
- Os Lusiadas (The Lusiads). 1880. Englished by Burton, R.F. Burton, I., ed. London, UK: Bernard Quaritch, Available online: http://www.burtoniana.org/books/1880-Os%20lusiadas/index.htm (accessed on 28 October 2015).
- Barbosam, A. 1611. Dictionarium Lusitanico Latinum: Iuxta Seriem Alphabeticam Optimis, Probatisq. Doctissimorum Auctorum Testimonijs Perutili Quadam Expositione Locupletatum, cum Copiosissimo Latini Sermonis Indice, Necnon Libello Vno Aliquarum Regionum, Ciuitatum, Oppidorum, Fluuiorum, Montium, & Locorum, Quibus Veteres uti Solebant. Omnia in Studiosæ Iuuentutis Gratiam, & Vsum Collecta. Bracharæ, Portugal: Fructuosi Laurentij de Basto, Available online: http://purl.pt/14016 (accessed on 4 November 2015).
- Pinto, F.M. 1614. Peregrinaçam de Fernam Mendez Pinto. Em que da Conta de Muytas e Muyto Estranhas Cousas que Vio & Ouuio no Reyno da China, no da Tartaria, no do Sornau, que Vulgarmente se Chama Sião, no do Calaminhan, no de Pegù, no de Martauão, & em Outros Muytos Reynos & Senhorios das Partes Orientais, de que Nestas Nossas do Occidente ha Muyto Pouca ou Nenhũa Noticia. Lisboa, Portugal: Pedro Crasbeeck, Available online: http://purl.pt/82 (accessed on 15 December 2015).
- Pinto, F.M. 1653. The Voyages and Adventures of Fernand Mendez Pinto, A Portugal: During His Travels for the Space of One and Twenty Years in The Kingdoms of Ethiopia, China, Tartaria, Cauchinchina, Calaminham, Siam, Pegu, Japan, and a Great Part of the East-Indiaes. London, UK: J. Macock, for Henry Cripps and Lodowick Lloyd, Available online: https://archive.org/details/voyagesandadven00pintgoog (accessed on 16 December 2105).
- Hart, T.R. 1997. True or False: Problems of the “Peregrination”. Port. Stud. 13: 35–42. [Google Scholar] [CrossRef]
- Barreira, I. 1622. Tractado das Significaçoens das Plantas, Flores, e Fructos que se Referem na Sagrada Escriptura, Tiradas de Divinas, & Humanas Letras, cõ Suas Breves Consideraçoes. Lisboa, Portugal: Pedro Craesbeeck, Available online: http://purl.pt/14228 (accessed on 7 November 2015).
- Barreyra, I. 1698. Tratado das Significaçoens das Plantas, Flores, e Frutos que se Referem na Sagrada Escrittura, Tiradas de Divinas, e Humanas Letras, com Suas Breves Considerações. Lisboa, Portugal: Manoel Lopes Ferreyra, Available online: http://purl.pt/13995 (accessed on 7 October 2015).
- Barretto, I.F. 1671. Ortografia da Lingva Portvgveza. Lisboa, Portugal: Ioam da Costa, Available online: http://purl.pt/18 (accessed on 29 August 2013).
- Bacellar, B.L.M. 1783. Diccionario da Lingua Portugueza, em que se Açharão Dobradas Palavras do que Traz Bluteau, e Todos os Mais Diccionaristas Juntos: A Sua Propria Significação: As Raízes de Todas Elas: A Accentuação; e a Selecçaõ das Mais Usadas, e Polídas: A Gramatica Philosophica, e a Ortographía Racional no Principio, e as Explicaçoens das Abbreviaturas no Fim Desta Obra. Lisboa, Portugal: Jozé de Aquino Bulhoens, Available online: https://archive.org/details/diccionariodeli00bacegoog (accessed on 17 November 2015).
- Bacelar, B.L.M. 1996. Gramática Filosófica da Língua Portuguesa. Lisboa, Portugal: Academia Portuguesa da História. [Google Scholar]
- Verdelho, T. 2002. O dicionário de Morais Silva e o início da lexicografia moderna. In Proceedings of the História da Língua e História da Gramática, Braga and Guimarães, Portugal, 16–18 November 2000; Edited by B.F. Head. Braga, Portugal: Universidade do Minho, Centro de Estudos Humanísticos, pp. 473–490. [Google Scholar]
- Silva, A.M. 1789. Diccionario da Lingua Portugueza Composto Pelo Padre D. Rafael Bluteau, Reformado, e Accrescentado por Antonio de Moraes Silva Natural do Rio de Janeiro (Tomo Primeiro. A–K). Lisboa, Portugal: Officina de Simão Thaddeo Ferreira, Available online: http://www.brasiliana.usp.br/bbd/handle/1918/00299210 (accessed on 11 November 2015).
- Academia Real das Sciencias de Lisboa. 1793. Diccionario da Lingoa Portugueza. Tomo Primeiro A. Lisboa, Portugal: Academia Real das Sciencias de Lisboa, Available online: http://bibdig.biblioteca.unesp.br/handle/10/26033 (accessed on 20 December 2015).
- Benevides, A.A.F. 1841. Diccionario de Glossologia Botanica ou Descripção dos Termos Technicos de Organographia, Taxonomia, Physiologia, e Pathologia Vegetal. Lisboa, Portugal: Academia Real das Sciencias. [Google Scholar]
- Pagel, M., Q.D. Atkinson, and A. Meade. 2007. Frequency of word-use predicts rates of lexical evolution throughout Indo-European history. Nature 449: 717–720. [Google Scholar] [CrossRef] [PubMed]
- Costa, A.J. 1979. Os mais antigos documentos escritos em Português. Revisão de um problema histórico-linguístico. Rev. Port. Histór. 17: 263–340. [Google Scholar]
- Costa, A.J. 1992. Estudos de Cronologia. Diplomática, Paleografia e Histórico-Linguísticos. Porto, Portugal: Sociedade Portuguesa de Estudos Medievais. [Google Scholar]
- Cabo, J.A.S. 2004. A transição scriptográfica na produção documental portuguesa de 1257 a 1269. In Linguística Histórica e História da Língua Portuguesa, Proceedings of the Encontro de Homenagem a Maria Helena Paiva, Porto, Portugal, 5–6 November 2003. Edited by A.M. Brito, O. Figueiredo and C. Barros. Porto, Portugal: Secção de Linguística do Departamento de Estudos Portugueses e de Estudos Românicos da Faculdade de Letras da Universidade do Porto, pp. 361–383. [Google Scholar]
- Maia, C.A. 1986. História do Galego-Português. Estado Linguístico da Galiza e do Noroeste de Portugal Desde o Século XIII ao Século XVI (com Referência à Situação do Galego Moderno). Coimbra, Portugal: Instituto Nacional de Investigação Científica. [Google Scholar]
- Foral Manuelino de Évora. 2001. Évora, Lisboa, Portugal: Câmara Municipal de Évora, Imprensa Nacional—Casa da Moeda.
- O Foral de Elvas de 1512. 2009. Elvas, Portugal: Câmara Municipal de Elvas.
- Vasconcelos, C.M. 1990. Cancioneiro da Ajuda. Lisboa, Portugal: Imprensa Nacional—Casa da Moeda, Volume II. [Google Scholar]
- Vasconcelos, C.M. 1990. Cancioneiro da Ajuda. Lisboa, Portugal: Imprensa Nacional—Casa da Moeda, Volume I. [Google Scholar]
- Anonymous. 1496. Estoria de Muy Nobre Vespesiano Emperador de Roma. Lixboa, Portugal: Valentino de Moravia, Available online: http://purl.pt/22002 (accessed on 22 April 2017).
