Adaptive Event-Triggered-Based Consensus Control for QUAV Formation System with External Disturbances and State Constraints
Abstract
1. Introduction
- (1)
- The proposed TGESO can overcome the initial peaking explosion problem existing in the traditional fixed-gain ESO approach, thus improving the transient performance of the QUAV formation system.
- (2)
- Compared with the traditional BLF-based method when dealing with state constraints, the developed TBLF technique can overcome the singularity problem that the denominator of the controller may be zero under certain circumstances.
- (3)
- Compared with the traditional time-triggered control strategy, the designed AETM can conserve network resources and reduce the computational burden.
2. Problem Formulation and Preparation
2.1. Graph Theory
2.2. The Model of QUAV
2.3. State Constraint-Related Descriptions
3. Main Results
3.1. Design of TGESO for Position Loop
3.2. Design of TGESO for Attitude Loop
3.3. Design of Controller for Position Loop
3.4. Design of Controller for Attitude Loop
3.5. Stability Analysis
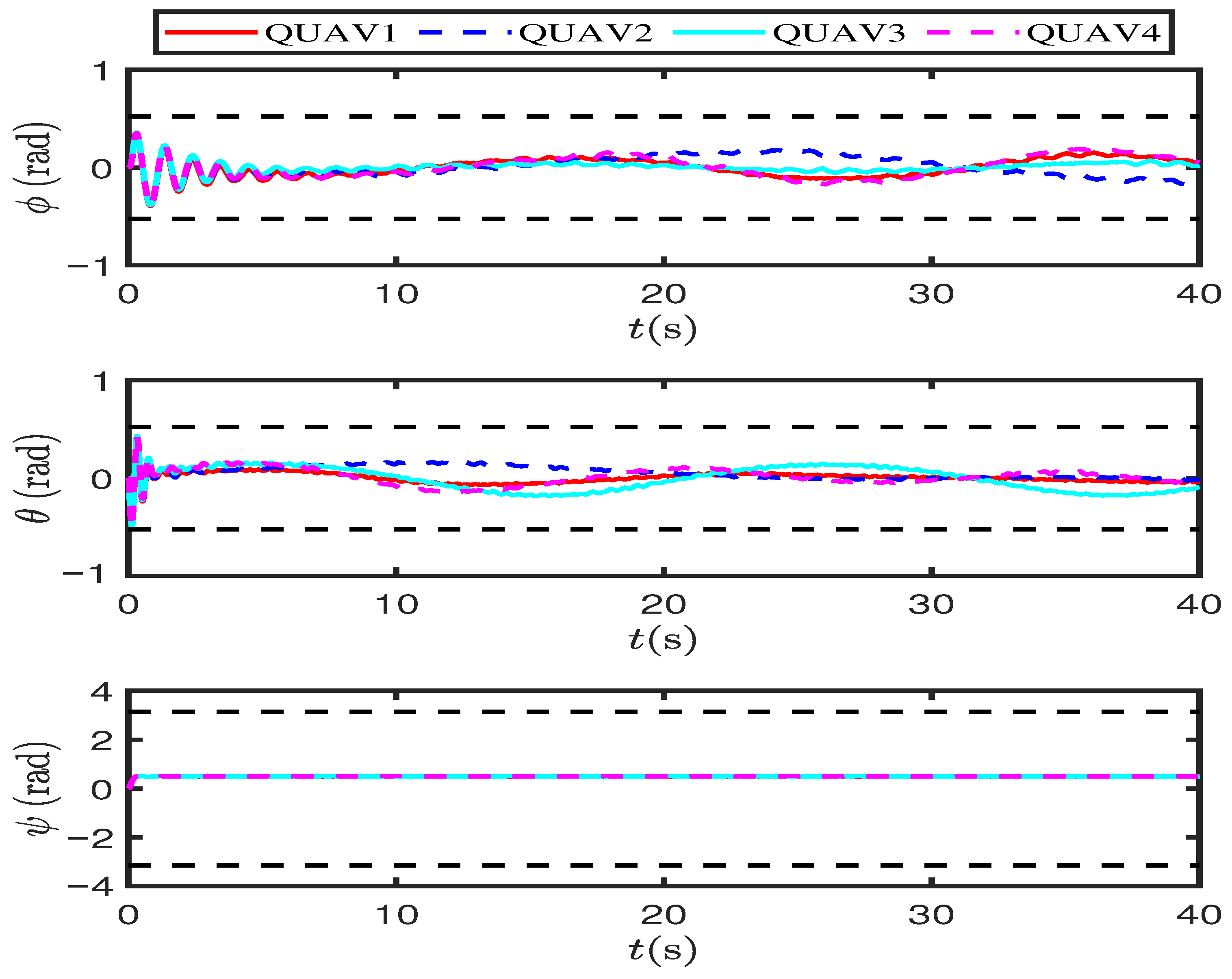
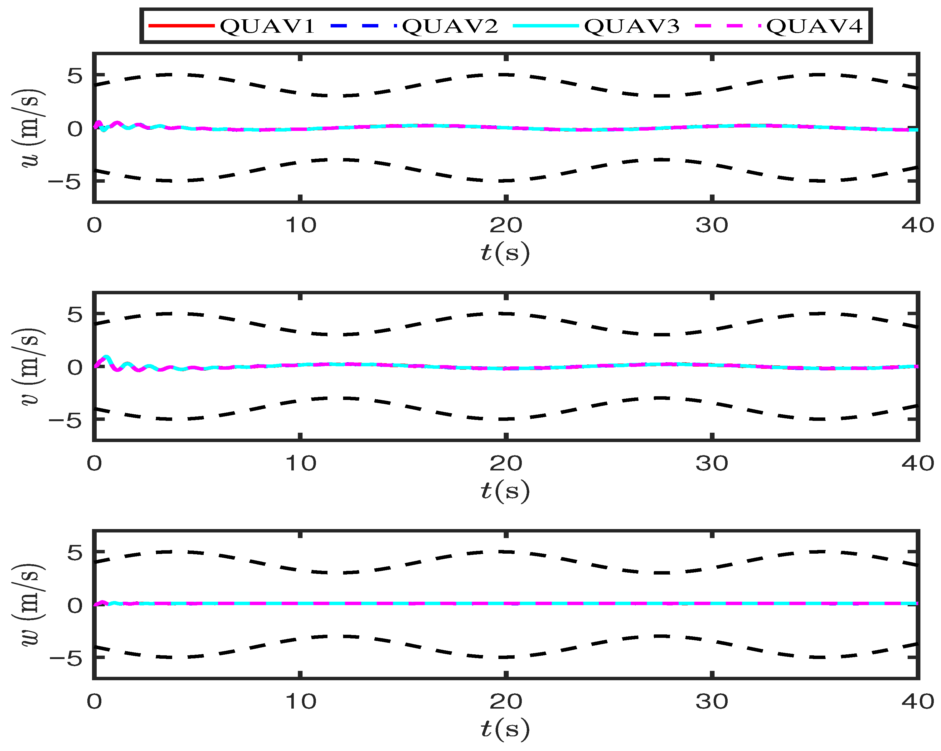
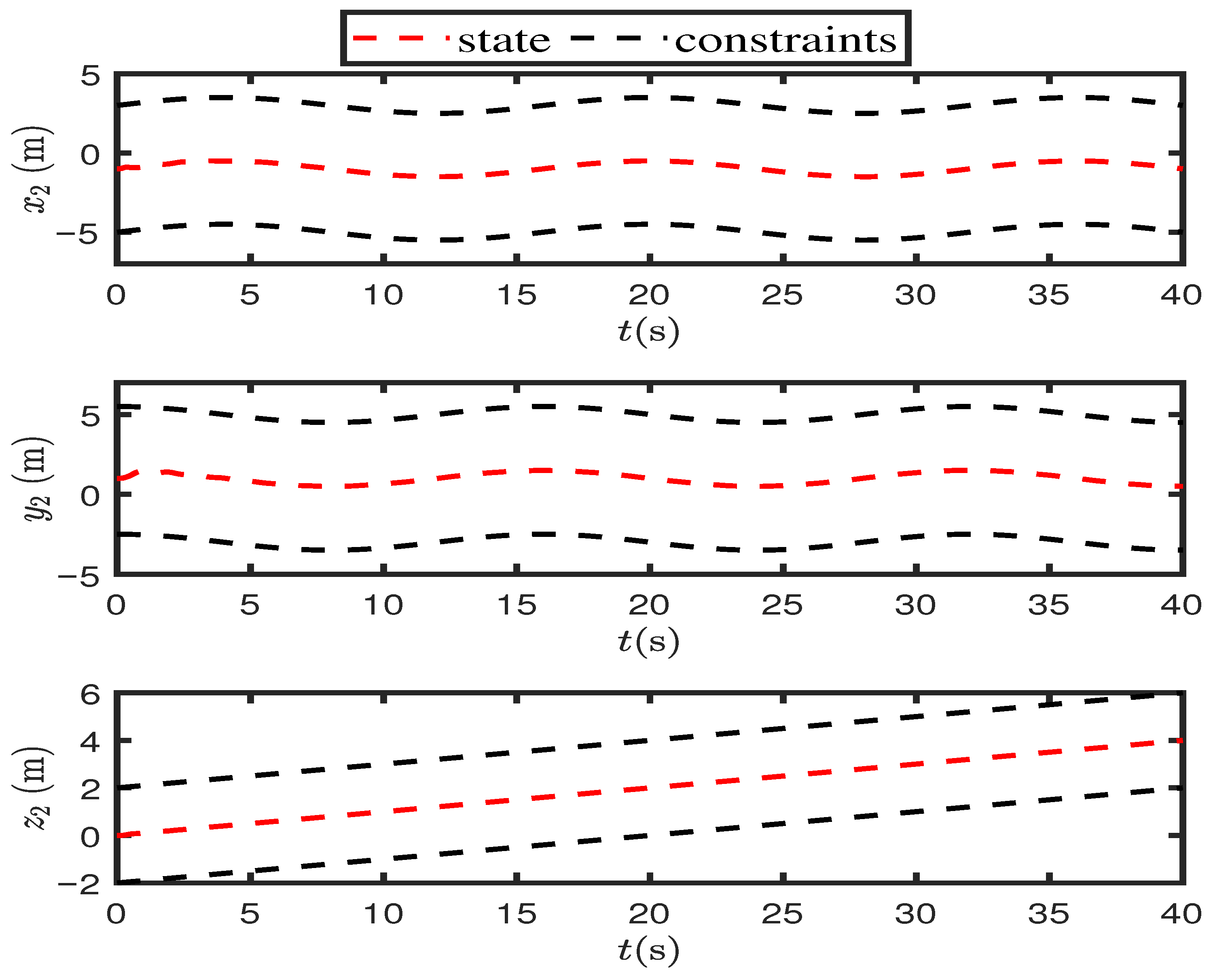
4. Simulation Results
5. Conclusions
Author Contributions
Funding
Data Availability Statement
Acknowledgments
Conflicts of Interest
References
- Adil, M.; Jan, M.; Liu, Y.; Abulkasim, H. A systematic survey: Security threats to UAV-aided IoT applications, taxonomy, current challenges and requirements with future research directions. IEEE Trans. Intell. Transp. Syst. 2022, 24, 1437–1455. [Google Scholar]
- Duan, B.; Fang, S.; Gong, Y.; Peng, Y.; Wu, X.; Zhu, R. Remote estimation of grain yield based on UAV data in different rice cultivars under contrasting climatic zone. Field Crops Res. 2021, 267, 108148. [Google Scholar]
- Li, C.; Liu, M.; Hu, Y.; Wang, H.; Xiong, Z.; Wu, W.; Liu, C.; Zhang, C.; Du, Y. Investigating the vertical distribution patterns of urban air pollution based on unmanned aerial vehicle gradient monitoring. Sustain. Cities Soc. 2022, 86, 104144. [Google Scholar] [CrossRef]
