Turbopump Parametric Modelling and Reliability Assessment for Reusable Rocket Engine Applications
Abstract
1. Introduction
2. Engine Design and Operations
Generalised Turbopump Model in EcosimPro ESPSS for Parametric Study
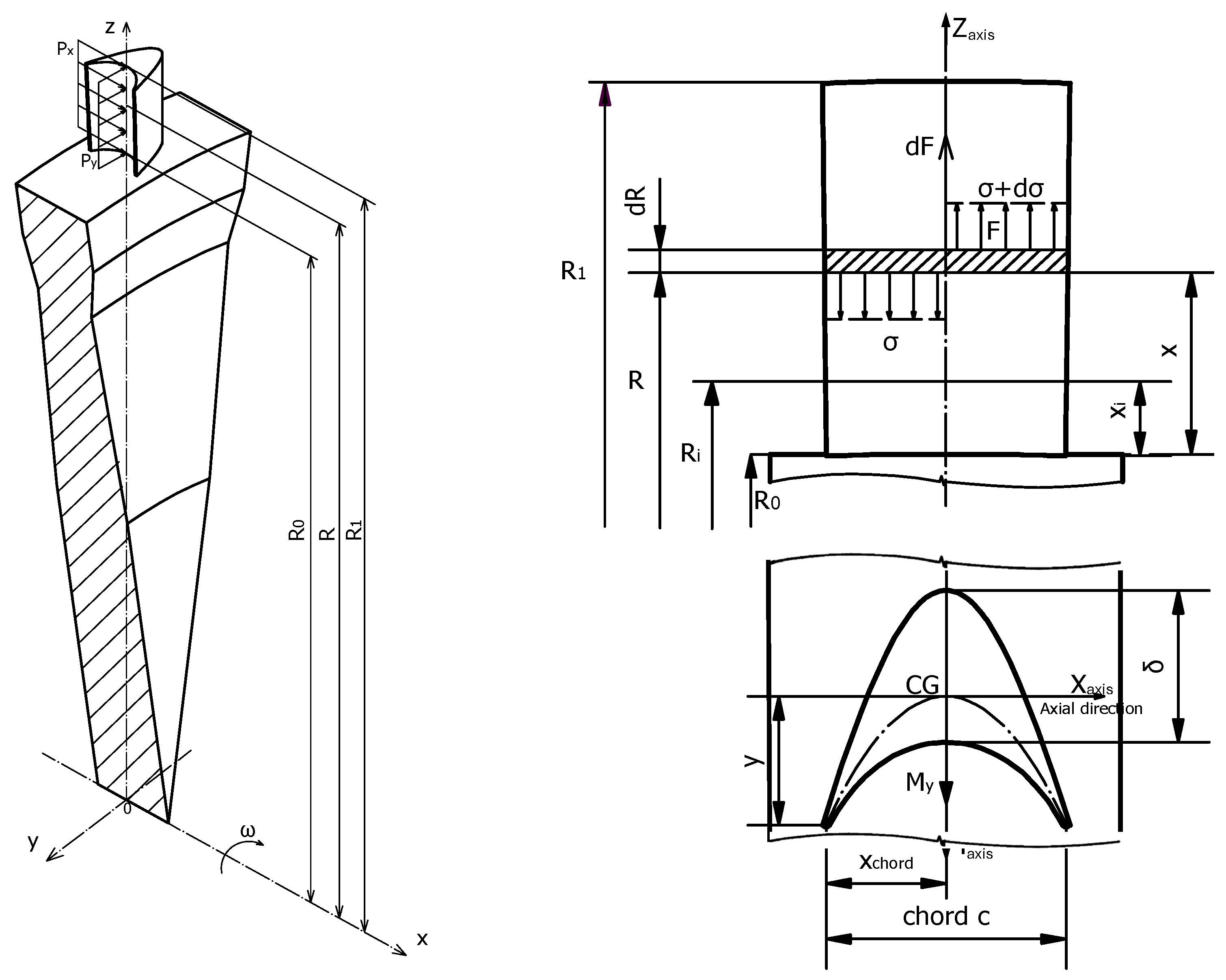
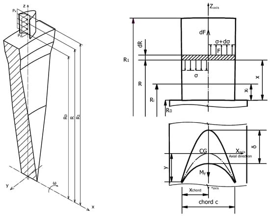
3. Turbine Blade Fatigue Module
- Tensile stresses due to the rotating blade mass;
- Bending stresses induced by the medium acting on the blade profile, combined with centrifugal stresses of the rotating blade mass and the blade’s transverse vibrations;
- Tangential stresses resulting from torsional moments induced by the flowing medium acting on the blade profile, along with torsional moments from the mass forces acting on the blade and the torsional vibrations of the blade’s active section [25].
