Numerical Simulations of the Internal Ballistics of Paraffin–Oxygen Hybrid Rockets at Different Scales
Abstract
:1. Introduction
2. Theoretical and Numerical Model
3. Engine Configuration and Firing Tests
4. Results
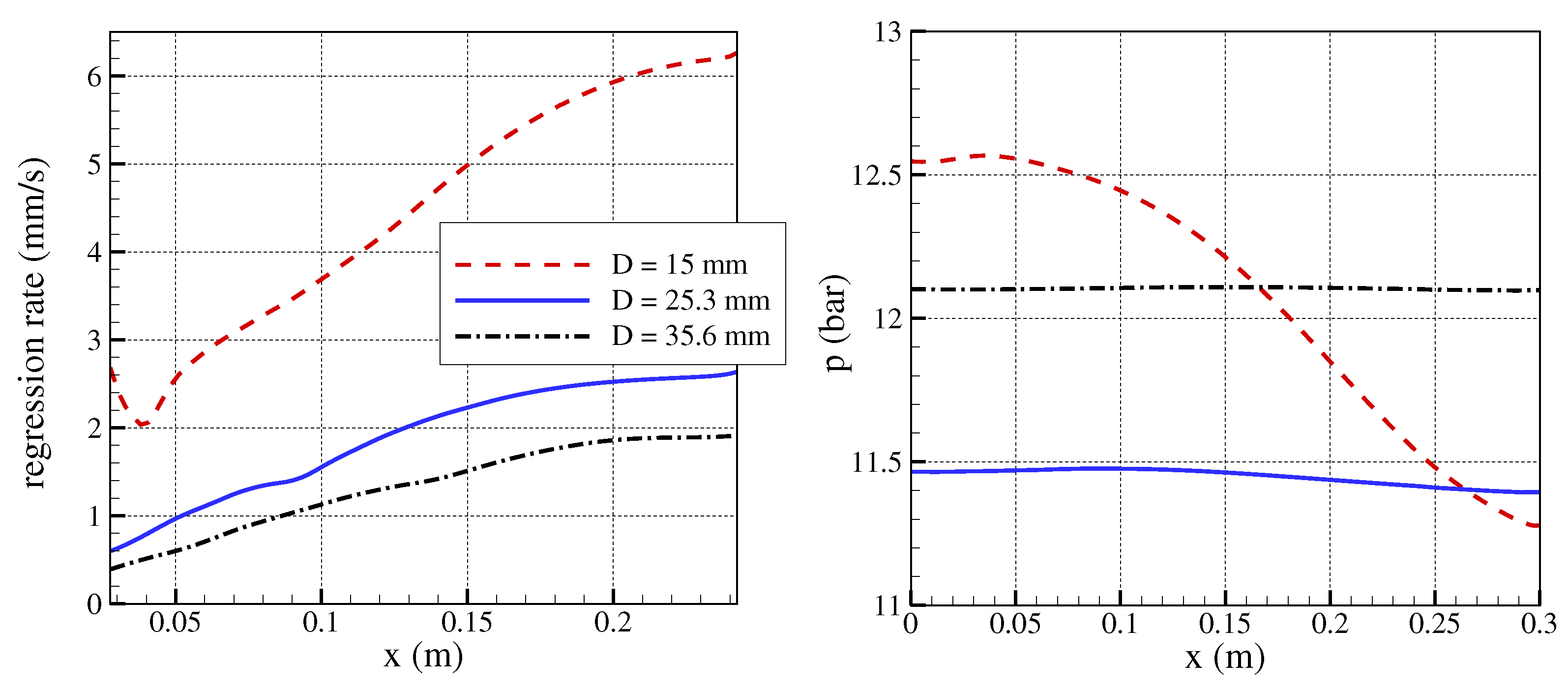
4.1. Results on Set 1 Tests
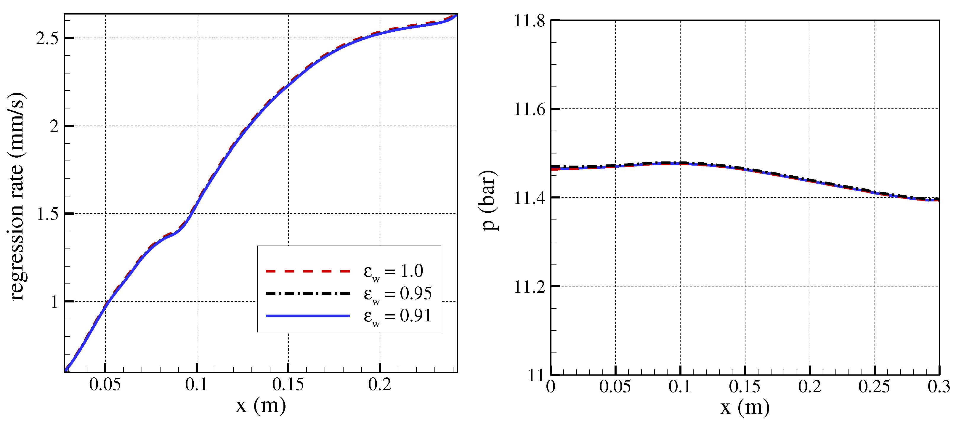
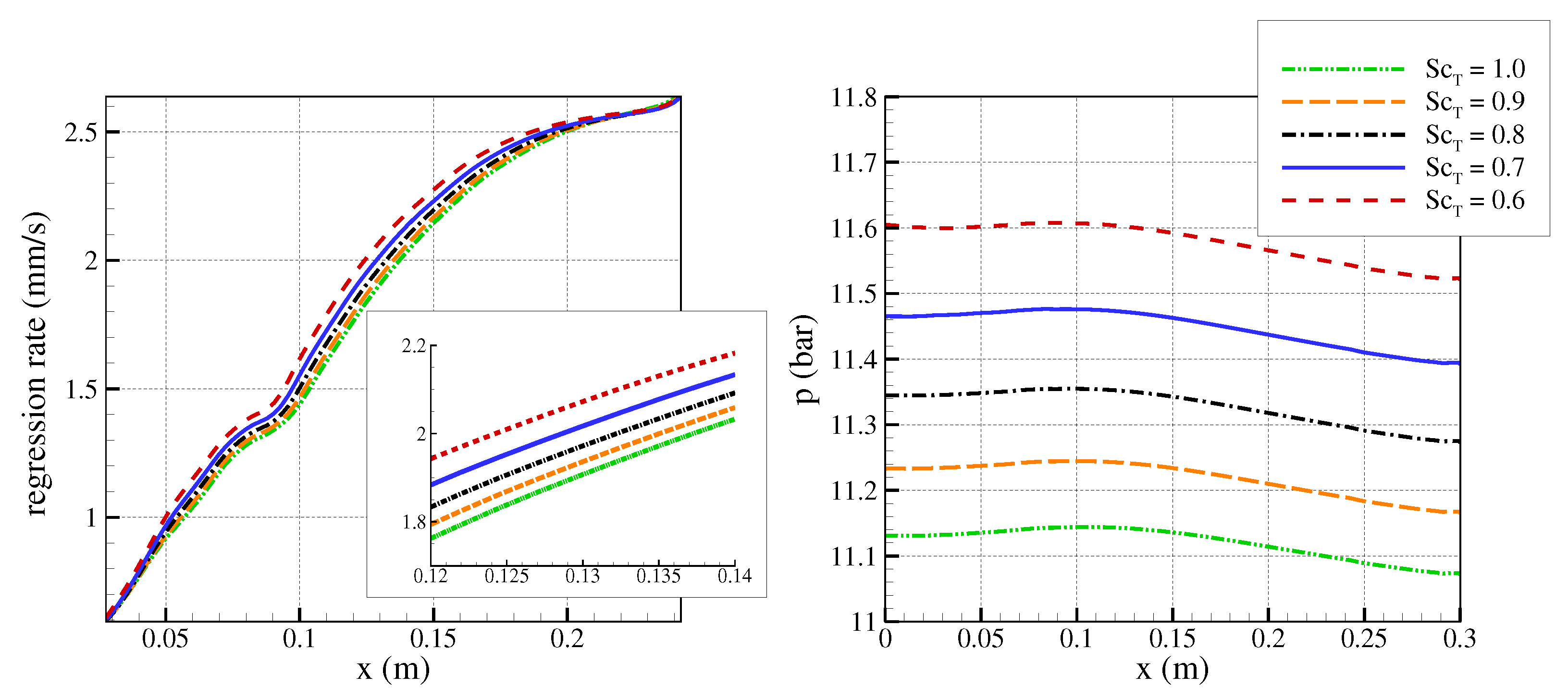
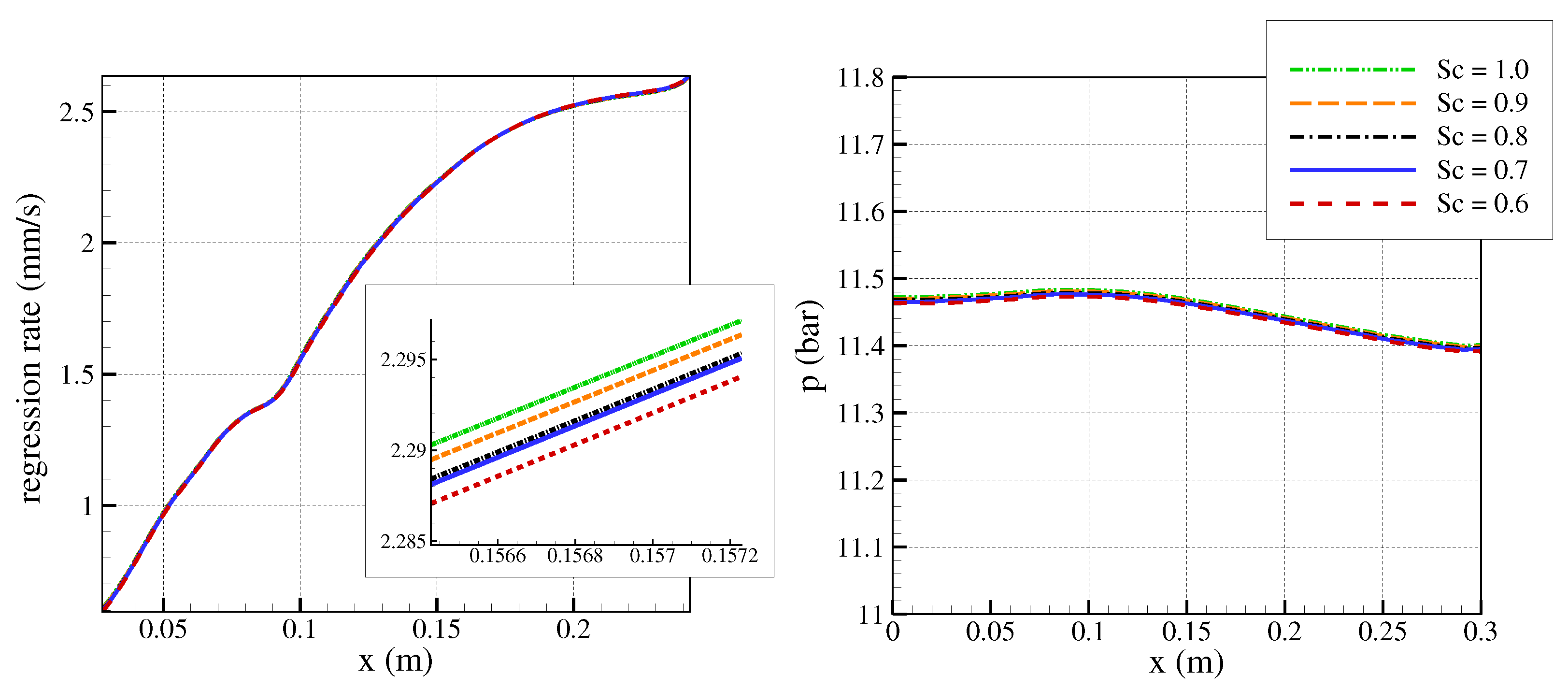
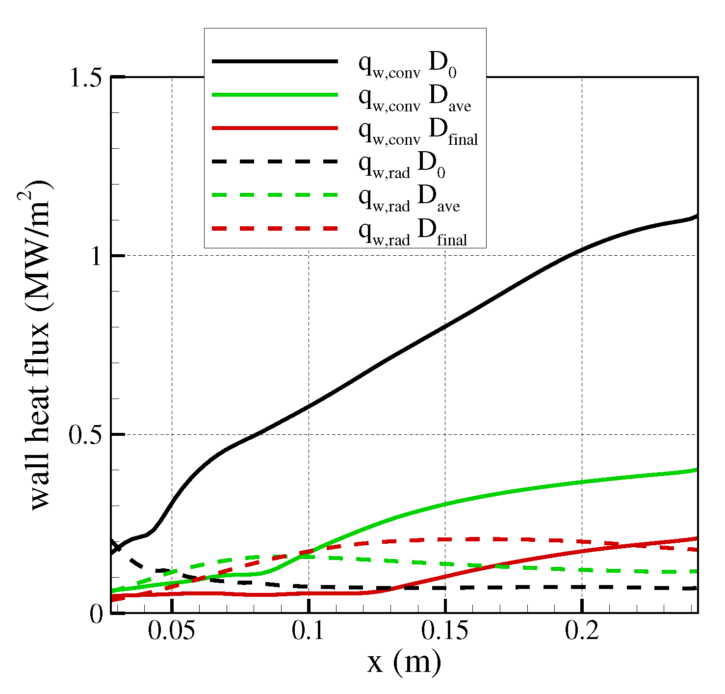
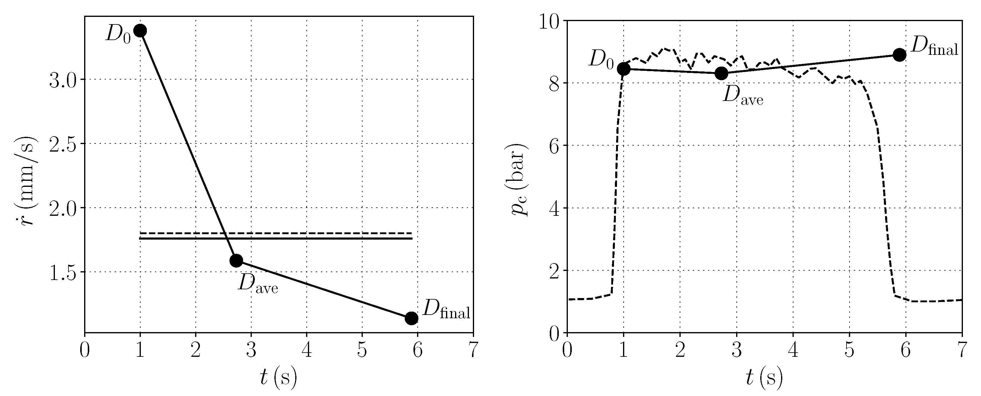
Model Sensitivity Analysis
4.2. Results on Set 2 Tests and Effect of Radiation
4.3. Numerical Rebuilding
5. Conclusions
Author Contributions
Funding
Conflicts of Interest
References
- Kamps, L.; Sakurai, K.; Saito, Y.; Nagata, H. Comprehensive Data Reduction for N2O/HDPE Hybrid Rocket Motor Performance Evaluation. Aerospace 2019, 6, 45. [Google Scholar] [CrossRef] [Green Version]
- Mechentel, F.S.; Hord, B.R.; Cantwell, B.J. Optically Resolved Fuel Regression of a Clear Polymethylmethacrylate Hybrid Rocket Motor. J. Propuls. Power 2020, 36, 763–772. [Google Scholar] [CrossRef]
