Next Article in Journal
An Interval Analysis Method for Uncertain Multi-Objective Optimization of Solid Propellant Formulations
Previous Article in Journal
Sampling-Based Adaptive Techniques for Reducing Non-Gaussian Position Errors in GNSS/INS Systems
Previous Article in Special Issue
Numerical Method for Chemical Non-Equilibrium Plume Radiation Characteristics of Solid Rocket Motors
 
 
Font Type:
Arial Georgia Verdana
Font Size:
Aa Aa Aa
Line Spacing:
Column Width:
Background:
Article

Numerical Study on Heat Transfer Characteristics of High-Temperature Alumina Droplet Impacting Carbon–Phenolic Ablative Material

Institute of Systems Engineering, China Academy of Engineering Physics, Mianyang 621999, China
*
Author to whom correspondence should be addressed.
Aerospace 2025, 12(10), 864; https://doi.org/10.3390/aerospace12100864
Submission received: 31 August 2025 / Revised: 18 September 2025 / Accepted: 19 September 2025 / Published: 25 September 2025
(This article belongs to the Special Issue Flow and Heat Transfer in Solid Rocket Motors)

Abstract

This study investigates the heat transfer characteristics of high-temperature alumina droplets impacting carbon–phenolic ablative materials in solid rocket motors using the Volume of Fluid (VOF) method. Simulations under varied droplet diameters, impact velocities, wall temperatures, and accelerations were carried out, and the simulation method was validated against experimental data. Results show that heat flux drops rapidly from 20 MW/m2 to below 5 MW/m2 after the non-dimensional time t * = 0.5, due to solidified layer formation at the droplet bottom, which shifts heat transfer from convection to conduction and increases thermal resistance. The solidified layer is thicker at the sides and thinner in the center, caused by weaker heat transfer in the thinner side regions. Acceleration is found to have a negligible influence on impact dynamics within wall temperatures of 25 °C to 1000 °C, as potential energy conversion during spreading is insignificant compared to kinetic energy. Thus, droplet–wall heat transfer dominates the process. These findings provide critical thermal boundaries for ablation modeling and improve design guidance for SRMs.

1. Introduction

Aluminum-containing propellants are widely used in modern solid rocket motors (SRMs) to enhance their specific impulse performance. During the operation of SRM, the combustion of the propellant generates a large number of high-temperature alumina droplets (with a melting point of 2053 °C) [1]. As these alumina droplets flow through the nozzle, they collide with the throat liner and release a significant amount of heat, causing ablation of the throat liner and leading to deviations of the operating thrust of small-sized SRMs from the designed state [2]. In the backwall region of large-scale submerged nozzles, alumina deposition is prone to form, and the extremely high temperature difference also intensifies the ablation of the SRM’s thermal insulation layer, which may even result in motor burn-through in severe cases [3]. However, current research has not yet revealed the heat transfer characteristics when high-temperature alumina droplets collide with the thermal insulation materials. Therefore, conducting research on the heat transfer characteristics between high-temperature alumina droplets and the wall of thermal insulation materials is of great significance for the prediction of thermal insulation material ablation and optimized design.
The macroscopic dynamic behavior of droplets colliding with cold walls can be decomposed into three stages: spreading, retraction, and rebound/adhesion. Each stage is regulated by the dynamic balance of inertial force, capillary force, and phase change driving force. In the initial impact stage, i.e., the non-dimensional time t * < 0.1 ( t * = t V / D , where t is time, V is the droplet impact velocity, and D is the droplet diameter), the spreading dynamics are controlled by the kinetic energy–viscous dissipation balance. The theoretical model of β m a x W e 0.5 / ( R e 0.25 + 0.1 W e 0.5 ) proposed by Roisman (where dimensionless spread factor β = D c o n t / D , D c o n t is the contact diameter between the droplet and the wall, D is the droplet diameter, β m a x is the maximum dimensionless spread factor, W e is the Webber number, and R e is the Reynolds number) [4] was verified by Zhong under supercooled conditions: when the wall supercooling degree T w > 30 K, the increase in viscosity leads to a 19.3% decrease in the maximum spreading coefficient β m a x compared to that at room temperature [5], and the classical model exhibits significant deviations under this condition. The retraction process in the later stage of spreading (0.1 < t * < 1) is dominated by the contact angle hysteresis effect. Luna measured that the contact angle hysteresis value ∆θ of supercooled droplets is greater than 35°, resulting in a retraction kinetic energy loss rate of 58% [6,7]. When entering the solidification stage ( t * > 1), the phase change morphology zoning theory was verified in Ding’s experiment: when T w < 80 K, a “pizza-shaped” fixed ice layer is formed; when 80 K < β m a x < 150 K, a fractal dendrite structure appears [8,9].
The heat transfer characteristics during the collision process are embodied in the synergistic effect of non-uniform heat flux distribution and surface wettability [10,11]. Studies on the spatial distribution of heat flux show that the peak heat flux density ( q m a x ~104 W/cm2) in the three-phase contact line region can be more than three times that in the central region. Guo confirmed through infrared thermal imaging technology that the heat flux at the contact line decreases by 30% when the contact angle θ > 90° [12]. The volume expansion effect causes heat flux fluctuations in the central region (Δq is approximately 15%), and numerical simulations by Shen et al. [13] show that the freezing time extension coefficient is proportional to the ratio of the square of thermal diffusivity to the temperature difference. Surface wettability regulates heat transfer efficiency through contact angle hysteresis. Hydrophilic surfaces (θ < 90°) have a shorter freezing time due to the larger spreading area (the freezing time at θ = 30° is 40% less than that at θ = 150°) [12]. Li found that the bubble pinning effect on superhydrophobic surfaces during the retraction stage further reduces the heat flux, and the rebound length of supercooled droplets increases with the square root of the Reynolds number [14]. It can be seen that the collision heat transfer efficiency is essentially a coupling product of dynamic wetting behavior and phase change rate, among which the migration of the contact line and the thermal resistance at the solid–liquid interface constitute two major regulatory mechanisms.
From a microscopic perspective, the thermal contact conductance is a decisive parameter of heat transfer. Combined with molecular dynamics simulations, it has been proven that copper-based walls have an interface heat flux 4.6 times higher than that of stainless steel due to the advantage of phonon spectrum matching [15]. This conclusion improves the classical theory of Carslaw [16] and gives rise to the transient heat flux model. Xiong’s Lattice Boltzmann Method simulation shows that a 100 nm gas film can increase the thermal resistance by 30% under the condition of W e < 20, which verifies Bouwhuis’ Stokes number theory [17]. During the dynamic process of phase change heat transfer, Ding observed that the heat flux pulse during the nucleation stage reaches 4.2 MW/m2, which is significantly different from the basic phase change heat conduction equation established by Stefan [18,19]. In summary, the heat transfer of droplets impacting walls exhibits strong time-variability and spatial inhomogeneity, and it is necessary to distinguish between the two mechanical contributions of interface heat conduction and phase change latent heat release.
During the impact of high-temperature alumina droplets on the thermal insulation layer, the large temperature difference between the droplet and wall affects the droplet collision process. In the authors’ previous research, it was found that when the wall temperature increases from 25 °C to 1000 °C, the rebound area of alumina droplets expands significantly [20,21]. The thermal conductivity of the wall material is also crucial. When the wall is made of high thermal conductivity metal materials such as tungsten and graphite, the heat flux density at the contact interface is as high as 103~104 W/cm2 [22]. In addition to the influence of the wall material, the substrate curvature can extend the freezing time by 10.2% by changing the contact area (a 30% reduction in the radius of curvature increases the substrate area by 22.6%) [23,24]. It can be seen that when high-temperature alumina droplets collide with the wall of thermal insulation materials, they are affected not only by the temperature difference but also by the heat transfer characteristics and geometric characteristics of the wall. The heat transfer process is strongly coupled with the droplet collision process, making the heat transfer process extremely complex. Currently, there is no effective testing method for the wall-impacting heat transfer process of high-temperature droplets. The response time of contact measurement is usually equivalent to the duration of the droplet collision process, making it difficult to obtain the temperature change law within such a short time; moreover, since alumina droplets are non-transparent, non-contact temperature measurement can only obtain their surface temperature and cannot obtain the details of heat transfer between the droplets and the wall. Therefore, numerical simulation is an effective method to obtain the heat transfer law during the collision process between high-temperature droplets and the wall.
In this paper, the VOF numerical method is used to study the heat transfer process of high-temperature alumina droplets colliding with the wall of the thermal insulation layer, and numerical verification is carried out. Subsequently, the collision and heat transfer processes under different droplet collision parameters, wall temperatures, and acceleration conditions are analyzed, and the heat transfer laws under different conditions are presented.

