2D Numerical Study on the Flow Mechanisms of Boundary Layer Ingestion through Power-Based Analysis
Abstract
:1. Introduction
2. Power-Based Analysis in Computation Fluid Dynamics
2.1. Compatibility between Finite Volume Method and Power-Based Analysis
2.2. Computational Domain
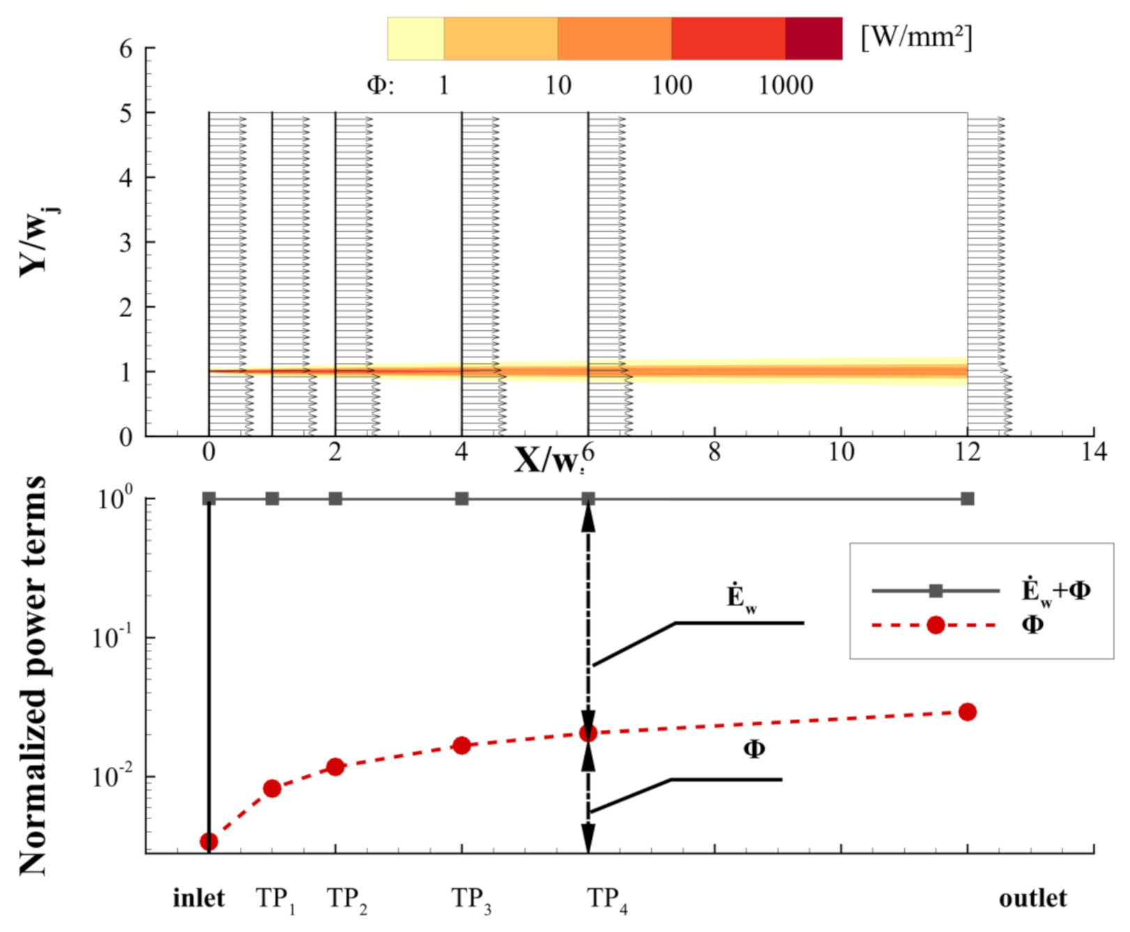
2.3. Power Bookkeeping of Laminar Jet
3. Mechanisms of Boundary Layer Ingestion in Laminar Flow
3.1. An Actuator Disc Model in Laminar Flow
3.2. A Flat Plate Model in Laminar Flow
3.3. An Integrated Vehicle in Laminar Flow
4. Power Bookkeeping in Turbulent Flows
4.1. Flat Plate in Turbulent Flow
4.2. An Integrated Vehicle in Turbulent Flow
5. Conclusions
- The error of power imbalance between input and output is associated with the numerical error of simulations. It depends on the complexity of the simulation. For instance, the introduction of UDF and turbulent model tends to increase the error. In this study, the smallest error is 0.26% in the case of laminar jet, whereas the largest error is 3.1% in the case of BLI-integrated vehicles in turbulent flow.
