Next Article in Journal
Impact of Pitch Angle Limitation on E-Sail Interplanetary Transfers
Previous Article in Journal
HeliCAT-DARTS: A High Fidelity, Closed-Loop Rotorcraft Simulator for Planetary Exploration
 
 
Font Type:
Arial Georgia Verdana
Font Size:
Aa Aa Aa
Line Spacing:
Column Width:
Background:
Article

Effect of Gurney Flaps on Non-Planar Wings at Low Reynolds Number

Aerospace Engineering Department, Embry Riddle Aeronautical University, Prescott, AZ 86301, USA
Aerospace 2024, 11(9), 728; https://doi.org/10.3390/aerospace11090728
Submission received: 19 July 2024 / Revised: 2 September 2024 / Accepted: 3 September 2024 / Published: 6 September 2024
(This article belongs to the Section Aeronautics)

Abstract

The effect of spanwise wing non-planarity, employed in conjunction with a Gurney flap, is presented. Testing was undertaken in a low-speed wind tunnel using a rectangular wing with an aspect ratio of three. The outer one-third of the wing was non-planar, which took the form of either dihedral or a circular arc. A 2% high Gurney flap was implemented such that it could extend over the entire span or the planar inboard section. The loads were measured using a sting balance. The data show that non-planarity increases the maximum lift coefficient and the wing’s lift curve slope. Gurney flap lift modulation was enhanced in the presence of non-planarity. The addition of Gurney flaps caused a greater increment in the minimum drag coefficient for the non-planar wings. The Gurney flaps reduced the lift-dependent drag of the wings. As a whole, the Gurney flaps reduced the maximum lift-to-drag ratio (L/D)max for the non-planar wings; however, the flat wing exhibited a small L/D increment with flap addition.

1. Introduction

The quest to improve wing efficiency has been an ongoing endeavor since Munk [1] initially investigated and established the requirements to minimize vortex drag for planar unswept wings. For a constrained wingspan, aerodynamic efficiency may be improved through non-planarity, the most common embodiment of which is the winglet [2]. Visually similar devices to the winglet include the tip sail [3,4] and the split tip [5]. These devices serve to alter the spacial distribution of trailing vorticity. A winglet induces an upwash over the wing while itself experiencing no net normal wash if optimal [2,6]. In some instances, such as with swept wings, the winglet may also produce a forward thrust component, although this is not typically associated with optimal operation. Tip sails are visually consistent with the extended primary feathers of birds of prey (raptors) and function by thrust production on the forward-inclined elements of the sail [3,4]. Neither winglets nor tip sails scale particularly well to the dimensions consistent with small unmanned aerial vehicles. The resulting small chord of the tip sails or winglet yields very low Reynolds number flows, such that laminar separation without reattachment may occur, greatly reducing the efficiency of the device.
An alternative approach to improving efficiency is to camber the wing in the spanwise direction. Cone [7] and Lowson [8] showed that spanwise cambering is effective in reducing vortex drag. The non-planar wing captures a larger volume of air to generate the lift impulse; consequently, the downwash at a given point is lowered. As a result, the kinetic energy per unit length of the wake is reduced. Lowson [8] showed that non-planarity is most effective near the wing tips, such that for a given non-planar height, an end plate may be most effective. Viscous effects must be considered when implementing non-planarity; a poorly designed end plate—wing junction may cause significant flow separation. When viewed in the context of small UAV-type vehicles, the benefits of spanwise camber must be weighed against penalties resulting from installation and poor performance at low Reynolds numbers. As shown by Jansen and Perez [9], the optimal embodiment of non-planarity may depend on the function of the aircraft, i.e., long-range aircraft may benefit from a “C” wing [5], whereas medium-range aircraft show greater benefit from wingtip modifications.
Lift augmentation using Gurney flaps (GFs) has received considerable attention [10,11,12,13,14,15,16,17,18,19,20,21] due to the ease of implementation and efficacy of these devices. The flap itself is little more than a thin strip of material that is commonly attached perpendicular to the airfoil’s lower surface at the trailing edge. The effect of the Gurney flap is outwardly similar to a conventional flap in that the zero-lift angle of attack becomes increasingly negative and the maximum lift coefficient increases [11,12,13,14,15]. Unlike a conventional trailing edge flap, the stall angle is not always reduced [12]. The minimum drag coefficient [10,11] may not increase if the flap does not project beyond the boundary layer. An increase in the lift curve slope caused by GFs has also been observed [16]. The flap functions by essentially violating the Kutta condition at the trailing edge, creating a finite pressure differential. This has the effect of potentially lessening the adverse pressure gradient that the boundary layer must overcome, as well as increasing the upper surface dumping velocity. The lift curve slope increment is associated with thinning of the pressure side boundary layer with angle of attack, causing the effective flap height to increase. Additionally, the reduction in the upper surface displacement thickness (compared to a wing without the flap) reduces viscous decambering.
Given the current research focus on UAV technology, it is of interest to establish the behavior of Gurney flaps on spanwise-cambered wings. In this study, an experimental investigation is presented evaluating the impact of a Gurney flap on a wing with non-planarity in the form of a circular arc and a straight diagonal outboard section. This type of non-planarity would be easy to implement in the design of a small unmanned aerial vehicle. In addition, the non-planar extent of the wing would not have a reduced Reynolds number (due to a smaller chord), which can be problematic for winglets operating at low Re conditions. Force balance data are presented, and comparisons of the data with numerical estimates are also included.

