Optimal Cooperative Guidance Strategies for Aircraft Defense with Impact Angle Constraints
Abstract
1. Introduction
2. Model Description
2.1. Nonlinear Engagement Kinematics
2.2. Linear Engagement Kinematics
2.3. Timeline
2.4. Missile Guidance Law
3. Two-Way Cooperation Guidance Strategies with Impact Angle Constraints
3.1. Two-Way Cooperation Dynamics with Impact Angle Constraints
3.2. Problem Statement with Impact Angle Constraints for Two-Way Cooperation
3.3. Order Reduction
3.4. Optimal Solution
3.5. Solution of the Terminal Miss Distance and Terminal Impact Angle
3.6. Special Cases
4. One-Way Cooperation Guidance Strategy with Impact Angle Constraints for Independent Defender
4.1. One-Way Cooperation Dynamics with Impact Angle Constraints for Independent Defender
4.2. One-Way Problem Statement with Impact Angle Constraints for Independent Defender
4.3. Order Reduction
4.4. Optimal Solution
4.5. Solution of the Terminal Miss Distance and Terminal Impact Angle
5. One-Way Cooperation Guidance Strategy with Impact Angle Constraints for Independent Target
5.1. One-Way Cooperation Dynamics with Independent Target
5.2. One-Way Problem Statement with Independent Target
5.3. Order Reduction
5.4. Optimal Solution
5.5. Solution of the Terminal Miss Distance and Terminal Impact Angle
6. Simulation Analysis
6.1. Two-Way Cooperation
6.1.1. Transfer Matrix
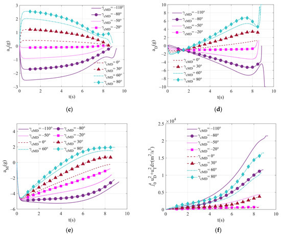
6.1.2. Simulation of Different Terminal Impact Angle Commands
6.1.3. Variation Curves for Different Weight Coefficients
6.2. One-Way Cooperation with Independent Defender
6.2.1. Transfer Matrix
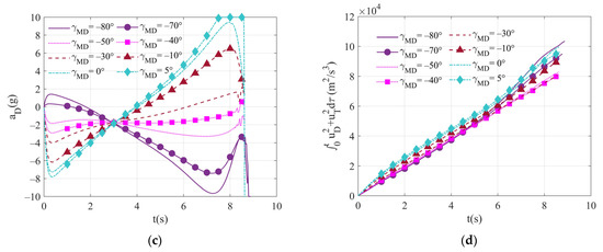
6.2.2. Simulation of Different Terminal Impact Angle Commands
6.3. One-Way Cooperation with Independent Target
7. Conclusions
Author Contributions
Funding
Data Availability Statement
Conflicts of Interest
Appendix A. Computation of ZIA for Two-Way Cooperation
References
- Yamasaki, T.; Takano, H. Modified command to line-of-sight intercept guidance for aircraft defense. J. Guid. Control. Dyn. 2013, 36, 898–902. [Google Scholar] [CrossRef]
- Ratnoo, A.; Shima, T. Guidance Strategies Against Defended Aerial Targets. J. Guid. Control. Dyn. 2012, 35, 1059–1068. [Google Scholar] [CrossRef]
- Ratnoo, A.; Shima, T. Line-of-Sight Interceptor Guidance for Defending an Aircraft. J. Guid. Control. Dyn. 2011, 34, 522–532. [Google Scholar] [CrossRef]
- Kumar, R.S.; Mukherjee, D. Cooperative active aircraft protection guidance using line-of-sight approach. IEEE Trans. Aerosp. Electron. Syst. 2020, 27, 957–967. [Google Scholar] [CrossRef]
- Luo, H.; Ji, H.; Wang, X.; Qu, X. Cooperative robust line-of-sight guidance law for aerial target defense. In Proceedings of the International Conference on Unmanned Aircraft Systems, IEEE, Athens, Greece, 1–4 September 2020; pp. 1501–1507. [Google Scholar]
- Kumar, R.S.; Mukherjee, D. Mukherjee Cooperative guidance strategies for active aircraft protection. In Proceedings of the American Control Conference, Philadelphia, PA, USA, 10–12 July 2019; pp. 4641–4646. [Google Scholar]
- Shaferman, V.; Shima, T. Cooperative Multiple-Model Adaptive Guidance for an Aircraft Defending Missile. J. Guid. Control. Dyn. 2010, 33, 1801–1813. [Google Scholar] [CrossRef]
