Influence of Blade Fracture on the Flow of Rotor-Stator Systems with Centrifugal Superposed Flow
Abstract
:1. Introduction
2. Computational Setup
3. Results and Discussion
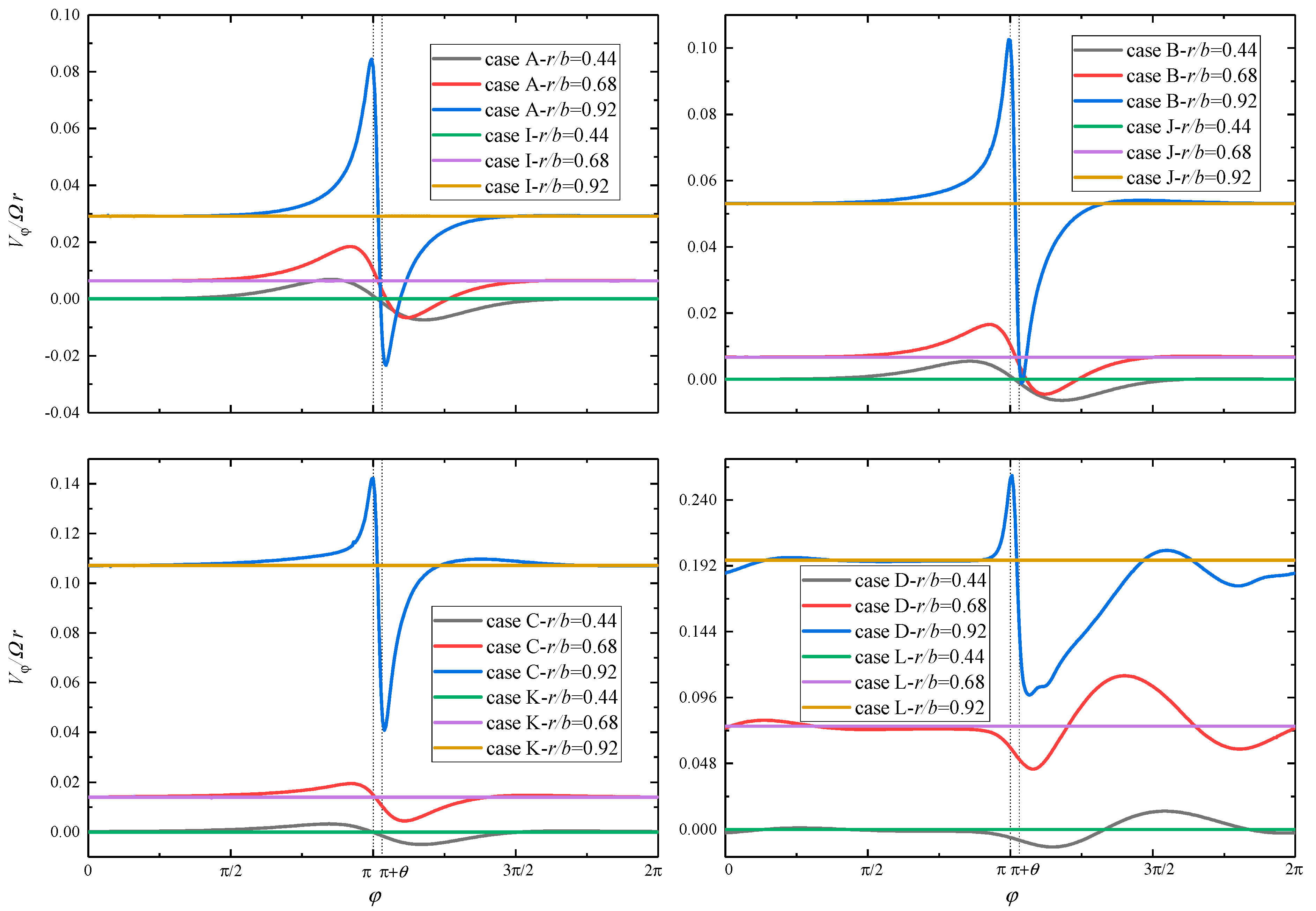
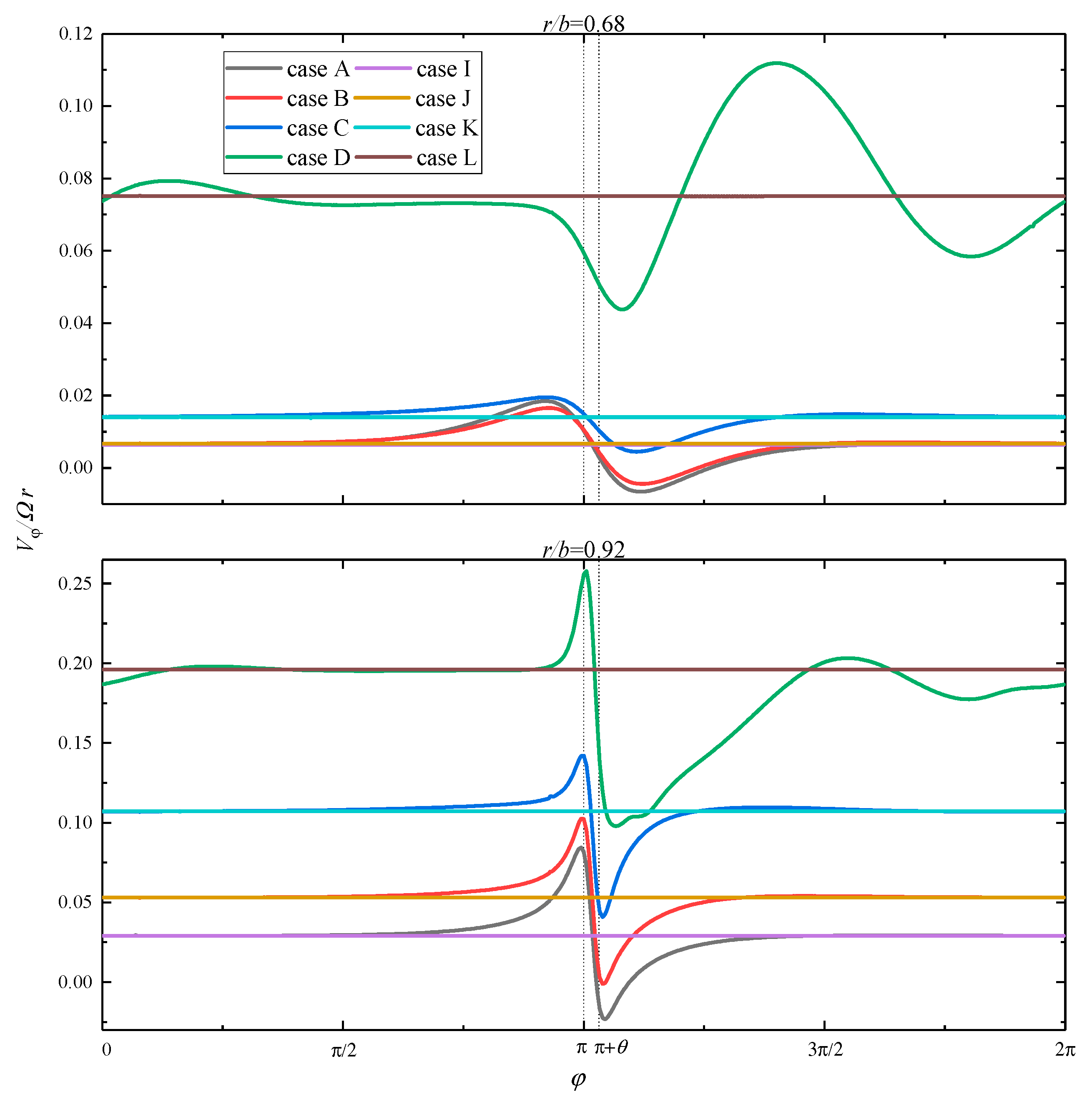
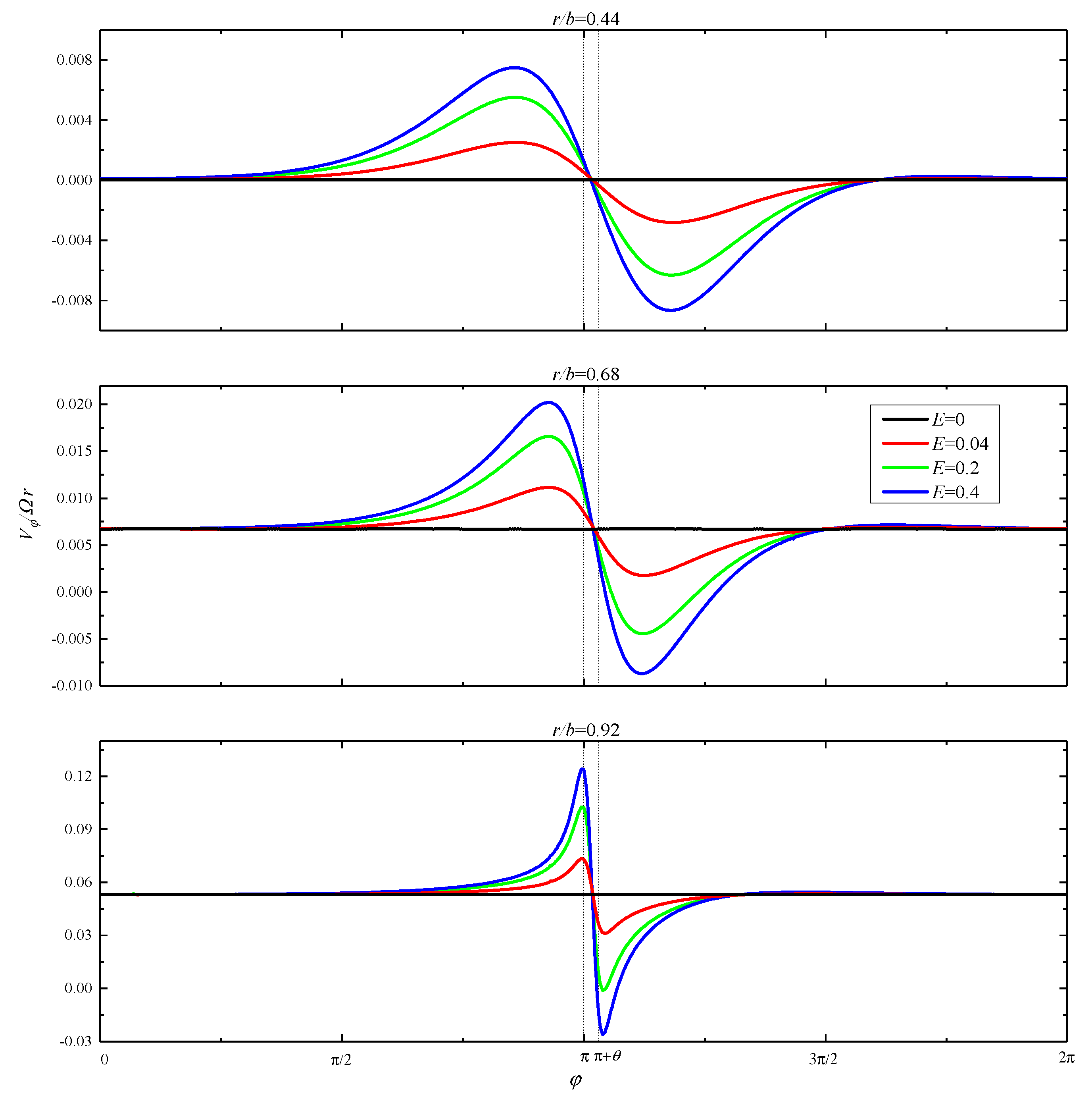
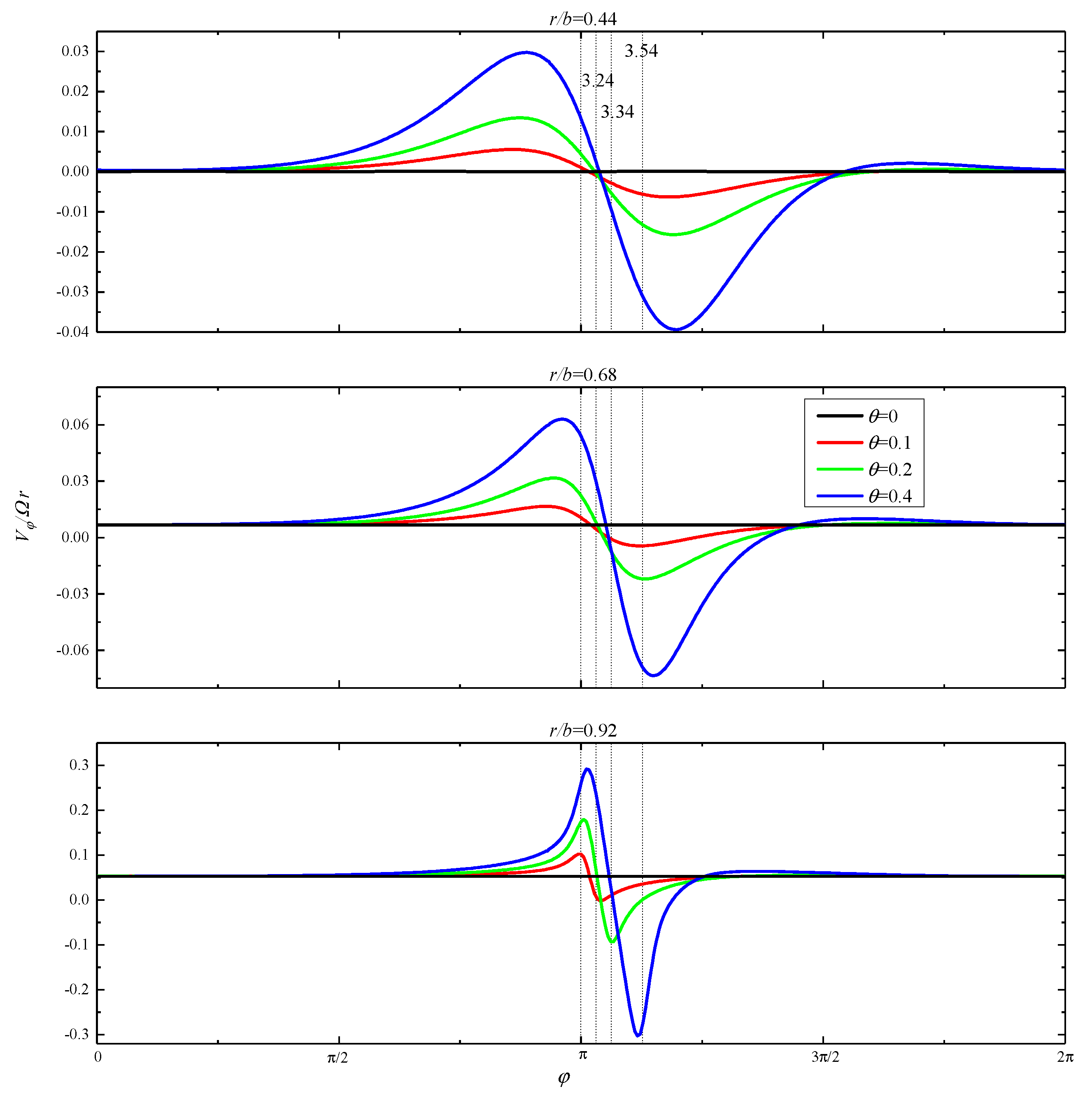
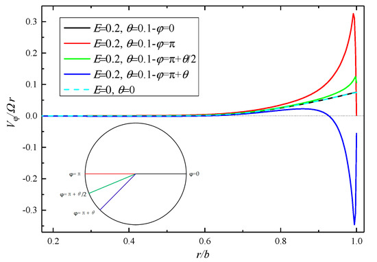
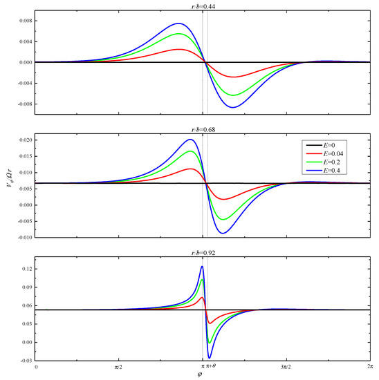
3.1. Swirl Ratio
3.2. Radial Velocity and Mass Flow Rate Distribution
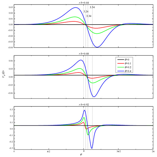
3.2.1. Radial Velocity
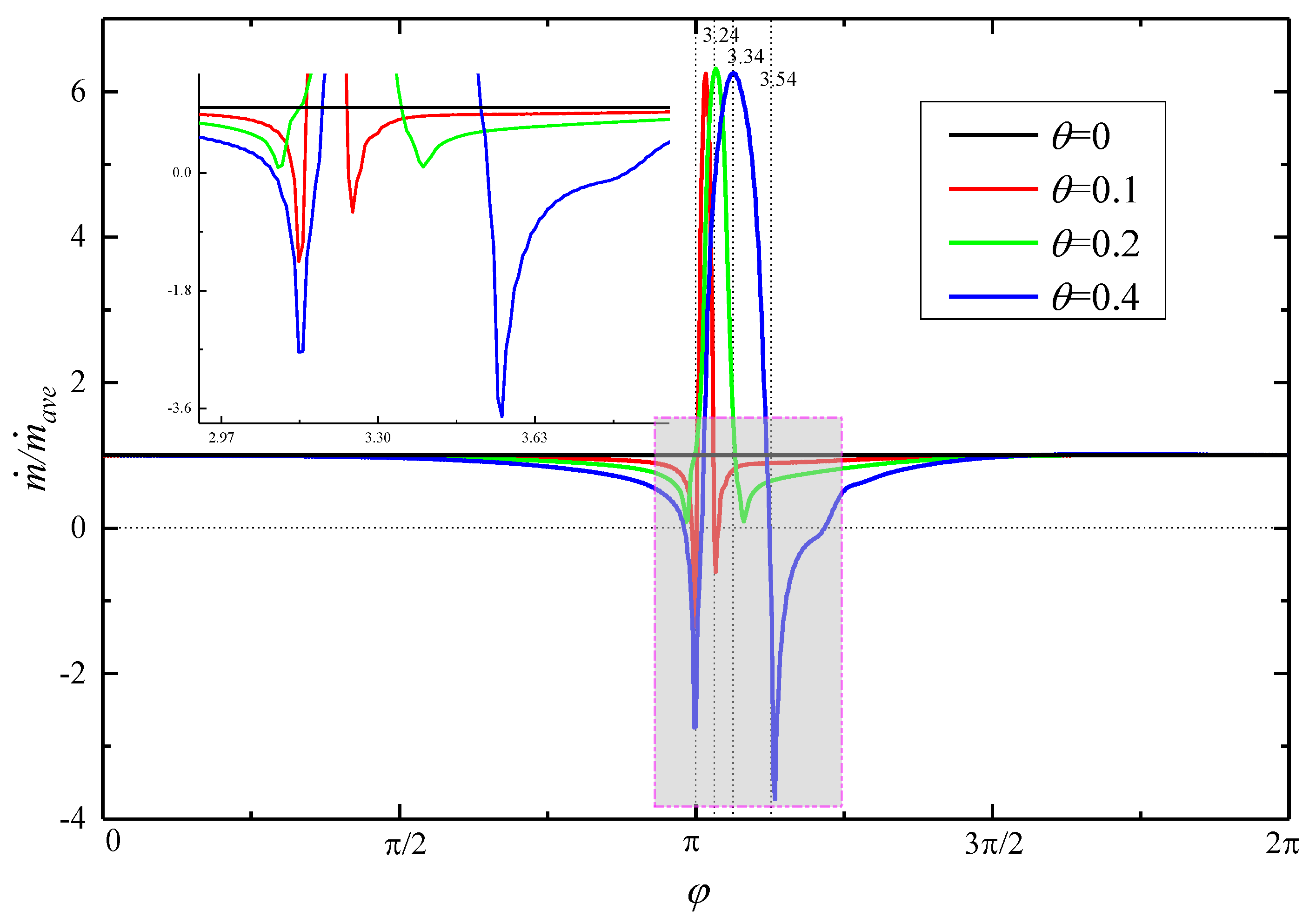
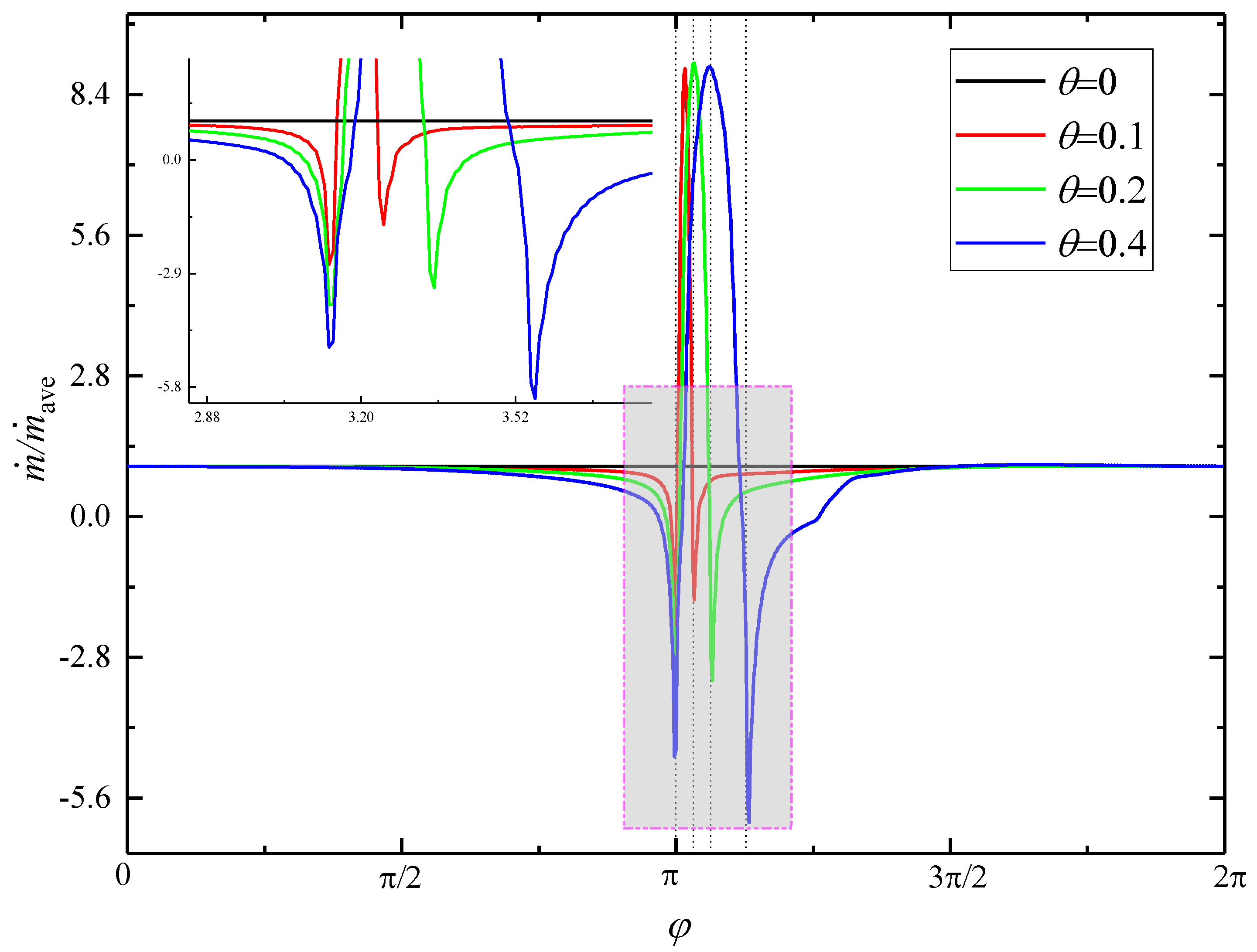
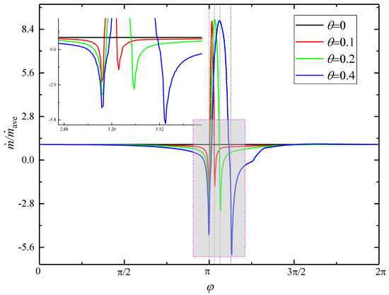
3.2.2. Mass Flow Rate
3.3. Pressure and Thrust
