Multi-Hazard Extreme Scenario Quantification Using Intensity, Duration, and Return Period Characteristics
Abstract
:1. Introduction
2. Materials and Methods
- Twenty-year RP events (e.g., related to Floods Directive 2007/60/EC (http://data.europa.eu/eli/dir/2007/60/oj, accessed on 1 July 2023));
- High-frequency events (5 y extremes) considering high-frequency extremes.
2.1. IDRP Methodology
- ξ = 0, GEV is known also as Type I Extreme Value Distribution (or Gumbel Distribution, light tail);
- ξ > 0, GEV is known also as Type II Extreme Value Distribution (or Fréchet Distribution, heavy tail);
- ξ < 0, GEV is known also as Type III Extreme Value Distribution (or Weibull Distribution, upper finite end point).
2.2. Study Area
2.3. Model Setup and Climate Projection
3. Results
3.1. Overview of the Applied Methodology
3.2. Analysis of Multi-Hazard Scenarios under Climate Change
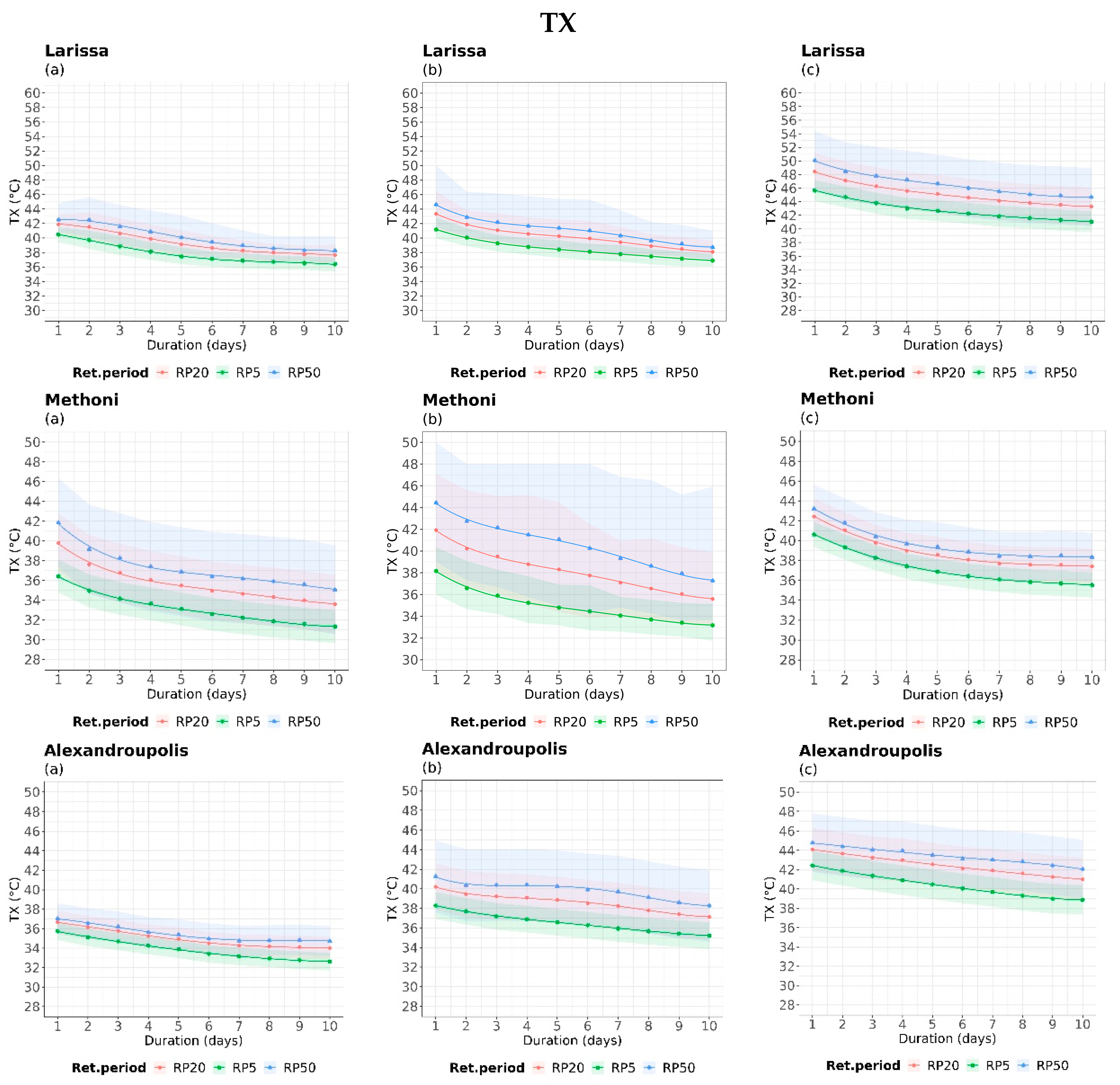
- There was an increase in the intensity of TX values in both future periods when compared to historical data. However, there was also a reduction in TX values over time, although this resulted in a shift towards prolonged heat that is expected to continue until the end of the 21st century.