- Fang, F.; Cai, Y.; Yu, Z. Adaptive estimation and cooperative guidance for active aircraft defense in stochastic scenario. Sensors 2019, 19, 979. [Google Scholar] [CrossRef] [PubMed]
- Prokopov, O.; Shima, T. Linear Quadratic Optimal Cooperative Strategies for Active Aircraft Protection. J. Guid. Control. Dyn. 2013, 36, 753–764. [Google Scholar] [CrossRef]
- Weiss, M.; Shima, T. Minimum Effort Pursuit/Evasion Guidance with Specified Miss Distance. J. Guid. Control. Dyn. 2016, 39, 1069–1079. [Google Scholar] [CrossRef]
- Weiss, M.; Shima, T.; Castaneda, D.; Rusnak, I. Combined and Cooperative Minimum-Effort Guidance Algorithms in an Active Aircraft Defense Scenario. J. Guid. Control. Dyn. 2017, 40, 1241–1254. [Google Scholar] [CrossRef]
- Fang, F.; Cai, Y.-L. Optimal cooperative guidance with guaranteed miss distance in three-body engagement. Proc. Inst. Mech. Eng. Part G J. Aerosp. Eng. 2016, 232, 492–504. [Google Scholar] [CrossRef]
- Garcia, E.; Casbeer, D.W.; Pachter, M. Cooperative Strategies for Optimal Aircraft Defense from an Attacking Missile. J. Guid. Control. Dyn. 2015, 38, 1510–1520. [Google Scholar] [CrossRef]
- Garcia, E.; Casbeer, D.W.; Pachter, M. Active target defense using first order missile models. Automatica 2017, 78, 139–143. [Google Scholar] [CrossRef]
- Weintraub, E.I.; Garcia, E.; Casbeer, D.; Pachter, M. Optimal evasion in an active target defense scenario. In AIAA Scitech 2021 Forum; AIAA: Reston, VA, USA, 2021; p. 1881. [Google Scholar]
- Perelman, A.; Shima, T.; Rusnak, I. Cooperative Differential Games Strategies for Active Aircraft Protection from a Homing Missile. J. Guid. Control. Dyn. 2011, 34, 761–773. [Google Scholar] [CrossRef]
- Saurav, A.; Kumar, S.R.; Maity, A. Cooperative guidance strategies for aircraft defense with impact angle constraints. In SciTech Forum; AIAA: San Diego, CA, USA, 2019; p. 0356. [Google Scholar]
- Rubinsky, S.; Gutman, S. Three-Player Pursuit and Evasion Conflict. J. Guid. Control. Dyn. 2014, 37, 98–110. [Google Scholar] [CrossRef]
- Sun, Q.; Shen, M.; Gu, X.; Hou, K.; Qi, N. Evasion-Pursuit Strategy against Defended Aircraft Based on Differential Game Theory. Int. J. Aerosp. Eng. 2019, 2019, 7980379. [Google Scholar] [CrossRef]
- Garcia, E.; Casbeer, W.D.; Fuchs, E.Z.; Pachter, M. Cooperative missile guidance for active defense of air vehicles. IEEE Trans. Aerosp. Electron. Syst. 2018, 54, 706–721. [Google Scholar] [CrossRef]
- Liu, S.; Yan, B.; Zhang, X.; Liu, W.; Yan, J. Fractional-order sliding mode guidance law for intercepting hypersonic vehicles. Aerospace 2022, 9, 53. [Google Scholar] [CrossRef]
- Kumar, S.R.; Shima, T. Cooperative Nonlinear Guidance Strategies for Aircraft Defense. J. Guid. Control. Dyn. 2017, 40, 124–138. [Google Scholar] [CrossRef]
- Li, Q.; Fan, Y.; Yan, T.; Liang, X.; Yan, J. Cooperative smooth nonsingular terminal sliding mode guidance with tracking differentiator for active aircraft defense. Aerospace 2022, 9, 221. [Google Scholar] [CrossRef]
- Ghosh, S.; Ghose, D.; Raha, S. Composite Guidance for Impact Angle Control Against Higher Speed Targets. J. Guid. Control. Dyn. 2016, 39, 98–117. [Google Scholar] [CrossRef]
- Kumar, S.R.; Rao, S.; Ghose, D. Sliding-Mode Guidance and Control for All-Aspect Interceptors with Terminal Angle Constraints. J. Guid. Control. Dyn. 2012, 35, 1230–1246. [Google Scholar] [CrossRef]