2. Materials and Methods

Wind tunnel tests were conducted in Embry-Riddle’s 2 ft by 2 ft blower wind tunnel. This facility has a measured turbulence intensity of 0.25–0.5% and a jet uniformity better than 1% in the core (i.e., the local velocity does not deviate by more than 1% from the average velocity across the jet). Force balance measurements were undertaken using a 6-component NK biotechnical sting balance. Balance output voltages were digitized using a National Instruments 16-bit A/D board. Voltages were converted to loads using an internal calibration matrix in the data acquisition code. Each presented data point is the average of 5000 samples. The uncertainty for the lift, drag and pitching moment coefficient was estimated as 0.01, 0.005 and 0.01, respectively. The reference area used to obtain the aerodynamic coefficients corresponded to the wing’s projected area.
The model’s angle of attack was set and measured using a feedback loop in conjunction with a Midori angle sensor. Angle-of-attack repeatability was established as better than 0.1 degree. Wall corrections were not applied as the tests were comparative in nature. Wind tunnel testing was conducted at a free-stream velocity of 40 m/s, yielding a Reynolds number of 285,000 based on the reference chord length of 0.127 m. During testing, the model was pitched from −4 to 24 degrees in 2 degree increments. The model was then pitched down to ascertain whether hysteresis was present.
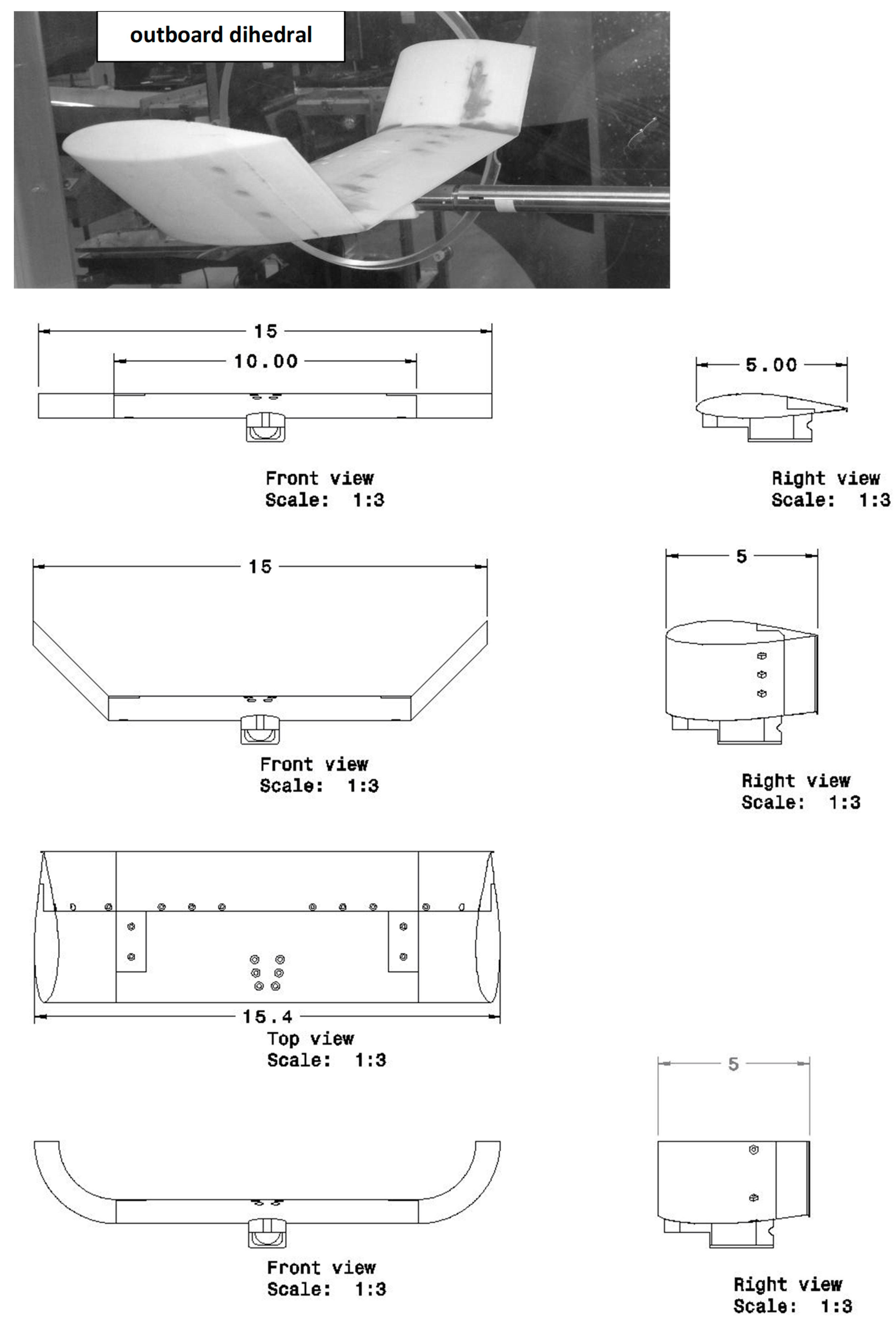
The wind tunnel model, see Figure 1, was rapid-prototyped from acrylonitrile butadiene styrene (ABS) using Embry-Riddle’s rapid-prototyping facilities. All models had a projected AR of 3. The airfoil section was an S8036 with a thickness of 16%. The inner 2/3 of the projected span was common to all models. The outer 1/3 consisted of either a planar extension, a circular arc with a radius of 2.5 inches or a diagonal section with an angle of 45 degrees (Figure 1). Dihedral was used for the outboard extents of the non-planar wings. A vortex lattice analysis would show no difference between outboard anhedral and dihedral. However, dihedral gives an additional lift increment due to a streamwise-induced velocity component along the planar wing panel, known as the induced lift effect.
The trailing edge section of the model could be removed and replaced with a section featuring a 2% Gurney flap molded into the trailing edge. A 2% flap was selected as prior studies have indicated marked lift modulation without a CDmin penalty [11] for this profile. The pitching moment reference location was the quarter-chord.
Testing encompassed the effects of non-planarity on the measured coefficients with and without the Gurney flap. The spanwise distribution of the flap was also examined, with the flap extending over 2/3 of the projected wingspan (the inner 10-inch fixed section), as well as over the entire trailing edge spanwise extent.