- Anonymous. 2005. História do Mui Nobre Vespasiano Imperador de Roma. Introdução, edição e lematização de José Barbosa Machado. Braga, Portugal: Edições Vercial. [Google Scholar]
- Dias, A.D. 1998. Cancioneiro Geral de Garcia de Resende. Volume 5. A Temática. Lisboa, Portugal: Imprensa Nacional—Casa da Moeda. [Google Scholar]
- Anonymous. 1986. Naceo e Amperidónia (Novela Sentimental do Século XVI). Lisboa, Portugal: Imprensa Nacional—Casa da Moeda. [Google Scholar]
- Hook, D. 1985. Naceo e Amperidónia: A sixteenth-century Portuguese sentimental romance. Port. Stud. 1: 11–46. [Google Scholar] [CrossRef]
- Lemes, A.S. 2004. Naceo e Amperidónia: Traços linguísticos duma novela sentimental. In Linguística Histórica e História da Língua Portuguesa, Proceedings of the Encontro de Homenagem a Maria Helena Paiva, Porto, Portugal, 5–6 November 2003. Edited by A.M. Brito, O. Figueiredo and C. Barros. Porto, Portugal: Secção de Linguística do Departamento de Estudos Portugueses e de Estudos Românicos da Faculdade de Letras da Universidade do Porto, pp. 153–168. [Google Scholar]
- Santos, A. 2004. Da voz à perspectiva feminina na ficção sentimental em Portugal (séc. XVI). Peníns. Rev. Estud. Ibér. 1: 149–159. [Google Scholar]
- Lopes, F., and J.P. Bayam. 1735. Chronica Delrey D. Pedro I Deste Nome, e dos Reys de Portugal o Oitavo. Cognominado o Justiceiro. Na Forma em que a Ofereceo Fernaõ Lopes, Primeiro Chronista Mór Deste Reyno. Copiada Fielmente do Seu Original Antigo, Dada à Luz, e Acrescentada de Novo Desde o Seu Nascimento Atè Ser Rey; e Outras Acções, e Noticias de que o Author Naõ Trata. Lisboa, Portugal: Manoel Fernandes Costa, Available online: http://purl.pt/422 (accessed on 12 March 2016).
- Doliueyra, F. 1536. Grammatica da Lingoagem Portuguesa. Lixbõa, Portugal: Germão Galharde, Available online: http://purl.pt/120 (accessed on 16 November 2015).
- Oliveira, F. 1975. A Gramática da Linguagem Portuguesa. Lisboa, Portugal: Imprensa Nacional—Casa da Moeda. [Google Scholar]
- Oliveira, F. 2000. Gramática da Linguagem Portuguesa (1536). Lisboa, Portugal: Academia das Ciências de Lisboa. [Google Scholar]
- Bárros, I. 1540. Grammática da Lingua Portuguesa. Olyssipone, Portugal: Lodouicum Rotorigiũ, Available online: http://purl.pt/12148 (accessed on 2 October 2014).
- Barros, J. 1957. Gramática da Língua Portuguesa, 3rd ed. Lisboa, Portugal: Sociedade Astória. [Google Scholar]
- Gandavo, P.M. 1574. Regras qve Ensinam a Maneira de Escrever e Orthographia da Lingua Portuguesa, com hum Dialogo que a Diante se Segue em Defensam da Mesma Lingua. Lisboa, Portugal: Antonio Gonsaluez, Available online: http://purl.pt/12144 (accessed on 25 March 2016).
- Lião, D.N. 1576. Orthographia da Lingoa Portvgvesa. Obra Vtil, & Necessaria, Assi Pera Bem Screuer a Lingoa Hespanhola, Como a Latina, & Quaesquer Outras, que da Latina Teem Origem. Item Hum Tractado dos Pontos das Clausulas. Lisboa, Portugal: Ioão de Barreira, Available online: http://purl.pt/15 (accessed on 18 November 2015).
- Mattoso, J. 1980. Livro de Linhagens do Conde D. Pedro. Lisboa, Portugal: Academia das Ciências de Lisboa, Volume II/1. [Google Scholar]
- Lavaña, I.B. 1640. Nobiliario de D. Pedro Conde de Bracelos Hijo Del Rey D. Dionis de Portvgal. Rome, Italy: Estevan Paolinio, Available online: http://bdh.bne.es/bnesearch/detalle/bdh0000088665 (accessed on 17 March 2016).
- Pedro, Conde de Barcelos. Livro das Geracõs Antigas e Decendencia dos Fidalguos Nobres Deste Reino. Titvlo Settimo. Manuscript written by several hands, 1601–1700. Available online: http://purl.pt/24165 (accessed on 29 February 2016).
- Lavanha, J.B. Nobiliario do Conde D. Pedro Filho Delrei D. Dinis de Portvgal. Manuscript, 1622. Available online: http://bdh.bne.es/bnesearch/detalle/bdh0000010773 (accessed on 17 March 2016).
- Nascentes, A. 1955. Dicionário Etimológico da Língua Portuguêsa. 2nd printing. Rio de Janeiro, Brazil: Livraria Académica. [Google Scholar]
- Klob, O. 1900. Dois episodios da «Demanda do Santo Graal». Rev. Lusit. 6: 332–346. [Google Scholar]
- Anonymous. A Historia dos Cavalleiros da Mesa Redonda e da Demanda do Santo Graall. Manuscript tentatively dated from the 15th century. Available online: http://search.obvsg.at/primo_library/libweb/action/search.do?dscnt=0&vl%281UI0%29=contains&tab=default_tab&srt=rank&ct=search&mode=Basic&dum=true&tb=t&indx=1&vid=ONB&fn=search&search=1&vl%28freeText0%29=Historia+dos+cavalleiros+da+mesa+redonda&imageField.x=0&imageField.y=0 (accessed on 23 November 2015).
- Lopez, F. 1644. Chronica Delrey D. Ioam I de Boa Memoria e dos Reys de Portugal o Decimo, Primeira Parte em que se Contem a Defensam do Reyno Atè Ser Eleito Rey. Lisboa, Portugal: Antonio Aluarez, Available online: http://purl.pt/218 (accessed on 9 March 2016).
- Lopes, F. Cronica Del Rei Dom Joham Primeiro Rei de Portugal Deste Nome. Manuscript, 1501–1600?. Available online: http://bdh-rd.bne.es/viewer.vm?id=0000041820&page=1 (accessed on 10 March 2016).
- Lopes, F. Crónica Del Rei Dom Joham Primeiro de Portugal. Manuscript, 1601–1800?. Available online: http://bdh-rd.bne.es/viewer.vm?id=0000012630&page=1 (accessed on 10 March 2016).
- Lopes, F. Crónica del Rei Dom Joham Primeiro de Portugal. Do Reinado Del Rei Dom João Decimo Rei de Portugual, e Primeiro Deste Nome. Segunda Parte da Sua Lenda. Manuscript, 1601–1800?. Available online: http://bdh-rd.bne.es/viewer.vm?id=0000012630&page=1 (accessed on 11 March 2016).
