Numerical Investigation on the Heat Transfer of n-Decane in a Horizontal Channel with Axially Nonuniform Heat Flux under Supercritical Pressure
Abstract
:1. Introduction
2. Model Description
2.1. Geometry Description and Boundary Conditions
2.2. Solution Methods and Boundary Conditions
2.3. Turbulence Model and Validation
2.4. Mesh Independence Analysis
3. Results and Discussion
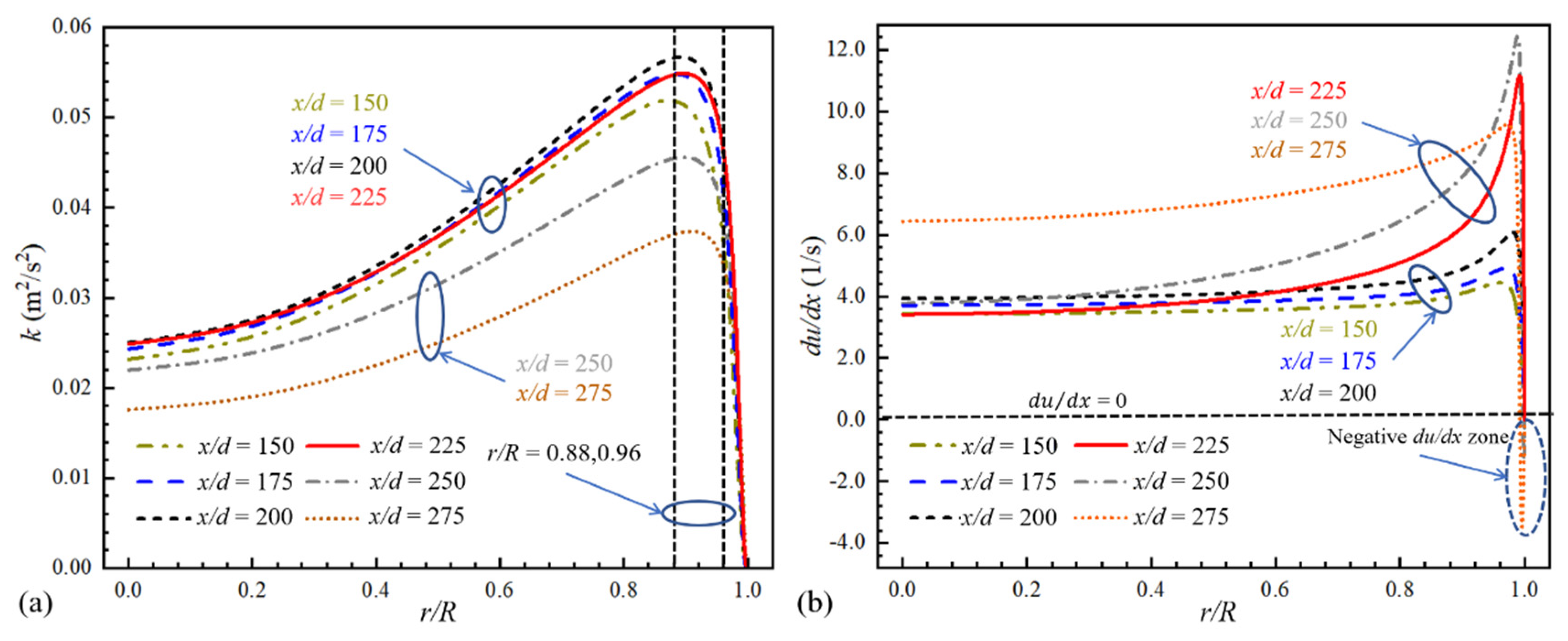
3.1. Mechanism of the First HTD under Uniform Heat Flux