3. Results

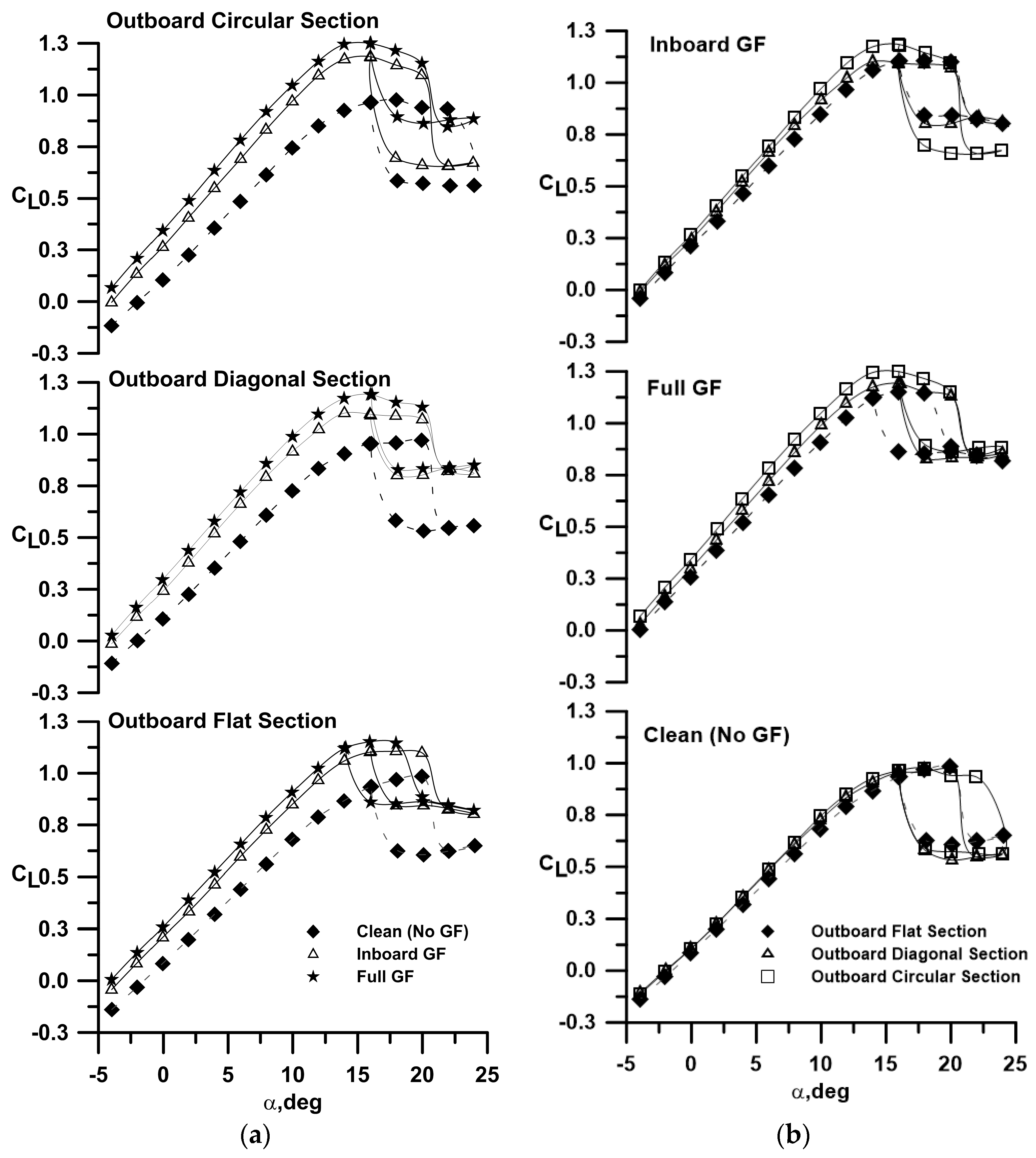
Table 1a presents a summary of the aerodynamic parameters extracted from the wind tunnel data, whereas Table 1b shows the percentage change of these parameters from the flat wing without a flap case. Figure 2a (grouped by extension type) and Figure 2b (grouped by flap spanwise distribution) show the effect of the Gurney flap and its spanwise distribution on the three (planar, circular and diagonal) wing tip geometries. As shown in Figure 2a, the flaps increased CL for a given α through an αZL shift and an increase in C. The stall angle appears unaffected by the presence of the flap, as has been documented previously [14]. In all cases, hysteresis was apparent, with its α angular extent unaffected by the flap. The presence of hysteresis indicates that the location of flow separation for a given angle of attack in the stall regime was different depending on whether the wing’s angle of attack was increasing or decreasing, i.e., there is a dependence on the history of the flow. As seen in Figure 2a, the lift increment caused by the flaps (compared to the clean wing) was seen to increase with the non-planar outboard sections compared to the planar wing. Examining the maximum lift coefficient, the increase in CLmax with the full-span Gurney compared to the respective clean wing is 17%, 22% and 28% for the flat, diagonal and circular outboard sections, respectively.
For h/c = 0 (no flap), non-planarity showed a small lift increment compared to the planar wing, caused by induced lift as well as a reduction in the downwash over the inner wing panel. The circular outboard section (h/c = 0) delayed stall moderately compared to the planar and diagonal extension. The effect of the spanwise distribution of the flap is explored in Figure 3, where the lift increment of the flapped wing compared to the clean wing is shown reduced by the spanwise distribution of the flap. The inboard distribution of the flap is seen to yield the largest lift increment relative to its extent as lift augmentation extends beyond the width of the flap, especially for the circular arc section at higher angles of attack. The lift coefficient for the wing and Gurney flap combination may be expressed as follows:
C L - Gurn = C L α - clean K α α ZL - Gurn
That for the wing without a flap may be written as follows:
C L = C L α - clean α α ZL
The incremental lift coefficient then follows:
Δ C L = C L - Gurn C L = C L α - clean α K 1 C L α - clean α ZL - Gurn α ZL
Equation (3) shows explicitly that any variance in the lift curve slope compared to the clean wing (i.e., K > 1) will result in a lift increment that varies with α. As shown explicitly in Table 1, non-planarity increases the lift curve slope by approximately 8% over the flat wing (no GF). This results from a net reduction in downwash due to the altered span load distribution. The addition of the Gurney flap also increased the wing lift curve slope, ranging from 10% to 11% for the tested geometries. Table 1 also indicates that the αZL shift due to the Gurney flap was proportional to the spanwise distribution of the flap (i.e., the αZL shift for the inboard GFs was approximately two-thirds of that for the full-span GFs).
The effect of non-planarity was also investigated using a vortex lattice code, AVL (Athena Vortex Lattice: https://web.mit.edu/drela/Public/web/avl/, accessed on 1 July 2024). AVL is a vortex lattice code that due to its method of input, can readily accommodate unconventional geometries. The impact of the Gurney flaps was simulated by accounting for their effect on αZL. A NACA 4420 profile simulated using Xfoil (Xfoil: https://web.mit.edu/drela/Public/web/xfoil/, accessed on 3 July 2024) generated a similar zero lift angle of attack shift (≈−4 degrees) to that experimentally measured for the flaps. As the wing was not twisted and used a constant airfoil section throughout its span, αZL for the wing and its constituting airfoil profile would be similar. Xfoil is a panel method coupled with an accurate boundary layer routine that enables estimation of boundary layer transition, separation and reattachment. Consequently, this airfoil section was then used instead of the S8036 profile