- An observable flattening of TX curves for the hottest days suggests highlighting heat waves.
- It was observed that the highest intensity of TX value lasted for 1 day in the far future, with a significant increase compared to the reference period’s 1-day value and a prolonged duration of high TX.
- It was observed that in TN, lower intensities were noticed in large return periods, while a higher intensity was observed in the smallest duration of 1 day. Additionally, TN’s intensity seemed to have lower changes and variability among historical and future periods, as well as among different return periods in terms of IDRP curves. In some cases, TN shifted to higher-intensity values, which implies colder extreme events (lower values of TN) in the near future period.
- Precipitation intensity increased with duration in the near future (mainly under 50-year RP) and decreased in the far future.
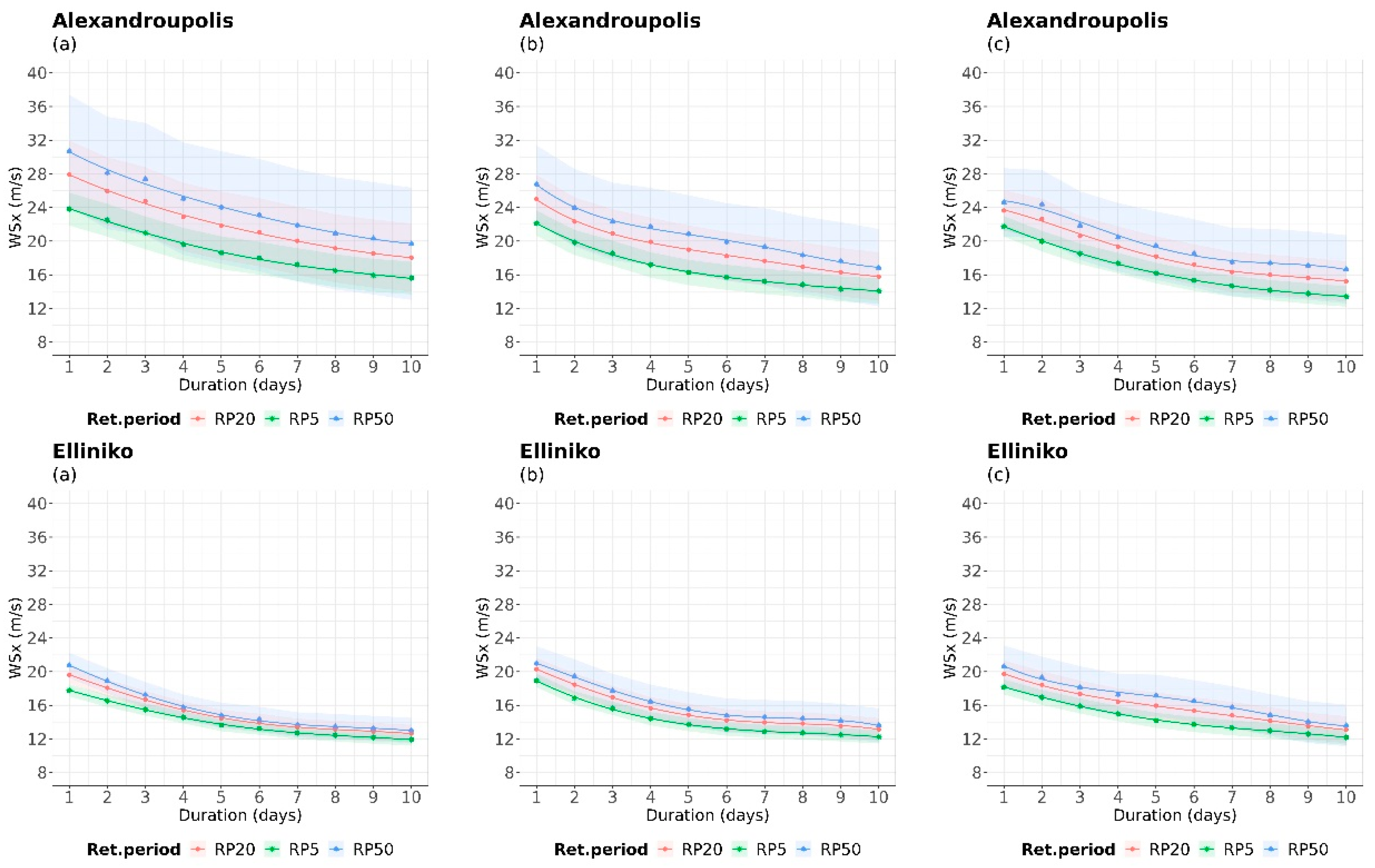
- Extreme winds typically lasted no more than 1 day and showed low variability.
- FWI values varied in duration up to 3 days, and the curves for 20- and 50-year RPs differed slightly based on duration.
- (a)
- The case study of Siteia