- Cartusiano, L. 1957. O Livro de Vita Christi em Lingoagem Português. Edição fac-similar e crítica do incunábulo de 1495 cotejado com os apógrafos por Augusto Magne, S.J. São Sebastião do Rio de Janeiro, Brazil: Ministério da Educação e Cultura, Casa de Rui Barbosa, Volume 1. [Google Scholar]
- Nascimento, A.A. 1999. A tradução portuguesa da Vita Christi de Ludolfo da Saxónia: Obra de príncipes em «Serviço de Nosso Senhor e Proveito Comum». Didaskalia 29: 563–587. [Google Scholar]
- Saxónia, L. Primeira Parte da Vida de Christo. Manuscript, 1440–1450. Available online: http://purl.pt/24263 (accessed on 14 April 2017).
- Saxónia, L. Segunda Parte do Livro de Vita de Xpi. Manuscript, 1440–1450. Available online: http://purl.pt/24198 (accessed on 14 April 2017).
- Saxónia, L. Quarta Parte da Vita de Christo. Manuscript, 1440–1450. Available online: http://purl.pt/24264 (accessed on 14 April 2017).
- Saxónia, L. 1495. Primeyro Liuro de Vida de Xpo em Lingoagem Portugues. Lisboa, Portugal: Nicolau de Saxonia and Valentyno de Moravia, Available online: http://purl.pt/22010 (accessed on 29 March 2017).
- Saxónia, L. 1495. Segudo Liuro Intitullado de Vida de Xpo em Lingoage Portugues. Lisboa, Portugal: Nicolau de Saxonia and Valentyno de Moravia, Available online: http://purl.pt/22010 (accessed on 29 March 2017).
- Saxónia, L. 1495. Livro Terceiro Intitulado de Vida de Xpo em Lingoagem Portugues. Lisboa, Portugal: Valentyno de Morauia and Nicolau de Saxonia, Available online: http://purl.pt/22010 (accessed on 29 March 2017).
- Saxónia, L. 1495. Quarto Liuro, ou Apostumeyra Parte Intitulado de Vida de Xpo em Lingoagem Portugues. Lisboa, Portugal: Nicolau de Saxonia e Valentyno de Morauia, Available online: http://purl.pt/22010 (accessed on 29 March 2017).
- Lopes, D. 1897. Chronica dos Reis de Bisnaga. Manuscripto Inédito do Século XVI. Lisboa, Portugal: Imprensa Nacional, Available online: https://www.archive.org/details/chronicadosreisd00nune (accessed on 6 December 2015).
- Treslado e Sumario de Huã Chronica dos Reis de Bisnaga, que Foraõ da Era de Mil e Duzẽtos e Trinta Annos a Esta Parte, q[ue] Foi Despois da Destroiçaõ Geral do Reino de Bisnaga, Manuscript located at Bibliothèque nationale de France, Manuscripts Portugais No. 65.
- Sewell, R. 1900. A Forgotten Empire (Vijayanagar). A Contribution to the History of India. London, UK: Swan Sonnenschein & Co., Ltd., Available online: https://archive.org/details/aforgottenempir00paesgoog (accessed on 14 May 2015).
- Barros, I. 1563. Terceira Decada da Asia de Ioam de Barros: Dos Feytos que os Portugueses Fizeram no Descobrimento & Conquista dos Mares & Terras do Oriente. Lisboa, Portugal: Ioam de Barreira, Available online: https://www.archive.org/details/terceiradecada00barr (accessed on 21 November 2015).
- Silva, A.M. 1950. Grande Dicionário da Língua Portuguesa. 10.ª Edição Revista, Corrigida e Muito Aumentada e Actualizada Segundo as Regras do Acordo Ortográfico Luso-Brasileiro de 10 de Agosto de 1945 por Augusto Moreno, Cardoso Júnior e José Pedro Machado. Lisboa, Portugal: Editorial Confluência, Lda. [Google Scholar]
- Marques, F.C. 1978. Crisfal. Notícia Histórica e Literária, e Texto Fixado e Anotado por F. Costa Marques, Professor do Liceu Normal do Porto. Coimbra, Portugal: Atlântida. [Google Scholar]
- Silva, J.O. 1993. Portuguese pastoral before Montemayor: Crisfal and the eclogues of Sá de Miranda. Port. Stud. 9: 115–127. [Google Scholar] [CrossRef]
- Anonymous. 1543–1547. Trouas de Chrisfal. Trouas de hũ Pastor per Nome Chrisfal. Lisboa, Portugal: Germão Galharde, Available online: http://purl.pt/6959 (accessed on 8 January 2011)Located at Biblioteca Nacional de Portugal, RES. 218//5 V.
- Santos, G.G.O. 1965. Trovas de Crisfal. Lisboa, Portugal: Livraria Portugal. [Google Scholar]
- Ribeyro, B. 1554. Hystoria de Menina e Moca, por Bernaldim Ribeyro Agora de Novo Estampada e con Summa Deligencia Emendada e Asi Algũas Eglogas Suas com ho Mais que na Pagina Seguinte se Uera. Ferrara, Italy: Abraham aben Usque, Available online: http://purl.pt/81 (accessed on 14 August 2005)Located at Biblioteca Nacional de Portugal, RES. 3048 P.
- Ribeiro, B. 1559. Menina e Moca Feita por Bernaldim Ribeiro. Köln, Germany: Arnaldo Birkman, Available online: http://www.bdalentejo.net/BDAObra/BDADigital/Obra.aspx?id=331 (accessed on 28 February 2011).
- Falcão, C. 1639. Primeira, e Segunda Parte de Crisfal. Lisboa, Portugal: Antonio Alvarez, Located at Biblioteca Nacional de Portugal (RES. 232 V.). [Google Scholar]
- Falcão, C. 1639. Primeyra, e Segunda Parte de Crisfal. Lisboa, Portugal: Antonio Alvares, Located at Biblioteca Nacional de Portugal (RES. 4260 V.). [Google Scholar]
- Usque, S. 1989. Consolação às Tribulações de Israel. Edição de Ferrara, 1553. Com estudos introdutórios por Yosef Hayim Yerushalmi e José V. de Pina Martins. Lisboa, Portugal: Fundação Calouste Gulbenkian, Volume 2. [Google Scholar]
- Saraiva, A.J. 1939. Egloga de Crisfal. Lisboa, Portugal: Livraria Popular de Francisco Franco. [Google Scholar]
- Cohen, R. 1995. A estrutura formal das Trovas de Crisfal: Epistemologia do sonho ou cantiga de is-ão? Colóquio Letras 135/136: 71–82. [Google Scholar]
- Falcão, C. 1978. Crisfal, 3rd ed. Lisboa, Portugal: Livraria Sá da Costa Editora. [Google Scholar]
- Huber, J. 1986. Gramática do Português Antigo. Lisboa, Portugal: Fundação Calouste Gulbenkian. [Google Scholar]
- Silveira, S. 1945. Textos Quinhentistas. Rio de Janeiro, Brazil: Imprensa Nacional. [Google Scholar]
- Moraes Silva, A.M. 1889. Diccionario da Lingua Portugueza. Nova Edição Revista e Ampliada. Volume I, A–E. Lisboa, Portugal: Editora—Empreza Litteraria Fluminense. [Google Scholar]
- Alpalhão, M.M.J.S. 2008. O Amor nos Livros de Cavalarias—O Palmeirim de Inglaterra de Francisco de Moraes: Edição e Estudo. Ph.D. Thesis, Universidade Nova de Lisboa, Lisboa, Portugal, November. [Google Scholar]
- Saauedra, M.C. 1605. El Ingenioso Hidalgo Don Qvixote de la Mancha. Madrid, Spain: Iuan de la Cuesta, Available online: http://bdh-rd.bne.es/viewer.vm?id=0000042946 (accessed on 10 August 2017).