- Paccagnella, E.; Barato, F.; Pavarin, D.; Karabeyoğlu, A. Scaling Parameters of Swirling Oxidizer Injection in Hybrid Rocket Motors. J. Propuls. Power 2017, 33, 1378–1394. [Google Scholar] [CrossRef]
- Migliorino, M.T.; Bianchi, D.; Nasuti, F. Numerical Analysis of Paraffin-Wax/Oxygen Hybrid Rocket Engines. J. Propuls. Power 2020, 36, 806–819. [Google Scholar] [CrossRef]
- Kobald, M.; Fischer, U.; Tomilin, K.; Petrarolo, A.; Schmierer, C. Hybrid Experimental Rocket Stuttgart: A Low-Cost Technology Demonstrator. J. Spacecr. Rocket. 2018, 55, 484–500. [Google Scholar] [CrossRef]
- Leccese, G.; Cavallini, E.; Pizzarelli, M. State of Art and Current Challenges of the Paraffin-Based Hybrid Rocket Technology. In Proceedings of the AIAA Propulsion and Energy 2019 Forum, Indianapolis, IN, USA, 19–22 August 2019. [Google Scholar] [CrossRef]
- Chiaverini, M.J.; Serin, N.; Johnson, D.K.; Lu, Y.C.; Kuo, K.K.; Risha, G.A. Regression Rate Behavior of Hybrid Rocket Solid Fuels. J. Propuls. Power 2000, 16, 125–132. [Google Scholar] [CrossRef]
