Reforming Technologies to Improve the Performance of Combustion Systems
Abstract
:1. Introduction
2. Reforming Processes
2.1. Thermal or Non-Catalytic Partial Oxidation (TPOX)



2.2. Catalytic Partial Oxidation (CPOX)
| Chemical Equation | Number |
|---|---|
| CH4 + 2O2 → CO2 + 2H2O | (i) |
| CH4 + 0.5O2 → CO + 2H2 | (ii) |
| CH4 + O2 → CO2 + 2H2 | (iii) |
| CO + H2O ↔ CO2 + H2 | (iv) |
| CH4 + H2O ↔ CO + 3H2 | (v) |
| CH4 + CO2 ↔ 2CO + 2H2 | (vi) |
| CO + H2 ↔ C + H2O | (vii) |
| CH4 ↔ C + 4H2 | (viii) |
| 2CO ↔ CO2 + C | (ix) |
| CO + 0.5O2 → CO2 | (x) |
| H2 + 0.5O2 → H2O | (xi) |






2.3. Filtration Combustion (FC)





2.4. Autothermal Reforming (ATR)

| Reactor type | Power Class (kW) | Characteristics |
|---|---|---|
| ATR 1, ATR 2, ATR 3 | 0.5–3 | Test reformer for catalyst screening |
| Two-fluid nozzle for injection of fuel and air at room temperature | ||
| ATR 4 | 3 | |
| Designed for PEFC-systems | ||
| ATR 5 | 5 | Two fluid nozzle for injection of fuel and air at ambient temperature |
| Internal steam generation | ||
| Designed for PEFC-systems | ||
| ATR 6 | 5 | Single fluid nozzle for fuel injection at room temperature |
| Redesigned fuel evaporation chamber | ||
| Separate air mixing area | ||
| Internal steam generation | ||
| Designed for SOFC-systems | ||
| ATR 7 | 5 | Single fluid nozzle for fuel injection at room temperature |
| Design of fuel evaporation chamber from ATR 6 | ||
| Separate air mixing area | ||
| Internal steam generation | ||
| Designed for PEFC-systems | ||
| ATR 8 | 5 | Single fluid nozzle for fuel injection at room temperature |
| Slightly modified fuel evaporation chamber | ||
| Separate air mixing area | ||
| Internal steam generation | ||
| Designed for PEFC-systems |







2.5. Steam Reforming


| Catalyst | Surface Area (m2/g) | Pore Volume (cm3/g) | Average Pore Size (Å) | Nominal/ICP Measured (wt%) |
|---|---|---|---|---|
| Ce–Al support | 195.0 | 0.76 | 150.1 | – |
| Zr–Al support | 180.3 | 0.67 | 143.9 | – |
| Ce–Zr–Al support | 191.7 | 0.74 | 150.7 | – |
| Commercial (composition: 18 wt% NiO) | 21.6 | 0.09 | 169.5 | 12.4 (Ni) 0.4 (Ca) |
| Ni/MgO | 25.6 | 0.13 | 200.0 | 20.0/17.2 (Ni) |
| Ni/Ce–Al2O3 | 163.3 | 0.59 | 143.7 | 13.0/10.8 (Ni) 6.0/3.3 (Ce) |
| Ni/Zr–Al2O3 | 166.6 | 0.62 | 146.3 | 13.0/11.4 (Ni) 8.0/5.5 (Zr) |
| Ni/Ce–Zr–Al2O3 | 151.0 | 0.60 | 153.2 | 13.0/10.6 (Ni) 3.0/2.7 (Ce) 4.0/3.6 (Zr) |
| Rh–Ni/Ce–Al2O3 | 156.8 | 0.60 | 150.1 | 13.0/10.0 (Ni) 1.0/0.9 (Rh) 6.0/3.6 (Ce) |
| Parameters | With Pre-Reforming | Without Pre-Reforming | |
|---|---|---|---|
| Pre-reformer | Membrane reformer | Membrane reformer | |
| Reaction temperature (K) | 873 | 773 | 773 |
| W/F (g cat min/C mol) * | 3,000 | 3,000 | 6,000 |
| Pressure | Atmospheric pressure | ||
| Catalyst | 2% Ru/α-Al2O3 | ||
| Catalyst amount | 5 | 5 | 10 |
| S/C | 3 | 3 | 3 |

| Type of Technology | Main Purpose of Study | Key Findings | Source Reference |
|---|---|---|---|
| Thermal Partial Oxidation | The effects of operating conditions such as equivalence ratio and mass flow rate | An air ratio down to 0.4 was the practical limit to perform TPOX of methane; Air pre-heating temperature has no significant effect on the reforming process, but it does affect the soot point; Reactor design seems practical, future modifications could allow it to be incorporated into gas turbine engines | Al-Hammamre et al. [8] |