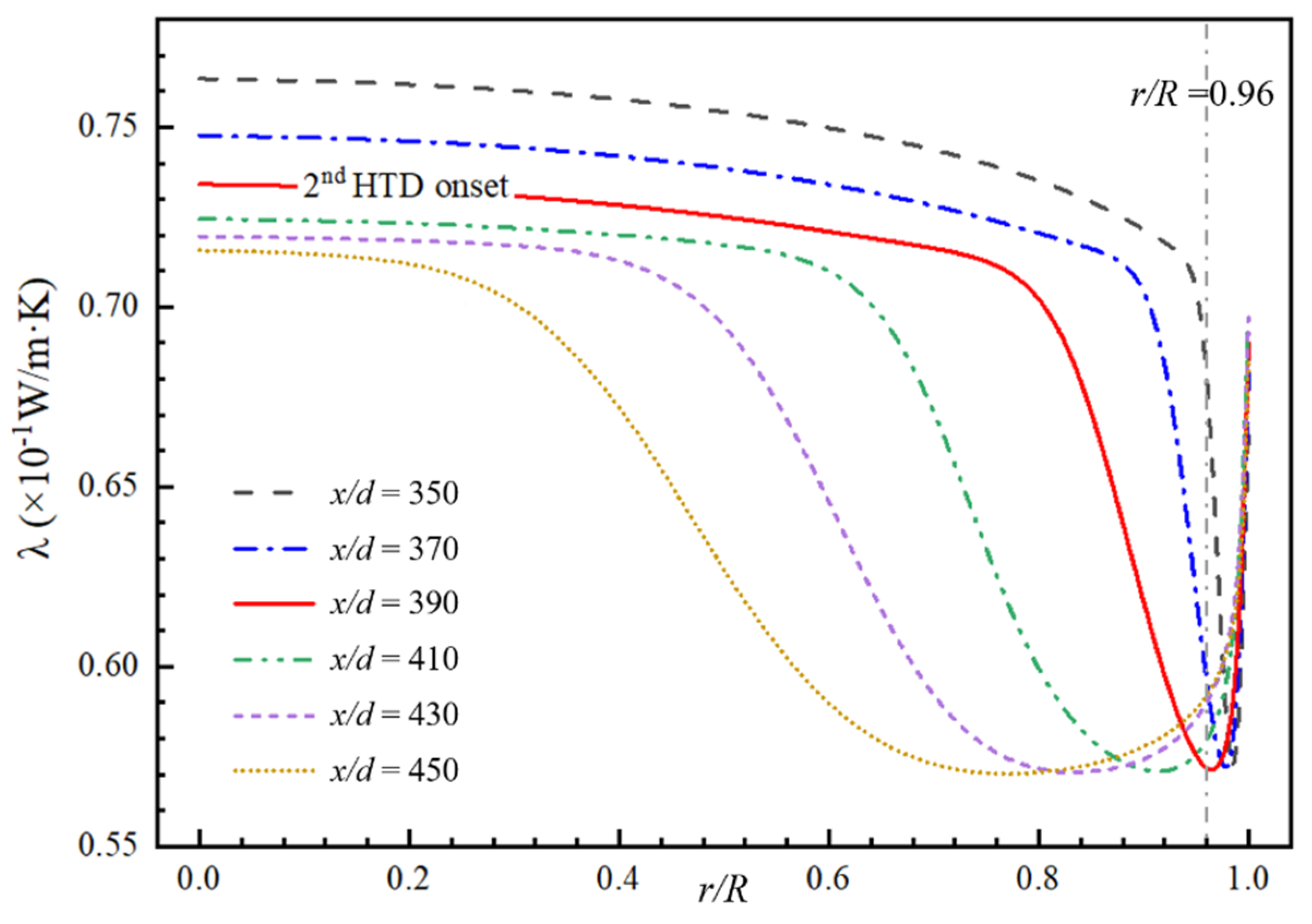
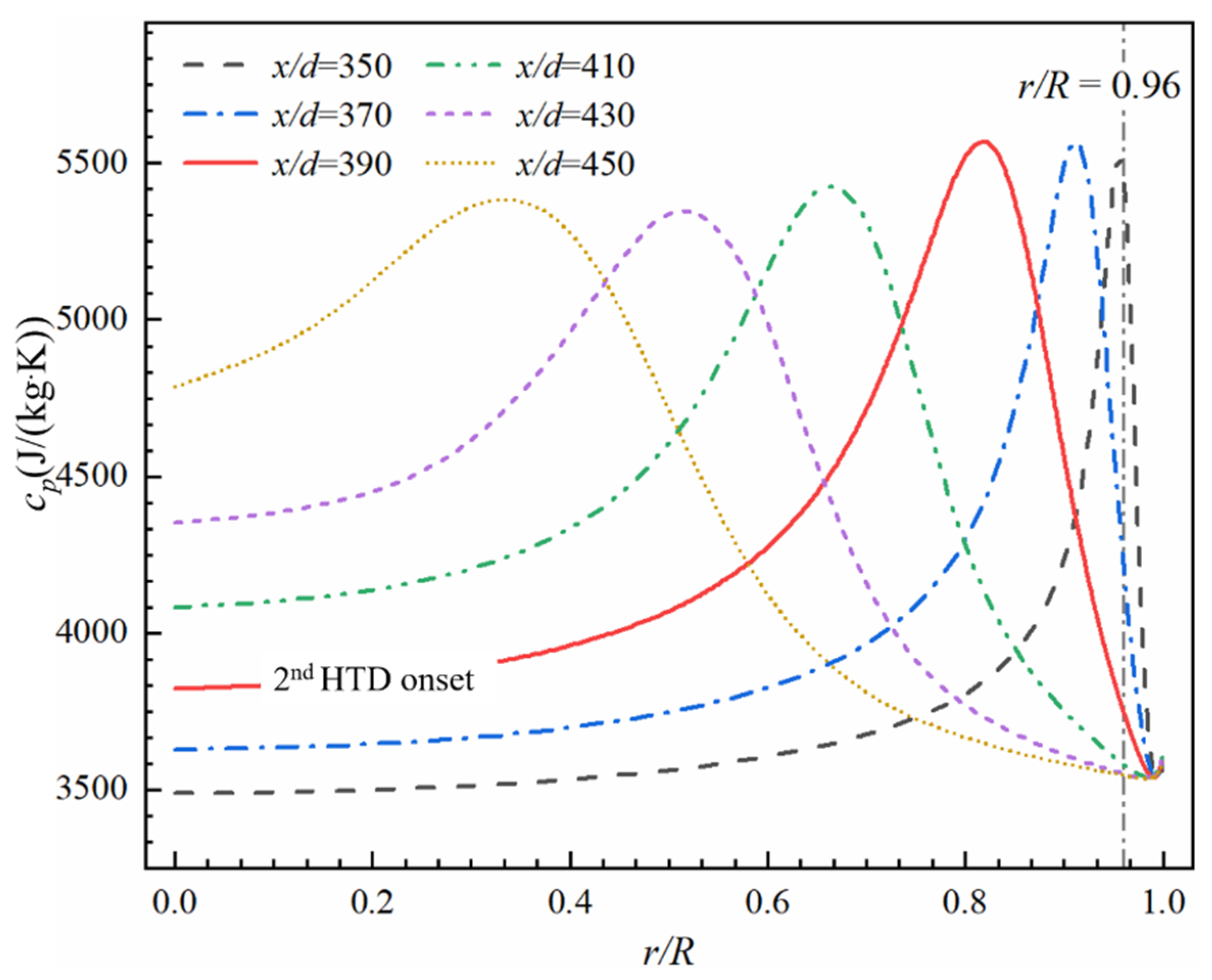
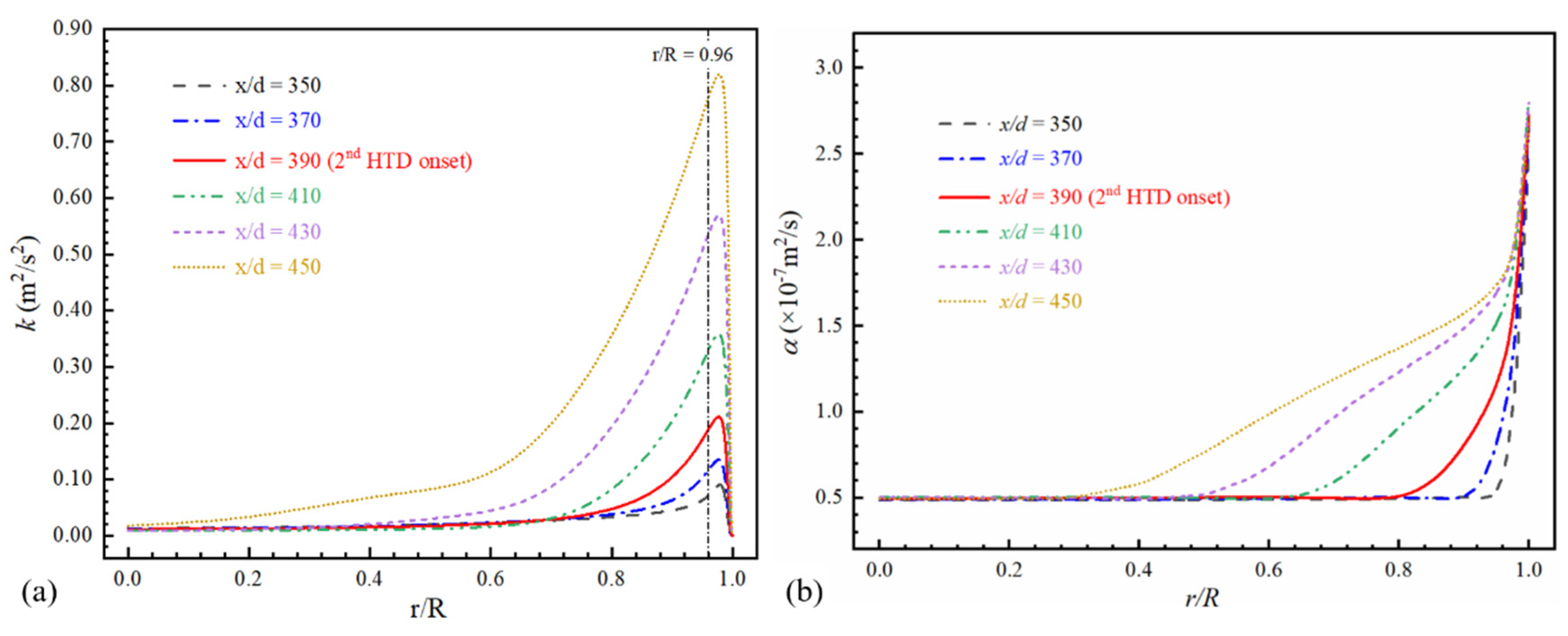
3.2. Mechanism of the Second HTD under Uniform Heat Flux
3.3. Heat Transfer under Axially Nonuniform Heat Flux
3.3.1. Evolution of First HTD under Axially Nonuniform Heat Flux
3.3.2. Evolution of Second HTD under Axially Nonuniform Heat Flux
3.3.3. Cooling Effect under Axially Nonuniform Heat Flux
4. Conclusions
- (1)
- The first HTD, which tends to occur where Tw approaches Tpc, is mainly due to the flow acceleration in the near-wall region and local thickening of the viscous sublayer. When Tw > Tpc, the density variation rate of the near-wall thin layer fluid decreases rapidly, which weakens the axial acceleration capability and thickens the viscous sublayer. The fluid residence time in the boundary layer increases and the heat transfer from the heated wall to the core region is weakened.