- Altman, D.; Holzman, A. Overview and History of Hybrid Rocket Propulsion. In Fundamentals of Hybrid Rocket Combustion and Propulsion; Kuo, K.K., Chiaverini, M.J., Eds.; AIAA: Reston, VA, USA, 2007; Volume 218, pp. 1–36. [Google Scholar] [CrossRef]
- Bellomo, N.; Barato, F.; Faenza, M.; Lazzarin, M.; Bettella, A.; Pavarin, D. Numerical and Experimental Investigation of Unidirectional Vortex Injection in Hybrid Rocket Engines. J. Propuls. Power 2013, 29, 1097–1113. [Google Scholar] [CrossRef]
- Ranuzzi, G.; Cardillo, D.; Invigorito, M. Numerical Investigation of a N2O–Paraffin Hybrid Rocket Engine Combusting Flowfield. In Proceedings of the 6th European Conference for Aeronautics and Space Sciences (EUCASS), Kraków, Poland, 29 June–2 July 2015. [Google Scholar] [CrossRef]
- Lazzarin, M.; Faenza, M.; Barato, F.; Bellomo, N.; Bettella, A.; Pavarin, D. Computational Fluid Dynamics Simulation of Hybrid Rockets of Different Scales. J. Propuls. Power 2015, 31, 1458–1469. [Google Scholar] [CrossRef]
- Paccagnella, E.; Barato, F.; Gelain, R.; Pavarin, D. CFD Simulations of Self-Pressurized Nitrous Oxide Hybrid Rocket Motors. In Proceedings of the Joint Propulsion Conference, Cincinnati, OH, USA, 9–11 July 2018. [Google Scholar] [CrossRef] [Green Version]