| Thermal Partial Oxidation | Hydrogen production and soot particulate emissions from rich combustion of methane in an inert porous media based reactor | SiSic is a better porous matrix compared to Al2O3 packed bed; Reformer design seems promising, can be incorporated in aircraft gas turbine engines | Loukou et al. [9] |
| Catalytic Partial Oxidation | Catalytic partial oxidation of methane on platinum using spatially resolved profiles | Transportation of the Pt catalyst and the formation of carbonaceous deposits, were responsible for the position of the mechanistic change; The branching ratio between the partial oxidation and complete oxidation reaction were different for the two micro-kinetic models | Korup et al. [11] |
| Catalytic Partial Oxidation | Syngas production through catalytic partial oxidation of methane over lanthanum chromite and lanthanum ferrite perovskites with A-site doping of Ba, Ca, Mg and Sr, for fuel cell applications | A-site doping generally increased the mobility of lattice oxygen ions and therefore decreased the temperature of H2 and CO production as compared to undoped LaCrO3 and LaFeO3; Both catalysts showed stable performance during the generation-regeneration cycles, but LaFeO3 showed slightly better performance; (La0.75Sr0.25)FeO3 showed the best performance (65% CH4 conversion, 10% H2 and 2.8% CO production at 850°C with 100% H2 selectivity), and is a promising atomic oxygen source for syngas production via catalytic POX of methane | Khine et al. [17] |
| Catalytic Partial Oxidation | Catalytic partial oxidation of n-butanol over LDH derived Ni-based catalysts | The catalysts were proven effective for use in CPOX reactions; Hydrogen production can be increased from 3.76 to 4.01 if O2 to butanol ratio is increased from 1.5 to 2.0, and the temperature is kept at 700°C | Huang et al. [18] |
| Catalytic Partial Oxidation | Catalytic partial oxidation of methane rich mixtures in non-adiabatic monolith reactors | Radiative heat loss can change the heat release as compared to the adiabatic reactor, and make the reaction more exothermic | Navalho et al. [19] |
| Catalytic Partial Oxidation | Influence of pressure on autothermal catalytic partial oxidation of methane and propane | Below a value of 4 bar, pressure caused an increase in the outlet temperature; In the inlet of the catalyst, pressure had a minimal effect on the reaction kinetics; No change was recorded in the hot spot temperature | Donazzi et al. [20] |
| Catalytic Partial Oxidation | Carbon dioxide conversion for syngas production during CPOX of methane | Carbon dioxide conversion for syngas production during CPOX of methane; CO2 impedes steam reforming and enhances dry reforming. Generally, increasing CO2 decreases H2 but increases CO formation; A maximum conversion was obtained at a carbon dioxide to oxygen ratio of 0.2, and with an increasing O/C ratio, the CO2 conversion decreases | Chen [21] |
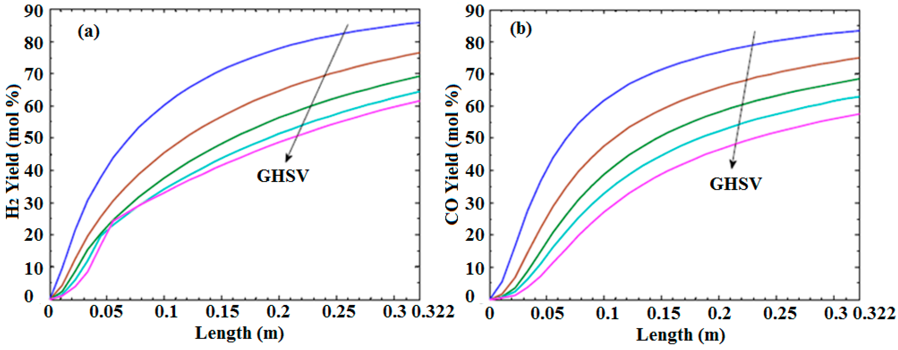
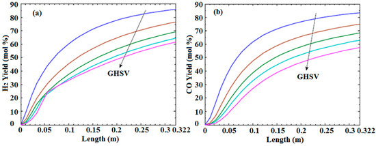
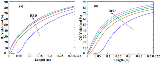
