Next Article in Journal
Spatial and Temporal Variability of Rainfall over the South-West Coast of Bangladesh
Previous Article in Journal
Satellite-Detected Carbon Monoxide Pollution during 2000–2012: Examining Global Trends and also Regional Anthropogenic Periods over China, the EU and the USA
 
 
Font Type:
Arial Georgia Verdana
Font Size:
Aa Aa Aa
Line Spacing:
Column Width:
Background:
Short Note

Understanding Climate Change on the California Coast: Accounting for Extreme Daily Events among Long-Term Trends

by
Christopher Potter
CASA Systems 2100, Los Gatos, CA 95030, USA
Climate 2014, 2(1), 18-27; https://doi.org/10.3390/cli2010018
Submission received: 25 November 2013 / Revised: 14 January 2014 / Accepted: 12 February 2014 / Published: 27 February 2014

Abstract

:
The majority of weather station records indicate that surface air temperatures have been warming in California between 1950 and 2005. Temperature data from the mid-1990s to the present were analyzed for stations on California Central Coast near Big Sur (Monterey County) to better understand potential for climate change in this biologically unique region. Results showed that daily temperatures in both the winter and summer seasons have cooled the Big Sur coast, particularly after 2003. A current hypothesis is that observed coastal California cooling derives from greenhouse gas-induced regional warming of the inland Central Valley and Sierra Nevada foothill areas, resulting in stronger sustained on-shore sea-breeze flow. Closer examination of daily temperature records at a station location near the Big Sur coast revealed that, even as average monthly maximum temperatures (Tmax) have decreased gradually, the number of extreme warm summer days (Tmax > 37 °C) has also increased by several fold in frequency. Overall patterns in the station records since the mid-1990s indicated that diurnal temperature ranges are widening on the Big Sur coast, with markedly cooler nighttime temperatures (frequently in the wet winter season) followed by slightly higher-than-average daytime temperatures, especially during the warm, dry summer season.

1. Introduction

The Pacific coastal region of California has been found to be an extremely narrow but coherent climatologic zone, typically less than 30 km wide, and much narrower in Central California near Big Sur (Monterey County) where the steepest coastal elevations gradients in North America are found [1]. The Central Coast is where the wet, cooler climate of the northern California region meets the dry, warmer climate of the southern region [2]. The highest peaks in the Santa Lucia Mountains form a wall behind coastal hillsides, which effectively traps cooler marine air [3]. This can lead to the formation of steep elevation gradients in air temperature regimes, humidity and other climate factors. The advection of marine stratus layers over land profoundly moderates the coastal climate by reducing insolation and temperatures, raising humidity, and supplying water directly to the landscape [4].
Lebassi et al. analyzed summer (June–August) air temperature records from 1950 to 2005 for two California coastal regions, the South Coast Air Basin and the San Francisco Bay Area, and reported cooling (−0.30 °C·decade−1) in low-elevation coastal areas open to marine air penetration and warming (0.32 °C·decade−1) in inland areas [5]. These investigators surmised that the coastal cooling trends have resulted from the consistent summer warming of inland valley areas, which resulted in increased sea-breeze flow activity at the coast. Such simple trend patterns of long-term cooling (or warming) can nevertheless overlook the possibilities of extreme daily weather events occurring at new frequencies within the changing climate record. Moreover, cooling trends may come in different forms, such a predominantly nighttime vs. predominantly daytime cooling, which can have differing and important implications for natural and human systems alike.
The main objective of the study was to quantify and characterize potential climate change on Central California Coast near Big Sur (Monterey County), with special attention to changes in the frequency of extreme daily temperature events among any discernable long-term trends. The setting for this analysis is arguably located at the nexus of modern climate change geography in the Western United States. The Central Coast of California is constantly subjected to extreme climate events [4], frequent wildfires, and human development impacts, together affecting wildlife populations, native plant communities, soil conservation, riparian zones, and water quality.
The many unique microclimates of Big Sur result in high natural biodiversity [3,6], including many endemic rare and endangered species, such as the wild orchid Piperia yadonii, the California condor (Gymnogyps californianus), California southern sea otter (Enhydra lutris nereis), and southernmost habitat of the coast redwood (Sequoia sempervirens). Even minor shifts in climate and the frequency of extreme weather events have the potential to tip the balance in favor or against such vulnerable biological resources and the human activities that sometimes struggle to prosper in a remote and rugged coastal environmental.