- Di Martino, G.D.; Mungiguerra, S.; Carmicino, C.; Savino, R.; Cardillo, D.; Battista, F.; Invigorito, M.; Elia, G. Two-Hundred–Newton Laboratory-Scale Hybrid Rocket Testing for Paraffin Fuel-Performance Characterization. J. Propuls. Power 2019, 35, 224–235. [Google Scholar] [CrossRef]
- Bianchi, D.; Nasuti, F.; Delfini, D. Modeling of Gas-surface Interface for Paraffin-based Hybrid Rocket Fuels in Computational Fluid Dynamics Simulations. Prog. Propuls. Phys. 2019, 11, 3–24. [Google Scholar] [CrossRef] [Green Version]
- Di Martino, G.D.; Mungiguerra, S.; Carmicino, C.; Savino, R. Computational Fluid-dynamic Modeling of the Internal Ballistics of Paraffin-fueled Hybrid Rocket. Aerosp. Sci. Technol. 2019, 89, 431–444. [Google Scholar] [CrossRef]
- Chiaverini, M.J. Review of Solid–Fuel Regression Rate Behavior in Classical and Nonclassical Hybrid Rocket Motors. In Fundamentals of Hybrid Rocket Combustion and Propulsion; Kuo, K.K., Chiaverini, M.J., Eds.; AIAA: Reston, VA, USA, 2007; Volume 218, pp. 37–126. [Google Scholar] [CrossRef]