over the spanwise distribution of the flap in the simulations. Using this approach would not provide representative chordwise load distributions; however, net lift should be estimated effectively in the attached flow regime. AVL agreement with the clean (no GF) experimental data for all outboard geometries is good in terms of the lift curve slope and the zero lift angle of attack (Figure 4). The vortex lattice estimate of the wing’s αZL with flaps was also well estimated. However, the lift curve slope was seen to be underestimated for all Gurney flap configurations, a consequence of the inviscid nature of AVL. The C increment associated with Gurney flaps is a viscous behavior and would not be modeled using an inviscid technique without explicit incorporation. In Ref. [16], a semi-empirical equation is presented that accounts for the effect of Gurney flaps on both the zero lift angle of attack and the lift curve slope. This estimate is included in Figure 4 (denoted as “Prediction, Traub”). As shown, the prediction is representative of the full span GFs in terms of C and αZL.
Figure 5a,b shows the drag polar and the linearized drag polar for the data grouped by outboard section. Gurney flap addition on the planar wing had little effect on CDmin (Table 1). At higher lift coefficients, close to stall, the Gurney-flap-equipped models exhibited significantly lower drag than the non-GF models. This resulted from the flap augmenting lift in this regime, coupled with the GF attenuating pressure recovery demands on the boundary layer. For the non-planar geometries, flap addition caused an increase in CDmin due to greater arc length (i.e., increased wetted area). The addition of the Gurney flaps reduced drag due to lift, which is more clearly illustrated in Figure 5b, which presents the linearized drag polar. The slope of the resulting curve relates directly to the drag due to lift and allows for easy comparison of aerodynamic efficiency. The reduced slope for all GF-equipped configurations compared to the corresponding clean wing implies greater aerodynamic efficiency. The AVL analysis suggests that the addition of the part-span and full-span flaps had little effect on the calculated ei values (Table 2). Thus, it can be inferred that the increase in aerodynamic efficiency was a consequence of a reduction in sectional pressure drag caused by attenuation of the adverse chordwise pressure gradient on the leeward surface for a given CL. For the S8036 airfoil, an increase in the angle of attack caused a forward migration and contraction of the leeward laminar separation bubble [22]. The addition of the flap caused a lift increment for a given angle of attack. However, this lift augmentation does not come at the expense of a stronger adverse pressure gradient [14,18] due to violation of the Kutta condition. Consequently, at a given α, the location of the laminar separation bubble was similar to the non-GF-equipped wing even though CL was greater. Thus, the flap-equipped wing experienced a greater extent of laminar flow and a shorter extent of turbulent flow than a non-GF wing for the same CL value. Figure 5c shows surface flow visualization (rendered using titanium dioxide suspended in paraffin and linseed oil) over a section of the wing, where the wing with and without a GF is presented at α = 3 degrees. Although the wing equipped with the GF produced more lift, the location and extent of its laminar separation bubble was very similar to that of the wing without the flap.
The effect of the outboard section (planar, dihedral or circular arc) for a given flap distribution is explored in Figure 6a,b. For the clean wing (no GF) non-planarity had little effect on CDmin (Table 1), while reducing the drag due to lift as shown explicitly in Figure 6b, which is a direct benefit of non-planarity. With the full extent GF, a CDmin penalty was present, especially for the circular arc section. However, the induced efficiency was still greatly enhanced compared to the flat outboard section. A similar result was seen for the inboard GF distribution.
Estimates of the inviscid drag due to lift, using AVL-computed ei, are shown for the clean (no GF) outboard circular, diagonal and flat sections in Figure 7 (see Table 2). The experimental CDmin was added to each estimate, such that the drag coefficient was calculated using