- (2)
- The expansion of the low λ and cp region is the elementary inducement to the second HTD. The range of low-λ and -cp regions and turbulence intensity jointly determine the degree of the second HTD.
- (3)
- Axially nonuniform heat flux with a peak at the high-temperature zone worsens the HTD obviously. Especially the second HTD, the minimum HTC deteriorates by 40.80% and the Tw_max increases from 857 K to 1071 K by 27.5%. Both types of HTD alleviate when the heat flux peak locates at the lower-fuel-temperature zone Tw < Tpc. From the aspect of the cooling effect, when comparing Case No.6 (Φ = 2, Lq = 350 d) with Case No.10 (Φ = 4, Lq = 100 d), although Φ increases, Tw_max falls with the improvement in head flux peak location. The cooling effect can be improved through careful matching of the thermal boundary and fuel temperature distribution. The heat flux distributions do not have a significant effect on the pressure drop, the maximum increase of which is 12.52% compared to Case No.1.
Author Contributions
Funding
Institutional Review Board Statement
Informed Consent Statement
Data Availability Statement
Conflicts of Interest
Nomenclature
| Bo* | buoyancy parameter |
| Cp | constant-pressure heat capacity, J/(kg·K) |
| d | diameter of a cooling tube, mm |
| et | total energy, J/kg |
| G | mass flow flux, kg/(s·m2) |
| g | gravitational acceleration, 9.8 m/s2 |
| Kv | thermal acceleration number |
| h | heat transfer coefficient, W/(m2·K) |
| k | turbulent kinetic energy, m2/s2 |
| L | length, mm |
| P(p) | pressure, Pa |
| Pr | Prandtl number |
| q | heat flux, W/m2 |
| r | radial coordinate, mm |
| R | radius of a cooling tube, mm |
| Re | Reynolds number |
| T | temperature, K |
| Tb | bulk temperature, K |
| velocity vector, m/s | |
| V | velocity, m/s |
| x | axial coordinate, mm |
| y | radial coordinate, mm |
| y+ | dimensionless wall distance |
| Greek symbol | |
| λ | thermal conductivity, W/(m·K) |
| ρ | density, kg/m3 |
| μ | viscosity, Pa·s |
| τ | viscous stress tensor, N/m2 |
| ω | specific dissipation rate, 1/s |
| Φ | degree of heat flux nonuniformity |
| Subscripts | |
| b | bulk |
| c | critical |
| f | fuel |
| in | inlet parameter |
| pc | pseudo-critical |
| w | wall |
References
- Segal, C. The Scramjet Engine: Processes and Characteristics; Cambridge University Press: Cambridge, UK, 2009. [Google Scholar]
- Wang, Y.; Cheng, K.; Tang, J.; Liu, X.; Bao, W. Analysis of the maximum flight Mach number of hydrocarbon-fueled scramjet engines under the flight cruising constraint and the combustor cooling requirement. Aerosp. Sci. Technol. 2020, 98, 105594. [Google Scholar] [CrossRef]
- Gou, J.-J.; Yan, Z.-W.; Hu, J.-X.; Gao, G.; Gong, C.-L. The heat dissipation, transport and reuse management for hypersonic vehicles based on regenerative cooling and thermoelectric conversion. Aerosp. Sci. Technol. 2021, 108, 106373. [Google Scholar] [CrossRef]
- Sun, X.; Meng, H.; Zheng, Y. Asymmetric heating and buoyancy effects on heat transfer of hydrocarbon fuel in a horizontal square channel at supercritical pressures. Aerosp. Sci. Technol. 2019, 93, 105358. [Google Scholar] [CrossRef]
- Qin, J.; Zhang, S.; Bao, W.; Zhou, W.; Yu, D. Thermal management method of fuel in advanced aeroengines. Energy 2013, 49, 459–468. [Google Scholar] [CrossRef]
- Jiang, Y.; Qin, J.; Xu, Y.; Zhang, S.; Chetehouna, K.; Gascoin, N.; Bao, W. The influences of the header geometry on hydrocarbon fuel flow distribution in compact parallel channels. Aerosp. Sci. Technol. 2018, 79, 318–327. [Google Scholar] [CrossRef]
- Liu, Z.; Bi, Q.; Guo, Y.; Yan, J.; Yang, Z. Convective heat transfer and pressure drop characteristics of near-critical-pressure hydrocarbon fuel in a minichannel. Appl. Therm. Eng. 2013, 51, 1047–1054. [Google Scholar] [CrossRef]