- This study validates the power-based method, illustrating typical processes of power conversion in the study of BLI. The actuator disc model represents a typical propulsor which converts input power PK into thrust power TV∞, energy flow rate of jet Ėw at the outlet plane, and viscous dissipation Φ within the control volume. The simulation shows that the ratio between TV∞ and input power is 65.4%, as a propulsive efficiency; 2D flat plate represents a body which converts the input power DV∞ into viscous dissipation in boundary layer ΦBL and energy flow rate of wake Ėw. Results show that the ratio of Ėw to DV∞ is about 23.5% in laminar flow and 10.8% in turbulent flow; The integrated vehicle denotes a BLI configuration aircraft that translates input power PK into net force power NV∞, energy flow rate Ėw at the outlet plane and viscous dissipation Φ within the control volume. It shows that Ėw keeps increasing along the x axis in the boundary layer and is promptly eliminated through a wake filling actuator disc. Ėw as a transient power causes the propulsive coefficient larger than unity. The propulsive coefficient of the wake filling actuator disc is 1.38 in laminar flow and 1.12 in turbulent flow.
- The mechanism of BLI saving power is due to the elimination of the energy flow rate of the wake. Laminar flow simulations show that the integrated system could save power consumption by 13.7% (with regard to the plate in isolate), slightly lower than the elimination of wake power (20.1%). The difference between power saving and wake elimination is due to the generation of the net force power NV∞ of the vehicle (3.6%). Turbulent flow simulations show that the power saving due to BLI is 9.3%. This value is lower than the saving in the laminar flow because the portion of available wake power is reduced. Results show that the elimination of wake power (5.8%) is less than the power saving, the missing part of power saving can be attributed to the simulation error of power imbalance (3.1%).
- The aerodynamic interaction between body and propulsor is evidenced by the negative pressure gradient in the vicinity of TE. This interaction accelerates the flow in the boundary layer, therefore, changing the skin friction of the plate and viscous dissipation in the boundary layer ΦBL. Laminar flow simulations show that the skin friction of the plate is increased by 17.5%, ΦBL is increased by 8.6%. Turbulent flow simulations do not show the significant impact of interaction due to high simulation error.
Author Contributions
Funding
Institutional Review Board Statement
Informed Consent Statement
Data Availability Statement
Acknowledgments
Conflicts of Interest
References
- Daggett, D.L.; Kawai, R.; Geiselhart, K.A. Blended Wing Body Systems Studies: Boundary Layer Ingestion Inlets with Active Flow Control; NASA: Washington, DC, USA, 2003.
- Plas, A.; Crichton, D.; Sargeant, M.; Hynes, T.; Greitzer, E.; Hall, C.; Madani, V. Performance of a Boundary Layer Ingesting (BLI) Propulsion System. In Proceedings of the 45th AIAA Aerospace Sciences Meeting and Exhibit, AIAA Paper 2007-450, Reno, NV, USA, 8–11 January 2007. [Google Scholar]
- Felder, J.; Hyun, K.; Brown, G. Turboelectric Distributed Propulsion Engine Cycle Analysis for Hybrid-wing-body Aircraft. In Proceedings of the 47th AIAA Aerospace Sciences Meeting, AIAA Paper 2009-1132, Orlando, FL, USA, 5–8 January 2009. [Google Scholar]