2. Study Area Description

The study area was in the central Pacific coastal region near Big Sur, CA, USA (Figure 1). Big Sur is generally delineated by the 140 km (90 miles) of coastline from the Carmel River in Monterey County south to the San Carpoforo Creek in San Luis Obispo County, and extends about 30 km inland to the eastern foothills of the Santa Lucia Mountains. The region has a Mediterranean climate of warm, dry summers and cool, wet winters, with localized summer fog near the coast [4]. Annual rainfall is highly variable and ranges from 400 to 1520 mm throughout the region, with highest event totals generally falling on the higher mountains in the northern extreme of the study area during winter storms. During the summer, fog and low clouds are frequent along the coast. Mean annual temperature ranges between 10 °C and 15 °C, from shaded canyon bottoms to exposed ridge tops, respectively.
Figure 1. Map of the Big Sur area showing weather station locations.
Figure 1. Map of the Big Sur area showing weather station locations.
Climate 02 00018 g001
Plant growth on the Central Coast can be highly variable from year-to-year and is generally limited by declines of soil moisture in the summer and by cool temperatures in the winter [4]. The annual production pattern for coastal grasses is rapid growth in the late fall (November) after the first rains have returned, slow winter growth (December–February), and rapid growth again in spring (March–May) [7,8,9].

3. Methods

3.1. Climate Data

Monthly and daily climate summaries from 1994 to 2013 were obtained from the Western Regional Climate Center (WRCC) California Climate Tracker [1] data portal (www.wrcc.dri.edu/monitor/). Three weather station locations were available for this study: Big Sur State Park (BSP, NWS ID# 040790; Elevation 320 m), Big Creek Reserve—with two stations near Highlands Peak (BCR; Elevation 125–750 m), and Hastings Natural History Reserve (HNR, NWS ID# 044318; Elevation 520 m). Locations of the stations are shown in Figure 1.
BSP represents the longest, complete climate record on the Monterey County coast south of Carmel, dating back to 1950 for rainfall measurements. The station is situated 3.5 km due east from the ocean at a relatively low elevation. BCR is located on the coast about 28 km southeast of BSP and provides a (albeit shorter) companion temperature data set to corroborate the BSP weather patterns from 2006 to 2013. HNR is located about 27 km inland from BSP in the Carmel Valley on the eastern side of the Santa Lucia Mountain range, to serve as a data set monitoring trends farther inland in a location potentially less influenced by the direct on-shore flow of marine air masses than either BSP or BCR.

3.2. Trend Analysis and Statistics

Daily minimum temperature (Tmin) and maximum temperature (Tmax) records were examined for the period 1994 to 2013. A linear trend was fit to each of the monthly average Tmin and Tmax time series using simple least squares linear regression on time using the StatPlus© 2009 software from AnalystSoft. Calculations of statistical significance (p values) of the fitted trend (with the R2 coefficent of determination) were computed to test the hypothesis of chance deviations from a flat trend, following the same analysis approach applied by Lebassi et al. [5]. The standard method was to compute a t statistic and then to report a two-sided p value as the chance probability of observing a t value numerically larger than the calculated t statistic. The p values give the probabilities that the trend of the observed magnitude over the observation period occurred by chance, and hence a p < 0.05 value means that the results are significant at the 95% confidence level.
Autocorrelation in trend residuals implies a predictability “better-than-random chance” based on the preceding residuals for a given time series. To achieve statistical significance at p < 0.05 in the autocorrelation of monthly temperature times series from 1994 to 2013, the autocorrelation of residuals from the fitted trend would need to be >1.65/N1/2 [10], which would be equal to 0.38 for a time series of 20 yearly values.