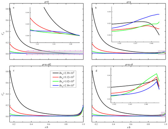
3.3.1. Pressure Coefficient
3.3.2. Thrust Coefficient
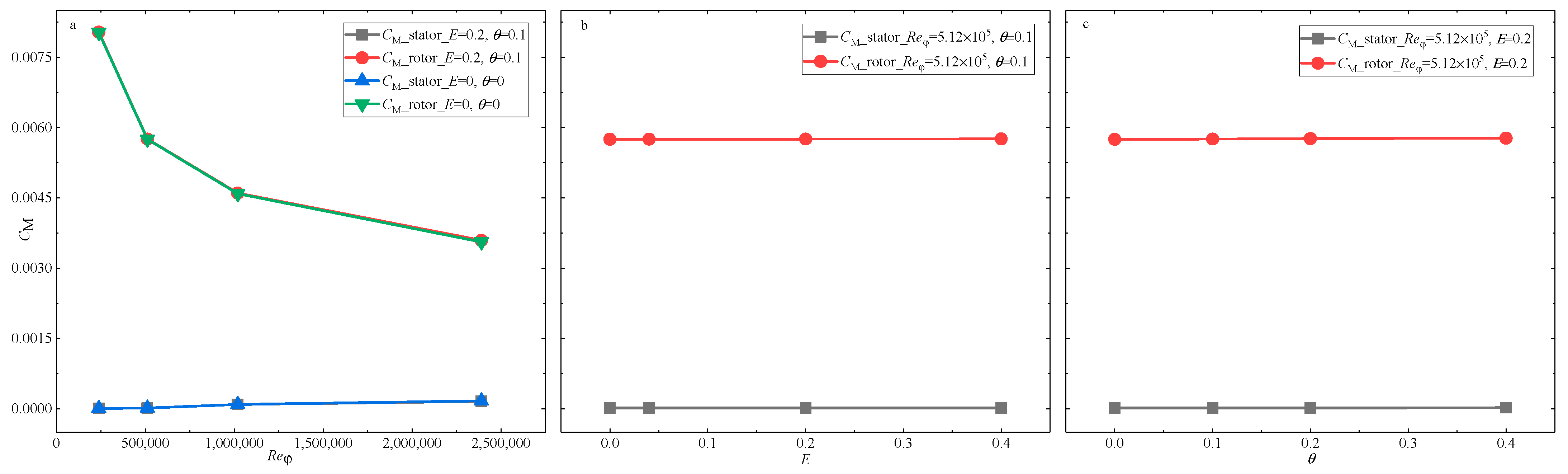
3.4. Moment Coefficient
4. Conclusions
- For the swirl ratio, the effects of the rotational Reynolds number, the Euler number, and the θ are similar. In addition, although the downstream region is more affected than the upstream region, an increase in the Euler number and the θ increases the swirl ratio variation, while an increase in the rotational Reynolds number decreases the swirl ratio variation.
- Increases in the rotational Reynolds number, the Euler number, and the θ all lead to a more uneven distribution of the flow rate. Furthermore, regardless of the rotational Reynolds number and the Euler number, the