- Zhang, Q.; Bai, Z.; Huang, G.; Kong, J.; Du, Y.; Wang, D.; Jing, C.; Xie, W. Innovative landslide disaster monitoring: Unmanned aerial vehicle-deployed GNSS technology. Geomat. Nat. Hazards Risk 2024, 15, 2366374. [Google Scholar] [CrossRef]
- Guo, H.; Chen, M.; Jiang, Y.; Lungu, M. Distributed adaptive human-in-the-loop event-triggered formation control for QUAVs with quantized communication. IEEE Trans. Ind. Inform. 2022, 19, 7572–7582. [Google Scholar] [CrossRef]
- Yang, K.; Dong, W.; Tong, Y.; He, L. Leader-follower formation consensus of quadrotor UAVs based on prescribed performance adaptive constrained backstepping control. Int. J. Control Autom. Syst. 2022, 20, 3138–3154. [Google Scholar] [CrossRef]
- Shao, S.; Chen, M.; Hou, J.; Zhao, Q. Event-triggered-based discrete-time neural control for a quadrotor UAV using disturbance observer. IEEE/ASME Trans. Mechatron. 2021, 26, 689–699. [Google Scholar] [CrossRef]
- Gao, Y.; Wang, W.; Yang, C.; Zhang, Y.; Qie, T. A new reaching law for anti-disturbance sliding mode control of steer-by-wire system. IEEE Trans. Veh. Technol. 2025, 74, 4064–4075. [Google Scholar]
- Wu, Y.; Liang, H.; Xuan, S.; Zhang, X. Extended state observer based finite-time fault-tolerant formation control for multi-UAVs. J. Frankl. Inst. 2024, 361, 107158. [Google Scholar] [CrossRef]
- Wang, Y.; Yuan, Y.; Liu, J. Finite-time leader-following output consensus for multi-agent systems via extended state observer. Automatica 2021, 124, 109133. [Google Scholar] [CrossRef]
- Xiao, H.; Yang, Y.; Yu, D.; Chen, C. 3D Self-triggered-organized communication topology based UAV swarm consensus system with distributed extended state observer. IEEE Trans. Netw. Sci. Eng. 2025, 12, 3985–4000. [Google Scholar] [CrossRef]
- Pu, Z.; Yuan, R.; Yi, J.; Tan, X. A class of adaptive extended state observers for nonlinear disturbed systems. IEEE Trans. Ind. Electron. 2015, 62, 5858–5869. [Google Scholar] [CrossRef]
- Shen, H.; Du, J.; Yan, K.; Liu, Y.; Chen, J. VGESO-based finite-time fault-tolerant tracking control for quadrotor unmanned aerial vehicle. Int. J. Aerosp. Eng. 2024, 2024, 2541698. [Google Scholar] [CrossRef]
- Yan, K.; Chen, H.; Chen, C.; Gao, S.; Sun, J. Time-varying gain extended state observer-based adaptive optimal control for disturbed unmanned helicopter. ISA Trans. 2024, 148, 1–11. [Google Scholar] [CrossRef] [PubMed]