4. Results

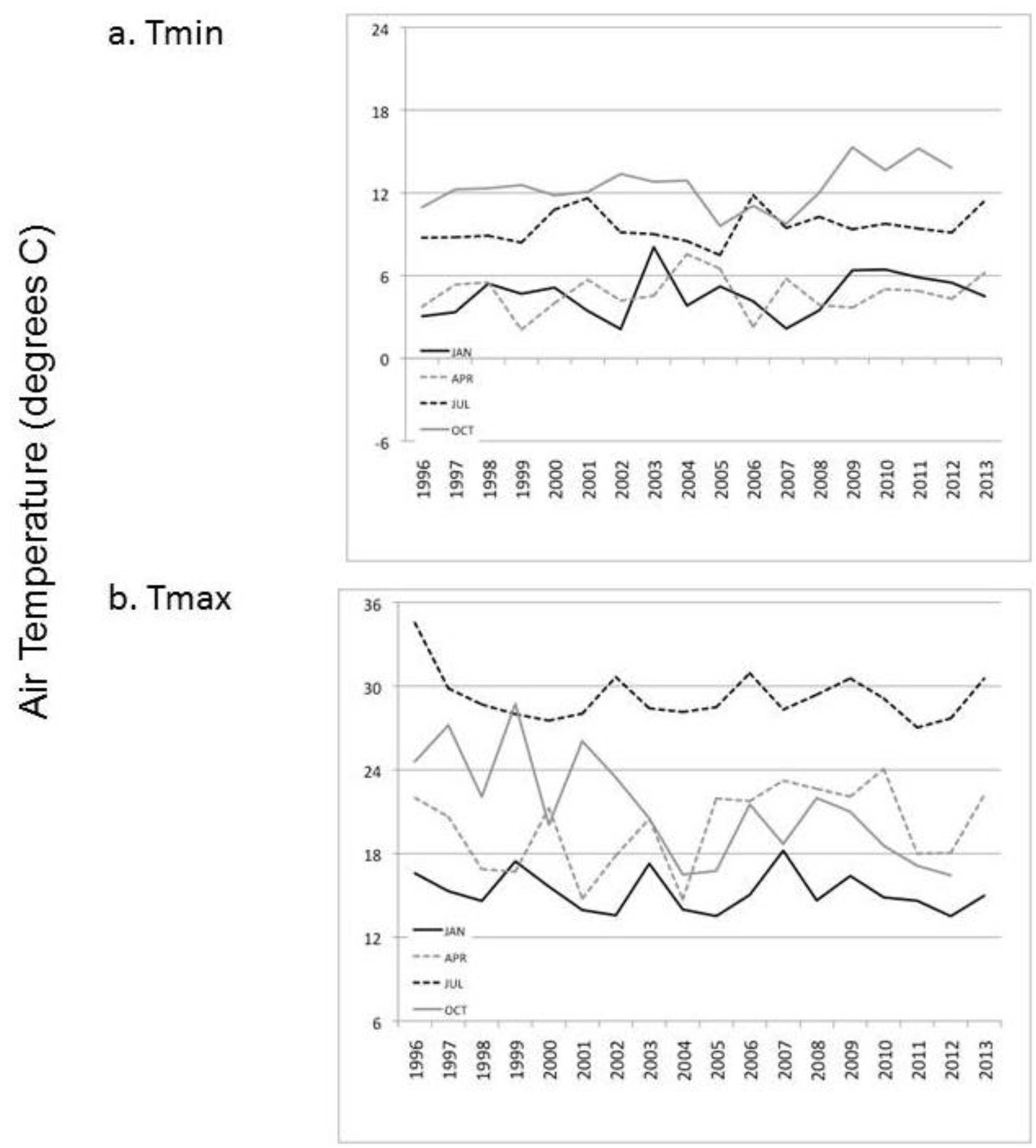
Average Tmin at the coastal BSP weather station over the past 20 years (1994–2013) decreased significantly (Table 1) for the months of January, April, and July (Figure 2a). The most consistent decrease in average monthly Tmin values was detected in the winter months (December–February), with time series R2 values as high as 0.5. The downward trends in Tmin for all seasons at BSP was most notable after 2003, and was heavily influenced by colder Tmin averages in 2008, 2010, and 2012. None of the Tmin time series at BSP showed any statistically significant autocorrelation of residuals.
Table 1. Linear regression coefficients of determination (R2 values) from monthly average temperature time series analysis for the Big Sur State Park (BSP) weather station from 1994 to 2013.
Table 1. Linear regression coefficients of determination (R2 values) from monthly average temperature time series analysis for the Big Sur State Park (BSP) weather station from 1994 to 2013.
Tmin Monthly R2p Less thanTmax Monthly R2p Less than
January0.410.01 *0.210.05 *
April0.290.05 *0.250.05 *
July0.260.05 *0.210.05 *
October0.07NS0.14NS
Notes: NS indicates a non-significant linear regression coefficient (p > 0.1); * indicates no statistically significant autocorrelation of residuals detected in the time series.
Average Tmax over the past 20 years (1994–2013) at the BSP station decreased significantly as well (Table 1) for the months of January, April, and July at the BSP weather station (Figure 2b). The most consistent decrease in average monthly Tmax values was detected in the spring months (April–June), with R2 values as high as 0.3. None of the Tmax time series at BSP showed any statistically significant autocorrelation of residuals.