- Durand, J.E.; Raynaud, F.; Lamet, J.M.; Tessé, L.; Lestrade, J.Y.; Anthoine, J. Numerical Study of Fuel Regression in Hybrid Rocket Engine. In Proceedings of the Joint Propulsion Conference, Cincinnati, OH, USA, 9–11 July 2018. [Google Scholar] [CrossRef] [Green Version]
- Whitmore, S.A.; Merkley, S. Radiation Heating Effects on Oxidizer-to-Fuel Ratio of Additively Manufactured Hybrid Rocket Fuels. J. Propuls. Power 2019, 35, 863–878. [Google Scholar] [CrossRef]
- Bianchi, D.; Leccese, G.; Nasuti, F.; Onofri, M.; Carmicino, C. Modeling of High Density Polyethylene Regression Rate in the Simulation of Hybrid Rocket Flowfields. Aerospace 2019, 6, 88. [Google Scholar] [CrossRef] [Green Version]
- Anderson, J.D. Hypersonic and High-Temperature Gas Dynamics; AIAA Education Series; AIAA: Reston, VA, USA, 2006; pp. 596–617. [Google Scholar]
- Gordon, S.; McBride, B.J. Computer Program for Calculation of Complex Chemical Equilibrium Compositions and Applications. I. Analysis; NASA RP-1311. 1994. Available online: https://ntrs.nasa.gov/citations/19950013764 (accessed on 1 August 2021).