2. Numerical Method and Validation

2.1. Numerical Method

The VOF method is widely employed in studies on droplet impact onto walls [25,26]. In this paper, the VOF method (the interFoam solver in OpenFOAM) is adopted to investigate the process of droplets colliding with the thermal insulation layer. The governing equations include the continuity equation, mixture equation, momentum equation, and energy equation, which are expressed as follows:
f t + · ( f U ) = 0
f t + · ( U f ) = 0
( ρ U ) t + · ρ U U = p * + · μ · U + U · μ g · χ ρ + σ κ f
( ρ E ) t + · U ρ E + p = · [ λ e f f T + μ U + U T · U ]
where U denotes the velocity vector, t is time, χ is the coordinate vector, p * = p ρ g χ represents the modified pressure, σ is the surface tension, κ is the curvature of the two-phase interface, E is the internal energy, and λ e f f is the effective thermal conductivity. f stands for the volume fraction of each phase, defined as:
f = 0             g a s   p h a s e 0 < f < 1 i n t e r f a c e 1       l i q u i d     p h a s e
In the model, the two immiscible fluids are treated as a single effective fluid, and the physical properties of the mixture fluid are calculated using weighted averages:
ρ = f ρ l + ( 1 f ) ρ g
μ = f μ l + ( 1 f ) μ g
E = f ρ l E l + ( 1 f ) ρ g E g f ρ l + ( 1 f ) ρ g
For the compressible phase in Equation (2), a bounded compression scheme is applied to discretize the volume fraction equation, aiming to obtain a sharp gas–liquid interface:
f t + U · f + U · ( U c f ( 1 f ) ) = 0
where U c = U l U g is the gas–liquid relative velocity vector.
In this study, the Continuum Surface Force (CSF) method is used to convert the surface tension of droplets into a volume force for calculation. A variable time-step strategy is adopted, with the criterion for adjusting the time step being to maintain the maximum Courant number (Co) in the flow field at 0.5. The Pressure Implicit with Splitting of Operators (PISO) algorithm, which enables momentum-pressure coupling, is utilized to update fluid properties based on pressure.
Only heat transfer occurs inside the thermal insulation material. In this paper, changes in physical properties caused by the carbonization of the thermal insulation layer are temporarily not considered, and its governing equation is given by:
t ρ i h = · λ i T + S ˙
where ρ i is the density of the thermal insulation material, h is the enthalpy of the thermal insulation material, λ i is the thermal conductivity of the thermal insulation material, and S ˙ is the energy source term.