C D = C Dmin + K pi C L C Lmd 2 = C Dmin + 1 π ARe i C L C Lmd 2
The numerical predictions show excellent agreement with the experimental data (i.e., clean). As Equation (4) does not account for sectional pressure drag it can be inferred that this quantity is small. Also included in Figure 7 is the drag due to lift seen for elliptic spanwise loading (i.e., ei = 1). The results clearly indicate that for a constrained span, efficiencies greater than those achievable using an optimal planar unswept wing may be achieved.
Aerodynamic benefits of non-planarity are often examined with reference to a simple planar extension of the non-planar element. Figure 8 shows drag polars based on experimental data and assumes that the outboard diagonal and rectangular sections were flattened. Equation (4) was used in conjunction with the experimental value of ei+p for the flat wing, replacing ei. The aspect ratio values for the “flattened” wings were 3.42 and 3.57 for the outboard diagonal and circular arc sections, respectively. As shown, the (L/D)max enhancement achieved through constrained span non-planarity exceeded that obtained by increasing the planar wing’s AR to match the arc length of the wing.
Figure 9 shows the experimental range parameter (lift-to-drag ratio) for the various configurations. For a given outboard geometry (Figure 9a), addition of the GF reduced the peak CL/CD due to the increase in CDmin with flap addition. The reduction in the drag due to lift caused by the Gurney flap was negated by the increase in CDmin for the non-planar geometries, resulting in a decrease in (L/D)max. The exception is the flat wing, where the negligible CDmin penalty with flap addition yielded a small improvement in the lift-to-drag ratio compared to the clean wing. Non-planarity resulted in significant increases in the maximum lift-to-drag ratio, with an increase of 12% over the planar wing (no GF) (Figure 9b). As seen in Figure 9a,b, the addition of GFs shifted the peak value of (CL/CD)max to a higher CL, whereas non-planarity without a GF had a similar effect. This shift resulted from the reduction in the slope (Kp) of the linearized polar for the non-planar wings, as well as with the addition of GFs. This can be expressed by showing the lift-to-drag ratio as follows:
C L C D = C L C Dmin + K p C L C Lmd 2
Inverting for simplicity, differentiating and finding its minimum by equating the derivative to zero gives the following:
dC D dC L = 0 = C Dmin C L 2 + K p C Lmd 2 C L 2
The lift coefficient for (CL/CD)max follows as
C L ( L / D ) max = C Lmd 2 + C Dmin K p
(CL/CD)max may be estimated by substituting Equation (6) into Equation (5). Figure 5a and Figure 6a indicate that all configurations have similar CLmd values. Equation (7) shows that a reduction in Kp, as associated with non-planarity or flap addition, can cause the maximum CL/CD to occur at a higher CL.
Liu [19] suggests a “benefit” parameter, which evaluates the performance of an aerodynamic effect by accounting for its impact on both lift and drag. The relation is given by
g = 6 7 Δ C D C D + 9 7 Δ C L C L
where the differences are with respect to the clean wing without the flap. A g value greater than 0 indicates a net benefit. As seen in Figure 10, the GF provided a benefit for all outboard geometries until α > 8 degrees. The planar wing exhibited the greatest advantage with flap addition, followed by the diagonal and circular arc tips.
The effect of non-planarity and GFs on the pitching moment coefficient is shown in Figure 11a,b. Referring to Figure 11a, the addition of the GF shifted the moment curve in the negative direction, which is common for a trailing edge flow effector (flap). The increase in aft loading associated with a GF is reflected in the rotation of the Cm curve, indicating a rearward shift of the wing’s aerodynamic center. This is quantified in Table 1. The diagonal and circular tips caused a camber-like effect, shifting the moment curve negatively (Figure 11b). This follows from the small CL increase for a given α shown in Figure 2b, which is consistent with flap addition.