- Uranga, A.; Drela, M.; Greitzer, E.; Titchener, N.; Lieu, M.; Siu, N.; Huang, A.; Gatlin, G.M.; Hannon, J. Preliminary Experimental Assessment of the Boundary Layer Ingestion Benefit for the D8 Aircraft. In Proceedings of the 52nd Aerospace Sciences Meeting, AIAA Paper, National Harbor, MD, USA, 13–17 January 2014. [Google Scholar]
- Uranga, A.; Drela, M.; Hall, D.K.; Greitzer, E.M. Analysis of the Aerodynamic Benefit from Boundary Layer Ingestion for Transport Aircraft. AIAA J. 2018, 56, 4271–4281. [Google Scholar] [CrossRef]
- Hall, D.K.; Huang, A.C.; Uranga, A.; Greitzer, E.M.; Drela, M.; Sato, S. Boundary Layer Ingestion Propulsion Benefit for Transport Aircraft. J. Propul. Power 2017, 33, 1118–1129. [Google Scholar] [CrossRef]
- McClain, M. SAE Standard AIR4065A; Propeller/Propfan in-Flight Thrust Determination; SAE International: Warrendale, PA, USA, 2012. [Google Scholar]
- Drela, M. Power Balance in Aerodynamic Flows. AIAA J. 2009, 47, 1761–1771. [Google Scholar] [CrossRef] [Green Version]
- Arntz, A.; Atinault, O.; Merlen, A. Exergy-Based Formulation for Aircraft Aeropropulsive Performance Assessment: Theoretical Development. AIAA J. 2015, 53, 1627–1639. [Google Scholar] [CrossRef] [Green Version]
- Arntz, A.; Atinault, O. Exergy-Based Performance Assessment of a Blended Wing–Body with Boundary-Layer Ingestion. AIAA J. 2015, 53, 3766–3776. [Google Scholar] [CrossRef]
- Arntz, A.; Couilleaux, A.; Luquet, D.; Julienne, F. On the Use of Exergy as a Metric for Performance Assessment of CFD Turbomachines Flows Preliminary applications in Safran Aircraft Engines. In Proceedings of the 19th ISABE Conference, Canberra, Australia, 7−11 September 2019. [Google Scholar]
- Lv, P.; Ragni, D.; Hartuc, T.; Veldhuis, L.; Rao, A.G. Experimental Investigation of the Flow Mechanisms Associated with a Wake-Ingesting Propulsor. AIAA J. 2017, 55, 1332–1342. [Google Scholar] [CrossRef]
- Lv, P.; Rao, A.G.; Ragni, D.; Veldhuis, L. Performance Analysis of Wake and Boundary-Layer Ingestion for Aircraft Design. J. Aircr. 2016, 53, 1517–1526. [Google Scholar] [CrossRef]
- Uranga, A.; Drela, M.; Greitzer, E.M.; Hall, D.K.; Titchener, N.A.; Lieu, M.K.; Siu, N.M.; Casses, C.; Huang, A.C.; Gatlin, G.M. Boundary Layer Ingestion Benefit of the D8 Transport Aircraft. AIAA J. 2017, 55, 3693–3708. [Google Scholar] [CrossRef] [Green Version]
- Anderson, J.D.; Wendt, J.F. Discretization of Partial Differential Equations. In Computational Fluid Dynamics, 3rd ed.; Springer: Berlin, Germany, 2009; pp. 87–104. [Google Scholar]
- White, F.M. Fundamental Equations of Compressible Viscous Flow. In Viscous Fluid Flow, 3rd ed.; McGraw-Hill: New York, NY, USA, 2006; pp. 59–95. [Google Scholar]
- Panton, R.L. Incompressible Flow, 4th ed.; Willy: Hoboken, NJ, USA, 2013; pp. 205–207. [Google Scholar]
- Sato, S. The Power Balance Method for Aerodynamic Performance Assessment. Ph.D. Thesis, Massachusetts Institute of Technology, Cambridge, MA, USA, 2012. [Google Scholar]
- Lv, P. Theoretical and Experimental Investigation of Boundary Layer Ingestion for Aircraft Application. Ph.D. Thesis, Delft University of Technology, Delft, The Netherlands, 2019. [Google Scholar]
- Versteeg, H.K.; Malalasekera, W. Solution Algorithms for Presure-Velocity Coupling in Steady Flows. In An Introduction to Computational Fluid Dynamics: The Finite Volume Method, 2nd ed.; Pearson: Harlow, UK, 2007; pp. 179–211. [Google Scholar]
- Ansys Fluent Theory Guide; ANSYS, Inc.: Canonsburg, PA, USA, 2011.