flow rate at the upstream border is always smaller than at the downstream border, but an increase in the θ may lead to a more balanced flow rate distribution (there is a critical that makes the flow rate distribution most balanced; when , , and ).
- Turbine blade fracture causes an increase in the thrust coefficient and is more pronounced at smaller rotational Reynolds numbers. The increase in the thrust coefficient does not exceed 4% when ,, as discussed in this paper.
- Changes in the rotational Reynolds number, the Euler number, and the θ have almost no effect on the moment coefficient about the axis of rotation but have a more significant effect on the moment coefficient about the radial direction. The latter will decrease as the rotational Reynolds number increases and increase as the Euler number and the θ increase.
Author Contributions
Funding
Data Availability Statement
Acknowledgments
Conflicts of Interest
Abbreviations
| a | inlet radius, m |
| B | radius of rotor and stator, m |
| S | axial spacing between rotor and stator, m |
| effective sealing area, | |
| , | area of a small orifice where air egresses/ingresses, |
| dimensionless mass flow rate, | |
| E | Euler number, |
| G | gap ratio, s/b |
| mass flow rate, kg/s | |
| N | number of blades |
| , | outlet pressure of rotor-stator cavity, Pa |
| dimensionless pressure difference, | |
| pressure profile of outlet, Pa | |
| Q | volume flow rate, m3/s |
| dimensionless radius, r/b | |