- Moraes, F. 1592. Palmeyrim de Inglaterra. Chronica do Famoso e Muyto Esforçado Caualeyro Palmeyrim de Inglaterra, Filho del Rey Dom Duardos no Qual se Contem Suas Proezas & de Floriano do Deserto su Ermão & do Principe Florendos Filho de Primalião. Lisboa, Portugal: António Aluarez, Available online: http://purl.pt/14872 (accessed on 14 November 2015).
- Cardosum, H. 1601. Dictionarivm Latino Lvsitanicvm et Vice Versa, Lvsitanico Latinvm, Cvm Adagiorvm Feré Omnium Ivxta Seriem Alphabeticam Perutili Expositione. Ecclesiasticarum Vocabulorum Interpretatione. Item de Monetis, Ponderibus, & Mensuris, ad Presentem Vsum Accommodatis. Per Hieronymvm Cardosum Lusitanum Congesta. Recognita Vero Omnia per Sebastianum StoKhamerum Germanum. Qui Libellũ Etiam de Proprijs Nominibus Regionum, Populorum, Illustrium Virorum, Fluuiorum, Montium, Acaliorum Complurium Nominum, & Rerum Feitu Dignarum, Historijs & Fabulis Poëticis Refertum, in Vsum & Gratiam. Lusitanicæ Pubis Concinnauit & ex Integro Adiecit. Olyssipone, Portugal: Antonius Aluares, Available online: http://purl.pt/14033 (accessed on 5 November 2015).
- Remédios, M. 1914. História da Literatura Portuguêsa Desde as Origens Até á Actualidade, 4th ed. Coimbra, Portugal: França Amado, F. [Google Scholar]
- Usque, S. 1908. Consolaçam ás Tribulaçoens de Israel III. Coimbra, Portugal: França Amado, F. [Google Scholar]
- Usque, S. 1906. Consolaçam ás Tribulaçoens de Israel I. Coimbra, Portugal: França Amado, F. [Google Scholar]
- Vsqve, S. 1553. Consolacam. As Tribvlacoens de Ysrael. Ferrare, Italy: Abraham aben Vusque, Available online: http://reader.digitale-sammlungen.de/resolve/display/bsb10183498.html (accessed on 26 November 2015).
- Franco, A.C. 2007. O Essencial Sobre Bernardim Ribeiro. Lisboa, Portugal: Imprensa Nacional—Casa da Moeda. [Google Scholar]
- Ribeiro, B. 1557. Primeira e Seguda Parte do Liuro Chamado as Saudades de Bernardim Ribeiro com Todas Suas Obras, Treladado de Seu Proprio Original Nouamente Impresso. Euora, Portugal: Andre de Burgos, Available online: http://purl.pt/22942 (accessed on 28 October 2015)Located at Biblioteca Nacional de Portugal, RES. 131 P.
- Hackerott, M.M.S. 2004. Divergências entre os dicionários portugueses do século XVI ao início do século XIX. Bol. Cent. Doc. Historiogr. Lingüíst. 7: 149–163. [Google Scholar]
- Verdelho, T. 2004. Dicionários: Testemunhos da memória linguística. In Linguística Histórica e História da Língua Portuguesa, Proceedings of the Encontro de Homenagem a Maria Helena Paiva, Porto, Portugal, 5–6 November 2003. Edited by A.M. Brito, O. Figueiredo and C. Barros. Porto, Portugal: Secção de Linguística do Departamento de Estudos Portugueses e de Estudos Românicos da Faculdade de Letras da Universidade do Porto, pp. 413–427. [Google Scholar]
- Cardosi, H. 1562. Hieronymi Cardosi Lamacensis Dictionarum ex Lusitanicum in Latinum Sermonem. Vlissypone, Portugal: Ioannis Aluari, Available online: http://purt.pt/15192 (accessed on 4 November 2015).
- Cardosi, H. 1562. Hieronymi Cardosi Dictionarum. Iuuentuti Studiosae. Conimbricæ, Portugal: Ioannem Alvarum, Available at Biblioteca Pública de Évora (BPE RES. 8-A and BPE RES. 259-C). [Google Scholar]
- Cardosum, H. 1570. Dictionarium Latino Lusitanicum & Vice Versa, lusitanico Latinũ, cum Adagiorum Feré Omnium Iuxta Seriem Alphabeticam Perutili Expositione: Ecclesiasticarum Etiam Vocabulorum Interpretatione. Item de Monetis Ponderibus, & Mensuris, ad Præsentem Vsum Accommodatis. Noue Omnia per Hieronymũ Cardosum Lusitanum Congesta. Recognita Vero Omnia per Sebast. Stokhamerum Germanum. Qui Libellum Etiam de Proprijs Nominibus Regionũ, Populorum, Illustrium Virorum, Fluuiorum, Montium, Acaliorum Complunum Nominum & Rerum Feitu Dignarum, Historijs & Fabulis Poëticis Referrum, in Vsum & Gratiam Lusitanicæ Pubis Concinnauit & ex Integro Adiecit. Conimbricæ, Portugal: Ioan Barrerius, Available online: http://purl.pt/14265 (accessed on 4 November 2015).
- Cardosvm, H. 1592. Dictionarivm Latino Lvsitanicvm et Vice Versa, Lvsitanico Latinvm, Cum Adagiorum Ferè Omnium Iuxta Seriem Alphabeticam Perutili Expositione. Ecclesiasticorum Etiam Vocabulorum Interpretatione. Item de Monetis Ponderibus, & Mensuris, ad Presentem Vsum Accommodatis per Hieronymvm Cardosvm Lusitanum Congesta. Recognita Vero Omnia per Sebast. Stokhamervm Germanum. Qui Libellum Etiam de Proprijs Nominibus Regionum, Populorum, Illustrium Virorum, Fluuiorum, Montium, Acaliorum com Plurium Nominum & Rerum Feitu Dignarum, Historijs & Fabulis Poëticis Refertum, in Vsum & Grariam. Lusitanicæ Pubis Concinnauit & ex Integro Adiecit. Olyssipone, Portugal: Alexander de Syqueira, Available online: http://purl.pt/14309 (accessed on 4 November 2015).
- Cardosum, H. 1613. Dictionarivm Latino Lvsitanicvm et Vice Versa, Lvsitanico Latinvm, Cvm Adagiorum Feré Omnium Iuxta Seriem Alphabeticam Perutili Expositione. Ecclesiasticarum Vocabulorũ Interpretatione. Item de Monetis, Ponderibus, & Mensuris, ad Presentem Vsum Accommodatis. Per Hieronymum Cardosum Lusitanum Congesta. Recognita Vero Omnia per Sebastianum Stokhamerum Germanum. Qui Libellũ Etiam de Proprijs Nominibus Regionum, Populorum, Illustrium Virorum, Fluuiorum, Montium, Acaliorum Complurium Nominum, & Rerum Feitu Dignarum, Historijs & Fabulis Poeticis Referrum, in Vsum & Gratiam Lusitanice Pubis Concinnauit & ex Integro Adiecit. Vlyssipone, Portugal: Petri Crasbeeck, Available online: http://purl.pt/14034 (accessed on 5 November 2015).