| Catalytic Partial Oxidation | Use of a plasma-assisted gliding arc reactor to model the catalytic partial oxidation of methane to syngas 2D heterogeneous plug-flow radial dispersion and no gradients inside the catalyst pellet | Temperature, reactant conversion and hydrogen and CO yields, showed results which were similar with respect to the simulation and the experimental data; An increase in the GHSV caused a decrease in the reactant conversion and H2 and CO yields; An increase in the RED resulted in an increase in the CH4, H2O and CO2 mole fractions, as well as the reactants conversion and H2 and CO yields | Rafiq et al. [22] |
| Catalytic Partial Oxidation | Effect of sulphur addition on the CPOX of ethane over Rh and Pt honeycomb catalysts | Sulphur affects the kinetics of the reverse water gas shift reaction on Rh catalyst operating temperatures less than 750°C, by increasing the H2 yield above the equilibrium value | Cimino et al. [23] |
| Catalytic Partial Oxidation | How do composition and preparation method affect the performance of hydrotalcite derived Ru catalysts in the CPOX of methane | Ru dispersion and the interaction with the support catalyst decreased with increasing Ru loading and those catalysts which were derived using carbonates showed better performance than those which contained silicates | Ballarini et al. [24] |
| Filtration Combustion | Conversion of Jet-A fuel and butanol to syngas by non-catalytic FC (filtration combustion) in a porous media reactor | Maximum of 42% of the hydrogen content was converted to H2 and 56% of carbon was converted to CO; For butanol, these values were 43% and 72% respectively Smaller hydrocarbons produced higher syngas yields with jet-fuel having the lowest H2 and CO yields; Reactor design is robust and can be used in aircraft gas turbine engines | Smith et al. [25] |
| Filtration Combustion | Reburning of NO in ultrarich filtration combustion of methane | Two distinct regions of NOx removal exist with the addition of NO to the reactant stream, over the range of tested equivalence ratios | Bingue et al. [26] |
| Filtration Combustion | Optimizing hydrogen production by transient filtration combustion of methane in inert porous media by oxygen enrichment and depletion | Peak combustion temperatures dropped with oxygen enrichment and the absolute flame propagation rate increased; Three distinct regions of combustion in sequence from rich to ultrarich were identified | Bingue et al. [27] |
| Filtration Combustion | Hydrogen production during ultrarich filtration combustion of various hydrocarbons in porous media | Complete combustion could not be achieved for rich and ultrarich mixtures due to low oxygen content, and hence products including H2, CO and C2 hydrocarbons are formed; The maximum produced hydrogen concentrations were 15%, 14% and 13% for methane, ethane and propane flames respectively; Fifty per cent conversion to H2 was observed and the CO yield was 80% for all fuels | Toledo et al. [28] |
| Filtration Combustion | Conversion of methane to hydrogen using filtration combustion | Numerical model predicted a percentage conversion of approximately 59% while the experimental results showed 73% conversion Contributed to the understanding of transient filtration combustion, and the importance of the specific heat and conductivity of the porous medium | Dhamrat and Ellzey [29] |