A closer examination of daily Tmin and Tmax time series at the BSP station location showed an increase in the number of extreme Tmin values < −1 °C from 1994 to 2013, and also in the number of extreme Tmax values > 35 °C (Figure 3). Prior to the year 2000, the station at BSP recorded only 3 days with Tmin values < −1 °C; whereas in the years 2006 and 2013, the station at BSP recorded 12 days with Tmin values < −1 °C (Figure 4). Even while the average monthly Tmax over the past 20 years (1994–2013) decreased gradually and significantly, the number of extreme warm summer days also increased in frequency, showing only 8 days with Tmax values >35 °C prior to 2000, but 15 days with Tmax values > 35 °C in 2006–2013. Likewise, the BSP record showed only 3 days with Tmax values > 37 °C prior to 2000, but 7 days with Tmax values > 37 °C in 2006–2013.
Figure 2. Monthly average temperatures at the BSP station from 1994 to 2013. (a) monthly minimum, (b) monthly maximum.
Figure 2. Monthly average temperatures at the BSP station from 1994 to 2013. (a) monthly minimum, (b) monthly maximum.
Climate 02 00018 g002
The coastal weather station record at BCR (2006 to 2013) corroborated the average daily summer months cooling trend observed after 2005 at the BSP station (Figure 5). Average June–August Tmax values at BCR dropped routinely to below 27 °C by 2010, down from more typical average daily summer Tmax levels of >28 °C in previous years.