- Spalart, P.R.; Allmaras, S.R. A One-Equation Turbulence Model for Aerodynamic Flows. Rech. Aerosp. 1994, 1, 5–21. [Google Scholar]
- Fabuss, B.M.; Smith, J.O.; Lait, R.I.; Bornsanyi, A.S.; Satterfield, C.N. Rapid Thermal Cracking of n–Hexadecane at Elevated Pressures. Ind. Eng. Chem. Process. Des. Dev. 1962, 1, 293–299. [Google Scholar] [CrossRef]
- Blouri, B.; Hamdan, F.; Herault, D. Mild Cracking of High–Molecular–Weigth Hydrocarbons. Ind. Eng. Chem. Process. Des. Dev. 1985, 1, 30–37. [Google Scholar] [CrossRef]
- Coronetti, A.; Sirignano, W.A. Numerical Analysis of Hybrid Rocket Combustion. J. Propuls. Power 2013, 29, 371–384. [Google Scholar] [CrossRef] [Green Version]
- McBride, B.J.; Zehe, M.J.; Gordon, S. NASA Glenn Coefficients for Calculating Thermodynamic Properties of Individual Species; Technical Report NASA/TP–2002–211556. 2002. Available online: https://ntrs.nasa.gov/citations/20020085330 (accessed on 1 August 2021).
- Bianchi, D.; Betti, B.; Nasuti, F.; Carmicino, C. Simulation of Gaseous Oxygen/Hydroxyl-Terminated Polybutadiene Hybrid Rocket Flowfields and Comparison with Experiments. J. Propuls. Power 2015, 31, 919–929. [Google Scholar] [CrossRef]
- Roe, P.L. Approximate Riemann Solvers, Parameter Vectors and Difference Schemes. J. Comput. Phys. 1981, 43, 357–372. [Google Scholar] [CrossRef]
- Strang, G. On the Construction and Comparison of Difference Schemes. SIAM J. Numer. Anal. 1968, 5, 506–517. [Google Scholar] [CrossRef]
- Brown, P.N.; Byrne, G.D.; Hindmarsh, A.C. VODE: A Variable-Coefficient ODE Solver. SIAM J. Sci. Stat. Comput. 1989, 10, 1038–1051. [Google Scholar] [CrossRef] [Green Version]
- Migliorino, M.T.; Bianchi, D.; Nasuti, F. Predictive CFD Model for Internal Ballistics of Hybrid Rocket Engines using Supercritical Paraffin-Wax and Oxygen. In Proceedings of the AIAA Propulsion and Energy Forum, Indianapolis, IN, USA, 19–22 August 2019. [Google Scholar] [CrossRef]
- Marano, J.J.; Holder, G.D. General Equation for Correlating the Thermophysical Properties of n–Paraffins, n–Olefins, and Other Homologous Series. 2. Asymptotic Behavior Correlations for PVT Properties. Ind. Eng. Chem. Res. 1997, 36, 1895–1907. [Google Scholar] [CrossRef]
- Oschwald, M.; Schik, A. Supercritical Nitrogen Free Jet Investigated by Spontaneous Raman Scattering. Exp. Fluids 1999, 27, 497–506. [Google Scholar] [CrossRef]
- Oschwald, M.; Micci, M. Spreading Angle and Centerline Variation of Density of Supercritical Nitrogen Jets. At. Sprays 2002, 12, 91–106. [Google Scholar] [CrossRef]