2.2. Computational Domain and Boundary Conditions

In this study, the radius of the droplet is denoted as R, the computational domain is a square with a size of 4 R × 4 R, and the thickness of the solid domain is 1.4R, as illustrated in Figure 1. The dimensionless parameter MNR is used to characterize the degree of mesh refinement, which is expressed in Equation (11). The mesh of the computational domain in this work is 530 × 530, and the calculated MNR value is 265. According to the authors’ previous research, mesh independence verification can be achieved when MNR > 128 [27]. The solid surface is set with a no-slip wall boundary condition, and a constant contact angle condition is adopted for the contact angle. Based on the contact angles of alumina droplets with tungsten and thermal insulation layer walls obtained from experiments, the contact angle is set to 145°. All other boundaries are configured as inletOutlet boundary conditions, and the pressure at the boundaries and inside the flow field is set to 1 atm.
M N R = d r o p l e t   d i a m e t e r s m a l l e s t   g r i d   s i z e

2.3. Numerical Validation

Numerical validation was conducted using the experimental results of alumina droplets impacting a tungsten wall. The parameters for validation are as follows: the droplet diameter is 1.24 mm, the droplet impact velocity is 4.68 m/s, the droplet temperature is 2117 °C, the wall material is tungsten, and the wall temperature is 25 °C. The physical properties of alumina droplets, such as density, viscosity, and surface tension, vary with temperature, and detailed data can be found in the authors’ previous research [27].
Figure 2 presents a comparison between the numerical results and the experimental data. It can be observed that the droplet spreads on the wall within the time range of 0~0.61 ms, followed by a retraction process. At 1.52 ms, the droplet reaches the maximum retraction state; at this moment, solidification occurs at the bottom of the droplet, and the kinetic energy of the droplet is insufficient to make it detach from the wall. After 1.52 ms, the droplet oscillates on the wall surface.
From the comparison between the numerical and the experimental results, it can be concluded that the solver can accurately predict the process of high-temperature alumina droplets impacting a cold wall.

3. Results and Discussion

In SRMs, alumina droplets generated by propellant combustion typically have a size range of 20–200 μm, and the velocity of these droplets in the chamber is usually below 10 m/s. Under the condition of large maneuver overload of the motor, the rapid deflection of the gas flow causes the droplets to bear a large volume force, leading them to collide with the motor wall at a relatively high acceleration. During the operation of the SRM, the surface temperature of the thermal insulation layer gradually increases, which also affects the wall-impacting process of the droplets. At present, the influences of droplet diameter, velocity, acceleration, and wall temperature on the collision and heat transfer processes of droplets impacting the thermal insulation layer wall remain unclear. In this study, numerical simulation research is carried out to investigate the influence mechanisms of different droplet diameter, velocities, accelerations, and wall temperatures.