- Sobel, D.R.; Spadaccini, L.J. Hydrocarbon fuel cooling technologies for advanced propulsion. J. Eng. Gas Turbines Power-Trans. Asme 1997, 119, 344–351. [Google Scholar] [CrossRef]
- Qin, J.; Zhang, S.; Bao, W.; Jia, Z.; Yu, B.; Zhou, W. Experimental study on the performance of recooling cycle of hydrocarbon fueled scramjet engine. Fuel 2013, 108, 334–340. [Google Scholar] [CrossRef]
- Lei, X.; Li, H.; Zhang, W.; Dinh, N.T.; Guo, Y.; Yu, S. Experimental study on the difference of heat transfer characteristics between vertical and horizontal flows of supercritical pressure water. Appl. Therm. Eng. 2017, 113, 609–620. [Google Scholar] [CrossRef] [Green Version]
- Yamagata, K.; Nishikawa, K.; Hasegawa, S.; Fujii, T.; Yoshida, S. Forced convective heat transfer to supercritical water flowing in tubes. Int. J. Heat Mass Transf. 1972, 15, 2575–2593. [Google Scholar] [CrossRef]
- Schatte, G.A.; Kohlhepp, A.; Wieland, C.; Spliethoff, H. Development of a new empirical correlation for the prediction of the onset of the deterioration of heat transfer to supercritical water in vertical tubes. Int. J. Heat Mass Transf. 2016, 102, 133–141. [Google Scholar] [CrossRef]
- Koshizuka, S.; Takano, N.; Oka, Y. Numerical analysis of deterioration phenomena in heat transfer to supercritical water. Int. J. Heat Mass Transf. 1995, 38, 3077–3084. [Google Scholar] [CrossRef]
- Lei, X.; Zhang, J.; Gou, L.; Zhang, Q.; Li, H. Experimental study on convection heat transfer of supercritical CO2 in small upward channels. Energy 2019, 176, 119–130. [Google Scholar] [CrossRef]
- Bovard, S.; Abdi, M.; Khosravi-Nikou, M.; Daryasafar, A. Numerical investigation of heat transfer in supercritical CO2 and water turbulent flow in circular tubes. J. Supercrit. Fluids 2017, 119, 88–103. [Google Scholar] [CrossRef]
- Jiang, P.-X.; Zhang, Y.; Xu, Y.-J.; Shi, R.-F. Experimental and numerical investigation of convection heat transfer of CO2 at supercritical pressures in a vertical tube at low Reynolds numbers. Int. J. Therm. Sci. 2008, 47, 998–1011. [Google Scholar] [CrossRef]
- Jiang, P.-X.; Liu, B.; Zhao, C.-R.; Luo, F. Convection heat transfer of supercritical pressure carbon dioxide in a vertical micro tube from transition to turbulent flow regime. Int. J. Heat Mass Transf. 2013, 56, 741–749. [Google Scholar] [CrossRef]
- Jiang, P.-X.; Xu, Y.-J.; Lv, J.; Shi, R.-F.; He, S.; Jackson, J. Experimental investigation of convection heat transfer of CO2 at super-critical pressures in vertical mini-tubes and in porous media. Appl. Therm. Eng. 2004, 24, 1255–1270. [Google Scholar] [CrossRef]
- Jiang, P.-X.; Zhang, Y.; Zhao, C.-R.; Shi, R.-F. Convection heat transfer of CO2 at supercritical pressures in a vertical mini tube at relatively low reynolds numbers. Exp. Therm. Fluid Sci. 2008, 32, 1628–1637. [Google Scholar] [CrossRef]
- Hobold, G.M.; da Silva, A.K. Thermal behavior of supercritical fluids near the critical point. Numer. Heat Transf. Part A-Appl. 2016, 69, 545–557. [Google Scholar] [CrossRef]
- Kiran, E.; Brunner, G.; Smith, R.L.; Cocero, M.J.A.; Welch, A. Preface The 30th Year Special issue of the Journal of Supercritical Fluids- Perspectives and Opinions on Current State and Future Directions. J. Supercrit. Fluids 2018, 134, 21–27. [Google Scholar] [CrossRef]
- Li, Z.-H.; Jiang, P.-X.; Zhao, C.-R.; Zhang, Y. Experimental investigation of convection heat transfer of CO2 at supercritical pressures in a vertical circular tube. Exp. Therm. Fluid Sci. 2010, 34, 1162–1171. [Google Scholar] [CrossRef]
- Huang, D.; Li, W. Heat transfer deterioration of aviation kerosene flowing in mini tubes at supercritical pressures. Int. J. Heat Mass Transf. 2017, 111, 266–278. [Google Scholar] [CrossRef] [Green Version]
- Wang, Y.; Li, S.; Dong, M. Numerical Study on Heat Transfer Deterioration of Supercritical n-Decane in Horizontal Circular Tubes. Energies 2014, 7, 7535–7554. [Google Scholar] [CrossRef] [Green Version]