| Filtration Combustion | Numerical and experimental conversion of liquid heptane to syngas | At high equivalence ratios, superadiabatic temperatures were recorded At equivalence ratios of 2.5 and higher, hydrogen conversion efficiencies as high as 80% were recorded CO conversion efficiencies peaked at 90% | Dixon et al. [30] |
| Autothermal Reforming | Catalytic autothermal reforming of jet fuel | Best reaction efficiency was achieved at a steam to carbon ratio of 1.5 and an air to fuel ratio of 0.28 at a space velocity of GHSV=50,000h−1 In the products, the content of alkenes was found to be always higher than that of alkanes Reactor design unsuitable for gas turbine engines | Lenz and Aicher [31] |
| Autothermal Reforming | Autothermal reforming of Jet A-1 fuel | ATR 5 was not suitable ATR 7 was a good choice since 100% cinversion efficiency was achieved ATR 8 was even better since no soot was formed Reactor designs are robust and can be used for aircraft gas turbine engines | Pasel et al. [32] |
| Autothermal Reforming | Hydrogen production by autothermal reforming of LPG for proton exchange membrane fuel cell applications | Pt-Ni bi-metallic system is a suitable catalyst for the autothermal reforming of LPG; Hydrogen production rate increases with increasing temperature when no carbon is deposited on the bi-metallic strip; The optimum experimental conditions, under which the highest hydrogen production was achieved, are a steam/carbon ratio of 7.0, a carbon/oxygen ratio of 2.7 and a residence time of 0.51 | Gökaliler et al. [33] |
| Autothermal Reforming | Hydrogen production using autothermal reforming of kerosene | Those catalysts treated in flowing N2 following impregnation performed the best; The hydrogen production rate achieved was close to the equilibrium value at nearly 60% | Harada et al. [34] |
| Autothermal Reforming | Syngas production through dry ATR from biomass derived gas | Syngas concentration was affected by both CO2/CH4 and O2/CH4 molar ratios; Coke formation can be avoided in dry ATR if the reaction temperature exceeds 1000 °C | Lai et al. [35] |
| Autothermal Reforming | Autothermal reforming using synthetic JP-8 fuel, which was derived through the Fischer-Tropsch process | Coal derived JP-8 can produce high reforming efficiencies while keeping carbon formation to a minimum Reformer module has potential for use on aircraft gas turbine engines | Scenna et al. [36] |
| Steam Reforming | Parametric study on the steam reforming of kerosene over a metal monolithic catalyst | The catalyst prepared in ethanol solution gave better metal dispersion and durability compared to that prepared in aqueous solution; Calcination in the air was found to decrease metal dispersion in both aqueous and ethanol solution prepared catalysts | Guo et al. [37] |
| Steam Reforming | Performance of synthesised trace Ru-doped anodic alumina supported Ni catalysts for kerosene steam reforming | Synthesised Ru-doped catalyst was found to have good durability during the process and during the electrical heat test the system reached stability in just 15 min and no irregularity was observed during the entire 10 h test | Guo et al. [38] |
| Steam Reforming | Production of hydrogen and syngas through oxidative and steam reforming of biogas, in conventional and micro-reactor systems | Micro-reactors showed higher turnover frequencies (TOF) and productivity compared to conventional fixed bed reactors, while similar results were achieved for all the tested catalysts | Izquierdo et al. [39] |