3.1. Influence of Droplet Impact Parameters on the Collision and Heat Transfer Processes

Research was conducted on the collision law within the ranges of droplet velocity (1–10 m/s) and droplet diameter (20–200 μm). Figure 3 presents the morphological evolution law of droplets with a diameter D = 20 μm impacting the surface of the thermal insulation layer at different velocities (V = 1 m/s, V = 5 m/s, and V = 10 m/s) as a function of dimensionless time t * . When the droplet impact velocity V = 1m/s, the droplet begins to spread on the wall after colliding with it. When t * < 0.4 , the droplet approaches the maximum spreading state and then starts to retract under the action of surface tension. When t * = 0.4 , the droplet reaches the maximum spreading state, solidification has occurred in the bottom region of the droplet at this moment, and the contact line no longer moves. Subsequently, the droplet starts to retract, while the upper region of the droplet remains in a molten state and retracts upward under the influence of surface tension. When t * < 2.0 , the droplet reaches the maximum retraction state, but the kinetic energy of the droplet at this time is insufficient to overcome the adhesion force between the droplet and the wall. Afterwards, the droplet oscillates on the wall, and the solidified region at the bottom of the droplet gradually thickens.
With the increase in droplet impact velocity, there is a lag effect in the stage of droplet motion at the same dimensionless time t * . For example, the ratio of the solidified thickness at the droplet bottom to the droplet diameter decreases. This is because a higher velocity leads to a smaller actual time t corresponding to the same dimensionless time t * , meaning the droplet completes the wall impact within a smaller time scale. Although the velocity of the fluid inside the droplet is higher under this condition, which enhances heat transfer with the wall, the shortened collision time conversely reduces the influence of heat transfer on droplet solidification.
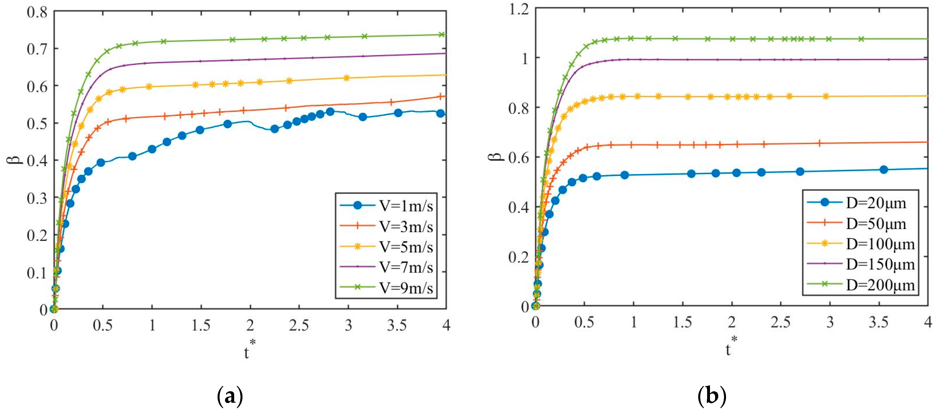
In addition to the contact time with the wall, the total heat transfer between the droplet and the wall also depends on the contact area between them, which is described by the dimensionless spread factor β . Figure 4a presents the variation law of the dimensionless parameter β with dimensionless time t * for droplets with a diameter of 20 μm under different impact velocities (V = 1 m/s, 3 m/s, 5 m/s, 7 m/s, and 9 m/s). It can be observed that the influence of impact velocity on β is mainly reflected in the maximum dimensionless spread diameter. In the initial stage ( t * < 0.5 ), β increases rapidly under all velocity conditions, and the higher the velocity, the faster the rising rate; when t * 0.5 , β gradually stabilizes (as the droplet bottom gradually solidifies), forming steady-state values corresponding to different velocities. Moreover, the higher the velocity, the larger the steady-state β value, which reflects the correlation mechanism between the impact kinetic energy and the interfacial energy between the droplet and the wall. Figure 4b shows the variation law of β with t * for droplets of different diameters (D = 20 μm, 50 μm, 100 μm, 150 μm, and 200 μm) under an impact velocity of 5 m/s. The results indicate that the law of β increasing rapidly when t * < 0.5 still holds, and large-diameter droplets (e.g., D = 200 μm) show a faster rising rate; when t * 0.5 , β basically no longer changes, as the droplet bottom has solidified by this time. From the perspective of the influences of droplet impact velocity and diameter on β , both velocity and diameter can determine the inertial force of the droplet, thereby affecting the droplet spreading process. This indicates that the inertial force of the droplet dominates the spreading process.
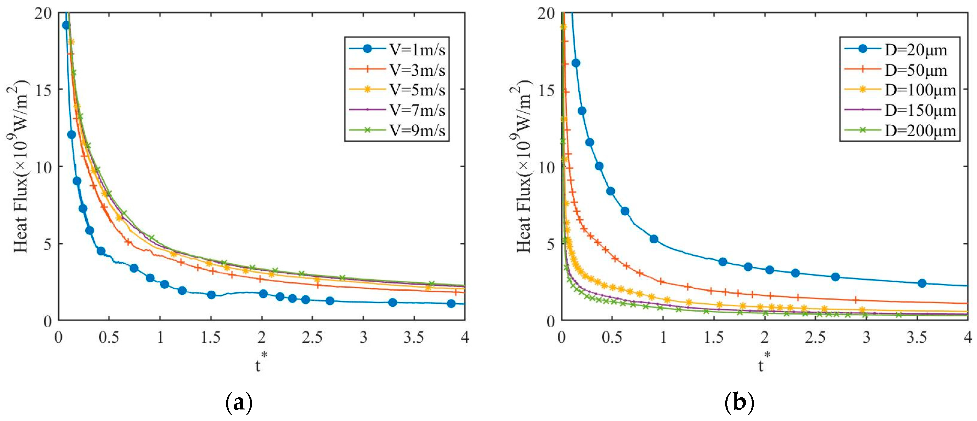
Although the influence laws of droplet impact velocity and diameter on β are consistent, their influence laws on the final heat transfer flux are different. As shown in Figure 5a, under different impact velocities (V = 1 m/s, 3 m/s, 5 m/s, 7 m/s, and 9 m/s), the heat flux decreases rapidly with dimensionless time t * when t * < 0.5 and then gradually tends to be stable. This phenomenon is closely related to the solidification at the droplet bottom: in the initial stage of droplet collision, the heat transfer between the droplet and the wall is dominated by convective heat transfer, while after the solidification of the droplet bottom region, it is dominated by heat conduction—this leads to the difference in heat flux around t *   =   0.5 . Meanwhile, the higher the velocity, the larger the heat flux density. However, when V ≥ 5 m/s, the impact velocity barely affects the heat flux, indicating that the solidification characteristics of the droplet bottom tend to be similar at relatively high velocities. As shown in Figure 5b, the heat flux of small droplets is higher than that of large-sized droplets, which is also the reason why small droplets are more prone to solidification. When D ≥ 100 μm, the influence of droplet diameter on heat flux weakens.