- Cardosum, H. 1619. Dictionarivm Latino Lvsitanicvm et Vice Versa Lvsitanico Latinvm, Cvm Adagiorum Ferè Omnium Iuxta Seriem Alphabeticam Perutili Expositione, & Ecclesiasticorum Vocabulorum Interpretatione. Item de Monetis, Ponderibus, & Mensuris, ad Præsentem Vsum Accommodatis. Per Hieronymum Cardosum Lusitanum Congesta. Recognita Vero Omnia per Sebastianum Stokhamerum Germanum. Qui Libellũ Etiam de Proprijs Nominibus Regionum, Populorum, Illustrium Virorum, Fluuiorum, Montium, Acaliorum Complurium Nominum, & Rerum Feitu Dignarum, Historijs & Fabulis Poeticis Refertum, in Vsum & Gratiam Lusitanicæ Pubis Concinnauit, & ex Integro Adiecit. Vlyssipone, Portugal: Petri Crasbeeck, Available online: http://purl.pt/14035 (accessed on 5 November 2015).
- Cardosum, H. 1630. Dictionarivm Latino Lvsitanicvm, et Vice Versa Lvsitanico Latinvm, Cvm Adagiorum Ferè Omnium Iuxta Seriem Alphabeticam Perutili Expositione, & Ecclesiasticarum Vocabulorum Interpretatione. Item de Monetis, Ponderibus, & Mensuris, ad Præsentem Vsum Accommodatis. Per Hieronymum Cardosum Lusitanum Congesta. Recognita Vero Omnia per Sebastianum Stokhamerum Germanum. Qui Libellum Etiam de Proprijs Nominibus Regionum, Populorum, Illustrium Virorum, Fluuiorum, Montium, Acaliorum Complurium Nominum, & Rerum Feitu Dignarum, Historijs & Fabulis Poeticis Refertum, in Vsum & Gratiam Lusitanicæ Pubis Concinnauit, & ex Integro Adiecit. Vlyssipone, Portugal: Petri Craesbeeck, Available online: http://purl.pt/14041 (accessed on 5 November 2015).
- Cardozum, H. 1643. Dictionarivm Latino Lvsitanicvm, et Lvsitanico Latinvm. Cvm Aliqvorvm Adagiorvm, & Humariorum Historiarum, & Fabularum Perutili Expositione. Item de Vocibus Ecclesiasticis: De Ponderibus, & Mensuris, & Aliquibus Loquendi Modis Pueris Accommodatis. Per Hieronimum Cardozum Lusitanum. Vlyssipone, Portugal: Laurentij de Anueres, Available online: http://purl.pt/23274 (accessed on 5 November 2015).
- Cardozum, H. 1677. Dictionarivm Latino Lvsitanicvm, et Lvsitanico Latinum. Cvm Aliqvorvm Adagiorum, & Humariorum Historiarum, & Fabularum Perutili Expositione. Item de Vocibus Ecclesiasticis: De Ponderibus, & Mensuris, & Aliquibus Loquendi Modis Pueris Accommodatis. Per Hieronimum Cardozum Lusitanum. Vlyssipone, Portugal: Antonij Craesbeeck, Available online: http://purl.pt/14044 (accessed on 5 November 2015).
- Cardosi, H. 1694. Dictionariṫṽ Latino-Lvsitanicvm, et Lvsitanico-Latinum, Quanta Maxima Fide, ac Diligentià accuratissimè expurgatum. Ut Merito Thesaurum Utriusque Linguaæ Quilibet Polliceri ibi Audeat. Adjectis Dictionariolis de Vocibus Ecclesiasticis, de Ponderibus, Numismatis, & Mensuris Cunctis. Vlyssipone, Portugal: Dominici Carneiro, Available online: http://purl.pt/13977 (accessed on 5 November 2015).
- Orta, G. 1563. Coloquios dos Simples, e Drogas he Cousas Mediçinais da India, e Assi Dalgũas Frutas Achadas Nella Onde se Tratam Algũas Cousas Tocantes Amedicina, Pratica e Outras Cousas Boas, Pera Saber. Goa, India: Ioannes de endem, Available online: http://purl.pt/22937 (accessed on 19 December 2014).
- Raghunathan, K. 2002. Garcia da Orta and his work on the field of drugs and medicinal plants. In Ayurveda at the Crossroads of Care and Cure, Proceedings of the Indo-European Seminar on Ayurveda, Arrábida, Portugal, November 2001. Edited by A. Salema. Lisboa, Portugal: Centro de História de Além-Mar, Universidade Nova de Lisboa, pp. 31–44. [Google Scholar]
- Matos, M.C. 1990. Livros e utensilagem tipográfica na carreira da Índia (séculos XV e XVI). ICALP Rev. 19: 60–94. [Google Scholar]
- Matos, M.C. 1992. A tipografia Portuguesa e a iconografia do livro europeu na fase áurea da expansão (1480–1563). Biblos 68: 139–198. [Google Scholar]
- Mathew, K.S. 1997. The Portuguese and the study of medicinal plants in India in the sixteenth century. Indian J. Hist. Sci. 32: 369–376. [Google Scholar]
- Orta, G. 1891. Colóquio dos Simples e Drogas da Índia. Lisboa, Portugal: Imprensa Nacional, Volume 1. [Google Scholar]
- Orta, G. 1913. Colloquies on the Simples and Drugs of India. London, UK: Henry Sotheran and Co., Available online: https://archive.org/details/colloquiesonsimp00orta (accessed on 16 December 2015).
- Lobato, B.G. 1602. Quinta, e Sexta Parte de Palmeirim de Inglaterra. Chronica do Famoso Principe Dom Clarisol de Bretanha, Filho do Principe Dom Duardos de Bretanha: Na Qual se Cõtão Suas Grandes Cauallarias, & dos Principes Lindamor, Clarifebo, & Beliandro de Grecia, Filhos de Vasperaldo, Landimãte, & Primalião, & de Outros Muitos Principes, & Caualleiros Famosos de Seu Tempo. Lisboa, Portugal: Iorge Rodrigues, Available online: https://books.google.pt/books/ucm?vid=UCM530945560X&printsec=frontcover&redir_esc=y#v=onepage&q&f=false (accessed on 16 December 2015).
- Lião, D.N. 1606. Origem da Lingoa Portvgvesa. Lisboa, Portugal: Pedro Crasbeeck, Available online: http://purl.pt/50 (accessed on 23 September 2014).
- Lavanha, I.B. 1622. Viagem da Catholica Real Magestade Del Rey D. Filipe II. N. S. Ao Reyno de Portvgal E Rellação do Solene Recebimento que Nelle se lhe Fez. Madrid, Spain: Thomas Iunti, Available online: https://archive.org/details/viagemdacatholic00lava (accessed on 17 March 2016).
- Coelho, F.A. 1890. Diccionario Manual Etymologico da Lingua Portugueza Contendo a Significação e Prosodia. A–E. Lisboa, Portugal: P. Plantier-Editor, Available online: https://archive.org/details/I.ADOLFOCOELHODICCIONARIOMANUALETYMOLOGICODALINGUAPORTUGUEZALETRASAE (accessed on 23 November 2015).
- Coelho, F.A. 1890. Diccionario Manual Etymologico da Lingua Portugueza Contendo a Significação e Prosodia. F–Z. Edited by P. Plantier. Lisboa, Portugal: Available online: https://archive.org/details/II.ADOLFOCOELHODICCIONARIOMANUALETYMOLOGICODALINGUAPORTUGUEZALETRASFZ (accessed on 27 November 2015).