3.3. Maximum and Minimum Temperature
3.4. Wind Speed
3.5. Precipitation
3.6. Fire Weather Index
4. Conclusions
Supplementary Materials
Author Contributions
Funding
Data Availability Statement
Acknowledgments
Conflicts of Interest
References
- Poljanšek, K.; Casajus Valles, A.; Marín Ferrer, M.; De Jager, A.; Dottori, F.; Galbusera, L.; García Puerta, B.; Giannopoulos, G.; Girgin, S.; Hernandez Ceballos, M.; et al. Recommendations for National Risk Assessment for Disaster Risk Management in EU; Publications Office of the European Union: Luxembourg, 2019; ISBN 978-92-79-98366-5. [Google Scholar]
- UNISDR. National Disaster Risk Assessment Words into Action Guidelines Governance System, Methodologies, and Use of Results; The United Nations Office for Disaster Risk Reduction: Geneva, Switzerland, 2017. [Google Scholar]
- IAEA; Boyce, T.; Courtin, E. Deterministic Safety Analysis for Nuclear Power Plants; IAEA Safety Standards Series No. SSG-2; International Atomic Energy Agency: Vienna, Austria, 2010; Volume SSG-2, ISBN 9201107064. [Google Scholar]
- EUROCODES EN 1991-1-4; Eurocode 1: Actions on Structures—Part 1–4: General Actions—Wind Actions. CEN: Brussels, Belgium, 2005.