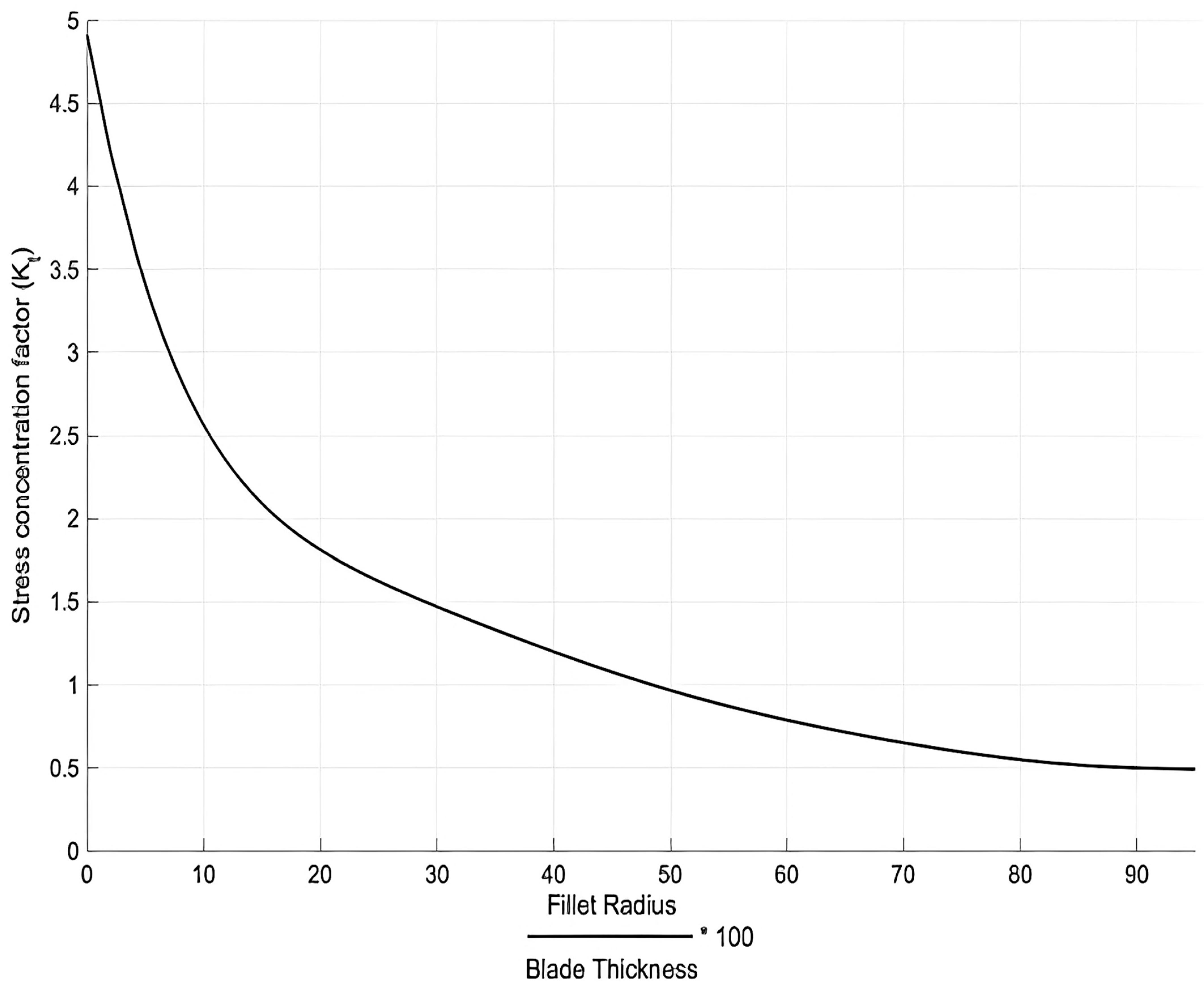
3.1. Stress Calculation Framework for Partial Admission Turbines
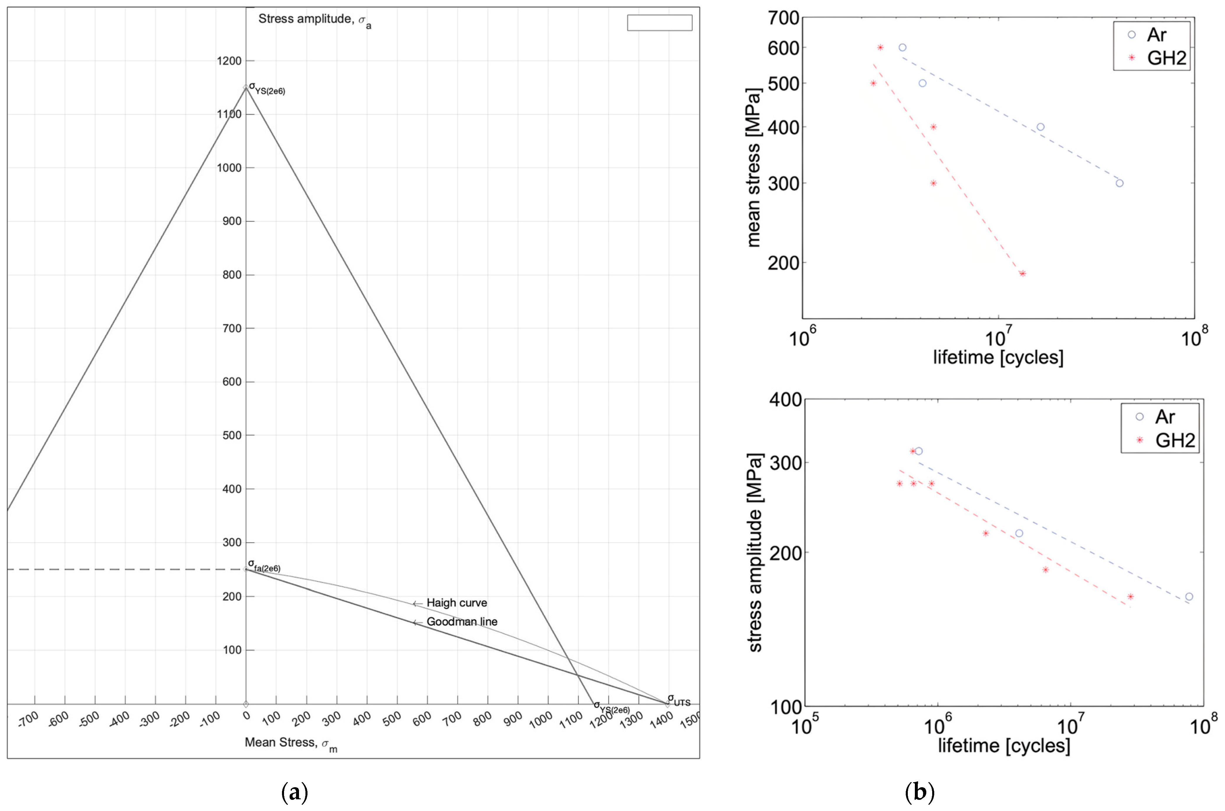
3.2. Fatigue Life Calculations
- in the Goodman equation, the stress amplitude () is normalised by the stress amplitude at the endurance limit () and for fully reversed conditions, R = −1 to increase accuracy, ;
- at a constant load, the mean stress is normalised by the failure stress (R = 1, ;
- the combination of the Basquin type and the Goodman equation is applied, where:
3.3. Material Properties
4. Results and Discussion
4.1. Transient Analysis Results
4.2. Results of Critical Design Point Analysis
5. Summary and Conclusions
Author Contributions
Funding
Data Availability Statement
Conflicts of Interest
Nomenclature
| Nomenclature | Description | Unit | Nomenclature | Description | Unit |
| a, b | distances between given axes | m | Nf | number of cycles until failure | - |
| A | cross-sectional area of the blade | m2 | nstat | number driving jets number | - |
| A′, B′, C′ | fitting parameters for cycle number calculation, MPa for A′ and C′ | MPa | Px, Py | bending force acting on rotor blade | N |
| CB | selected theoretical centre of gravity | m | R | stress ratio, or radius | - |
| CG | calculated blade’s centre of gravity | m | Rmean | Blade centroid radius | m |
| c | chord length | m | rfillet | fillet radius, disc-blade transition | m |
| d1, d2, atrapezoid, btrapezoid, yCG, ytrapezoid, htrapezoid, Rsemicircle | geometrical parameters to calculate the blade contour and moments of inertia, as highlighted in Figure A2 | m | Sx | cross-section area of the turbine blade in the inertia calculations | m2 |