| Steam Reforming | Influence of pre-reforming in steam reforming of dodecane (a main component of kerosene) using a Pd alloy membrane reactor | Pre-reformer had significant effects on the performance of the membrane reactor Yield exceeded the thermodynamic equilibrium value and deterioration of the conversion and hydrogen yield was not seen | Miyamoto et al. [40] |
| Steam Reforming | Investigate an alternate feedstock for the production of hydrogen (syngas) | Reformer module with membrane panels along the height can be designed for the steam reforming of propane at a moderate temperature range with increased hydrogen yield | Rakib et al. [41] |
| Steam Reforming | Oxidative steam reforming of vacuum residue for hydrogen production | Catalyst deactivated with time due to coke formation at temperatures higher than 1173 K; The oxidative steam reforming was found to be most efficient at 1173 K and S/C = 4.0 and O2/C = 0.5 | Sahu and Sinha [42] |
| Steam Reforming | Hydrogen production steam reforming of kerosene over Ni–La and Ni–La–K/cordierite catalysts | Calcination temperature has a significant effect on the catalyst activity. The catalyst prepared with 5 wt% K2O, 25 wt% NiO and 10 wt% La2O3 was found to give the best performance at a reaction temperature of 773 K | Yu et al. [43] |
3. Summary and Future Work
4. Conclusions
Author Contributions
Nomenclature
| °C | degrees Celsius |
| CH4 | methane |
| cm | centimeters |
| CO | carbon monoxide |
| CO2 | carbon dioxide |
| GHSV | gas hourly space velocity |
| K | Kelvin |
| LPG | liquiefied petroleum gas |
| LHSV | liquid hourly space velocity |
| NO | nitric oxide |
| NOX | xxides of nitrogen |
| ppi | parts per inch |
| UHC | Unburnt hydrocarbons |
| wt% | weight percent |
Conflicts of Interest
References
- Juste, G.L. Hydrogen injection as additional fuel in gas turbine combustor. Evaluation of effects. Int. J. Hydrog. Energy 2006, 31, 2112–2121. [Google Scholar] [CrossRef]
- Frenillot, J.P.; Cabot, G.; Cazalens, M.; Renou, B.; Boukhalfa, M.A. Impact of H2 addition on flame stability and pollutant emissions for an atmospheric kerosene/air swirled flame of laboratory scaled gas turbine. Int. J. Hydrog. Energy 2009, 34, 3930–3944. [Google Scholar] [CrossRef]
- Khandelwal, B.; Agarwal, K.; Karakurt, A.; Sethi, V.; Singh, R. Preliminary Study of a Novel Gas Turbine Combustor Concept Based on Hydrogen Synthesis from Kerosene Reformation. In Presented at 48th AIAA/ASME/SAE/ASEE Joint Propulsion Conference & Exhibit, 30 July–1 August 2012; AIAA: Atlanta, GA, USA, 2009; p. AIAA-2012-4070. [Google Scholar]
- Melo, M.; Sousa, J.M.M.; Levy, Y. Experimental investigation of a novel combustor model for gas turbines. J. Propuls. Power 2009, 25, 609–617. [Google Scholar] [CrossRef]
- Melo, M.J.; Sousa, J.M.M.; Costa, M.; Levy, Y. Flow and Combustion Characteristics of a low-NOx combustor model for gas turbines. J. Propuls. Power 2011, 27, 1212–1217. [Google Scholar] [CrossRef]
- Khandelwal, B.; Li, Y.; Murthy, P.; Sethi, V.; Singh, R. Implication of Different Fuel Injector Configurations for Hydrogen Fuelled Micromix Combustors. In Presented at ASME 2011 Turbo Expo: Turbine Technical Conference and Exposition, 6–10 June 2011; AIAA: Vancouver, BC, Canada; pp. 293–298.