- Corominas, J., and J.A. Pascual. 1987. Diccionario Crítico Etimológico Castellano e Hispánico. A-CA. Madrid, Spain: Editorial Gredos, S.A. [Google Scholar]
- Constancio, F.S. 1863. Novo Diccionario Critico e Etymologico da Lingua Portugueza. Paris, France: Angelo Francisco Caeiro. [Google Scholar]
- Tavares, J.P. 1937. Gramática Elementar de Português 4º, 5º e 6º Ano dos Liceus. Lisboa, Portugal: Livraria Sá da Costa. [Google Scholar]
- Cardeira, E. 2005. Entre o Português Antigo e o Português Clássico. Lisboa, Portugal: Imprensa Nacional—Casa da Moeda. [Google Scholar]
- Valdés, J. Diálogo de la Lengua. Manuscript located at Biblioteca Nacional de España, MSS.MICRO/378. Available online: http://bdh.bne.es/bnesearch/detalle/bdh0000048928 (accessed on 30 September 2014).
- Anonymous. 1860, Diálogo de la Lengua. Apéndize. Madrid, Spain: Imprenta de J. Martín Alegria, Available online: https://archive.org/stream/dialogodelaleng01valdgoog#page/n17/mode/2up (accessed on 11 March 2015).
- Haebler, K. 1897. The Early Printers of Spain and Portugal. London, UK: Bibliographical Society, Available online: https://archive.org/details/earlyprinterssp00haebgoog (accessed on 25 March 2106).
- Bluteau, R. 1716. Vocabulario Portuguez, e Latino, Aulico, Anatomico, Architectonico, Bellico, Botanico, Brasilico, Comico, Critico, Chimico, Dogmatico, Dialectico, Dendrologico, Ecclesiastico, Etymologico, Economico, Florifero, Forense, Fructifero, Geographico, Geometrico, Gnomonico, Hydrographico, Homonymico, Hierologico, Ichtyologico, Indico, Isagogico, Laconico, Liturgico, Lithologico, Medico, Musico, Meteorologico, Nautico, Numerico, Neoterico, Ortographico, Optico, Ornithologico, Poeticco, Philologico, Pharmaceutico, Quidditativo, Qualitativo, Quantitativo, Rhetorico, Rustico, Romano; Symbolico, Synonimico, Syllabico, Theologico, Terapteutico, Technologico, Uranologico, Xenophonico, Zoologico, Authorizado com Exemplos dos Melhores Escritores Portugueses, e Latinos e Offerecido a ElRey de Portugal, D. Joam V. Lisboa, Portugal: Officina de Pascoal da Sylva, Volume 5, Available online: http://purl.pt/13969 (accessed on 7 November 2015).
- Conde de Ficalho. 1886. Garcia da Orta e o seu Tempo. Lisboa, Portugal: Imprensa Nacional. [Google Scholar]
- Ribeiro, B., and C. Falcão. 1923. Obras. Nova Edição Conforme a Edição de Ferrara. Coimbra, Portugal: Imprensa da Universidade, Volume 1. [Google Scholar]
- Asensio, E. 1957. Bernardim Ribeiro a la luz de un manuscrito nuevo. Cultura literaria y problemas textuales. Rev. Bras. Filol. 3: 59–81. [Google Scholar]
- Olival, F. 2008. D. Filipe II de Cognome «O Pio». Rio de Mouro, Portugal: Círculo de Leitores and Centro de Estudos dos Povos e Culturas de Expressão Portuguesa. [Google Scholar]
- Lavaña, I.B. 1622. Viage de la Catholica Real Magestad Del Rey D. Filipe III. N. S. Al Reino de Portvgal I Relacion del Solene Recebimiento que en el se le Hizo. Madrid, Spain: Thomas Iunti, Available online: http://bdh-rd.bne.es/viewer.vm?id=0000052412&page=1 (accessed on 21 March 2016).
- Levi, J.A. 2005. Portugal meets Italy: The Sephardic communities of the Diaspora on Italian soil (1496–1600). Cad. Estud. Sefard. 5: 195–206. [Google Scholar]
- Bejarano-Gutierrez, J.M. 2011–2012. Samuel Usque and the Consolation for the Tribulations of Israel. HaLapid 21/22: 34–41. [Google Scholar]
- Usque, S. 1989. Consolação às Tribulações de Israel. Lisboa, Portugal: Fundação Calouste Gulbenkian, Volume 1. [Google Scholar]
- Corominas, J., and J.A. Pascual. 1984. Diccionario Crítico Etimológico Castellano e Hispánico. G-MA. Madrid, Spain: Editorial Gredos. [Google Scholar]
- Cuervo, R.J. 1998. Diccionario de Construcción y Régimen de la Lengua Castellana. Barcelona, Spain: Herder, Volume IV. [Google Scholar]
- Rojas, F. 1499. Comedia de Calisto y Melibea. Burgos, Spain: Fadrique Alemán de Basileia, Available online: http://www.cervantesvirtual.com/servlet/SirveObras/12584960823477162109435/thm0000.htm (accessed on 2 April 2017).
- Castro, I. 2006. Introdução à História do Português, 2nd ed. Lisboa, Portugal: Colibri. [Google Scholar]
- Cuesta, P.V., and M.A.M. Luz. 1971. Gramática da Língua Portuguesa. Lisboa, Portugal: Edições 70. [Google Scholar]
- Hasselrot, B. 1957. Die Namen der Obstbäume in den romanischen Sprachen. Rev. Port. Filol. VIII: 346–349. [Google Scholar]
- Maçãs, D. 1961. Zur Frage des Geschlechts der romanischen Obstbaummanen auf-ARIUS. Rev. Port. Filol. XI: 541–545. [Google Scholar]
- Fernandes, F.M., and L.M. Carvalho. 2003. Portugal Botânico de A a Z. Plantas Portuguesas e Exóticas. Lisboa, Portugal: LIDEL—Edições Técnicas, Lda. [Google Scholar]
- The Plant List. Version 1.1, released September 2013. Available online: http://www.theplantlist.org (accessed on 16 April 2017).
- Serbat, G. 1994. Les Structures du Latin. Avec un Choix de Textes Traduits et Annotés de Plaute aux Serments de Strasbourg, 4th ed. Paris, France: Picard Éditeur. [Google Scholar]
- Sokal, R.R., and F.J. Rohlf. 1995. Biometry. The Principles and Practice of Statistics in Biological Research, 3rd ed. New York, NY, USA: W.H. Freeman and Company. [Google Scholar]
- Shipley, B. 2000. Cause and Correlation in Biology. A User’s Guide to Path Analysis, Structural Equations and Causal Inference. Cambridge, UK: Cambridge University Press. [Google Scholar]
- Tukey, J.W. 1954. Unsolved problems of experimental statistics. J. Am. Stat. Assoc. 49: 706–731. [Google Scholar] [CrossRef]
- Sterne, J.A.C., and J.D. Smith. 2001. Sifting the evidence—What’s wrong with significance tests? Br. Med. J. 322: 226–231. [Google Scholar] [CrossRef]
- Draper, N.R., and H. Smith. 1981. Applied Regression Analysis, 2nd ed. New York, NY, USA: John Wiley & Sons. [Google Scholar]
- Ury, H.K. 1976. A comparison of four procedures for multiple comparisons among means (pairwise contrasts) for arbitrary sample sizes. Technometrics 18: 89–97. [Google Scholar] [CrossRef]
- Rodgers, J.L., W.A. Nicewander, and L. Toothaker. 1984. Linearly independent, orthogonal, and uncorrelated variables. Am. Stat. 38: 133–134. [Google Scholar] [CrossRef]
- Roché, M. 2002. Gender inversion in Romance derivatives with -arius. In Morphology 2000. Selected Papers from the 9th Morphology Meeting, Vienna, Austria, 24-28 February 2000. Edited by S. Bendjaballah, W.U. Dressler, O.E. Pfeiffer and M.D. Voeikova. Amsterdam, The Netherlands: John Benjamins Publishing Company, pp. 283–291. [Google Scholar]
- Tomlinson, H. 1996. O Grande Livro do Bonsai. Lisboa, Portugal: Centralivros—Edição e Distribuição, Lda. [Google Scholar]
- Cabral, F.C., and G.R. Telles. 1999. A Árvore em Portugal. Lisboa, Portugal: Assírio & Alvim. [Google Scholar]
- Santos, M.J.A. 2007. A evolução da língua e da escrita. In Nova História de Portugal. Portugal em Definição de Fronteiras (1069–1325). Edited by J. Serrão and A.H.O. Marques. Lisboa, Portugal: Editorial Presença, Volume 3, pp. 604–634. [Google Scholar]
- Ramos, D.E. 2013. La gramática hispanoflamenca em el siglo de oro: A propósito del verbo. Interlingüistica 14: 341–352. [Google Scholar]
- Anonymous. 1559. Gramatica Dela Lengua Vulgar de España. Lovaina, Belgium: Bartholomé Gravio, Available online: http://digital.onb.ac.at/OnbViewer/viewer.faces?doc=ABO_%2BZ161681100 (accessed on 30 September 2014).