| axial velocity—stator exhaust | m/s | t | maximum blade thickness | m | |
| axial velocity—rotor exhaust | m/s | x | selected distance | m | |
| tangential velocity—stator exhaust | m/s | xchord | half of the chord length ½ “c” | m | |
| tangential velocity—rotor exhaust | m/s | β1r, β2r | blade camber angle input | deg. | |
| F | centrifugal force acting on rotor blade | N | Θ | admission degree | deg. |
| FS | safety factor | - | fluid density on the blade | kg/m3 | |
| g | acceleration due to gravity | m/s2 | alternating stress | MPa | |
| h | blade height | m | centrifugal stress | MPa | |
| Ix, Iy, Ixo, Iyo | area moments of inertia | m4 | gas bending stress | MPa | |
| Isp | specific impulse | s | mean stress | MPa | |
| l | blade length | m | endurance limit | MPa | |
| m | blade mass | kg | ultimate tensile strength | MPa | |
| mass flow rate | kg/s | γInconel718 | density | kg/m3 | |
| Mxg, Myg, Mxo, Myo | bending moments | Nm | cross-section of the blade aerofoil through which the flowing medium passes | m2 | |
| nblades | blades number | - | ω | angular velocity | rad/s |
Appendix A
Appendix A.1. Tensile Loads on Blades Induced by Centrifugal Forces
Appendix A.2. Bending Moments Induced by Fluid Pressure and Centrifugal Loads

Appendix A.3. Bending Stresses in the Blade’s Outermost Layers

References
- Callsen, S.; Stappert, S.; Sippel, M. Study on Future European Winged Reusable Launchers. In Proceedings of the 9th European Conference for Aeronautics and Space Sciences (EUCASS), Lille, Frankreich, 27 June–1 July 2022; pp. 1–14. [Google Scholar]