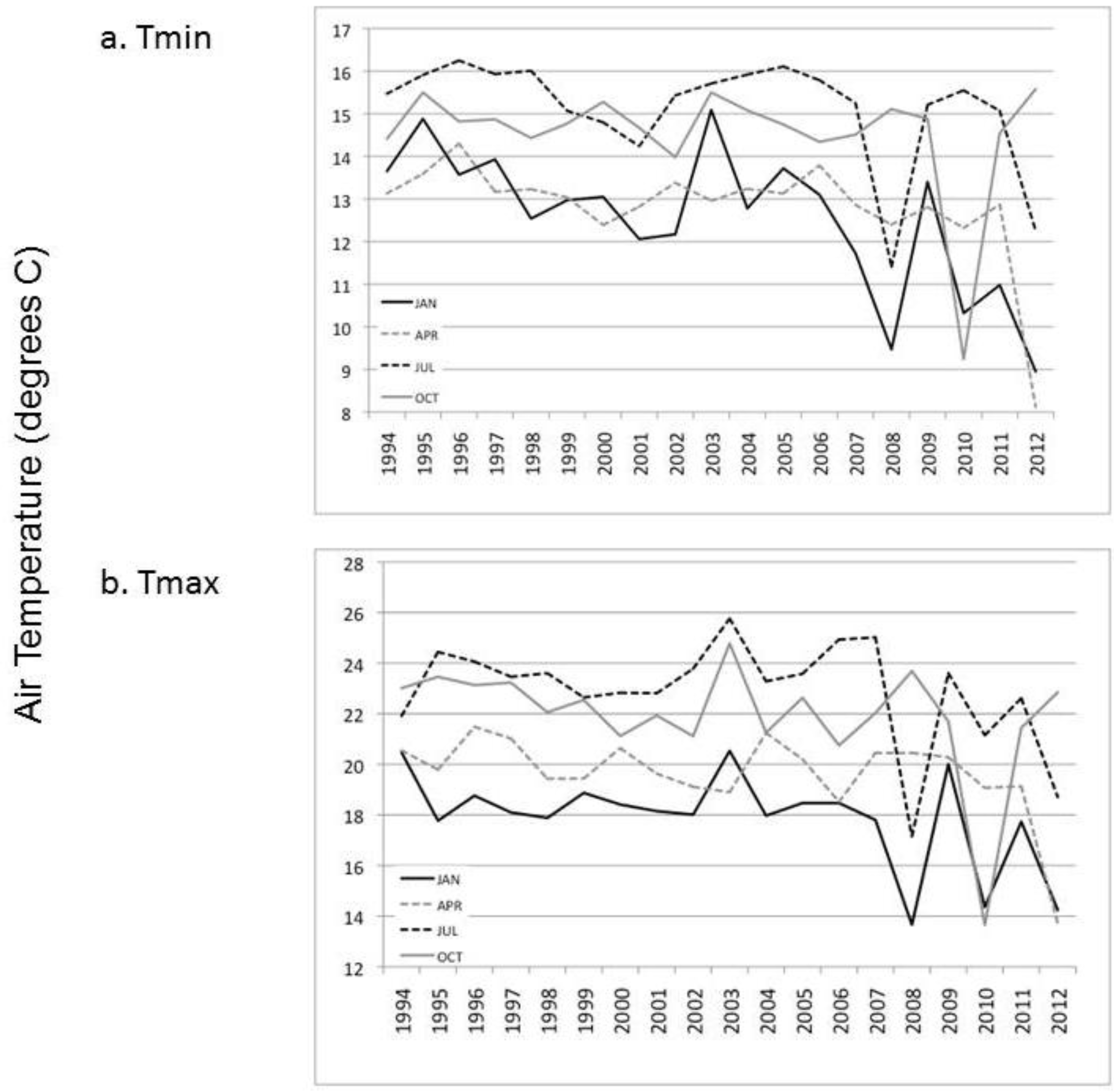
Comparison of the more inland weather station record at HNR from 1996 to 2013 showed no statistically significant trends in monthly average Tmin or Tmax, with the exception of October Tmax cooling (R2 = 0.5, p < 0.05) offset by detectable October Tmin warming (Figure 6). Generally, relatively cool and warm years at HNR have oscillated on a 3 to 4 year cycle over this period, such that no major coastal air mass cooling trend could be detected in this station located in the Carmel River drainage east of the coastal Santa Lucia mountain range.
Figure 3. Daily Tmin and Tmax records at the BSP station from 1994 to 2013.
Figure 3. Daily Tmin and Tmax records at the BSP station from 1994 to 2013.
Climate 02 00018 g003
Figure 4. Annual summed temperature extremes at the BSP station from 1994 to 2013.
Figure 4. Annual summed temperature extremes at the BSP station from 1994 to 2013.
Climate 02 00018 g004
Figure 5. Daily Tmin and Tmax records at the Big Creek Reserve (BCR) station from 2006 to 2013.
Figure 5. Daily Tmin and Tmax records at the Big Creek Reserve (BCR) station from 2006 to 2013.
Climate 02 00018 g005
Figure 6. Monthly average temperatures at the Hastings Natural History Reserve (HNR) station from 1996 to 2013. (a) monthly minimum, (b) monthly maximum.
Figure 6. Monthly average temperatures at the Hastings Natural History Reserve (HNR) station from 1996 to 2013. (a) monthly minimum, (b) monthly maximum.
Climate 02 00018 g006