- François, B.; Schlef, K.E.; Wi, S.; Brown, C.M. Design Considerations for Riverine Floods in a Changing Climate—A Review. J. Hydrol. 2019, 574, 557–573. [Google Scholar] [CrossRef]
- World Meteorological Organization. Guidelines on the Defintion and Characterization of Extreme Weather and Climate Events; WMO: Geneva, Switzerland, 2023; 27p. [Google Scholar]
- IPCC-AR6. Weather and Climate Extreme Events in a Changing Climate. In Climate Change 2021—The Physical Science Basis; Cambridge University Press: Cambridge, UK, 2023; pp. 1513–1766. [Google Scholar]
- Vogel, M.M.; Hauser, M.; Seneviratne, S.I. Projected Changes in Hot, Dry and Wet Extreme Events’ Clusters in CMIP6 Multi-Model Ensemble. Environ. Res. Lett. 2020, 15, 094021. [Google Scholar] [CrossRef]
- Liu, K.; Harrison, M.T.; Yan, H.; Liu, D.L.; Meinke, H.; Hoogenboom, G.; Wang, B.; Peng, B.; Guan, K.; Jaegermeyr, J.; et al. Silver Lining to a Climate Crisis in Multiple Prospects for Alleviating Crop Waterlogging under Future Climates. Nat. Commun. 2023, 14, 765. [Google Scholar] [CrossRef]
- Li, L.; Wang, B.; Feng, P.; Jägermeyr, J.; Asseng, S.; Müller, C.; Macadam, I.; Liu, D.L.; Waters, C.; Zhang, Y.; et al. The Optimization of Model Ensemble Composition and Size Can Enhance the Robustness of Crop Yield Projections. Commun. Earth Commun. Earth Environ. 2023, 4, 362. [Google Scholar] [CrossRef]
- Ouarda, T.B.M.J.; Charron, C. Changes in the Distribution of Hydro-Climatic Extremes in a Non-Stationary Framework. Sci. Rep. 2019, 9, 8104. [Google Scholar] [CrossRef]
- Slater, L.J.; Anderson, B.; Buechel, M.; Dadson, S.; Han, S.; Harrigan, S.; Kelder, T.; Kowal, K.; Lees, T.; Matthews, T.; et al. Nonstationary Weather and Water Extremes: A Review of Methods for Their Detection, Attribution, and Management. Hydrol. Earth Syst. Sci. 2021, 25, 3897–3935. [Google Scholar] [CrossRef]
- Hamdi, Y.; Duluc, C.-M.; Rebour, V. Temperature Extremes: Estimation of Non-Stationary Return Levels and Associated Uncertainties. Atmosphere 2018, 9, 129. [Google Scholar] [CrossRef]
- Findell, K.L.; Berg, A.; Gentine, P.; Krasting, J.P.; Lintner, B.R.; Malyshev, S.; Santanello, J.A.; Shevliakova, E. The Impact of Anthropogenic Land Use and Land Cover Change on Regional Climate Extremes. Nat. Commun. 2017, 8, 989. [Google Scholar] [CrossRef]
- Li, L.; Zha, Y.; Zhang, J. Spatially Non-Stationary Effect of Underlying Driving Factors on Surface Urban Heat Islands in Global Major Cities. Int. J. Appl. Earth Obs. Geoinf. 2020, 90, 102131. [Google Scholar] [CrossRef]
- Schlef, K.E.; Kunkel, K.E.; Brown, C.; Demissie, Y.; Lettenmaier, D.P.; Wagner, A.; Wigmosta, M.S.; Karl, T.R.; Easterling, D.R.; Wang, K.J.; et al. Incorporating Non-Stationarity from Climate Change into Rainfall Frequency and Intensity-Duration-Frequency (IDF) Curves. J. Hydrol. 2023, 616, 128757. [Google Scholar] [CrossRef]
- Fadhel, S.; Rico-Ramirez, M.A.; Han, D. Uncertainty of Intensity–Duration–Frequency (IDF) Curves Due to Varied Climate Baseline Periods. J. Hydrol. 2017, 547, 600–612. [Google Scholar] [CrossRef]
- Clausen, B.; Pearson, C.P. Regional Frequency Analysis of Annual Maximum Streamflow Drought. J. Hydrol. 1995, 173, 111–130. [Google Scholar] [CrossRef]
- Baran-Gurgul, K. A Comparison of Three Parameter Estimation Methods of the Gamma Distribution of Annual Maximum Low Flow Duration and Deficit in the Upper Vistula Catchment (Poland). ITM Web Conf. 2018, 23, 00001. [Google Scholar] [CrossRef]