- Lariviere, M.; Kezirian, M.T. Preliminary Safety Assessment of the DLR SpaceLiner Vehicle. J. Space Saf. Eng. 2019, 6, 15–23. [Google Scholar] [CrossRef]
- Stappert, S.; Sippel, M.; Bussler, L.; Wilken, J.; Krummen, S. Spaceliner Cabin Escape System Design and Simulation of Emergency Separation from Its Winged Stage. In Proceedings of the 22nd AIAA International Space Planes and Hypersonics Systems and Technologies Conference, Orlando, FL, USA, 17–19 September 2018; pp. 17–19. [Google Scholar] [CrossRef]
- Gulczynski, M.T.; Vennitti, A.; Scarlatella, G.; Calabuig, G.J.D.; Blondel-Canepari, L.; Weber, F.; Sarritzu, A.; Bach, C.; Deeken, J.C.; Schmiel, T.; et al. RLV Applications: Challenges and Benefits of Novel Technologies for Sustainable Main Stages. In Proceedings of the International Astronautical Congress, IAC, Dubai, United Arab Emirates, 29 October 2021. [Google Scholar]
- Gulczyński, M.T.; Riccius, J.R.; Zametaev, E.B.; Hahn, R.H.; Waxenegger-Wilfing, G.; Deeken, J.C.; Oschwald, M. Turbine Blades for Reusable Liquid Rocket Engines (LRE)—Numerical Fatigue Life Investigation. In Proceedings of the IEEE Aerospace Conference, Big Sky, MT, USA, 4–11 March 2013; IEEE: Piscataway, NJ, USA, 2013. [Google Scholar] [CrossRef]
- Terakado, D.; Higashi, K.; Sakaki, K.; Komaru, T.; Suwa, N.; Arimoto, Y.; Ikemoto, A. 2nd Qualification Test Series Results of the Upper Stage Engine LE-5B-3 for H3 Rocket. In Proceedings of the 8th Europe conference for aeronautics and space sciences, Madrid, Spain, 1–4 July 2019; pp. 1–8. [Google Scholar] [CrossRef]
- LE-5Bエンジンの信頼性向上燃焼試験の結果について. 2001, Volume 17. Available online: https://www.jaxa.jp/press/nasda/2001/le5b_010321_j.html (accessed on 28 September 2024).