- Marano, J.J.; Holder, G.D. General Equation for Correlating the Thermophysical Properties of n–Paraffins, n–Olefins, and Other Homologous Series. 3. Asymptotic Behavior Correlations for Thermal and Transport Properties. Ind. Eng. Chem. Res. 1997, 36, 2399–2408. [Google Scholar] [CrossRef]
- Leccese, G.; Bianchi, D.; Betti, B.; Lentini, D.; Nasuti, F. Convective and Radiative Wall Heat Transfer in Liquid Rocket Thrust Chambers. J. Propuls. Power 2018, 34, 318–326. [Google Scholar] [CrossRef]
- Leccese, G.; Bianchi, D.; Nasuti, F. Numerical Investigation on Radiative Heat Loads in Liquid Rocket Thrust Chambers. J. Propuls. Power 2019, 35, 930–943. [Google Scholar] [CrossRef]
- Leccese, G.; Bianchi, D.; Nasuti, F.; Stober, K.J.; Narsai, P.; Cantwell, B.J. Experimental and Numerical Methods for Radiative Wall Heat Flux Predictions in Paraffin–based Hybrid Rocket Engines. Acta Astronaut. 2019, 158, 304–312. [Google Scholar] [CrossRef]
- Astarita, T.; Carlomagno, G.M. Infrared Thermography for Thermo–Fluid–Dynamics; Springer: Berlin/Heidelberg, Germany, 2013. [Google Scholar] [CrossRef]
- Mark, F.H.; Kroschwitz, J.I. Encyclopedia of Polymer Science and Engineering; Wiley: New York, NY, USA, 1989; Volume 17. [Google Scholar] [CrossRef]
- Bianchi, D.; Nasuti, F.; Carmicino, C. Hybrid Rockets with Axial Injector: Port Diameter Effect on Fuel Regression Rate. J. Propuls. Power 2016, 32, 984–996. [Google Scholar] [CrossRef]
- Karabeyoglu, M.A.; Zilliac, G.; Cantwell, B.J.; DeZilwa, S.; Castellucci, P. Scale–Up Tests of High Regression Rate Paraffin–Based Hybrid Rocket Fuels. J. Propuls. Power 2004, 20, 1037–1045. [Google Scholar] [CrossRef]















| C32 H66 → 16 C2 H4 + H2 |
| C2 H4 + O2 → 2 CO + 2 H2 |
| C2 H4 + 2 H2O → 2 CO + 4 H2 |
| CO + H2O ⇄ CO2 + H2 |
| O2 ⇄ 2O |
| H2O ⇄ OH + H |
| Set | Test | (g/s) | R (mm) | (mm) |
|---|---|---|---|---|
| 1 | 3 | 29.0 | 11.80 | 5.3 |
| 1 | 4 | 39.0 | 12.65 | 5.3 |
| 1 | 8 | 44.0 | 14.25 | 5.3 |
| 1 | 9 | 50.2 | 14.50 | 5.3 |
| 1 | 10 | 55.5 | 14.50 | 5.3 |
| 1 | 11 | 60.0 | 14.95 | 5.3 |
| 1 | 12 | 59.5 | 14.00 | 5.3 |
| 2 | L01 | 4400 | 71.96 | 25.15 |
| 2 | P01 | 4430 | 71.73 | 35.55 |
| 2 | L04 | 4440 | 61.97 | 25.15 |
| 2 | P04 | 2110 | 67.67 | 35.8 |
| 2 | L09 | 2050 | 58.28 | 27.8 |
| Set | Test | (bar·m) | (MW/m) | |
|---|---|---|---|---|
| 1 | 3 | 0.10 | 0.38 | 35% |
| 1 | 4 | 0.15 | 0.45 | 43% |
| 1 | 8 | 0.19 | 0.44 | 55% |
| 1 | 9 | 0.23 | 0.48 | 58% |
| 1 | 10 | 0.25 | 0.52 | 58% |
| 1 | 11 | 0.28 | 0.54 | 62% |
| 1 | 12 | 0.26 | 0.58 | 56% |