- Sun, F.; Li, Y.; Manca, O.; Xie, G. An evaluation on the laminar effect of buoyancy-driven supercritical hydrocarbon fuel flow and heat transfer characteristics. Int. J. Heat Mass Transf. 2019, 142, 118414. [Google Scholar] [CrossRef]
- Jackson, J.; Cotton, M.; Axcell, B. Studies of mixed convection in vertical tubes. Int. J. Heat Fluid Flow 1989, 10, 2–15. [Google Scholar] [CrossRef]
- Jackson, J. Fluid flow and convective heat transfer to fluids at supercritical pressure. Nucl. Eng. Des. 2013, 264, 24–40. [Google Scholar] [CrossRef]
- Huang, D.; Wu, Z.; Sunden, B.; Li, W. A brief review on convection heat transfer of fluids at supercritical pressures in tubes and the recent progress. Appl. Energy 2016, 162, 494–505. [Google Scholar] [CrossRef]
- Kim, D.E.; Kim, M.-H. Experimental investigation of heat transfer in vertical upward and downward supercritical CO2 flow in a circular tube. Int. J. Heat Fluid Flow 2011, 32, 176–191. [Google Scholar] [CrossRef]
- Zhang, C.; Xu, G.; Gao, L.; Tao, Z.; Deng, H.; Zhu, K. Experimental investigation on heat transfer of a specific fuel (RP-3) flows through downward tubes at supercritical pressure. J. Supercrit. Fluids 2012, 72, 90–99. [Google Scholar] [CrossRef]
- Fu, Y.; Huang, H.; Wen, J.; Xu, G.; Zhao, W. Experimental investigation on convective heat transfer of supercritical RP-3 in vertical miniature tubes with various diameters. Int. J. Heat Mass Transf. 2017, 112, 814–824. [Google Scholar] [CrossRef]
- Liu, B.; Zhu, Y.; Yan, J.-J.; Lei, Y.; Zhang, B.; Jiang, P.-X. Experimental investigation of convection heat transfer of n-decane at supercritical pressures in small vertical tubes. Int. J. Heat Mass Transf. 2015, 91, 734–746. [Google Scholar] [CrossRef]
- Dang, G.; Zhong, F.; Zhang, Y.; Zhang, X. Numerical study of heat transfer deterioration of turbulent supercritical kerosene flow in heated circular tube. Int. J. Heat Mass Transf. 2015, 85, 1003–1011. [Google Scholar] [CrossRef] [Green Version]
- Sun, F.; Li, Y.; Manca, O.; Xie, G. On assessment of heat transfer deterioration of a channel with supercritical n-decane for scramjet engines cooling. Int. J. Heat Mass Transf. 2019, 135, 782–795. [Google Scholar] [CrossRef]
- Sun, F.; Li, Y.; Sunden, B.; Xie, G. The Behavior of Turbulent Heat Transfer Deterioration in Supercritical Hydrocarbon Fuel Flow Considering Thermal Resistance Distribution. Int. J. Therm. Sci. 2019, 141, 19–32. [Google Scholar] [CrossRef]
- Pu, H.; Li, S.; Dong, M.; Jiao, S.; Wang, Y.; Shang, Y. Convective heat transfer and flow resistance characteristics of supercritical pressure hydrocarbon fuel in a horizontal rectangular mini-channel. Exp. Therm. Fluid Sci. 2019, 108, 39–53. [Google Scholar] [CrossRef]
- Kurganov, V.; Kaptil’Ny, A. Velocity and enthalpy fields and eddy diffusivities in a heated supercritical fluid flow. Exp. Therm. Fluid Sci. 1992, 5, 465–478. [Google Scholar] [CrossRef]
- Duffey, R.B.; Pioro, I.L. Experimental heat transfer of supercritical carbon dioxide flowing inside channels (survey). Nucl. Eng. Des. 2005, 235, 913–924. [Google Scholar] [CrossRef]
- Polyakov, A. Heat transfer under supercritical pressures. Adv. Heat Transf. 1991, 21, 1–53. [Google Scholar]
- Lee, S.H.; Howell, J.R. Turbulent developing convective heat transfer in a tube for fluids near the critical point. Int. J. Heat Mass Transf. 1998, 41, 1205–1218. [Google Scholar] [CrossRef]
- Zhang, G.; Zhang, H.; Gu, H.; Yang, Y.; Cheng, X. Experimental and numerical investigation of turbulent convective heat transfer deterioration of supercritical water in vertical tube. Nucl. Eng. Des. 2012, 248, 226–237. [Google Scholar] [CrossRef]
- Yang, Z.; Bi, Q.; Liu, Z.; Guo, Y.; Yan, J. Heat transfer to supercritical pressure hydrocarbons flowing in a horizontal short tube. Exp. Therm. Fluid Sci. 2015, 61, 144–152. [Google Scholar] [CrossRef]