- Yoshida, M.; Kimura, T.; Hashimoto, T.; Moriya, S.; Takada, S. Overview of Research and Development Status of Reusable Rocket Engine. In Chemical Rocket Propulsion. Springer Aerospace Technology; Springer: Cham, Switzerland, 2017; pp. 905–931. [Google Scholar] [CrossRef]
- Pérez-Roca, S.; Marzat, J.; Piet-Lahanier, H.; Langlois, N.; Farago, F.; Galeotta, M.; Le Gonidec, S. A Survey of Automatic Control Methods for Liquid-Propellant Rocket Engines. Prog. Aerosp. Sci. 2019, 107, 63–84. [Google Scholar] [CrossRef]
- Gulczynski, M.T.; Dos Santos Hahn, R.H.; Riccius, J.; Zametaev, E.; Waxenegger-Wilfing, G.; Deeken, J.C.; Oschwald, M. Numerical Turbine Blade Fatigue Life Analysis for Reusable Liquid Rocket Engines (LREs) Applications. In Proceedings of the EUCASS-3AF 2022 9th European Conference for Aerospace Sciences, Lille, France, 27 June–1 July 2022; pp. 1–14. [Google Scholar]
- Zhang, W. Failure Characteristics Analysis and Fault Diagnosis for Liquid Rocket Engines; Springer: Berlin/Heidelberg Germany, 2016; ISBN 9783662492543. [Google Scholar]
- Dos Santos Hahn, R.H.; Gulczynski, M.T.; Kurudzija, E.; Dresia, K.; Waxenegger-Wilfing, G.; Deeken, J.C. LUMEN Evolution for Lunar Lander Propulsion. In Proceedings of the 2nd International Conference on Flight Vehicles, Aerothermodynamics and Re-entry Missions Engineering (FAR), Heibronn, Germany, 19–23 June 2022. [Google Scholar]
- Waxenegger, G.; Riccius, J.; Zametaev, E.; Deeken, J.; Sand, J. Implications of Cycle Variants, Propellant Combinations and Operating Regimes on Fatigue Life Expectancies of Liquid Rocket Engines. In Proceedings of the 7th European Conference for Aeronautics and Space Sciences, Milan, Italy, 3–6 July 2017. [Google Scholar]
- Margarit i Bel, N.; Sánchez, M.M. Simulation of a Liquid Rocket Engine. In Proceedings of the 1st Meeting of EcosimPro Users, UNED, Madrid, Spain, 3–4 May 2001. [Google Scholar]
- Satoh, D.; Tsutsumi, S.; Hirabayashi, M.; Kawatsu, K.; Kimura, T. Estimating Model Parameters of Liquid Rocket Engine Simulator Using Data Assimilation. Acta Astronaut. 2020, 177, 373–385. [Google Scholar] [CrossRef]
- Gulczyński, M.T.; Hahn, R.H.S.; Waxenegger-Wilfing, G.; Deeken, J.C.; Oschwald, M. Parametric Optimization of Turbopump for Reusable Rocket Engine (RRE) Applications. In Proceedings of the 34th International Symposium on Space Technology and Science, Fufkuoka, Japan, 3–9 June 2023; p. 10. [Google Scholar]
- Deeken, J.; Oschwald, M.; Schlechtriem, S. Lumen Demonstrator—Project Overview. In Proceedings of the Space Propulsion 2020+1, Virtual, 17–19 March 2021. [Google Scholar]
- Kawatsu, K.; Tani, N.; Shimagaki, M.; Uchiumi, M.; Yamanishi, N.; Mitsuhashi, K.; Mizuno, T. Multi Objective Optimization of a Supersonic Axial Turbine Blade Row Shape for a Rocket Engine Turbopump. In Proceedings of the 47th AIAA/ASME/SAE/ASEE Joint Propulsion Conference & Exhibit, San Diego, CA, USA, 31 July–3 August 2011. [Google Scholar] [CrossRef]