| 2 | L01 | 3.33 | 0.775 | 88% |
| 2 | P01 | 1.57 | 0.988 | 84% |
| 2 | L04 | 2.81 | 0.940 | 71% |
| 2 | P04 | 0.74 | 0.562 | 81% |
| 2 | L09 | 1.06 | 0.935 | 83% |
| Experimental | Numerical | ||||||||
|---|---|---|---|---|---|---|---|---|---|
| Set | Test | O/F | (bar) | (m/s) | (%) | O/F | (bar) | (m/s) | (%) |
| 1 | 3 | 1.0 | 8.5 | 1319 | 85 | 1.2 | 8.3 | 1388 | 85 |
| 1 | 4 | 1.2 | 11.5 | 1403 | 87 | 1.3 | 11.4 | 1450 | 86 |
| 1 | 8 | 1.2 | 13.2 | 1422 | 89 | 1.3 | 13.1 | 1499 | 88 |
| 1 | 9 | 1.2 | 15.7 | 1505 | 93 | 1.4 | 15.0 | 1515 | 88 |
| 1 | 10 | 1.3 | 16.9 | 1498 | 90 | 1.4 | 16.6 | 1521 | 88 |
| 1 | 11 | 1.2 | 18.8 | 1514 | 93 | 1.4 | 18.0 | 1529 | 88 |
| 1 | 12 | 1.2 | 18.4 | 1483 | 92 | 1.4 | 17.6 | 1512 | 87 |
| 2 | L01 | 2.6 | 46.3 | 1627 | 88 | 2.6 | 39.0 | 1277 | 69 |
| 2 | P01 | 2.7 | 21.9 | 1492 | 82 | 2.4 | 19.4 | 1227 | 67 |
| 2 | L04 | 2.7 | 45.3 | 1564 | 85 | 2.9 | 39.3 | 1302 | 72 |
| 2 | P04 | 1.8 | 10.9 | 1437 | 78 | 2.0 | 9.6 | 1222 | 66 |
| 2 | L09 | 1.7 | 18.2 | 1468 | 80 | 1.5 | 18.7 | 1340 | 75 |
| Set | Test | D, mm | , kg/(ms) | , bar·m | , MW/m | |
|---|---|---|---|---|---|---|
| 1 | 3, | 15 | 164.1 | 0.06 | 0.80 | 10% |
| 1 | 3, | 23.6 | 66.3 | 0.10 | 0.38 | 35% |
| 1 | 3, | 32.2 | 35.6 | 0.14 | 0.27 | 61% |
Publisher’s Note: MDPI stays neutral with regard to jurisdictional claims in published maps and institutional affiliations. |
© 2021 by the authors. Licensee MDPI, Basel, Switzerland. This article is an open access article distributed under the terms and conditions of the Creative Commons Attribution (CC BY) license (https://creativecommons.org/licenses/by/4.0/).
Share and Cite
Migliorino, M.T.; Bianchi, D.; Nasuti, F. Numerical Simulations of the Internal Ballistics of Paraffin–Oxygen Hybrid Rockets at Different Scales. Aerospace 2021, 8, 213. https://doi.org/10.3390/aerospace8080213
Migliorino MT, Bianchi D, Nasuti F. Numerical Simulations of the Internal Ballistics of Paraffin–Oxygen Hybrid Rockets at Different Scales. Aerospace. 2021; 8(8):213. https://doi.org/10.3390/aerospace8080213
Chicago/Turabian StyleMigliorino, Mario Tindaro, Daniele Bianchi, and Francesco Nasuti. 2021. "Numerical Simulations of the Internal Ballistics of Paraffin–Oxygen Hybrid Rockets at Different Scales" Aerospace 8, no. 8: 213. https://doi.org/10.3390/aerospace8080213
APA StyleMigliorino, M. T., Bianchi, D., & Nasuti, F. (2021). Numerical Simulations of the Internal Ballistics of Paraffin–Oxygen Hybrid Rockets at Different Scales. Aerospace, 8(8), 213. https://doi.org/10.3390/aerospace8080213