3.2. Influence of Wall Temperature on the Collision and Heat Transfer Processes

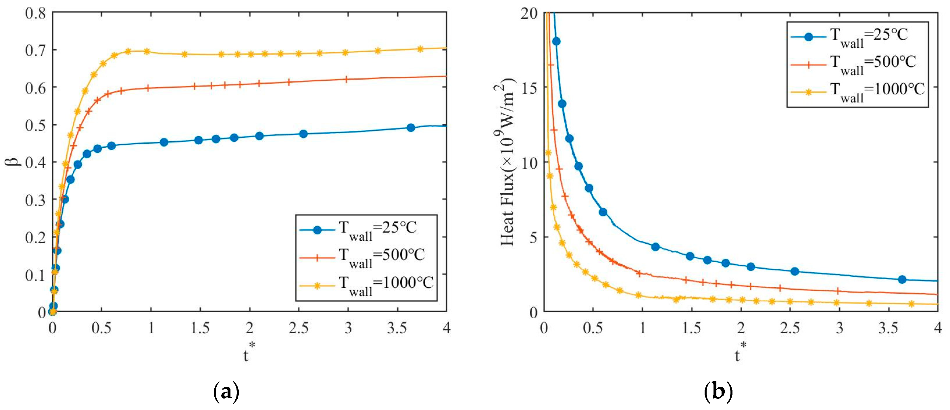
During the operation of a SRM, the wall temperature of the internal thermal insulation layer gradually increases from room temperature to approximately 1000 °C, and this wall temperature exerts a significant influence on the heat transfer process of droplet impact onto the wall. Figure 6 illustrates the morphological evolution law of droplets with a diameter D = 20 μm and an impact velocity V = 5m/s under different wall temperatures (Twall = 25 °C, 500 °C, and 1000 °C). As the wall temperature rises from 25 °C to 1000 °C, the droplets still undergo the process from spreading to retraction. However, there is a significant difference in the solidification thickness at the droplet bottom region when t * = 4.0 . The solidification thickness of droplets under a wall temperature of 1000 °C is obviously smaller than that under 25 °C. Meanwhile, the solidified region exhibits the characteristic of being thick on both sides and thin in the middle. This is because the liquid regions on both sides are relatively thin, resulting in weak heat transfer to the solidified region and thus making solidification more likely to occur on both sides.
Quantitative analysis was conducted on the three conditions in Figure 7 to investigate their spread characteristics and heat transfer characteristics. As shown in Figure 7a, when t * 0.5 , the dimensionless spread factor β gradually increases to a stable value, and there is a law that the higher the wall temperature, the larger the β value. This also reflects that when the droplet diameter is smaller, the molten region at the top of the droplet is smaller, resulting in insufficient heating effect on the solidified region at the bottom; thus, small droplets are more susceptible to the condensation effect of the wall. Figure 7b presents the variation law of heat flux between the droplet and the wall under different wall temperature conditions. The law that the heat flux decreases rapidly in the initial collision stage ( t * < 0.5 ) and then decreases slowly still holds. At this point, the heat transfer between the droplet and the wall transitions from convective heat transfer to heat conduction, and the formation of the solidified region acts as thermal resistance simultaneously. The heat flux under different wall temperatures all decreases rapidly from above 20 MW/m2 to below 5 MW/m2, and the heat flux at a wall temperature of Twall = 25 °C is greater than that at Twall = 500 °C and Twall = 1000 °C.

3.3. Influence of Acceleration on the Collision and Heat Transfer Processes

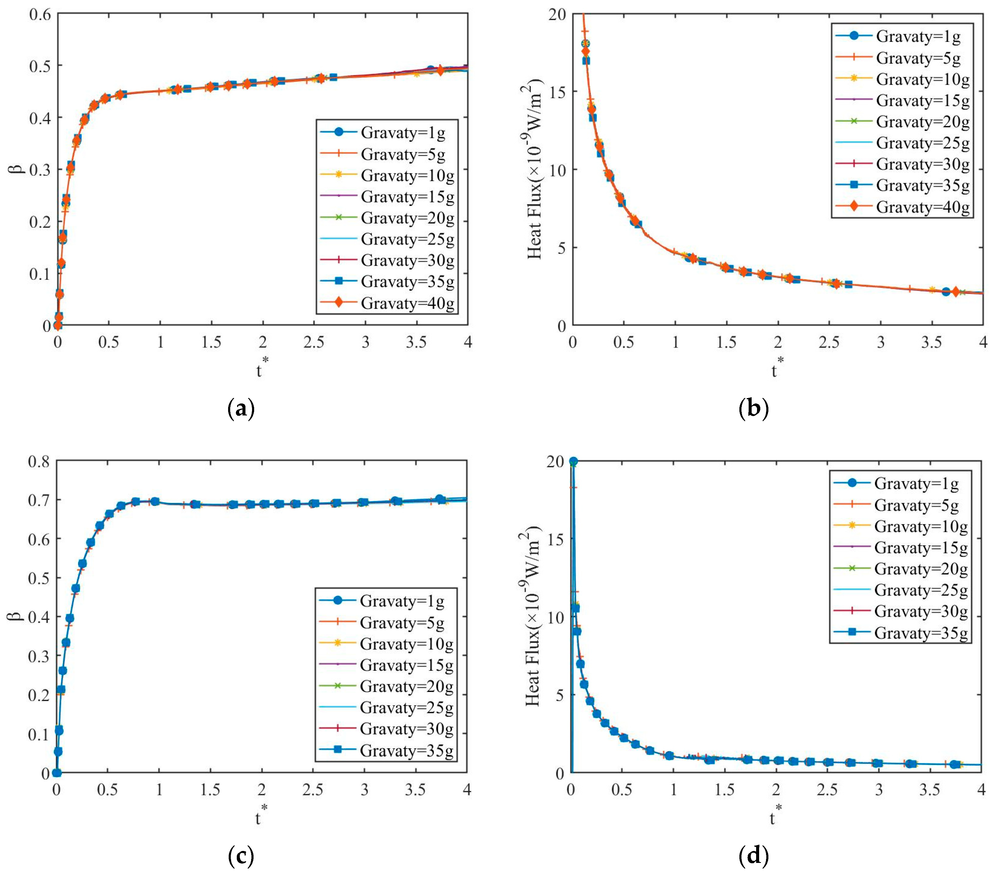
Under the SRM overload condition, alumina droplets are entrained by the gas and collide with the wall at relatively high acceleration. Figure 8 shows the morphological evolution process of droplets impacting the wall under the condition of 1–40 g. It can be observed that the morphological evolution processes of droplets under different gravitational accelerations are basically consistent, and the solidification characteristics at the droplet bottom are also essentially the same.
Contrary to the common conjecture that greater acceleration would lead to a larger dimensionless spread factor β of the droplet and higher heat transfer efficiency, under a wall temperature of 25~1000 °C, there is no significant difference in the β and heat flux under the accelerations of 1–40 g, as shown in Figure 9. The influence of acceleration on the morphological evolution and heat transfer process of the droplet impact on the wall is mainly realized through the conversion of potential energy into kinetic energy due to the lowering of the center of gravity during the droplet spread process. However, due to the high surface tension of alumina droplets, the conversion of potential energy is negligible compared with the kinetic energy of droplet collision, resulting in little influence of acceleration on the morphological evolution and heat transfer process. This indicates that under the condition of a large temperature difference between the droplet and the wall, the influence of acceleration on the droplet collision and heat transfer processes can be almost ignored, and the influence of temperature difference dominates at this time.