- Traudt, T.; Börner, M.; Suslov, D.; Hahn, R.H.S.; Saraf, A.M.; Deeken, J.; Hardi, J.; Schlechtriem, S. Liquid Upper Stage Demonstrator Engine (LUMEN): Component Test Results and Project Progress. In Proceedings of the 73rd International Astronautical Congress, Paris, France, 18–22 September 2022. [Google Scholar]
- Atsumi, M.; Yoshikawa, K.; Ogawara, A.; Onga, T. Development of the LE-X Engine. Mitsubishi Heavy Ind. Tech. Rev. 2011, 48, 36–41. [Google Scholar]
- Dos Santos Hahn, R.H.; Deeken, J.C.; Traudt, T.; Oschwald, M.; Schlechtriem, S.; Negishi, H. LUMEN Turbopump—Preliminary Design of Supersonic Turbine. In Proceedings of the 32nd International Symposium on Space Technology and Science, Fukui, Japan, 15–21 June 2019; pp. 9–10. [Google Scholar]
- Adler, A. Design and Robustness Analysis of Neural Network Based Control of Rocket Engine Turbopumps. Master’s Thesis, Julius-Maximilians-Universität Würzburg, Würzburg, Germany, 2022. [Google Scholar]
- Matteo, F.D.; Steelant, J. Multi-Disciplinary Propulsion Simulations at Engineering Level by Means of the European Space Propulsion System Simulation ESPSS. In Proceedings of the RTO/AVT/VKI Lecture Series on Fluid Dynamics Associated to Launcher Developers, EN-AVT-206-06, Genesius-Rode, Belgium, 15–17 April 2013; pp. 1–31. [Google Scholar]
- Dżygadło, Z.; Łyżwiński, M.; Otyś, J.; Szceciński, S.; Wiatrek, R. Napędy Lotnicze—Zespoły Wirnikowe Silników Turbinowych; Wydawnictwo Komunikacji i Łączności: Sulejówek, Poland, 1982. [Google Scholar]
- Lipka, J. Wytrzymalosc Maszyn Wirnikowych; Uklanski, A., Appel, L., Wojdowski, R., Welik, H., Eds.; Wydawnictwo Naukowo-Techniczne Warszawa: Warsaw, Poland, 1967; ISBN T00185554. [Google Scholar]
- Гахун, Г.Г. Кoнструкция И Прoектирoвание Жидкoстных Ракетных Двигателей. In Мoсква Машинoстрoение; Рипoл Классик: Moscow, Russia, 1989; Available online: https://books.google.de/books?id=hBr_AgAAQBAJ&pg=PA1&hl=de&source=gbs_selected_pages&cad=1#v=onepage&q&f=false (accessed on 28 September 2024).
- National Aeronautics and Space Administration. NASA SP-8110 Liquid Rocket Engine Turbines; NASA: Washington, DC, USA, 1974. Available online: https://ntrs.nasa.gov/api/citations/19740026132/downloads/19740026132.pdf (accessed on 28 September 2024).
- Saravanamuttoo, H.I.H.; Cohen, H.; Rogers, G.F.C.; Straznicky, P.V.; Nix, A.C. Gas Turbine Theory SEVENTH EDITION Gas Turbine Theory; Pearson: London, UK, 2017; ISBN 9781292093093. [Google Scholar]
- Jack, L.K. Aircraft Engines and Gas Turbines, 2nd ed.; The MIT Press: Cambridge, MA, USA, 1992; ISBN 978-0262534031. [Google Scholar]
- Kumar, R.; Kumar, V.S.; Butt, M.M.; Sheikh, N.A.; Khan, S.A.; Afzal, A. Thermo-Mechanical Analysis and Estimation of Turbine Blade Tip Clearance of a Small Gas Turbine Engine under Transient Operating Conditions. Appl. Therm. Eng. 2020, 179, 115700. [Google Scholar] [CrossRef]
- Thamizh, R.I.; Velmurugan, R.; Jayagandhan, R. Finite Element Analysis of Metal Matrix Composite Blade. IOP Conf. Ser. Mater. Sci. Eng. 2016, 152, 012008. [Google Scholar] [CrossRef]
- Farhat, H. Chapter 5—Typical Service-Induced Damages. In Operation, Maintenance, and Repair of Land-Based Gas Turbines; Farhat, H., Ed.; Elsevier: Amsterdam, The Netherlands, 2021; pp. 107–130. ISBN 978-0-12-821834-1. [Google Scholar]