| 1 | Vergílio Ferreira (1916–1996) made this statement (“Uma língua é o lugar donde se vê o mundo e de ser nela pensamento e sensibilidade”) in the beginning of the acceptance speech of the prize Europalia in Brussels, 9 October 1991. The full speech, entitled “À voz do Mar” (“To the voice of Sea”) was printed posthumously and can be found in [1] (pp. 83–89). |
| 2 | Despite having been printed for the first time in 1662 the manuscript of the usually called Logic of Port-Royal certainly preceded the print by some years. Reference in the manuscript to arbitrariness and its discussion, which were retained in the five printed editions issued during authors’ life, can be found in [6] (p. 6). |
| 3 | We will use “languages” in a wide sense, encompassing languages and dialects. Similarly, we will use Latin-derived languages or just Latin languages instead of using the more technical “Romance languages”. |
| 4 | See for example chapters 21–24 in [22]. |
| 5 | All or almost all characters appearing in Brothers Grimm’s tales go to forests that have the power to change lives and destinies, and have their fate decided there. See [23]. |
| 6 | An extensive review and discussion of the history, iconography and relationships among metaphorical trees can be found in [27]. |
| 7 | For an earlier edition of the grammar (but lacking the grammatical tree) dated from1462 and filed without mention of publisher and place of publication see [30]. |
| 8 | Maybe also by chance, some centuries later de Saussure chose ‘tree’ to define, discuss and graphically illustrate sign, signified and signifier [2] (pp. 97–100). |
| 9 | In French, the definite article in the plural is the same in masculine and feminine (les); in Italian, French and Catalan, in certain circumstances the definite article in singular is also the same in masculine and feminine (l’); in Castilian when immediately before a feminine noun beginning with a stressed a the definite article la (singular, feminine) is replaced by the usually masculine article (in this case neuter) el. |
| 10 | It is worth noting the singular position of the word ‘tree’ in terms of the solitary preservation of the feminine gender in Portuguese while in a number of other Latin-derived words, also with a high symbolic status, either the original Latin gender is preserved in all main Latin-derived languages (Portuguese, Castilian, Catalan, French, Italian, Romanian), as happened with ‘soul’ and ‘God’ (feminine and masculine respectively) or changes are not limited to a single language, as happened with ‘blood’ (masculine in Latin, feminine in Castilian and Catalan, neuter in Romanian) or, from an original Latin neuter noun, some became masculine and others feminine as happened with ‘sea’. |
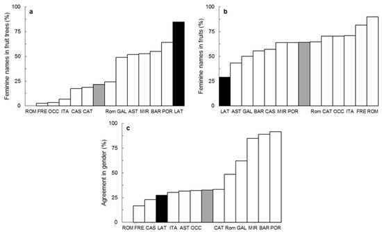
| 11 | Sources for the name and gender of tree, of fruit, of fruit-trees, and of their fruits are: Asturian from [41]; Barranquenho by Luís Rodrigues [42]; Castilian from [43,44]; Catalan from [45]; French from [46]; Galician from [47,48]; Italian from [49]; Latin from [50,51]; Leonese from [52]; Mirandese by Amadeu Ferreira [53]; Occitan from http://www.lexilogos.com/occitan_langue_ dictionnaires.htm (accessed on 4 October 2010); Romansh by Lia Rumantscha (www.liarumantscha.ch); Romanian by Ana Vrajitoru [54]; Campidanesi and Lugodoresi Sardinian, Serbo-Croatian and Sicilian from http://en.wiktionary.org (accessed on 4 October 2010); Sardinian from [38]; Valencian from [55]. |
| 12 | The first book printed in Portugal was the Pentateuch, in Hebrew, which was finished in Faro on 30 July 1487 in the printing house of Samuel Gacon [59] (pp. 20–21). |
| 13 | Tree in the feminine is mentioned in ff. 25 back a lines 9 and 12, f. 66 back a line 25. |
| 14 | Raphael Bluteau was a French Theatin born in 1638 in London, raised in France and Italy, who came to Portugal by 1668 where he had an intense oratory and preaching activity. In 1712 the first two volumes of his Vocabulario Portuguez e Latino (Portuguese and Latin Vocabulary) are published in Coimbra. The publication of the Vocabulario, including two supplementary volumes, was completed in 1728 and involved four printing houses. The end result is ten volumes totaling about 7000 pages in folio (approximately A4 size), making it almost certainly “a dictionary more bulky than any other language can shew” in its time. See [63] or preferably, because of author’s criticism to that edition, the same title in [64]. See also [65], in English and closer to the appearance of the Vocabulario, in which Bluteau’s dictionary is extensively described and singled out among the 76 dictionaries said to have been published in Portugal until 1759. |
| 15 | ‘Tree’ or ‘trees’ in the feminine appear in pages 46, 149, and 168. |
| 16 | ‘Tree’ or ‘trees’ in the feminine in f. xxviii front b line 35, and f. cxviii back b line 15, the latter appearing in the printed edition of 1644 [136] with gender not attributable. |
| 17 | In the first part of the Chronicle [138] ‘tree’ or ‘trees’ in the feminine appear in f. 10 back line 25, and f. 167 back line 4, the latter appearing in the printed edition of 1644 [136] with gender not attributable. In the second part of the Chronicle [139] ‘tree’ or ‘trees’ in the feminine appear in ff. 63 back line 18, f. 164 front line 10, and 184 front line 8. |
| 18 | |
| 19 | This mention in the masculine occurs in the title of chapter 18 in the list of contents. However in the title of that chapter in the text, ‘tree’ is correctly mentioned in the feminine [146] (f. liiij front a line 27). |
| 20 | Book 4 was in fact the first to be finished and there is no information on a possible date for its beginning. |
| 21 | The copy of Sewell’s book available online lacks the facsimile of the end of Fernão Nunes summary, the covering letter and the beginning of the summary of Domingos Paes. Sewell’s book includes a translation of the Chronicle of the Kings of Bisnaga, changing the order of presentation previously adopted by David Lopes and attributing an earlier date of composition to the part written by Domingos Paes, which is set at 1520–1522. |
| 22 | A great part of chapter IV, Book IV, especially the part related with the conquest of Rachól by the King Crisnaráo including the episode involving the Moor Cyde Mercar (f. 98 front to f. 99 front) and part of chapter V, Book IV, namely the description of Rachól, starting f. 99 front, is an almost exact copy of parts of Fernão Nunes narrative (pp. 24–31 of David Lopes’ transcription [149]). |
| 23 | |
| 24 | A number of differences exist between the two copies, namely in the title, in the spelling of printer’s name, and in the engravings. |
| 25 | The tilde over vowels, like in amarã, bẽs, lõge, hũa (‘loved’, ‘goods’, ‘far’ and ‘a’ respectively) was used since long to nasalize the vowel or vowels and in manuscripts they were frequently placed over two adjacent vowels [166] (pp. 44, 45, 365). In printed texts and less frequently in manuscripts, e.g., [69] (p. 7), it was widely used mostly for economy and meant that the letters m or n were being omitted but should be read as if they were actually printed or handwritten (amaram, bens, longe, huma, for the example above). It was also frequently used over consonants to indicate the omission of one or more letters. |