- Veldman, A. The Convection-Diffusion Equation. In Computational Fluid Dynamics; Institute for Mathematics and Computer Science: Groningen, The Netherlands, 2012; pp. 1–47. [Google Scholar]
- Jasak, H. Error Analysis and Estimation for the Finite Volume Method with Applications to Fluid Flows. Ph.D. Thesis, Imperial College London, London, UK, 1996. [Google Scholar]
- Smith, L.H. Wake Ingestion Propulsion Benefit. J. Propul. Power 1993, 9, 74–82. [Google Scholar] [CrossRef]
- Menter, F.R. Two-equation Eddy-viscosity Turbulence Models for Engineering Applications. AIAA J. 1994, 32, 1598–1605. [Google Scholar] [CrossRef] [Green Version]
- Schlichting, H.; Gersten, K. Boundary-Layer Theory; Springer: Berlin, Germany, 2017. [Google Scholar]














| Cell Number | Φ (Watt) | Relative Difference |
|---|---|---|
| 4680 | 0.008521953 | 0.9% |
| 18,720 | 0.008533576 | 0.8% |
| 74,880 | 0.008569048 | 0.4% |
| 299,520 | 0.008603587 | 0.0% |
| Plane | x/wj | Ėw,i/Ėw,inlet | Φi/Ėw,inlet | (Ėw,i + Φi)/Ėw,inlet | (Ėw,i + Φi − Ėw,inlet)/Ėw,inlet |
|---|---|---|---|---|---|
| Inlet | 0 | 100.00% | 0.00% | 100.00% | 0.00% |
| TP1 | 1 | 99.05% | 0.82% | 99.86% | −0.14% |
| TP2 | 2 | 98.67% | 1.17% | 99.83% | −0.16% |
| TP3 | 4 | 98.13% | 1.67% | 99.80% | −0.20% |
| TP3 | 4 | 98.13% | 1.67% | 99.80% | −0.20% |
| outlet | 12 | 96.84% | 2.92% | 99.73% | −0.26% |
| Case | Cell Number | Φ (Watt) | Relative Difference |
|---|---|---|---|
| Actuator disc | 11,200 | 0.1882855 | 29.6% |
| 38,682 | 0.262080725 | 2.0% | |
| 154,728 | 0.266107388 | 0.5% | |
| 618,912 | 0.26752029 | 0.0% | |
| Flat plate | 11,200 | 0.10309339 | 1.5% |
| 38,682 | 0.10171 | 0.1% | |
| 154,728 | 0.101594618 | 0.0% | |
| 618,912 | 0.10157693 | 0.0% | |
| Integrated vehicle | 11,200 | 0.08831931 | 0.5% |
| 38,682 | 0.08800168 | 0.1% | |
| 154,728 | 0.087902136 | 0.0% | |
| 618,912 | 0.087894 | 0.0% |
| Case | Cell Number | Φ (Watt) | Relative Difference |
|---|---|---|---|
| Flat plate | 6000 | 2075.95 | 59.5% |
| 60,696 | 5307.58 | 3.5% | |
| 223,383 | 5165.54 | 0.7% | |
| 877,608 | 5130.42 | 0.0% | |
| Integrated vehicle | 6000 | 1512.897888 | 67.7% |
| 60,696 | 4811.02 | 2.8% | |
| 223,383 | 4698.036482 | 0.3% | |
| 877,608 | 4682.1 | 0.0% |
| Cd | (Ew/DV∞)TE | |
|---|---|---|
| k-ω-sst model simulation | 0.002879 | 10.8% |
| S-A model simulation | 0.003101 | 10.2% |
| Schlichting’s solution | 0.0031 | - |
| Laminar simulation | 0.017374 | 23.5% |
| Blasius’ solution | 0.016045 | - |
Publisher’s Note: MDPI stays neutral with regard to jurisdictional claims in published maps and institutional affiliations. |
© 2022 by the authors. Licensee MDPI, Basel, Switzerland. This article is an open access article distributed under the terms and conditions of the Creative Commons Attribution (CC BY) license (https://creativecommons.org/licenses/by/4.0/).
Share and Cite
Lv, P.; Zhang, M.; Cao, F.; Lin, D.; Mo, L. 2D Numerical Study on the Flow Mechanisms of Boundary Layer Ingestion through Power-Based Analysis. Aerospace 2022, 9, 184. https://doi.org/10.3390/aerospace9040184
Lv P, Zhang M, Cao F, Lin D, Mo L. 2D Numerical Study on the Flow Mechanisms of Boundary Layer Ingestion through Power-Based Analysis. Aerospace. 2022; 9(4):184. https://doi.org/10.3390/aerospace9040184
Chicago/Turabian StyleLv, Peijian, Mengmeng Zhang, Fei Cao, Defu Lin, and Li Mo. 2022. "2D Numerical Study on the Flow Mechanisms of Boundary Layer Ingestion through Power-Based Analysis" Aerospace 9, no. 4: 184. https://doi.org/10.3390/aerospace9040184
APA StyleLv, P., Zhang, M., Cao, F., Lin, D., & Mo, L. (2022). 2D Numerical Study on the Flow Mechanisms of Boundary Layer Ingestion through Power-Based Analysis. Aerospace, 9(4), 184. https://doi.org/10.3390/aerospace9040184