- Karakurt, A.; Khandelwal, B.; Sethi, V.; Singh, R. Study of Novel Micromix Combustors to be used in Gas Turbines; using Hydrogen, Hydrogen–Methane, Methane and Kerosene as a fuel. In Presented at 48th AIAA/ASME/SAE/ASEE Joint Propulsion Conference & Exhibit, 30 July – 1 August 2012; AIAA: Atlanta, GA, USA, 2012; p. No. AIAA-2012–4265. [Google Scholar]
- Al-Hamamre, Z.; Voß, S.; Trimis, D. Hydrogen production by thermal partial oxidation of hydrocarbon fuels in porous media based reformer. Int. J. Hydrog. Energy 2009, 34, 827–832. [Google Scholar]
- Loukou, A.; Frenzel, I.; Klein, J.; Trimis, D. Experimental study of hydrogen production and soot particulate matter emissions from methane rich-combustion in inert porous media. Int. J. Hydrog. Energy 2012, 37, 16686–16696. [Google Scholar] [CrossRef]
- Enger, B.C.; Lødeng, R.; Holmen, A. A review of catalytic partial oxidation of methane to synthesis gas with emphasis on reaction mechanisms over transition metal catalysts. Appl. Catal. A 2008, 346, 1–27. [Google Scholar] [CrossRef]
- Korup, O.; Goldsmith, C.F.; Weinberg, G.; Geske, M.; Kandemir, T.; Schlögl, R.; Horn, R. Catalytic partial oxidation of methane on platinum investigated by spatial reactor profiles, spatially resolved spectroscopy, and microkinetic modeling. J Catal. 2013, 297, 1–16. [Google Scholar] [CrossRef]
- Quiceno, R.; Perez-Ramirez, J.; Warnatz, J.; Deutschmann, O. Modeling the high temperature catalytic partial oxidation of methane over platinum gauze. Appl. Catal. A 2006, 303, 166–176. [Google Scholar] [CrossRef]
- Deutschmann, O.; Koop, J. Detailed surface reaction mechanism for Pt-catalyzed abatement of automotive exhaust gases. Appl. Catal. B 2009, 91, 47–58. [Google Scholar] [CrossRef]
- Zerkle, D.K.; Allendorf, M.D.; Wolf, M.; Deutschmann, O. Understanding homogeneous and heterogeneous contributions to the Platinum-catalyzed partial oxidation of ethane in a short-contact-time-reactor. J. Catal. 2000, 196, 18–39. [Google Scholar] [CrossRef]
- Mhadeshwar, A.B.; Vlachos, D.G. A catalytic reaction mechanism for methane partial oxidation at short contact times, reforming and combustion and for oxygenate decomposition and oxidation on platinum. Ind. Eng. Chem. 2007, 46, 5310–5324. [Google Scholar] [CrossRef]
- Hauptmann, W.; Votsmeier, M.; Vogel, H.; Vlachos, D.G. Modeling the simultaneous oxidation of CO and H2 on Pt–promoting effect of H2 on the CO-light-off. Appl. Catal. 2011, 397, 174–182. [Google Scholar] [CrossRef]
- Khine, M.S.S.; Chen, L.; Zhang, S.; Lin, J.; Jiang, S.P. Syngas production by catalytic partial oxidation of methane over (La0.7A0.3)BO3 (A = Ba, Ca, Mg, Sr, and B = Cr or Fe) perovskite oxides for portable fuel cell applications. Int. J. Hydrog. Energy 2013, 38, 13300–13308. [Google Scholar]
- Huang, L.; Zhou, J.; Hsu, A.T.; Chen, R. Catalytic partial oxidation of n-butanol for hydrogen production over LDH-derived Ni-based catalysts. Int. J. Hydrog. Energy 2013, 38, 14550–14558. [Google Scholar] [CrossRef]
- Navalho, J.E.P.; Frenzel, I.; Loukou, A.; Pereira, J.M.C.; Trimis, D.; Pereira, J.C.F. Catalytic partial oxidation of methane rich mixtures in non-adiabatic monolith reactors. Int. J. Hydrog. Energy 2013, 38, 6989–7006. [Google Scholar] [CrossRef]