| rotational Reynolds number based on s, | |
| radial to rotational Reynolds number, | |
| rotational Reynolds number based on b, | |
| , | radial and tangential velocity, m/s |
| Greek | |
| β | swirl ratio, |
| the range of low-pressure area, rad | |
| Ω | rotating velocity, rad/s |
| ν | kinematic viscosity, m2/s |
| ρ | density, kg/m3 |
| turbulent flow parameter, | |
| Subscript | |
| r, z, ϕ | radial, axial, and tangential coordinates, m/m/rad |
| c | critical |
| 1, 2 | different location |
References
- Daily, J.W.; Nece, R.E. Chamber dimension effects on induced flow and frictional resistance of enclosed rotating disks. J. Basic Eng. Trans. ASME 1960, 82, 217–230. [Google Scholar] [CrossRef]
- Will, B.-C. Theoretical, Numerical and Experimental Investigation of the Flow in Rotor-Stator Cavities with Application to a Centrifugal Pump; Universitätsbibliothek Duisburg-Essen: Essen, Germany, 2011. [Google Scholar]
- Owen, J.M.; Rogers, R.H. Flow and Heat Transfer in Rotating Disc Systems, Vol.1: Rotor-Stator Systems; Research Studies Press LTD.: Taunton, Somerset, UK, 1989; Volume 90, p. 278. [Google Scholar]
- Zhang, F.; Adu-Poku, K.A.; Hu, B.; Appiah, D.; Chen, K. Flow theory in the side chambers of the radial pumps: A review. Phys. Fluids 2020, 32, 041301. [Google Scholar] [CrossRef]
- Bureau, A.T.S. Power Plant Failures in Turbofan-Powered Aircraft 2008 to 2012; AR-2013-002; Australian Transport Safety Bureau: Canberra, Australian, 2014; pp. 1–34.
