Experimental and Correction Methods for Responsivity Temperature Dependence in the SWIR Bands of a Spaceborne Scanning Polarimeter
Abstract
1. Introduction
2. Instrument, Model, and Method
2.1. Instrument
2.2. RTDC Model
2.3. Experimental Method
3. Experimental Setup
3.1. Instrument-Level Experiment
3.2. Detector-Level Experiment
- The lack of optical–mechanical components results in differences in the spectral response range and the field of view, as well as resulting in more serious stray light interference. In the detector-level experiment, the filter of the same batch used in the PSAC was installed before the cooling shield to ensure a consistent spectral response range. Because of the temperature characteristics of these narrow-channel filters, a transmittance temperature correction experiment was conducted. The field of view of the detector was limited by the cooperation of the cooling shield window and electromagnetic shielding box opening. To suppress stray light, a matte flannelette was installed on the interior of the shielding box.
- The absence of electromagnetic shielding and signal processing components makes it easier to couple the common frequency interference and the noise associated with experimental equipment. For this, a shielding box was tightly connected to the heat exchanger. The detector response current was measured by a digital source table through shielded twisted pairs, and the terminal was wrapped with aluminum foil to reduce electromagnetic coupling. The integration time of the digital source table was set to 50 ms to further reduce the presence of random noise.
- In the detector-level experiment, the room temperature fluctuations affect the temperature stability of the equipment. Additionally, the heat sink temperature is lower than the ambient laboratory temperature; this may lead to a transmissivity decrease in the optical components due to condensation. To address these issues, an insulating sponge was pasted to the outside of the circulating water pipe to reduce the impact of ambient laboratory temperature fluctuation. Multi-layer Insulation (MLI) foils and a matte flannelette were adhered to the thermistor surface to reduce the temperature differences from the target. Nitrogen was continuously injected into the shielding box at a constant low speed during the experiment to prevent condensation in the detector window and filter. A rubber dehumidifier was used, which can avoid temperature changes after moisture absorption.
4. Results and Discussion
4.1. Instrument-Level Experiment Results
4.1.1. Instrument-Level Bench Stability Experiment Results
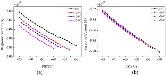
4.1.2. Instrument-Level Responsivity Temperature Dependence Experiment Results
4.2. Detector-Level Experiment Results
4.2.1. Detector-Level Bench Stability Experiment Results
4.2.2. Filter Transmittance Temperature Experiment Results
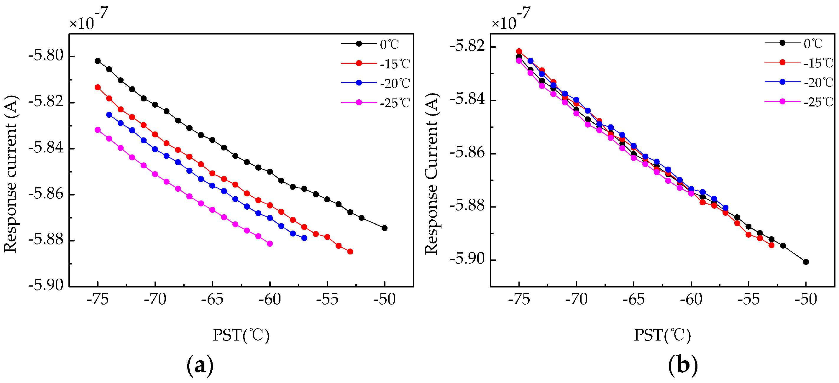
4.2.3. Independent Detector Responsivity Temperature Dependence Experiment Results
4.3. Comparison of the Responsivity Temperature Dependence Results and the RTDC Effect
4.4. On-Orbit Application of RTDC
5. Conclusions
Author Contributions
Funding
Institutional Review Board Statement
Informed Consent Statement
Data Availability Statement
Conflicts of Interest
References
- Lei, X.; Liu, Z.; Tao, F.; Hou, W.; Huang, H.; Xie, Y.; Zhao, X.; Dong, H.; Zou, P.; Song, M.; et al. Geolocation Error Estimation Method for the Wide Swath Polarized Scanning Atmospheric Corrector Onboard HJ-2 A/B Satellites. IEEE Trans. Geosci. Remote Sens. 2022, 60, 1–9. [Google Scholar] [CrossRef]
- Lei, X.; Liu, Z.; Tao, F.; Zhao, X.; Hou, W.; Huang, H.; Xie, Y.; Dong, H.; Zou, P.; Song, M.; et al. Data preprocessing methods and procedures for the wide swath polarized scanning atmospheric corrector onboard HJ-2A/B satellites. SPIE 2022, 12169, 2029–2034. [Google Scholar] [CrossRef]