4. Conclusions

A low-speed wind tunnel study was conducted to examine the effect of Gurney flaps on a spanwise cambered wing. The wing had a S8036 airfoil profile and a projected aspect ratio of three, with testing undertaken at Re = 285,000. Non-planarity was limited to the outer one-third of the wing and took the form of a dihedral or a circular arc section. A 2% high Gurney flap was implemented, extending over the entire span or the planar inboard section. The data showed that non-planarity increases the lift curve slope, maximum lift coefficient and wing efficiency. The Gurney flaps reduced the maximum lift-to-drag ratio for the non-planar wings due to an increase in CDmin. The planar wing showed a small L/D increment with flap addition. For a given angle of attack, the presence of the Gurney flap did not appear to change the location or extent of the laminar separation bubble that formed on the wing. The lift increment caused by the Gurney flaps was enhanced by non-planarity. Hysteresis was not affected by the presence of the Gurney flap.

Funding

This research received no external funding.

Data Availability Statement

The data used within this article are available from the author upon reasonable request.

Conflicts of Interest

The author declares no conflicts of interest.

Abbreviations

The following abbreviations are used in this manuscript:
a.c./caerodynamic center location
AR aspect ratio
bwingspan
cchord
CDdrag coefficient
CDminminimum drag coefficient
CLlift coefficient
Clift curve slope
CLα-cleanlift curve slope for wing without flap
Cmpitching moment coefficient
eiinviscid Oswald efficiency factor
ep+iviscous Oswald efficiency factor
gflow effector benefit parameter
hGurney flap height
h/cratio of Gurney flap height to chord
Kratio of Gurney flap to clean wing lift curve slope
Kpdrag due to lift parameter, slope of linearized drag polar
L/Dlift-to-drag ratio
Ufreestream velocity
yspanwise co-ordinate
αangle of attack
αZLzero-lift angle of attack
Subscripts
arcarc length
GurnGurney flap
iinviscid
maxmaximum
mdminimum drag