- Meher-Homji, C.B. Blading vibration and failures in gas turbines: Part A—Blading dynamics and the operating environment. In Proceedings of the ASME 1995 International Gas Turbine and Aeroengine Congress and Exposition, Houston, TX, USA, 5–8 June 1995; pp. 1–11. [Google Scholar]
- Hall, J. Reply Refer to A-98-8; National Transportation Safety Board: Washington, DC, USA, 1998; pp. 1–6.
- Zhang, S.; Ding, S.; Qiu, T. Aerodynamic Performance Investigation of Turbine in the Event of One Blade Primary Fracture Failure. In Proceedings of the Turbo Expo: Power for Land, Sea, and Air, London, UK, 21–25 September 2020. [Google Scholar]
- Federal Aviation Administration. Airworthiness Standards: Aircraft Engines: 33.75 Safety Analysis; Federal Aviation Administration: Washington, DC, USA, 2007.
- Bein, M.; Shavit, A.; Solan, A. Nonaxisymmetric flow in the narrow gap between a rotating and a stationary disk. J. Fluids Eng. 1976, 98, 217–223. [Google Scholar] [CrossRef]
- Bein, M.; Shavit, A. Nonaxisymmetric Flow in the Narrow Gap Between a Rotating and a Stationary Disk With an Eccentric Source. J. Fluid Eng. 1977, 99, 418–421. [Google Scholar] [CrossRef]
- Owen, J.M. Prediction of Ingestion Through Turbine Rim Seals-Part II: Externally Induced and Combined Ingress. J. Turbomach.-Trans. Asme 2011, 133, 031006. [Google Scholar] [CrossRef]
- Scobie, J.A.; Sangan, C.M.; Owen, J.M.; Lock, G.D. Review of Ingress in Gas Turbines. J. Eng. Gas Turbines Power-Trans. Asme 2016, 138, 120801. [Google Scholar] [CrossRef]
- Owen, J.M. Prediction of Ingestion Through Turbine Rim Seals-Part I: Rotationally Induced Ingress. J. Turbomach.-Trans. Asme 2011, 133, 031005. [Google Scholar] [CrossRef]
- Kakade, V.U.; Lock, G.D.; Wilson, M.; Owen, J.M.; Mayhew, J.E. Effect of Radial Location of Nozzles on Heat Transfer in Pre-Swirl Cooling Systems. Proc. Asme Turbo Expo 2009, 3, 1051–1060. [Google Scholar]
- Poncet, S.; Chauve, M.P.; Le Gal, P. Turbulent rotating disk flow with inward throughflow. J. Fluid Mech. 2005, 522, 253–262. [Google Scholar] [CrossRef]
- Poncet, S.; Chauve, M.P.; Schiestel, R. Batchelor versus Stewartson flow structures in a rotor-stator cavity with throughflow. Phys. Fluids 2005, 17, 075110. [Google Scholar] [CrossRef]
- Poncet, S.; Schiestel, R.; Chauve, M.P. Centrifugal flow in a rotor-stator cavity. J. Fluids Eng.-Trans. Asme 2005, 127, 787–794. [Google Scholar] [CrossRef]
- Owen, J. An approximate solution for the flow between a rotating and a stationary disk. In Proceedings of the 33rd International Gas Turbine and Aeroengine Congress and Exhibition, Amsterdam, The Netherlands, 5–8 June 1988; pp. 323–332. [Google Scholar]
- Yan, Y.; Gord, M.F.; Lock, G.D.; Wilson, M.; Owen, J.M. Fluid dynamics of a pre-swirl rotor-stator system. J. Turbomach.-Trans. Asme 2003, 125, 641–647. [Google Scholar] [CrossRef]
- Halila, E.; Lenahan, D.; Thomas, T. Energy Efficient Engine High Pressure Turbine Test Hardware Detailed Design Report; NASA CR-167955; National Aeronautics and Space Adiministration: Washington, DC, USA, 1982; pp. 1–186.