4. Conclusions

In this study, the Volume of Fluid (VOF) method was used to conduct a numerical investigation on the morphological evolution and heat transfer process of alumina droplets colliding with the wall under different conditions of droplet diameter, velocity, wall temperature, and acceleration. The conclusions obtained from the research are as follows:
(1) The influences of droplet diameter and velocity on its spread characteristics are both achieved by affecting the inertial force. Moreover, under different droplet diameters, impact velocities, and wall temperatures, a consistent law is observed: the dimensionless spread factor β transitions from increasing to stabilizing at t * = 0.5 . The heat flux density also exhibits a regular pattern: it decreases rapidly from 20 MW/m2 to below 5 MW/m2 when t * < 0.5 and then decreases slowly after t * > 0.5 . This phenomenon is attributed to the formation of a solidified region at the droplet bottom, which transforms the heat transfer between the droplet and the wall from convective heat transfer to heat conduction; meanwhile, the solidified region also increases thermal resistance.
(2) The solidified region at the droplet bottom is characterized by being thick on both sides and thin in the middle. This is because the liquid regions on both sides are relatively thin, resulting in weak heat transfer to the solidified region, thus making solidification more likely to occur on the two sides.
(3) The influence of acceleration on the impact of alumina droplets onto the wall (with wall temperatures ranging from 25 °C to 1000 °C) can be neglected. This is due to the fact that the conversion of potential energy during the droplet spreading process is much smaller than the kinetic energy of the droplet itself, so the spreading characteristics of the droplet remain unaffected. Ultimately, this leads to the dominance of the influence of heat transfer between the droplet and the wall on the collision process.

Author Contributions

Conceptualization, Y.H. and G.Z.; methodology, X.Z.; software, W.W.; validation, G.Z.; formal analysis, F.L.; investigation, G.Z.; writing—original draft preparation, G.Z.; writing—review and editing, Y.H.; funding acquisition, Y.H. All authors have read and agreed to the published version of the manuscript.

Funding

This work was supported by the National Natural Science Foundation of China, grant number [52476093], and the development project of China Academy of Engineering Physics, grant number [TCGH0421].

Data Availability Statement

The original contributions presented in the study are included in the article; further inquiries can be directed to the corresponding author.

Conflicts of Interest

The authors declare that they have no competing financial interests or personal relationships that could have appeared to influence the work reported in this paper.