References

  1. Munk, M.M. The Minimum Induced Drag of Aerofoils. NACA Rep. 121 1923, 1–18. [Google Scholar]
  2. Whitcomb, R. A Design Approach and Selected Wind Tunnel Results at High Subsonic Speeds for Wing-Tip Mounted Winglets. NASA TN-D8260, 1976. Available online: https://ntrs.nasa.gov/api/citations/19760019075/downloads/19760019075.pdf (accessed on 6 August 2024).
  3. Spillman, J.J. The Use of Wing Tip Sails to Reduce Vortex Drag. Aeronaut. J. 1978, 82, 387–395. [Google Scholar] [CrossRef]
  4. Traub, L.W. Aerodynamic Effects of Delta Planform Tip Sails on Wing Performance. J. Aircr. 1994, 31, 1156–1159. [Google Scholar] [CrossRef]
  5. Kroo, I. Nonplanar Wing Concepts for Increased Aircraft Efficiency. VKI Lecture Series, 6–10 June 2005. Available online: https://lf5422.com/wp-content/uploads/2014/08/vki_nonplanar_kroo-1.pdf (accessed on 6 August 2024).
  6. Chattot, J.J. Low Speed Design and Analysis of Wing/Winglet Combinations Including Viscous Effects. J. Aircr. 2006, 43, 386–389. [Google Scholar] [CrossRef]
  7. Cone, C.D. The Theory of Induced Lift and Minimum Induced Drag on Non Planar-Lifting Systems. NASA TR-R-139, 1962. Available online: https://www.google.co.jp/books/edition/The_Theory_of_Induced_Lift_and_Minimum_I/deYQAQAAIAAJ?hl=en&gbpv=1&dq=inauthor:%22Clarence+D.+Cone%22&printsec=frontcover (accessed on 6 August 2024).
  8. Lowson, M.V. Minimum Induced Drag for Wings with Spanwise Camber. J. Aircr. 1990, 27, 627–631. [Google Scholar] [CrossRef]
  9. Jansen, P.W.; Perez, R. Effect of Size and Mission Requirements on the Design Optimization of Non-Planar Aircraft Configurations. In Proceedings of the 13th AIAA/ISSMO Multidisciplinary Analysis Optimization Conference, Ft. Worth, TX, USA, 13–15 September 2010. AIAA Paper 2010–9188. [Google Scholar]
  10. Giguere, P.; Dumas, G.; Lemay, J. Gurney Flap Scaling for Optimum Lift-to-Drag Ratio. J. Aircr. 1997, 35, 1888–1890. [Google Scholar]
  11. Daniel, L.; Traub, L.W. Effects of Aspect Ratio on Gurney-Flap Performance. J. Aircr. 2013, 50, 1217–1225. [Google Scholar] [CrossRef]
  12. Traub, L.W.; Agarwal, G. Aerodynamic Characteristics of a Gurney flap at Low Reynolds Numbers. J. Aircr. 2008, 45, 424–429. [Google Scholar] [CrossRef]
  13. Wang, J.J.; Li, Y.C.; Choi, K.S. Gurney Flap—Lift Enhancement, Mechanisms and Applications. Prog. Aerosp. Sci. 2008, 44, 22–47. [Google Scholar] [CrossRef]
  14. Cole, J.; Vieira, B.; Coder, J.; Premi, A.; Maughmer, M. Experimental Investigation into the Effects of Gurney Flaps on Various Airfoils. J. Aircr. 2013, 50, 1287–1294. [Google Scholar] [CrossRef]
  15. Li, Y.C.; Wang, J.J.; Hua, J. Experimental Investigations on the Effects of Divergent Trailing Edge and Gurney Flaps on a Supercritical Airfoil. Aerosp. Sci. Technol. 2007, 11, 91–99. [Google Scholar] [CrossRef]
  16. Traub, L.W. Prediction of Gurney-Flap Lift Enhancement for Airfoils and Wings. AIAA J. 2014, 52, 2087–2090. [Google Scholar] [CrossRef]
  17. Ye, X.; Hu, J.; Zheng, N.; Li, C. Numerical Study on Aerodynamic Performance and Noise of Wind Turbine Airfoils with Serrated Gurney Flap. Energy 2023, 262 Pt B, 1–12. [Google Scholar] [CrossRef]
  18. Maughmer, M.; Bramesfeld, G. Experimental Investigation of Gurney Flaps. J. Aircr. 2008, 45, 2062–2067. [Google Scholar] [CrossRef]
  19. Liu, T.; Montefort, J. Thin-Airfoil Theoretical Interpretation for Gurney Flap Lift Enhancement. J. Aircr. 2007, 44, 667–671. [Google Scholar] [CrossRef]
  20. Genest, B.; Dumas, G. Numerical Investigation into Single and Double Gurney Flaps for Improving Airfoil Performance. J. Aircr. 2023, 60, 1832–1846. [Google Scholar] [CrossRef]
  21. Arivoli, D.; Singh, I. Effect of Gurney flap on the vortex-dominated flow over low-AR wings. Exp. Fluids 2023, 64, 68. [Google Scholar] [CrossRef]
  22. Traub, L.W.; Cooper, E. Experimental Investigation of Pressure Measurement and Airfoil Characteristics at Low Reynolds Numbers. J. Aircr. 2008, 45, 1322–1333. [Google Scholar] [CrossRef]
Figure 1. Model geometry, all dimensions in inches.
Figure 1. Model geometry, all dimensions in inches.
Aerospace 11 00728 g001
Figure 2. Effect of GF and non-planarity on CL, data grouped by (a) outboard section type and (b) flap distribution.
Figure 2. Effect of GF and non-planarity on CL, data grouped by (a) outboard section type and (b) flap distribution.
Aerospace 11 00728 g002
Figure 3. Effect of the spanwise distribution of the flap on the lift increment caused by the GF relative to the wing without a flap.
Figure 3. Effect of the spanwise distribution of the flap on the lift increment caused by the GF relative to the wing without a flap.
Aerospace 11 00728 g003
Figure 4. Comparison of experimentally measured CL data with analytical predictions for different outboard wing sections.
Figure 4. Comparison of experimentally measured CL data with analytical predictions for different outboard wing sections.
Aerospace 11 00728 g004
Figure 5. Effect of the GF and non-planarity on the measured (a) drag polar and (b) linearized drag polar, with data grouped by outboard section geometry. (c) Surface skin friction lines indicating the location of the laminar separation bubble.