5. Discussion

The results from this study offer new evidence of potential climate change impacts on California’s coastal zone. Previously, Lebassi et al. analyzed California coastal cooling trends in only summer air temperature records and did not focus on the Central Coast region [5]. Results from the present study imply that Tmin in the winter season likewise has cooled the Big Sur coast, particularly after 2003.
Closer examination of daily temperature records at a station location near the Big Sur coast revealed that even as average monthly Tmax could decrease gradually, the number of extreme warm summer days (Tmax > 37 °C) has also increased by several fold in frequency. Overall patterns in the station records since the mid-1990s indicated that diurnal temperature ranges are widening on the Big Sur coast, with markedly cooler nighttime temperatures (frequently in the wet winter season) followed by slightly higher-than-average daytime temperatures, especially during the warm, dry summer season. The main lesson from this analysis is that long-term monthly climate trends (no matter how strong) can mask potentially important daily events that are opposite in direction. More extreme hot days in the summer season may offset some mitigating effects of cooling effects on the Pacific coast, but the available weather station record is too short and geographically sparse at this time to speculate further in this regard.
On a statewide basis, surface air temperatures have been warming between 1950 and 2005 [7]. Almost all increases detected were due to changes in Tmin in the dry summer season, since Tmax showed either no change or cooling. A current hypothesis is that observed coastal California cooling of Tmax values derives from greenhouse gas-induced regional warming of the inland Central Valley and Sierra Nevada foothill areas, resulting in increased on-shore sea-breeze flow, which in turn can overwhelm GHG warming of coastal areas [9]. This hypothesis is consistent with increased upwelling of cold ocean water off the California coast that further enhances cool sea-breeze flows and associated low stratus cloud cover.
Regional warming remains a plausible explanation for the results of this study. As an alternative (or additional explanation), the Pacific Decadal Oscillation (PDO) index [11], defined as the leading principal component of North Pacific monthly sea surface temperature variability (poleward of 20°N) from 1995 to 2012 was compared to the coastal temperature record from Big Sur. The results showed a non-significant statistical relationship, such that the PDO did not explain a more than about 10% of the variation in monthly land temperatures on the Big Sur coast. It is worth noting that the PDO shifted from the warm phase to the cool phase in 1998, and in 2003, there was an unusually warm influx of waters—PDO shifted temporarily to warm again until about 2008. Since then, the PDO has been mostly cool (negative). With a cooler PDO, the regional warming differential would be moderated, possibly leading to weaker marine incursions. Because there are no other decade-long observational data sets for wind patterns and surface pressure specifically for the Big Sur coast, further analysis of ocean temperature oscillations on coastal cooling is not feasible at this time, but may prove interesting in the decades to come.
Figure 7. Monthly temperature extremes at two BCR stations from 2006 to 2013. (a) monthly maximum, (b) monthly minimum.
Figure 7. Monthly temperature extremes at two BCR stations from 2006 to 2013. (a) monthly maximum, (b) monthly minimum.
Climate 02 00018 g007
Nevertheless, it is common to observe temperature inversions on the Central Coast that frequently result from the persistent marine layer, and which remain very stable between May and October [8]. Summer fog is common below about 600 m (2000 feet) elevation [4]. Nonetheless, diurnal heating and cooling of ecological habitats along the Big Sur coast and higher into the Santa Lucia mountains involves a complex series of elevational gradients and topographic variations. In general, steep slopes of coastal scrub vegetation mixed with open grasslands starting just above sea level give way to mixed hardwood (oak) forests at around 600 m elevation, which in turn transition to pine (Pinus ponderosa and Pinus coulteri) woodlands at around 900 m (3000 feet) elevation. In the canyon bottoms and on the lower parts of north-facing slopes, coast redwood (Sequoia sempervirens) stands are able to grow. As can be discerned from a comparison of monthly average temperature records from BCR at 124 m and 750 m elevation stations (Figure 7), the moderating effect of frequent on-shore sea breezes and the marine layer reduce the diurnal and seasonal temperature range enormously at the lower (coastal scrub) elevation. An expansion upward in elevation of these coastal cooling temperature trends could force mixed hardwood and pine forests to contract further into the mountain ridge tops.

6. Conclusions

It is conceivable that the Big Sur coast will serve as a refuge in Central California for biological species with a low tolerance for climate warming trends. If the cooling patterns accompanied by extreme summer maximum temperature observed in the coastal weather station records since the mid-1990s continue as long-term climate change occurs further along the California coastal region, the productivity and health of coastal rangelands and surrounding vegetation habitats may be altered in unanticipated ways. Year-round cooling patterns (as opposed to summer only) may have an effect on maintaining river and steam flows on the Pacific coast, as well as stabilizing the growing season initiation date and duration for native plant species in the era of future global warming. Establishment of a denser network of climate stations in this region would facilitate more definitive conclusions about the potential chilling effects of global warming going forward.