- Ye, H.; Chen, M.; Wu, Q. Flight envelope protection control based on reference governor method in high angle of attack maneuver. Math. Probl. Eng. 2015, 2015, 254975. [Google Scholar] [CrossRef]
- Cruz-Ortiz, D.; Chairez, I.; Poznyak, A. Sliding-mode control of full-state constraint nonlinear systems: A barrier Lyapunov function approach. IEEE Trans. Syst. Man Cybern. Syst. 2022, 52, 6593–6606. [Google Scholar] [CrossRef]
- Zhao, W.; Liu, Y.; Liu, L. Observer-based adaptive fuzzy tracking control using integral barrier Lyapunov functionals for a nonlinear system with full state constraints. IEEE/CAA J. Autom. Sin. 2021, 8, 617–627. [Google Scholar] [CrossRef]
- Tian, D.; Song, X. Addressing complex state constraints in the integral barrier Lyapunov function-based adaptive tracking control. Int. J. Control 2023, 96, 1202–1209. [Google Scholar] [CrossRef]
- Yan, K.; Wu, Q. Adaptive tracking flight control for unmanned autonomous helicopter with full state constraints and actuator faults. ISA Trans. 2022, 128, 32–46. [Google Scholar] [CrossRef]
- Cui, G.; Xu, H.; Chen, X.; Yu, J. Fixed-time distributed adaptive formation control for multiple QUAVs with full-state constraints. IEEE Trans. Aerosp. Electron. Syst. 2023, 59, 4192–4206. [Google Scholar] [CrossRef]
- Chen, J.; Hua, C.; Wang, F.; Guan, X. Distributed adaptive containment control of uncertain QUAV multiagents with time-varying payloads and multiple variable constraints. ISA Trans. 2019, 90, 107–115. [Google Scholar] [CrossRef]
- Lu, S.; Chen, M.; Liu, Y.; Shao, S. SDO-based command filtered adaptive neural tracking control for MIMO nonlinear systems with time-varying constraints. IEEE Trans. Cybern. 2023, 54, 5054–5067. [Google Scholar] [CrossRef] [PubMed]
- Lu, S.; Chen, M.; Liu, Y.; Shao, S. Adaptive NN tracking control for uncertain MIMO nonlinear system with time-varying state constraints and disturbances. IEEE Trans. Neural Netw. Learn. Syst. 2022, 34, 7309–7323. [Google Scholar] [CrossRef] [PubMed]
- Yan, K.; Zhao, J.; Fang, J.; Zhang, P.; Cheng, B.; Yu, X. Adaptive fault tolerant compensation control for unmanned autonomous helicopter with multi-constrained conditions. ISA Trans. 2025, 167, 1339–1350. [Google Scholar] [CrossRef] [PubMed]