- Li, Z.; Xie, Y.; Hou, W.; Liu, Z.; Bai, Z.; Hong, J.; Ma, Y.; Huang, H.; Lei, X.; Sun, X.; et al. In-Orbit Test of the Polarized Scanning Atmospheric Corrector (PSAC) Onboard Chinese Environmental Protection and Disaster Monitoring Satellite Constellation HJ-2 A/B. IEEE Trans. Geosci. Remote Sens. 2022, 60, 4108217. [Google Scholar] [CrossRef]
- Xie, Y.; Hou, W.; Li, Z.; Zhu, S.; Liu, Z.; Hong, J.; Ma, Y.; Fan, C.; Guang, J.; Yang, B.; et al. Columnar Water Vapor Retrieval by Using Data from the Polarized Scanning Atmospheric Corrector (PSAC) Onboard HJ-2 A/B Satellites. Remote. Sens. 2022, 14, 1376. [Google Scholar] [CrossRef]
- Shi, Z.; Hou, W.; Mei, L.; Sun, L.; Jia, C.; Ying, Z.; Li, K.; Xu, H.; Liu, Z.; Ge, B.; et al. Aerosol Optical Depth Retrieval Based on Neural Network Model Using Polarized Scanning Atmospheric Corrector (PSAC) Data. IEEE Trans. Geosci. Remote Sens. 2022, 60, 4109018. [Google Scholar] [CrossRef]
- Li, Z.; Hou, W.; Hong, J.; Fan, C.; Wei, Y.; Liu, Z.; Lei, X.; Qiao, Y.; Hasekamp, O.P.; Fu, G.; et al. The polarization crossfire (PCF) sensor suite focusing on satellite remote sensing of fine particulate matter PM2.5 from space. J. Quant. Spectrosc. Radiat. Transf. 2022, 286, 108217. [Google Scholar] [CrossRef]
- Dong, H.; Liu, Z.; Zou, P.; Hong, J. Background radiation response evaluation of InGaAs detectors. SPIE 2018, 10832, 424–433. [Google Scholar] [CrossRef]
- Zhu, S.-s.; Zou, P.; Song, M.-x.; Zhao, K.-x.; Ling, M.-c.; Liu, Z.-h.; Qiu, Z.-w.; Hong, J. High-precision temperature control scheme and verification for space-borne infrared detectors. SPIE 2019, 11023, 52–58. [Google Scholar] [CrossRef]
- Adamczyk, M.; Kamiński, M.; Sitnik, R.; Bogdan, A.; Karaszewski, M. Effect of temperature on calibration quality of structured-light three-dimensional scanners. Appl. Opt. 2014, 53, 5154–5162. [Google Scholar] [CrossRef]
- Popoola, O.A.M.; Stewart, G.B.; Mead, M.I.; Jones, R.L. Development of a baseline-temperature correction methodology for electrochemical sensors and its implications for long-term stability. Atmos. Environ. 2016, 147, 330–343. [Google Scholar] [CrossRef]
- Xiong, J.; Toller, G.; Chiang, V.; Sun, J.; Esposito, J.; Barnes, W. MODIS Level 1B Algorithm Theoretical Basis Document; NASA MODIS Characterization Support Team: Washington, DC, USA, 2005.
- Barnes, R.A.; Holmes, A.W.; Barnes, W.L.; Esaias, W.E.; Mcclain, C.R. SeaWiFS Technical Report Series. Volume 23: SeaWiFS Prelaunch Radiometric Calibration and Spectral Characterization; NASA: Greenbelt, MD, USA, 1994.
- Eplee, R.; Patt, F.; Meister, G.; Franz, B.; Bailey, S.; McClain, C. On-orbit calibration of SeaWiFS: Revised temperature and gain corrections. SPIE 2007, 6677, 146–160. [Google Scholar] [CrossRef]
- Berjón, A.J.; Torres, B.; Toledano, C.; Podvin, T.; Blarel, L.; Prats, N.; Goloub, P.; Cachorro, V. Characterization of temperature sensitivity of sun photometers by field comparison with a reference instrument. J. Aerosol Sci. 2013, 59, 1–5. [Google Scholar] [CrossRef]
- Andor, G. Temperature dependence of high accuracy photometer heads. Appl. Opt. 1989, 28, 4733_1–4734. [Google Scholar] [CrossRef] [PubMed]
- Giles, D.M.; Sinyuk, A.; Sorokin, M.G.; Schafer, J.S.; Smirnov, A.; Slutsker, I.; Eck, T.F.; Holben, B.N.; Lewis, J.R.; Campbell, J.R.; et al. Advancements in the Aerosol Robotic Network (AERONET) Version 3 database—Automated near-real-time quality control algorithm with improved cloud screening for Sun photometer aerosol optical depth (AOD) measurements. Atmos. Meas. Tech. 2019, 12, 169–209. [Google Scholar] [CrossRef]
- Holben, B.N. AERONET Annual Review. 2008. Available online: http://aeronet.gsfc.nasa.gov/new_web/-AERONET_Annual_Review08_final.pdf (accessed on 1 July 2022).