Acknowledgments

The author is grateful to the U.S. Forest Service, Los Padres National Forest and particularly to Ecosystem Manager Jeff Kwasny for information on Central Coast ecology and management.

Conflicts of Interest

The author declares no conflict of interest.

References

  1. Abatzoglou, J.T.; Redmond, K.T.; Edwards, L.M. Classification of regional climate variability in the state of California. J. Appl. Meteorol. Climatol. 2009, 48, 1527–1541. [Google Scholar] [CrossRef]
  2. Daly, C.; Halbleib, M.; Smith, J.I.; Gibson, W.P.; Doggett, M.K.; Taylor, G.H.; Curtis, J.; Pasteris, P.A. Physiographically-sensitive mapping of temperature and precipitation across the conterminous United States. Int. J. Climatol. 2008, 28, 2031–2064. [Google Scholar] [CrossRef]
  3. Henson, P.; Usner, D.J. The Natural History of Big Sur; University of California Press: Berkeley, CA, USA, 1996. [Google Scholar]
  4. Hiatt, C.; Fernandez, D.; Potter, C. Measurements of fog water deposition on the California Central Coast. Atmosp. Clim. Sci. 2012, 2, 525–531. [Google Scholar]
  5. Lebassi, B.; Gonzalez, J.; Fabris, D.; Maurer, E.; Miller, N.; Milesi, C.; Switzer, P.; Bornstein, R. Observed 1970–2005 cooling of summer daytime temperatures in coastal California. J. Clim. 2009, 22, 3558–3573. [Google Scholar] [CrossRef]
  6. The Jepson Manual: Higher Plants of California; Hickman, J.C. (Ed.) University of California Press: Berkeley, CA, USA, 1993.
  7. Li, S.; Potter, C.; Hiatt, C. Monitoring of net primary production in California rangelands using Landsat and MODIS satellite remote sensing. Nat. Resour. 2012, 3, 56–65. [Google Scholar]
  8. Johnstone, J.A.; Dawson, T.E. Climatic context and ecological implications of summer fog decline in the coast redwood region. Proc. Natl. Acad. Sci. USA 2010, 107, 4533–4538. [Google Scholar] [CrossRef]
  9. LaDochy, S.; Medina, R.; Patzert, W. Recent California climate variability: Spatial and temporal patterns in temperature trends. Clim. Res. 2007, 33, 159–169. [Google Scholar] [CrossRef]
  10. Mann, P.S. Introductory Statistics, 6th ed.; J. Wiley: New York, NY, USA, 2007; p. 615. [Google Scholar]
  11. Mantua, N.J.; Hare, S.R.; Zhang, Y.; Wallace, J.M.; Francis, R.C. A Pacific interdecadal climate oscillation with impacts on salmon production. Bull. Am. Meteorol. Soc. 1997, 78, 1069–1079. [Google Scholar] [CrossRef]

Share and Cite

MDPI and ACS Style

Potter, C. Understanding Climate Change on the California Coast: Accounting for Extreme Daily Events among Long-Term Trends. Climate 2014, 2, 18-27. https://doi.org/10.3390/cli2010018

AMA Style

Potter C. Understanding Climate Change on the California Coast: Accounting for Extreme Daily Events among Long-Term Trends. Climate. 2014; 2(1):18-27. https://doi.org/10.3390/cli2010018

Chicago/Turabian Style

Potter, Christopher. 2014. "Understanding Climate Change on the California Coast: Accounting for Extreme Daily Events among Long-Term Trends" Climate 2, no. 1: 18-27. https://doi.org/10.3390/cli2010018

APA Style

Potter, C. (2014). Understanding Climate Change on the California Coast: Accounting for Extreme Daily Events among Long-Term Trends. Climate, 2(1), 18-27. https://doi.org/10.3390/cli2010018

Article Metrics

Back to TopTop