- Donazzi, A.; Livio, D.; Diehm, C.; Beretta, A.; Groppi, G.; Forzatti, P. Effect of pressure in the autothermal catalytic partial oxidation of CH4 and C3H8: Spatially resolved temperature and composition profiles. Appl. Catal. A 2014, 469, 52–64. [Google Scholar] [CrossRef]
- Chen, W-H. CO2 Conversion for syngas production in methane catalytic partial oxidation. J. CO2 Util. 2014, 5, 1–9. [Google Scholar]
- Rafiq, M.H.; Jakobsen, H.A.; Hustad, J.E. Modeling and simulation of catalytic partial oxidation of methane to synthesis gas by using a plasma-assisted gliding arc reactor. Fuel Process Tech. 2012, 101, 44–57. [Google Scholar] [CrossRef]
- Cimino, S.; Lisi, L.; Russo, G. Effect of sulphur during the catalytic partial oxidation of ethane over Rh and Pt honeycomb catalysts. Int. J. Hydrog. Energy 2012, 37, 10680–10689. [Google Scholar] [CrossRef]
- Ballarini, A.; Benito, P.; Fornasari, G.; Scelza, O.; Vaccari, A. Role of the composition and preparation method in the activity of hydrotalcite-derived Ru catalysts in the catalytic partial oxidation of methane. Int. J. Hydrog. Energy 2013, 38, 15128–15139. [Google Scholar] [CrossRef]
- Smith, C.H.; Pineda, D.I.; Zak, C.D.; Ellzey, J.L. Conversion of jet fuel and butanol to syngas by filtration combustion. Int. J. Hydrog. Energy 2013, 38, 879–889. [Google Scholar] [CrossRef]
- Bingue, J.P.; Saveliev, A.V.; Kennedy, L.A. NO reburning in ultrarich filtration combustion of methane. Proc. Combust. Inst. 2007, 31, 3417–3424. [Google Scholar] [CrossRef]
- Bingue, J.P.; Saveliev, A.V.; Kennedy, L.A. Optimization of hydrogen production by filtration combustion of methane by oxygen enrichment and depletion. Int. J. Hydrog. Energy 2004, 29, 1365–1370. [Google Scholar] [CrossRef]
- Toledo, M.; Bubnovich, V.; Saveliev, A.; Kennedy, L. Hydrogen production in ultrarich combustion of hydrocarbon fuels in porous media. Int. J. Hydrog. Energy 2009, 34, 1818–1827. [Google Scholar] [CrossRef]
- Dhamrat, R.S.; Ellzey, J.L. Numerical and experimental study of the conversion of methane to hydrogen in a porous media reactor. Combust. Flame 2006, 144, 698–709. [Google Scholar] [CrossRef]
- Dixon, M.J.; Schoegl, I.; Hull, C.B.; Ellzey, J.L. Experimental and numerical conversion of liquid heptane to syngas through combustion in porous media. Combust. Flame. 2008, 154, 217–231. [Google Scholar] [CrossRef]
- Lenz, B.; Aicher, T. Catalytic autothermal reforming of Jet fuel. J. Power Sources 2005, 149, 44–52. [Google Scholar] [CrossRef]
- Pasel, J.; Meißner, J.; Porš, Z.; Samsun, R.C.; Tschauder, A.; Peters, R. Autothermal reforming of commercial Jet A-1 on a scale. Int. J. Hydrog. Energy 2007, 32, 4847–4858. [Google Scholar] [CrossRef]
- Gökaliler, F.; Çağlayan, B.S.; Önsan, Z.İ.; Aksoylu, A.E. Hydrogen production by autothermal reforming of LPG for PEM fuel cell applications. Int. J. Hydrog. Energy 2008, 33, 1383–1391. [Google Scholar]