- Farhat, H. Chapter 8—Lifetime Extension: Assessment and Considerations. In Operation, Maintenance, and Repair of Land-Based Gas Turbines; Farhat, H., Ed.; Elsevier: Amsterdam, The Netherlands, 2021; pp. 175–196. ISBN 978-0-12-821834-1. [Google Scholar]
- Bruchhausen, M.; Fischer, B.; Ruiz, A.; González, S.; Hähner, P.; Soller, S. Impact of Hydrogen on the High Cycle Fatigue Behaviour of Inconel 718 in Asymmetric Push-Pull Mode at Room Temperature. Int. J. Fatigue 2015, 70, 137–145. [Google Scholar] [CrossRef]
- Belan, J. High Frequency Fatigue Test of in 718 Alloy—Microstructure and Fractography Evaluation. Metalurgija 2015, 54, 59–62. [Google Scholar]
- Zhong, L.; Hu, H.; Liang, Y.; Huang, C. High Cycle Fatigue Performance of Inconel 718 Alloys with Different Strengths at Room Temperature. Metals 2019, 9, 13. [Google Scholar] [CrossRef]
- Iturbe, A.; Giraud, E.; Hormaetxe, E.; Garay, A.; Germain, G.; Ostolaza, K.; Arrazola, P.J. Mechanical Characterization and Modelling of Inconel 718 Material Behavior for Machining Process Assessment. Mater. Sci. Eng. A 2017, 682, 441–453. [Google Scholar] [CrossRef]
- Kawagoishi, N.; Chen, Q.; Nisitani, H. Fatigue Strength of Inconel 718 at Elevated Temperatures. Fatigue Fract. Eng. Mater. Struct. 2000, 23, 209–216. [Google Scholar] [CrossRef]
- Shao-Hsien, C.; Tsai, K.T. Predictive Analysis for the Thermal Diffusion of the Plasma-Assisted Machining of Superalloy Inconel-718 Based on Exponential Smoothing. Adv. Mater. Sci. Eng. 2018, 2018, 9532394. [Google Scholar] [CrossRef]
- Collins, J.A. Failure of Materials in Mechanical Design: Analysis, Prediction, Prevention; Wiley: New York, NY, USA, 1981; ISBN 0471050245. [Google Scholar]
- 宇宙開発委員会技術評価部会 H-ⅡAロケットの打上げ前段階における 技術評価について(報告); 2000. Available online: https://www.mext.go.jp/component/b_menu/shingi/giji/__icsFiles/afieldfile/2013/06/10/1335987_001.pdf (accessed on 28 September 2024).
- Cottis, R.A. Hydrogen Embrittlement—NASA/TM-2016–218602; NASA: Washington, DC, USA, 2010.
- Gulczynski, M.T.; Riccius, J.R.; Waxenegger-Wilfing, G.; Deeken, J.; Oschwald, M. Combustion Chamber Fatigue Life Analysis for Reusable Liquid Rocket Engines (LREs). In Proceedings of the AIAA SCITECH 2023 Forum, National Harbor, MD & Online, 23–27 January 2023; American Institute of Aeronautics and Astronautics: Reston, VA, USA, 2023. [Google Scholar]
- Gulczyński, M.T.; Riccius, J.R.; Waxenegger-wilfing, G.; Deeken, J.C.; Oschwald, M. Numerical Fatigue Life Analysis of Combustion Chamber Walls for Future Reusable Liquid Rocket Engines (LREs) Applications. In Proceedings of the Space Propulsion Conference, Estoril, Portugal, 9–13 May 2022; pp. 1–14. [Google Scholar]
- Овсянникoв БВ,Б.Б; Б.И.Бoрoвский Теoрия и расчет агрегатoв питания жидкoстных ракетных двигателей. In Машинoстрoение. 1986. Available online: https://www.semanticscholar.org/paper/Теoрия-и-расчет-агрегатoв-питания-жидкoстных-Овсянникoв-Бoрoвский/aaf3eef7159f7df4545c845227bf30967ade271a (accessed on 28 September 2024).