- Xing, L.; Wen, C.; Liu, Z.; Su, H.; Cai, J. Event-triggered adaptive control for a class of uncertain nonlinear systems. IEEE Trans. Autom. Control 2016, 62, 2071–2076. [Google Scholar] [CrossRef]
- Liu, J.; Zhang, Y.; Yu, Y.; Sun, C. Fixed-time leader-follower consensus of networked nonlinear systems via event/self-triggered control. IEEE Trans. Neural Netw. Learn. Syst. 2020, 31, 5029–5037. [Google Scholar]
- Wang, L.; Chen, C.; Li, H. Event-triggered adaptive control of saturated nonlinear systems with time-varying partial state constraints. IEEE Trans. Cybern. 2018, 50, 1485–1497. [Google Scholar] [CrossRef]
- Tian, B.; Cui, J.; Lu, H.; Liu, L.; Zong, Q. Attitude control of UAVs based on event-triggered supertwisting algorithm. IEEE Trans. Ind. Inform. 2020, 17, 1029–1038. [Google Scholar]
- Wu, Y.; Chen, M.; Li, H.; Chadli, M. Event-triggered-based adaptive NN cooperative control of six-rotor UAVs with finite-time prescribed performance. IEEE Trans. Autom. Sci. Eng. 2023, 21, 1867–1877. [Google Scholar] [CrossRef]
- Song, W.; Wang, J.; Zhao, S.; Shan, J. Event-triggered cooperative unscented kalman filtering and its application in multi-UAV systems. Automatica 2019, 105, 264–273. [Google Scholar] [CrossRef]
- Yan, K.; Fan, J.; Tang, J.; He, C. Fault detection and distributed consensus fault-tolerant control for multiple quadrotor UAVs based on nussbaum-type function. Aerospace 2025, 12, 734. [Google Scholar]
- Liu, S.; Jiang, B.; Mao, Z.; Zhang, Y. Decentralized adaptive event-triggered fault-tolerant synchronization tracking control of multiple UAVs and UGVs with prescribed performance. IEEE Trans. Veh. Technol. 2024, 73, 9656–9665. [Google Scholar] [CrossRef]
- Zhang, B.; Sun, X.; Liu, S.; Lv, M.; Deng, X. Event-triggered adaptive fault-tolerant synchronization tracking control for multiple 6-DOF fixed-wing UAVs. IEEE Trans. Veh. Technol. 2021, 71, 148–161. [Google Scholar] [CrossRef]
- Zhu, C.; Chen, J.; Iwasaki, M.; Zhang, H. Event-triggered deep learning control of quadrotors for trajectory tracking. IEEE Trans. Ind. Electron. 2023, 71, 2726–2736. [Google Scholar] [CrossRef]