References

  1. Zhang, Y.; Sun, Z.S.; Hu, Y.; Zhu, Y.; Xia, X.; Qu, H.; Tian, B. Numerical Simulation of the Gas Flow of Combustion Products from Ignition in a Solid Rocket Motor Under Conditions of Propellant Creep. Aerospace 2025, 12, 153. [Google Scholar] [CrossRef]
  2. Peng, M.D.; Zou, Y.X.; Zhang, R.T.; Ba, Y.; Liu, Y. A Study on the Influence of Flight Parameters on Two-Phase Flow and Radiation in the Plume of Solid Rocket Motors. Aerospace 2025, 12, 711. [Google Scholar] [CrossRef]
  3. Tian, H.; Yu, R.P.; Li, C.G.; Zhao, S.; Zhu, H. Numerical and Experimental Study of the Thermochemical Erosion of a Graphite Nozzle in a Hybrid Rocket Motor with a Star Grain. Acta Astronaut. 2019, 155, 10–22. [Google Scholar] [CrossRef]
  4. Roisman, V. Inertia Dominated Drop Collisions. II. An Analytical Solution of the Navier–Stokes Equations. Phys. Fluids 2009, 21, 052104. [Google Scholar] [CrossRef]
  5. Liu, Y.Z.; Wang, T.B.; Song, Z.Y.; Chen, M. Spreading and Freezing of Supercooled Water Droplets Impacting an Ice Surface. Appl. Surf. Sci. 2022, 583, 152374. [Google Scholar] [CrossRef]
  6. Wei, B.J.; Shi, L.K.; Gao, S.R.; Shi, S.H.; Liu, Z.; Wang, Y.F.; Yang, Y.R.; Wang, X.D. Experimental Study on Dynamics and Freezing Characteristics of Droplet Impact on Supercooled Surfaces. Int. J. Therm. Sci. 2025, 213, 109811. [Google Scholar] [CrossRef]
  7. Misyura, S.Y.; Morozov, V.S.; Andryushchenko, V.A.; Orlova, E. Effect of Temperature and Capillary Number on Wettability and Contact Angle Hysteresis of Various Materials. Modeling Taking into Account Porosity. Mater. Sci. Eng. B 2025, 311, 117827. [Google Scholar] [CrossRef]
  8. Xu, N.; Ji, T.X.; Liu, Z.L.; Wang, D.; Chu, H. Numerical Simulation of Single Droplet, Double Droplets and Hollow Droplet Impact Behaviors on Walls with Different Temperatures and Roughness Levels. Int. J. Therm. Sci. 2025, 210, 109612. [Google Scholar] [CrossRef]
  9. Liu, X.C.; Liu, L.S.; Li, R.J.; Xie, J.; Chen, Y. Experimental Investigation on Spreading and Freezing Mode of Droplets Impacting Cold Wall. Colloids Surf. A 2024, 703, 135375. [Google Scholar] [CrossRef]
  10. Xing, M.B.; Zhang, Z.T.; Wang, Z.Y.; Jing, D. Freezing Process of Water Droplet on the Cold Plate Surfaces with Different Wettability. Int. J. Heat Mass Transf. 2024, 230, 125773. [Google Scholar] [CrossRef]
  11. Hou, J.Q.; Gong, J.Y.; Wu, X. Numerical Analysis of the Effect of Ellipsoidal Shape on the Freezing Behavior of Impacting Water Droplets on Cold Surfaces. Int. J. Heat Mass Transf. 2023, 200, 123436. [Google Scholar] [CrossRef]
  12. Guo, L.; Chen, Y.; Cai, N.; Sun, W.; Yan, Y.; Wang, H.; Gao, Y. Dynamic Behaviors of Fuel Droplets Impacting on the Wall Surfaces with Different Wettability and Temperatures. Appl. Therm. Eng. 2022, 212, 118536. [Google Scholar] [CrossRef]
  13. Shen, F.; Fang, W.Z.; Zhang, S.; Zhang, X.; Yang, C.; Tao, W.-Q. Numerical Simulations of Freezing Behaviors of Water Droplets Impacting Cold Hydrophobic Surfaces. Appl. Therm. Eng. 2024, 258, 124521. [Google Scholar] [CrossRef]
  14. Li, W.; Wang, J.; Tian, L.; Zhu, C.; Zhao, N. Numerical Investigation on Rebound Dynamics of Supercooled Water Droplet on Cold Superhydrophobic Surface. Appl. Therm. Eng. 2023, 225, 120187. [Google Scholar] [CrossRef]
  15. An, T.; Chen, H.; Sang, X.Q.; Wang, Y.; Fang, H. Solidification Process of Hollow Metal Droplets Impacting a Substrate. Int. Commun. Heat Mass Transf. 2024, 159, 108252. [Google Scholar] [CrossRef]
  16. Zhang, X.; Liu, X.; Wu, X.; Min, J. Modelling of Sessile Water Droplet Shape Evolution during Freezing with Consideration of Supercooling Effect. Appl. Therm. Eng. 2017, 125, 644–651. [Google Scholar] [CrossRef]
  17. Mishchenko, L.; Hatton, B.; Bahadur, V.; Taylor, J.A.; Krupenkin, T.; Aizenberg, J. Design of Ice-Free Nanostructured Surfaces Based on Repulsion of Impacting Water Droplets. ACS Nano 2010, 4, 7699–7707. [Google Scholar] [CrossRef]
  18. Ding, B.; Wang, H.; Zhu, X.; Chen, R.; Liao, Q. How Supercooled Superhydrophobic Surfaces Affect Dynamic Behaviours of Impacting Water Droplets. Int. J. Heat Mass Transf. 2018, 124, 1025–1032. [Google Scholar] [CrossRef]
  19. Xiong, Y.; Qin, M.; Weng, X.; Zhang, X.; Zhang, P.; Li, J.; Huang, Z. Dynamics of Droplet Impact on Solid Surface with Different Roughness. Int. J. Multiph. Flow 2017, 96, 56–69. [Google Scholar] [CrossRef]
  20. Zhu, G.; Hu, Y.P.; Wu, S. Experiment and Model Study of Rebound/Adhesion Characteristics of Alumina Droplets Colliding with Walls at Different Temperatures. Acta Astronaut. 2024, 215, 168–177. [Google Scholar] [CrossRef]
  21. Zhu, G.; Li, J.; Li, Z.H.; Li, K.; Hu, B.; Yan, O. Experimental Study on the Rebound Characteristics of High Temperature Alumina Droplets Impacting on an Inclined Cold Wall. Acta Astronaut. 2022, 198, 1–8. [Google Scholar] [CrossRef]
  22. Li, C.; Wu, G.; Li, M.; Hu, C.; Wei, J. A Heat Transfer Model for Aluminum Droplet/Wall Impact. Appl. Therm. Eng. 2020, 168, 114864. [Google Scholar] [CrossRef]
  23. Zhang, X.; Gao, Y.; Liu, X.; Min, J.; Li, K.; Song, M. Modelling of the Icing Processes of Sessile Supercooled Water Droplets on Cold Spheres. Appl. Therm. Eng. 2024, 242, 122596. [Google Scholar] [CrossRef]
  24. Chang, S.N.; Sun, Z.Y.; Zhang, S.Y. Experimental Investigation of the Impact and Freezing Processes of Supercooled Water Droplet on Different Cold Curved Surfaces. Int. J. Therm. Sci. 2025, 208, 109497. [Google Scholar]
  25. Lee, J.B.; Derome, D.; Dolatabadi, A.; Carmeliet, J. Energy Budget of Liquid Drop Impact at Maximum Spreading: Numerical Simulations and Experiments. Langmuir 2016, 32, 1279–1288. [Google Scholar] [CrossRef]
  26. Attarzadeh, R.; Dolatabadi, A. Coalescence-Induced Jumping of Micro-Droplets on Heterogeneous Superhydrophobic Surfaces. Phys. Fluids 2017, 29, 012104. [Google Scholar]
  27. Zhu, G.; Li, J.; Li, K.; Cheng, S.; He, Z. Numerical Study of the Impact and Aggregation Characteristics of Alumina Droplets on a Wall in the Solid Rocket Motor. Aerosp. Sci. Technol. 2023, 137, 108242. [Google Scholar] [CrossRef]
Figure 1. Computational domain and boundary conditions.
Figure 1. Computational domain and boundary conditions.
Aerospace 12 00864 g001
Figure 2. Numerical validation result.
Figure 2. Numerical validation result.
Aerospace 12 00864 g002
Figure 3. Morphological evolution process of droplets under different diameters.
Figure 3. Morphological evolution process of droplets under different diameters.
Aerospace 12 00864 g003
Figure 4. Variation laws of droplets under different impact velocities and diameters. (a) Different impact velocities; (b) different droplet diameters.
Figure 4. Variation laws of droplets under different impact velocities and diameters. (a) Different impact velocities; (b) different droplet diameters.
Aerospace 12 00864 g004
Figure 5. Heat transfer laws of droplets under different impact velocities and diameters. (a) Different impact velocities; (b) different droplet diameters.
Figure 5. Heat transfer laws of droplets under different impact velocities and diameters. (a) Different impact velocities; (b) different droplet diameters.
Aerospace 12 00864 g005
Figure 6. Morphological evolution process of droplets under different wall temperatures.
Figure 6. Morphological evolution process of droplets under different wall temperatures.
Aerospace 12 00864 g006
Figure 7. Spread and heat transfer characteristics of droplets under different wall temperatures. (a) Dimensionless spread factor β ; (b) heat flux between the droplet and the wall.
Figure 7. Spread and heat transfer characteristics of droplets under different wall temperatures. (a) Dimensionless spread factor β ; (b) heat flux between the droplet and the wall.
Aerospace 12 00864 g007
Figure 8. Morphological evolution process of droplets under different accelerations.
Figure 8. Morphological evolution process of droplets under different accelerations.
Aerospace 12 00864 g008
Figure 9. Spread and heat transfer characteristics of droplets under different accelerations (D = 20 μm, V = 5m/s). (a) Dimensionless spread factor β under a wall temperature of 25 °C; (b) heat flux between the droplet and the wall under a wall temperature of 25 °C; (c) Dimensionless spread factor β under a wall temperature of 1000 °C; (d) heat flux between the droplet and the wall under a wall temperature of 1000 °C.
Figure 9. Spread and heat transfer characteristics of droplets under different accelerations (D = 20 μm, V = 5m/s). (a) Dimensionless spread factor β under a wall temperature of 25 °C; (b) heat flux between the droplet and the wall under a wall temperature of 25 °C; (c) Dimensionless spread factor β under a wall temperature of 1000 °C; (d) heat flux between the droplet and the wall under a wall temperature of 1000 °C.
Aerospace 12 00864 g009
Disclaimer/Publisher’s Note: The statements, opinions and data contained in all publications are solely those of the individual author(s) and contributor(s) and not of MDPI and/or the editor(s). MDPI and/or the editor(s) disclaim responsibility for any injury to people or property resulting from any ideas, methods, instructions or products referred to in the content.