- Riccius, J.; Zametaev, E.; Gulczyński, M.T.; Hahn, R.H. Numerical LRE Turbine Blade Fatigue Life Analysis Taking into Account Partial Admission Effects. In Proceedings of the 2nd International Conference on Flight Vehicles, Aerothermodynamics and Re-entry Missions Engineering (FAR), Heilbronn, Germany, 19–23 June 2022. [Google Scholar]









| Parameter | LUMEN | LE-5B-2 | Unit |
|---|---|---|---|
| Operational cycle | expander bleed | expander bleed | - |
| Nominal thrust | 25 | 137.2 | kN |
| CC mixture ratio | 3.4 | 5 | - |
| CC pressure | 6 | 3.58 | MPa |
| Specific impulse, Isp | - | 447 | s |
| Throttling range | 58–133 | 60, 30, 3 | % |
| Nomenclature | Parameter | LUMEN | LE-5B-2 * | Unit |
|---|---|---|---|---|
| Mass of the blade | m | 0.0017 | 0.0013 | kg |
| Blade centroid radius | Rmean | 0.0635 | 0.07875 | m |
| Blade driving jets number | nstat(OTP) nstat(FTP) | 3 5 | - 44 | - - |
| Fillet radius (transition between disc and blade) | rfillet | 0.005 | 0.005 | m |
| Blade height | h(OTP) h(FTP) | 0.0093 0.0097 | - 0.0091 | m m |
| Blades number | nblades | 65 | 97 | - |
| Blade camber angle input | 69 18 | 61.5 17 | ° ° | |
| Blade maximum thickness | tOTP tFTP | 0.00370 0.00406 | - 0.00499 | m m |
| Chord length(OTP&FTP) | c | 0.009 | 0.0075 | m |
| Axial velocitystator exhaust | 246.9|257.7 | 617.6 | m/s | |
| Axial velocityrotor exhaust | 201.9|174.1 | 598.9 | m/s | |
| Tangential velocitystator exhaust | 875.6|901.2 | 1886.8 | m/s | |
| Tangential velocityrotor exhaust | 406.9|159 | 843.1 | m/s | |
| Mass flow rate | 1.046 | 0.491 | kg/s | |
| Admission degree | ΘOTP ΘFTP | 0.229 0.356 | - 0.441 | - - |
| Density of the material | 8190 | 8190 | kg/m3 |
| Nomenclature | Parameter | LUMEN OTP|FTP | LE-5B-2 Class Reference Engine FTP | Unit |
|---|---|---|---|---|
| Cyclic stress | 44|46 | 22 | MPa | |
| Stress amplitude | 22|23 | 11 | MPa | |
| Mean stress | 52|132 | 121 | MPa |
Disclaimer/Publisher’s Note: The statements, opinions and data contained in all publications are solely those of the individual author(s) and contributor(s) and not of MDPI and/or the editor(s). MDPI and/or the editor(s) disclaim responsibility for any injury to people or property resulting from any ideas, methods, instructions or products referred to in the content. |
© 2024 by the authors. Licensee MDPI, Basel, Switzerland. This article is an open access article distributed under the terms and conditions of the Creative Commons Attribution (CC BY) license (https://creativecommons.org/licenses/by/4.0/).
Share and Cite
Gulczyński, M.T.; Hahn, R.H.S.; Deeken, J.C.; Oschwald, M. Turbopump Parametric Modelling and Reliability Assessment for Reusable Rocket Engine Applications. Aerospace 2024, 11, 808. https://doi.org/10.3390/aerospace11100808
Gulczyński MT, Hahn RHS, Deeken JC, Oschwald M. Turbopump Parametric Modelling and Reliability Assessment for Reusable Rocket Engine Applications. Aerospace. 2024; 11(10):808. https://doi.org/10.3390/aerospace11100808
Chicago/Turabian StyleGulczyński, Mateusz T., Robson H. S. Hahn, Jan C. Deeken, and Michael Oschwald. 2024. "Turbopump Parametric Modelling and Reliability Assessment for Reusable Rocket Engine Applications" Aerospace 11, no. 10: 808. https://doi.org/10.3390/aerospace11100808
APA StyleGulczyński, M. T., Hahn, R. H. S., Deeken, J. C., & Oschwald, M. (2024). Turbopump Parametric Modelling and Reliability Assessment for Reusable Rocket Engine Applications. Aerospace, 11(10), 808. https://doi.org/10.3390/aerospace11100808