- Lin, G.; Li, H.; Ahn, C.; Yao, D. Event-based finite-time neural control for human-in-the-loop UAV attitude systems. IEEE Trans. Neural Netw. Learn. Syst. 2022, 34, 10387–10397. [Google Scholar]
- Guo, Y.; Tian, Y.; Ji, Y.; Ge, Z. Fixed-time consensus of nonlinear multi-agent system with uncertain disturbances based on event-triggered strategy. ISA Trans. 2022, 126, 629–637. [Google Scholar]



















| Method | n | h | r |
|---|---|---|---|
| Time-driven | 40,000 | 0.001 | 100% |
| Fixed threshold | 14,595 | 0.001 | 36% |
| AETM | 13,419 | 0.001 | 33% |
Disclaimer/Publisher’s Note: The statements, opinions and data contained in all publications are solely those of the individual author(s) and contributor(s) and not of MDPI and/or the editor(s). MDPI and/or the editor(s) disclaim responsibility for any injury to people or property resulting from any ideas, methods, instructions or products referred to in the content. |
© 2026 by the authors. Licensee MDPI, Basel, Switzerland. This article is an open access article distributed under the terms and conditions of the Creative Commons Attribution (CC BY) license.
Share and Cite
Liu, L.; Lu, T.; Hao, G.; Yan, K.; Chen, C. Adaptive Event-Triggered-Based Consensus Control for QUAV Formation System with External Disturbances and State Constraints. Aerospace 2026, 13, 308. https://doi.org/10.3390/aerospace13040308
Liu L, Lu T, Hao G, Yan K, Chen C. Adaptive Event-Triggered-Based Consensus Control for QUAV Formation System with External Disturbances and State Constraints. Aerospace. 2026; 13(4):308. https://doi.org/10.3390/aerospace13040308
Chicago/Turabian StyleLiu, Lijun, Tongwei Lu, Guoxiang Hao, Kun Yan, and Chaobo Chen. 2026. "Adaptive Event-Triggered-Based Consensus Control for QUAV Formation System with External Disturbances and State Constraints" Aerospace 13, no. 4: 308. https://doi.org/10.3390/aerospace13040308
APA StyleLiu, L., Lu, T., Hao, G., Yan, K., & Chen, C. (2026). Adaptive Event-Triggered-Based Consensus Control for QUAV Formation System with External Disturbances and State Constraints. Aerospace, 13(4), 308. https://doi.org/10.3390/aerospace13040308