Share and Cite

MDPI and ACS Style

Zhu, G.; Zhou, X.; Wu, W.; Li, F.; Hu, Y. Numerical Study on Heat Transfer Characteristics of High-Temperature Alumina Droplet Impacting Carbon–Phenolic Ablative Material. Aerospace 2025, 12, 864. https://doi.org/10.3390/aerospace12100864

AMA Style

Zhu G, Zhou X, Wu W, Li F, Hu Y. Numerical Study on Heat Transfer Characteristics of High-Temperature Alumina Droplet Impacting Carbon–Phenolic Ablative Material. Aerospace. 2025; 12(10):864. https://doi.org/10.3390/aerospace12100864

Chicago/Turabian Style

Zhu, Gen, Xu Zhou, Weizhi Wu, Fugang Li, and Yupeng Hu. 2025. "Numerical Study on Heat Transfer Characteristics of High-Temperature Alumina Droplet Impacting Carbon–Phenolic Ablative Material" Aerospace 12, no. 10: 864. https://doi.org/10.3390/aerospace12100864

APA Style

Zhu, G., Zhou, X., Wu, W., Li, F., & Hu, Y. (2025). Numerical Study on Heat Transfer Characteristics of High-Temperature Alumina Droplet Impacting Carbon–Phenolic Ablative Material. Aerospace, 12(10), 864. https://doi.org/10.3390/aerospace12100864

Note that from the first issue of 2016, this journal uses article numbers instead of page numbers. See further details here.

Article Metrics

Back to TopTop