| 26 | This episode is narrated in chapter VI of the first part of Cervantes’ Don Quixote [170] (f. 20 front). |
| 27 | Arvoresinho appears in f. 6 front line 14. |
| 28 | Jesuits started operating their own press in Goa in the summer of 1556, incidentally their first printing press worldwide. Jesuits’ printing press was the second to arrive in Asia. Before that press another one arrived in 1515 en route to Ethiopia. However, it rotted away in some warehouse never reaching its intended destiny. See [193,194]. |
| 29 | For a translation to English see [197]. |
| 30 | João Barreto was not alone in his harsh criticism to Duarte Nunes de Leão. The same was repeatedly done by Father Baião in his Supplement to the Chronicle of King Pedro I [121] (pp. 505, 533, 545–547). |
| 31 | Contrary to what happened for example in Castilian in which tree was written mostly in the feminine as in Fuero Juzgo, in Fuero de Navarra, both from the 13th century, and in Antonio de Lebrija’s Dictionarum ex Hispaniensi in Latinum Sermonem (1493 or 1495) or indistinctely in the feminine and in the masculine as in Alfonso de Palencia’s Universal Vocabulario en Latín y en Romance (1490). See [203] (pp. 313–314). Also [38]. |
| 32 | The statement that the gender of ‘tree’ changed from being usually masculine to the feminine was still found in a Grammar approved for use in secondary schools and published in 1937. See [205] (p. 49). |
| 33 | For a discussion on which of the brothers, Juan de Valdés or Alfonso de Valdés, was the author see [208], especially pages X–XVI. |
| 34 | Deliberately or not, depending on how knowledgeable Juan de Valdés really was, exculpating Nebrija and putting the blame on the printer is highly ironic because it is almost certain that the printer was Nebrija himself or at least the composition and printing was done under his supervision, eventually in his own home. See [209] (pp. 25, 26). |
| 35 | The same happens in the second edition of Consolação which in all likelihood was printed in Amsterdam in 1599 as if it were the original of Ferrara, written Ferrare in the cover of the second edition [175]. |
| 36 | Not if we give full credit to what is stated in the end of the prologue to Consolação [162], where it reads that it would be inconvenient not to use Portuguese, his mother language (desconueniente era fugir da língua que mamey). |
| 37 | In relation to this latter aspect see also the end of the prologue where Usque declares that his first objective was to speak to a Portuguese audience [162]. |
| 38 | Incidentally guai is still used colloquially in Spain today, but contrary to Italy where it kept the ancient meaning of sorrow, in Spain it completely changed and is used in a sense similar to the colloquial ‘Cool!’. |
| 39 | Correlation, usually calculated as Pearson’s product-moment correlation coefficient represented by ρ in statistical populations and by r in samples as is the case here. It measures the amount of common linear variation (association) between two variables and varies between −1 and +1, perfect negative and perfect positive association respectively, with ρ = 0 denoting complete lack of linear association between variables. Because r underestimates ρ in small samples we will also present unbiased values of the coefficient of correlation, r* = r{1 + [(1 − r2)/(2n − 8)]} where n is sample size. Complementary to the coefficient of correlation, the lack of association between two variables can be expressed by the coefficient of alienation (determined as √1 − r2) which varies between 0 and 1. See [229] (pp. 556–566). Despite that correlation does not imply causation and despite that the usefulness of correlation has been so strongly questioned as to be almost denied, we will make use of it under the following assumption: whenever two variables are highly correlated either such high covariation is attributable to pure randomness or if not, something is the cause of it, even if we don’t have any hint of what that cause might actually be. See [230] (p. 3); [231]. |
| 40 | In fact, for each data set two straight-lines can be fitted, one considering fruits written in the feminine as the variable to be explained and gender agreement as the explanatory variable, the other the opposite, fruits in the feminine as the explanatory variable and gender agreement as the variable to be explained. In either case, the angle formed by the two-straight lines is the same and the subsequent reasoning is not affected. Equations were fitted by least squares linear regression adopting an experiment-wise type I error-rate of 0.001 determined by the Dunn-Šidák method and forced through the origin whenever necessary. See [233] (pp. 5–17); [234]. |
| 41 | The values for gender inversion in 165 names of trees and other plants in French is 64% and in 181 names in Portuguese is 19% respectively lesser and higher than in our data involving only fruit trees [236]. |
| 42 | Fructus in Latin, frutu in Asturian, fruto in Barranquenho, Castilian and Portuguese, fruit in Catalan and French, froito in Galician, frutto in Italian, fruito in Mirandese, fruch in Occitan, frigt in Romansh, and fruct in Romanian. |
| 43 | The same occurs and is even strengthened if we consider only the fruit trees and their fruits that were already present in either one of the two first monolingual Portuguese dictionaries (see Supplementary Materials, Table S2), both published few years apart in the 1780s [99,102]. Using such a shorter list the percentage of feminine names in fruit trees is 66% and of feminine names in their edible fruits is 65%, a slight increase but an increase nonetheless in relation to the percentages in the full list, 64% for trees in the feminine and for fruits in the feminine. |









© 2017 by the authors. Licensee MDPI, Basel, Switzerland. This article is an open access article distributed under the terms and conditions of the Creative Commons Attribution (CC BY) license (http://creativecommons.org/licenses/by/4.0/).
Share and Cite
Dias, L.S.; Dias, A.S. “Language Is the Place from Where the World Is Seen”—On the Gender of Trees, Fruit Trees and Edible Fruits in Portuguese and in Other Latin-Derived Languages. Languages 2017, 2, 15. https://doi.org/10.3390/languages2030015
Dias LS, Dias AS. “Language Is the Place from Where the World Is Seen”—On the Gender of Trees, Fruit Trees and Edible Fruits in Portuguese and in Other Latin-Derived Languages. Languages. 2017; 2(3):15. https://doi.org/10.3390/languages2030015
Chicago/Turabian StyleDias, Luís Silva, and Alexandra Soveral Dias. 2017. "“Language Is the Place from Where the World Is Seen”—On the Gender of Trees, Fruit Trees and Edible Fruits in Portuguese and in Other Latin-Derived Languages" Languages 2, no. 3: 15. https://doi.org/10.3390/languages2030015
APA StyleDias, L. S., & Dias, A. S. (2017). “Language Is the Place from Where the World Is Seen”—On the Gender of Trees, Fruit Trees and Edible Fruits in Portuguese and in Other Latin-Derived Languages. Languages, 2(3), 15. https://doi.org/10.3390/languages2030015