- Xu, K.; Sun, X.; Meng, H. Conjugate heat transfer, endothermic fuel pyrolysis and surface coking of aviation kerosene in ribbed tube at supercritical pressure. Int. J. Therm. Sci. 2018, 132, 209–218. [Google Scholar] [CrossRef]
- Feng, Y.; Qin, J.; Zhang, S.; Bao, W.; Cao, Y.; Huang, H. Modeling and analysis of heat and mass transfers of supercritical hydrocarbon fuel with pyrolysis in mini-channel. Int. J. Heat Mass Transf. 2015, 91, 520–531. [Google Scholar] [CrossRef]
- Ruan, B.; Meng, H.; Yang, V. Simplification of pyrolytic reaction mechanism and turbulent heat transfer of n-Decane at supercritical pressures. Int. J. Heat Mass Transf. 2014, 69, 455–463. [Google Scholar] [CrossRef]
- Urbano, A.; Nasuti, F. Conditions for the occurrence of heat transfer deterioration in light hydrocarbons flows. Int. J. Heat Mass Transf. 2013, 65, 599–609. [Google Scholar] [CrossRef]
- Urbano, A.; Nasuti, F. Onset of Heat Transfer Deterioration in Supercritical Methane Flow Channels. J. Thermophys. Heat Transf. 2013, 27, 298–308. [Google Scholar] [CrossRef]
- Wang, Y.-Z.; Hua, Y.-X.; Meng, H. Numerical Studies of Supercritical Turbulent Convective Heat Transfer of Cryogenic-Propellant Methane. J. Thermophys. Heat Transf. 2010, 24, 490–500. [Google Scholar] [CrossRef]
- Hua, Y.-X.; Wang, Y.-Z.; Meng, H. A numerical study of supercritical forced convective heat transfer of n-heptane inside a horizontal miniature tube. J. Supercrit. Fluids 2010, 52, 36–46. [Google Scholar] [CrossRef]
- Liang, J.; Liu, Z.; Pan, Y. Flight Acceleration Effect on Heat Transfer Deterioration of Actively Cooled Scramjet Engines. J. Thermophys. Heat Transf. 2016, 30, 279–287. [Google Scholar] [CrossRef]
- Lv, L.; Wen, J.; Fu, Y.; Quan, Y.; Zhu, J.; Xu, G. Numerical investigation on convective heat transfer of supercritical aviation kerosene in a horizontal tube under hyper gravity conditions. Aerosp. Sci. Technol. 2020, 105, 105962. [Google Scholar] [CrossRef]
- Chen, Y.; Li, Y.; Liu, D.; Sunden, B.; Xie, G. Influences of accelerating states on supercritical n-decane heat transfer in a horizontal tube applied for scramjet engine cooling. Aerosp. Sci. Technol. 2021, 109, 106424. [Google Scholar] [CrossRef]
- Xu, K.; Tang, L.; Meng, H. Numerical study of supercritical-pressure fluid flows and heat transfer of methane in ribbed cooling tubes. Int. J. Heat Mass Transf. 2015, 84, 346–358. [Google Scholar] [CrossRef]
- Sunden, B.A.; Wu, Z.; Huang, D. Comparison of heat transfer characteristics of aviation kerosene flowing in smooth and enhanced mini tubes at supercritical pressures. Int. J. Numer. Methods Heat Fluid Flow 2016, 26, 1289–1308. [Google Scholar] [CrossRef]
- Zhang, C.; Yao, Z.; Qin, J.; Bao, W. Experimental study on measurement and calculation of heat flux in supersonic combustor of scramjet. J. Therm. Sci. 2015, 24, 254–259. [Google Scholar] [CrossRef]
- Jiang, Y.; Qin, J.; Chetehouna, K.; Gascoin, N.; Bao, W. Effect of geometry parameters on the hydrocarbon fuel flow rate distribution in pyrolysis zone of SCRamjet cooling channels. Int. J. Heat Mass Transf. 2019, 141, 1114–1130. [Google Scholar] [CrossRef]
- Jiang, Y.; Qin, J.; Xu, Y.; Yu, W.; Zhang, S.; Chetehouna, K.; Gascoin, N.; Bao, W. The influences of variable sectional area design on improving the hydrocarbon fuel flow distribution in parallel channels under supercritical pressure. Fuel 2018, 233, 442–453. [Google Scholar] [CrossRef]
- Jiang, Y.; Qin, J.; Chetehouna, K.; Gascoin, N.; Bao, W. Parametric study on the hydrocarbon fuel flow rate distribution and cooling effect in non-uniformly heated parallel cooling channels. Int. J. Heat Mass Transf. 2018, 126, 267–276. [Google Scholar] [CrossRef]
- ANSYS Fluent Theory Guide Release 19.0; ANSYS Inc.: Canonsburg, PA, USA, 2018.