Figure 5. Effect of the GF and non-planarity on the measured (a) drag polar and (b) linearized drag polar, with data grouped by outboard section geometry. (c) Surface skin friction lines indicating the location of the laminar separation bubble.
Aerospace 11 00728 g005aAerospace 11 00728 g005b
Figure 6. Effect of the GF and non-planarity on the measured (a) drag polar and (b) linearized drag polar, with the data grouped by GF distribution.
Figure 6. Effect of the GF and non-planarity on the measured (a) drag polar and (b) linearized drag polar, with the data grouped by GF distribution.
Aerospace 11 00728 g006
Figure 7. Drag polar comparison with AVL predictions as affected by outboard wing geometry.
Figure 7. Drag polar comparison with AVL predictions as affected by outboard wing geometry.
Aerospace 11 00728 g007
Figure 8. Comparison of a flat wing with equivalent arc length to the non-planar wing; effect on the drag polar.
Figure 8. Comparison of a flat wing with equivalent arc length to the non-planar wing; effect on the drag polar.
Aerospace 11 00728 g008
Figure 9. Effect of the GF and non-planarity on the lift-to-drag ratio, with data grouped by (a) outboard section type and (b) spanwise distribution of the flap.
Figure 9. Effect of the GF and non-planarity on the lift-to-drag ratio, with data grouped by (a) outboard section type and (b) spanwise distribution of the flap.
Aerospace 11 00728 g009
Figure 10. Effect of non-planarity and outboard section geometry on the benefit margin provided by the Gurney flap.
Figure 10. Effect of non-planarity and outboard section geometry on the benefit margin provided by the Gurney flap.
Aerospace 11 00728 g010
Figure 11. Effect of the GF and non-planarity on Cm, with data grouped by (a) outboard section type and (b) spanwise distribution of the flap.
Figure 11. Effect of the GF and non-planarity on Cm, with data grouped by (a) outboard section type and (b) spanwise distribution of the flap.
Aerospace 11 00728 g011
Table 1. (a) Summary of the experimental aerodynamic parameters and (b) summary of the experimental aerodynamic parameters, expressed as a percentage change relative to the flat wing without a flap.
Table 1. (a) Summary of the experimental aerodynamic parameters and (b) summary of the experimental aerodynamic parameters, expressed as a percentage change relative to the flat wing without a flap.
(a)
GeometryKpC, /degCLmaxαZL, dega.c./c(L/D)maxCDmin
Flat, no GF0.1120.0590.965−1.530.2313.860.019
Flat, full GF0.1100.0651.152−4.050.2613.820.019
Flat, inboard GF0.1090.0651.106−3.250.2514.720.019
Circular, no GF0.0870.0640.977−1.630.2215.220.019
Circular, full GF0.0780.0711.250−4.970.2612.560.026
Circular, inboard GF0.0860.0711.185−3.770.2513.630.022
Diagonal, no GF0.0900.0620.972−1.860.2315.570.018
Diagonal, full GF0.0880.0691.190−4.400.2615.260.021
Diagonal, inboard GF0.0870.0671.102−3.790.2613.710.024
(b)
GeometryKpCCLmaxαZLa.c./c(L/D)maxCDmin
Flat, no GF0000000
Flat, full GF−1.7910.1719.38164.713.04−0.290
Flat, inboard GF−2.6810.1714.61112.48.76.200
Circular, no GF−22.328.481.246.5−4.359.810
Circular, full GF−30.3620.3429.53224.813.04−9.3836.84
Circular, inboard GF−23.2120.3422.80146.48.70−1.6615.79
Diagonal, no GF−19.645.090.7321.6012.34−5.26
Diagonal, full GF−21.4316.9523.32187.613.0410.1010.53
Diagonal, inboard GF−22.3213.5614.20147.713.04−1.0826.32
Table 2. Summary of AVL aerodynamic data.
Table 2. Summary of AVL aerodynamic data.
GeometryeiKpC, /degαZL, deg
Flat, no GF10.1060.055−2.10
Flat, full GF10.1060.054−4.94
Flat, inboard GF10.1060.054−4.30
Circular, no GF1.210.0880.062−2.19
Circular, full GF1.200.0880.062−5.10
Circular, inboard GF1.220.0870.062−4.21
Diagonal, no GF1.110.0960.058−2.23
Diagonal, full GF1.100.0960.058−5.10
Diagonal, inboard GF1.120.0950.058−4.21
Disclaimer/Publisher’s Note: The statements, opinions and data contained in all publications are solely those of the individual author(s) and contributor(s) and not of MDPI and/or the editor(s). MDPI and/or the editor(s) disclaim responsibility for any injury to people or property resulting from any ideas, methods, instructions or products referred to in the content.

Share and Cite

MDPI and ACS Style

Traub, L.W. Effect of Gurney Flaps on Non-Planar Wings at Low Reynolds Number. Aerospace 2024, 11, 728. https://doi.org/10.3390/aerospace11090728

AMA Style

Traub LW. Effect of Gurney Flaps on Non-Planar Wings at Low Reynolds Number. Aerospace. 2024; 11(9):728. https://doi.org/10.3390/aerospace11090728

Chicago/Turabian Style

Traub, Lance W. 2024. "Effect of Gurney Flaps on Non-Planar Wings at Low Reynolds Number" Aerospace 11, no. 9: 728. https://doi.org/10.3390/aerospace11090728

APA Style

Traub, L. W. (2024). Effect of Gurney Flaps on Non-Planar Wings at Low Reynolds Number. Aerospace, 11(9), 728. https://doi.org/10.3390/aerospace11090728

Note that from the first issue of 2016, this journal uses article numbers instead of page numbers. See further details here.

Article Metrics

Back to TopTop