- Poncet, S.; Schiestel, R. Numerical modeling of heat transfer and fluid flow in rotor-stator cavities with throughflow. Int. J. Heat Mass. Tran. 2007, 50, 1528–1544. [Google Scholar] [CrossRef] [Green Version]
- Da Soghe, R.; Innocenti, L.; Andreini, A.; Poncet, S. Numerical Benchmark of Turbulence Modeling in Gas Turbine Rotor-Stator System. In Proceedings of the ASME Turbo Expo 2010: Turbomachinery: Axial Flow Fan and Compressor Aerodynamics Design Methods, and Cfd Modeling for Turbomachinery, Glasgow, UK, 14–18 June 2010; Volume 7, pp. 771–783. [Google Scholar]
- Hu, B.; Brillert, D.; Dohmen, H.J.; Benra, F.-K. Investigation on thrust and moment coefficients of a centrifugal turbomachine. Int. J. Turbomach. Propuls. Power 2018, 3, 9. [Google Scholar] [CrossRef] [Green Version]
- Hu, B.; Li, X.S.; Fu, Y.X.; Gu, C.W.; Ren, X.F.; Lu, J.X. Axial Thrust, Disk Frictional Losses, and Heat Transfer in a Gas Turbine Disk Cavity. Energies 2019, 12, 2917. [Google Scholar] [CrossRef] [Green Version]
- Hongbiao, H.; Shanqun, G.; Jishen, L.; Yongzhen, Z. Exploring Fluid Resistance of Disk Rotor Based on Boundary Layer Theory. Mech. Sci. Technol. Aerosp. Eng. 2015, 34, 1621–1625. [Google Scholar]
























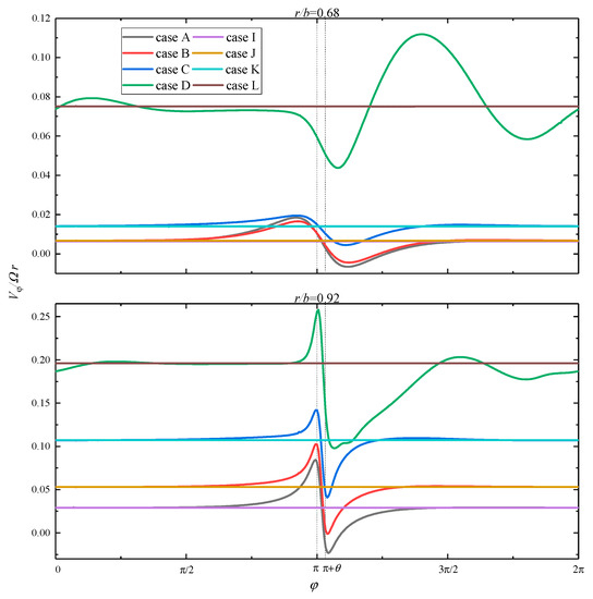
| Case | G | Θ | E | |||
|---|---|---|---|---|---|---|
| A | 0.036 | 13,107 | 0.1 | 0.65 | 0.2 | |
| B | 0.036 | 13,107 | 0.1 | 0.35 | 0.2 | |
| C | 0.036 | 13,107 | 0.1 | 0.20 | 0.2 | |
| D | 0.036 | 13,107 | 0.1 | 0.10 | 0.2 | |
| E | 0.036 | 13,107 | 0.1 | 0.35 | 0.4 | |
| F | 0.036 | 13,107 | 0.1 | 0.35 | 0.04 | |
| G | 0.036 | 13,107 | 0.2 | 0.35 | 0.2 | |
| H | 0.036 | 13,107 | 0.4 | 0.35 | 0.2 | |
| I | 0.036 | 13,107 | 0 | 0.65 | 0 | |
| J | 0.036 | 13,107 | 0 | 0.35 | 0 | |
| K | 0.036 | 13,107 | 0 | 0.20 | 0 | |
| L | 0.036 | 13,107 | 0 | 0.10 | 0 |
Publisher’s Note: MDPI stays neutral with regard to jurisdictional claims in published maps and institutional affiliations. |
© 2022 by the authors. Licensee MDPI, Basel, Switzerland. This article is an open access article distributed under the terms and conditions of the Creative Commons Attribution (CC BY) license (https://creativecommons.org/licenses/by/4.0/).
Share and Cite
Zhao, G.; Qiu, T.; Liu, P. Influence of Blade Fracture on the Flow of Rotor-Stator Systems with Centrifugal Superposed Flow. Aerospace 2022, 9, 106. https://doi.org/10.3390/aerospace9020106
Zhao G, Qiu T, Liu P. Influence of Blade Fracture on the Flow of Rotor-Stator Systems with Centrifugal Superposed Flow. Aerospace. 2022; 9(2):106. https://doi.org/10.3390/aerospace9020106
Chicago/Turabian StyleZhao, Gang, Tian Qiu, and Peng Liu. 2022. "Influence of Blade Fracture on the Flow of Rotor-Stator Systems with Centrifugal Superposed Flow" Aerospace 9, no. 2: 106. https://doi.org/10.3390/aerospace9020106
APA StyleZhao, G., Qiu, T., & Liu, P. (2022). Influence of Blade Fracture on the Flow of Rotor-Stator Systems with Centrifugal Superposed Flow. Aerospace, 9(2), 106. https://doi.org/10.3390/aerospace9020106