- Zhang, H.; Zhang, Y.; Zhang, P. Optimal guidance law for intercepting the active defense aircraft with terminal angle constraint. J. Phys. Conf. Ser. Beijing Chin. 2021, 1828, 012160. [Google Scholar] [CrossRef]
- Shaferman, V.; Shima, T. Cooperative Optimal Guidance Laws for Imposing a Relative Intercept Angle. J. Guid. Control. Dyn. 2015, 38, 1395–1408. [Google Scholar] [CrossRef]
- Shaferman, V.; Shima, T. Cooperative Differential Games Guidance Laws for Imposing a Relative Intercept Angle. J. Guid. Control. Dyn. 2017, 40, 2465–2480. [Google Scholar] [CrossRef]
- Shaferman, V.; Shima, T. Linear Quadratic Guidance Laws for Imposing a Terminal Intercept Angle. J. Guid. Control. Dyn. 2008, 31, 1400–1412. [Google Scholar] [CrossRef]
- Taub, I.; Shima, T. Intercept Angle Missile Guidance Under Time Varying Acceleration Bounds. J. Guid. Control. Dyn. 2013, 36, 686–699. [Google Scholar] [CrossRef]
- Fonod, R.; Shima, T. Estimation Enhancement by Cooperatively Imposing Relative Intercept Angles. J. Guid. Control. Dyn. 2017, 40, 1711–1725. [Google Scholar] [CrossRef]
- Fonod, R.; Shima, T. Estimation enhancement by imposing a relative intercept angle for defending missiles. In SciTech Forum; AIAA: Grapevine, TX, USA, 2017; p. 1018. [Google Scholar]
- Zarchan, P. Tactical and Strategic Missile Guidance, 7th ed.; AIAA: Reston, VA, USA, 2019; Chapter 8. [Google Scholar]
- Shima, T. Optimal Cooperative Pursuit and Evasion Strategies Against a Homing Missile. J. Guid. Control. Dyn. 2011, 34, 414–425. [Google Scholar] [CrossRef]
- Zhou, J.; Yang, J. Smooth Sliding Mode Control for Missile Interception with Finite-Time Convergence. J. Guid. Control. Dyn. 2015, 38, 1311–1318. [Google Scholar] [CrossRef]










| Special Cases | ||||
|---|---|---|---|---|
| Parameters | Values | Parameters | Values | Parameters | Values | Parameters | Values |
|---|---|---|---|---|---|---|---|
| 200 m/s | 30 g | 0.1 s | |||||
| 300 m/s | 10 g |
Publisher’s Note: MDPI stays neutral with regard to jurisdictional claims in published maps and institutional affiliations. |
© 2022 by the authors. Licensee MDPI, Basel, Switzerland. This article is an open access article distributed under the terms and conditions of the Creative Commons Attribution (CC BY) license (https://creativecommons.org/licenses/by/4.0/).
Share and Cite
Li, Q.; Yan, T.; Gao, M.; Fan, Y.; Yan, J. Optimal Cooperative Guidance Strategies for Aircraft Defense with Impact Angle Constraints. Aerospace 2022, 9, 710. https://doi.org/10.3390/aerospace9110710
Li Q, Yan T, Gao M, Fan Y, Yan J. Optimal Cooperative Guidance Strategies for Aircraft Defense with Impact Angle Constraints. Aerospace. 2022; 9(11):710. https://doi.org/10.3390/aerospace9110710
Chicago/Turabian StyleLi, Quancheng, Tian Yan, Mengjing Gao, Yonghua Fan, and Jie Yan. 2022. "Optimal Cooperative Guidance Strategies for Aircraft Defense with Impact Angle Constraints" Aerospace 9, no. 11: 710. https://doi.org/10.3390/aerospace9110710
APA StyleLi, Q., Yan, T., Gao, M., Fan, Y., & Yan, J. (2022). Optimal Cooperative Guidance Strategies for Aircraft Defense with Impact Angle Constraints. Aerospace, 9(11), 710. https://doi.org/10.3390/aerospace9110710