- Chen, S.; Li, Y.; Cao, F.; Zhang, Y. Calibration of Automatic Sun Photometer with Temperature Correction in Field Environment. Remote Sens. 2022, 14, 66. [Google Scholar] [CrossRef]
- Yao, P.; Tu, B.; Xu, S.; Yu, X.; Xu, Z.; Luo, D.; Hong, J. Non-uniformity calibration method of space-borne area CCD for directional polarimetric camera. Opt. Express 2021, 29, 3309–3326. [Google Scholar] [CrossRef]
- Mishchenko, M.I.; Cairns, B.; Kopp, G.; Schueler, C.F.; Fafaul, B.A.; Hansen, J.E.; Hooker, R.J.; Itchkawich, T.; Maring, H.B.; Travis, L.D. Accurate Monitoring of Terrestrial Aerosols and Total Solar Irradiance: Introducing the Glory Mission. Bull. Am. Meteorol. Soc. 2007, 88, 677–692. [Google Scholar] [CrossRef]
- Hansen, J.E.; Travis, L.D. Light scattering in planetary atmospheres. Space Sci. Rev. 1974, 16, 527–610. [Google Scholar] [CrossRef]
- Xiong, X.; Aldoretta, E.; Angal, A.; Chang, T.; Wu, A. Terra MODIS: 20 years of on-orbit calibration and performance. J. Appl. Remote Sens. 2020, 14, 037501. [Google Scholar] [CrossRef]
- Liu, Z.; Luo, D.; Zou, P.; Chen, D.; Lu, M.; Hong, J. A Kind of Signal Drift Dynamic Correcting Method and Device. China. CN108363445B, 28 July 2020. [Google Scholar]
- Li, B.; Zhang, S.Y.; Jiang, J.C.; Liu, D.Q.; Zhang, F.S. Recent progress in improving low-temperature stability of infrared thin-film interference filters. Opt. Express 2005, 13, 6376–6380. [Google Scholar] [CrossRef]
- Stolberg-Rohr, T.; Hawkins, G.J. Spectral design of temperature-invariant narrow bandpass filters for the mid-infrared. Opt. Express 2015, 23, 580–596. [Google Scholar] [CrossRef] [PubMed]
- González-Cuevas, J.; Refaat, T.; Abedin, M.N.; Elsayed-Ali, H. Modeling of the temperature-dependent spectral response of In1–χGaχSb infrared photodetectors. Opt. Eng. 2006, 45, 044001. [Google Scholar]




















| Parameter | Unit | Value |
|---|---|---|
| Swath | km | ≥800 |
| Instantaneous Field of View (IFOV) | ° | 0.52 |
| Resolution at nadir | km | ≤6@645 |
| Wavelength bands | nm | 410, 443, 555, 670, 865,910, 1380, 1610, 2250 |
| Polarization analyzers’ relative azimuths | ° | 0, 45, 90, 135 |
| Radiometric accuracy | % | ≤5 |
| Polarimetric accuracy | / | ≤0.005 (p < 0.3) |
| Laboratory-Based Radiometric Test | On-Orbit Operation | |
|---|---|---|
| Main structure temperature | ≈20 °C | ≈20 °C |
| Heat sink temperature | ≈20 °C | ≈−15 °C |
| PST | ≈−30 °C | ≈−65 °C |
Disclaimer/Publisher’s Note: The statements, opinions and data contained in all publications are solely those of the individual author(s) and contributor(s) and not of MDPI and/or the editor(s). MDPI and/or the editor(s) disclaim responsibility for any injury to people or property resulting from any ideas, methods, instructions or products referred to in the content. |
© 2023 by the authors. Licensee MDPI, Basel, Switzerland. This article is an open access article distributed under the terms and conditions of the Creative Commons Attribution (CC BY) license (https://creativecommons.org/licenses/by/4.0/).
Share and Cite
Dong, H.; Liu, Z.; Lei, X.; Li, C.; Tao, F.; Zhao, X.; Ling, M.; Yan, L.; Sun, Z.; Cong, Q.; et al. Experimental and Correction Methods for Responsivity Temperature Dependence in the SWIR Bands of a Spaceborne Scanning Polarimeter. Aerospace 2023, 10, 200. https://doi.org/10.3390/aerospace10020200
Dong H, Liu Z, Lei X, Li C, Tao F, Zhao X, Ling M, Yan L, Sun Z, Cong Q, et al. Experimental and Correction Methods for Responsivity Temperature Dependence in the SWIR Bands of a Spaceborne Scanning Polarimeter. Aerospace. 2023; 10(2):200. https://doi.org/10.3390/aerospace10020200
Chicago/Turabian StyleDong, Hao, Zhenhai Liu, Xuefeng Lei, Congfei Li, Fei Tao, Xinxin Zhao, Mingchun Ling, Lei Yan, Zhen Sun, Qiang Cong, and et al. 2023. "Experimental and Correction Methods for Responsivity Temperature Dependence in the SWIR Bands of a Spaceborne Scanning Polarimeter" Aerospace 10, no. 2: 200. https://doi.org/10.3390/aerospace10020200
APA StyleDong, H., Liu, Z., Lei, X., Li, C., Tao, F., Zhao, X., Ling, M., Yan, L., Sun, Z., Cong, Q., Zou, P., Song, M., & Hong, J. (2023). Experimental and Correction Methods for Responsivity Temperature Dependence in the SWIR Bands of a Spaceborne Scanning Polarimeter. Aerospace, 10(2), 200. https://doi.org/10.3390/aerospace10020200