- Bao, W.; Zhang, S.; Qin, J.; Zhou, W.; Xie, K. Numerical analysis of flowing cracked hydrocarbon fuel inside cooling channels in view of thermal management. Energy 2014, 67, 149–161. [Google Scholar] [CrossRef]
- NIST Standard Reference Database Number 69; National Institute of Standards and Technology: Gaithersburg, MD, USA, 2022.
- Liao, S.M.; Zhao, T. Measurements of Heat Transfer Coefficients From Supercritical Carbon Dioxide Flowing in Horizontal Mini/Micro Channels. J. Heat Transf. 2002, 124, 413–420. [Google Scholar] [CrossRef]
- Ackerman, J.W. Pseudoboiling heat transfer to supercritical pressure water in smooth and ribbed tubes. Trans. ASME J. Heat Transf. 1970, 92, 490–498. [Google Scholar] [CrossRef]
- Zhu, Y.; Liu, B.; Jiang, P. Experimental and Numerical Investigations on n-Decane Thermal Cracking at Supercritical Pressures in a Vertical Tube. Energy Fuels 2014, 28, 466–474. [Google Scholar] [CrossRef]



















| References | Fluid | din (mm) | dout (mm) | Lh (mm) | Tin (K) | Mass Flow (g/s) | Thermal Boundary | P (MPa) |
|---|---|---|---|---|---|---|---|---|
| Ackerman [63] | water | 24.38 | 27.66 | 1828.8 | 583.00 | 189.90 | 284.00 kW/m2 Nominal heat flux | 24.80 |
| Zhu et al. [64] | n-Decane | 2.00 | 3.00 | 940 | 625.93 | 0.6083 | 648.89 W Volume heat source in wall | 4.19 |
| Case A | Case B | Case C | Case D | |
|---|---|---|---|---|
| Thickness of 1st layer (mm) | 10−6 | 10−6 | 10−6 | 10−6 |
| Radius growth factor | 1.05 | 1.05 | 1.05 | 1.05 |
| y+ | <1 | <1 | <1 | <1 |
| Axial No. × Radius No. (Heated section) | 483 × 33 | 695 × 47 | 1000 × 67 | 1440 × 96 |
| Total elements | 16,282 (coarsest) | 33,212 | 67,928 | 139,579 (finest) |
| Case No | No.1 | No.2 | No.3 | No.4 | No.5 | No.6 | No.7 | No.8 | No.9 | No.10 | No.11 |
|---|---|---|---|---|---|---|---|---|---|---|---|
| Pressure drop (kPa) | 67.47 | 67.61 | 68.00 | 68.30 | 68.40 | 68.05 | 67.04 | 65.52 | 63.71 | 75.92 | 71.11 |
Publisher’s Note: MDPI stays neutral with regard to jurisdictional claims in published maps and institutional affiliations. |
© 2022 by the authors. Licensee MDPI, Basel, Switzerland. This article is an open access article distributed under the terms and conditions of the Creative Commons Attribution (CC BY) license (https://creativecommons.org/licenses/by/4.0/).
Share and Cite
Zhang, J.; Zhou, Q.; Zhao, X.; Jiang, Y.; Fan, W. Numerical Investigation on the Heat Transfer of n-Decane in a Horizontal Channel with Axially Nonuniform Heat Flux under Supercritical Pressure. Aerospace 2022, 9, 326. https://doi.org/10.3390/aerospace9060326
Zhang J, Zhou Q, Zhao X, Jiang Y, Fan W. Numerical Investigation on the Heat Transfer of n-Decane in a Horizontal Channel with Axially Nonuniform Heat Flux under Supercritical Pressure. Aerospace. 2022; 9(6):326. https://doi.org/10.3390/aerospace9060326
Chicago/Turabian StyleZhang, Jin, Qilin Zhou, Xudong Zhao, Yuguang Jiang, and Wei Fan. 2022. "Numerical Investigation on the Heat Transfer of n-Decane in a Horizontal Channel with Axially Nonuniform Heat Flux under Supercritical Pressure" Aerospace 9, no. 6: 326. https://doi.org/10.3390/aerospace9060326
APA StyleZhang, J., Zhou, Q., Zhao, X., Jiang, Y., & Fan, W. (2022). Numerical Investigation on the Heat Transfer of n-Decane in a Horizontal Channel with Axially Nonuniform Heat Flux under Supercritical Pressure. Aerospace, 9(6), 326. https://doi.org/10.3390/aerospace9060326