- Harada, M.; Takanabe, K.; Kubota, J.; Domen, K.; Goto, T.; Akiyama, K.; Inoue, Y. Hydrogen production by autothermal reforming of kerosene over MgAlOx-supported Rh catalysts. Appl. Catal. A 2009, 371, 173–178. [Google Scholar] [CrossRef]
- Lai, W.-H.; Lai, M.-P.; Horng, R.-F. Study on hydrogen-rich syngas production by dry autothermal reforming from biomass derived gas. Int. J. Hydrog. Energy 2012, 37, 9619–9629. [Google Scholar] [CrossRef]
- Scenna, R.; DuBois, T.G.; Nieh, S. Autothermal reforming of synthetic JP-8 derived from a coal syngas stream. Fuel 2013, 108, 731–739. [Google Scholar] [CrossRef]
- Guo, Y.; Li, H.; Kameyama, H. Steam reforming of kerosene over a metal-monolithic alumina-supported Ru catalyst: Effect of preparation conditions and electrical-heating test. Chem. Eng. Sci. 2011, 66, 6287–6296. [Google Scholar]
- Guo, Y.; Li, H.; Jia, L.; Kameyama, H. Trace Ru-doped anodic alumina-supported Ni catalysts for steam reforming of kerosene: Activity performance and electrical-heating possibility. Fuel Process. Tech. 2011, 92, 2341–2347. [Google Scholar] [CrossRef]
- Izquierdo, U.; Barrio, V.L.; Lago, N.; Requies, J.; Cambra, J.F.; Güemez, M.B.; Arias, P.L. Biogas steam and oxidative reforming processes for synthesis gas and hydrogen production in conventional and microreactor reaction systems. Int. J. Hydrog. Energy 2012, 37, 13829–13842. [Google Scholar] [CrossRef]
- Miyamoto, M.; Hayakawa, C.; Kamata, K.; Arakawa, M.; Uemiya, S. Influence of the pre-reformer in steam reforming of dodecane using a Pd alloy membrane reactor. Int. J. Hydrog. Energy 2011, 36, 7771–7775. [Google Scholar] [CrossRef]
- Rakib, M.A.; Grace, J.R.; Lim, C.J.; Elnashaie, S.S.E.H.; Ghiasi, B. Steam reforming of propane in a fluidized bed membrane reactor for hydrogen production. Int. J. Hydrog. Energy 2010, 35, 6276–6290. [Google Scholar] [CrossRef]
- Sahu, M.K.; Sinha, A.S.K. Oxidative steam reforming of vacuum residue for hydrogen production. Int. J. Hydrog. Energy 2012, 37, 1425–1435. [Google Scholar] [CrossRef]
- Yu, X.; Zhang, S.; Wang, L.; Jiang, Q.; Li, S.; Tao, Z. Hydrogen production from steam reforming of kerosene over Ni–La and Ni–La–K/cordierite catalysts. Fuel 2006, 85, 1708–1713. [Google Scholar] [CrossRef]
© 2014 by the authors; licensee MDPI, Basel, Switzerland. This article is an open access article distributed under the terms and conditions of the Creative Commons Attribution license (http://creativecommons.org/licenses/by/3.0/).
Share and Cite
Hassan, H.; Khandelwal, B. Reforming Technologies to Improve the Performance of Combustion Systems. Aerospace 2014, 1, 67-96. https://doi.org/10.3390/aerospace1020067
Hassan H, Khandelwal B. Reforming Technologies to Improve the Performance of Combustion Systems. Aerospace. 2014; 1(2):67-96. https://doi.org/10.3390/aerospace1020067
Chicago/Turabian StyleHassan, Hashim, and Bhupendra Khandelwal. 2014. "Reforming Technologies to Improve the Performance of Combustion Systems" Aerospace 1, no. 2: 67-96. https://doi.org/10.3390/aerospace1020067
APA StyleHassan, H., & Khandelwal, B. (2014). Reforming Technologies to Improve the Performance of Combustion Systems. Aerospace, 1(2), 67-96. https://doi.org/10.3390/aerospace1020067