- Tosunoglu, F.; Kisi, O. Joint Modelling of Annual Maximum Drought Severity and Corresponding Duration. J. Hydrol. 2016, 543, 406–422. [Google Scholar] [CrossRef]
- AghaKouchak, A.; Cheng, L.; Mazdiyasni, O.; Farahmand, A. Global Warming and Changes in Risk of Concurrent Climate Extremes: Insights from the 2014 California Drought. Geophys. Res. Lett. 2014, 41, 8847–8852. [Google Scholar] [CrossRef]
- Slater, L.; Villarini, G.; Archfield, S.; Faulkner, D.; Lamb, R.; Khouakhi, A.; Yin, J. Global Changes in 20-Year, 50-Year, and 100-Year River Floods. Geophys. Res. Lett. 2021, 48, e2020GL091824. [Google Scholar] [CrossRef]
- Gu, L.; Yin, J.; Gentine, P.; Wang, H.-M.; Slater, L.J.; Sullivan, S.C.; Chen, J.; Zscheischler, J.; Guo, S. Large Anomalies in Future Extreme Precipitation Sensitivity Driven by Atmospheric Dynamics. Nat. Commun. 2023, 14, 3197. [Google Scholar] [CrossRef] [PubMed]
- Gu, X.; Ye, L.; Xin, Q.; Zhang, C.; Zeng, F.; Nerantzaki, S.D.; Papalexiou, S.M. Extreme Precipitation in China: A Review on Statistical Methods and Applications. Adv. Water Resour. 2022, 163, 104144. [Google Scholar] [CrossRef]
- Nerantzaki, S.D.; Papalexiou, S.M. Assessing Extremes in Hydroclimatology: A Review on Probabilistic Methods. J. Hydrol. 2022, 605, 127302. [Google Scholar] [CrossRef]
- Wasko, C.; Westra, S.; Nathan, R.; Orr, H.G.; Villarini, G.; Villalobos Herrera, R.; Fowler, H.J. Incorporating Climate Change in Flood Estimation Guidance. Philos. Trans. R. Soc. A Math. Phys. Eng. Sci. 2021, 379, 20190548. [Google Scholar] [CrossRef]
- Martel, J.-L.; Brissette, F.P.; Lucas-Picher, P.; Troin, M.; Arsenault, R. Climate Change and Rainfall Intensity–Duration–Frequency Curves: Overview of Science and Guidelines for Adaptation. J. Hydrol. Eng. 2021, 26, 03121001. [Google Scholar] [CrossRef]
- Salas, J.D.; Obeysekera, J.; Vogel, R.M. Techniques for Assessing Water Infrastructure for Nonstationary Extreme Events: A Review. Hydrol. Sci. J. 2018, 63, 325–352. [Google Scholar] [CrossRef]
- Yan, L.; Xiong, L.; Jiang, C.; Zhang, M.; Wang, D.; Xu, C.-Y. Updating Intensity–Duration–Frequency Curves for Urban Infrastructure Design under a Changing Environment. Wires Water 2021, 8, e1519. [Google Scholar] [CrossRef]
- Young, A.F.; Jorge Papini, J.A. How Can Scenarios on Flood Disaster Risk Support Urban Response? A Case Study in Campinas Metropolitan Area (São Paulo, Brazil). Sustain. Cities Soc. 2020, 61, 102253. [Google Scholar] [CrossRef]
- Eilander, D.; Couasnon, A.; Sperna Weiland, F.C.; Ligtvoet, W.; Bouwman, A.; Winsemius, H.C.; Ward, P.J. Modeling Compound Flood Risk and Risk Reduction Using a Globally Applicable Framework: A Pilot in the Sofala Province of Mozambique. Nat. Hazards Earth Syst. Sci. 2023, 23, 2251–2272. [Google Scholar] [CrossRef]
- Couasnon, A.; Scussolini, P.; Tran, T.V.T.; Eilander, D.; Muis, S.; Wang, H.; Keesom, J.; Dullaart, J.; Xuan, Y.; Nguyen, H.Q.; et al. A Flood Risk Framework Capturing the Seasonality of and Dependence Between Rainfall and Sea Levels—An Application to Ho Chi Minh City, Vietnam. Water Resour. Res. 2022, 58, e2021WR030002. [Google Scholar] [CrossRef]
- Bates, P.D.; Quinn, N.; Sampson, C.; Smith, A.; Wing, O.; Sosa, J.; Savage, J.; Olcese, G.; Neal, J.; Schumann, G.; et al. Combined Modeling of US Fluvial, Pluvial, and Coastal Flood Hazard under Current and Future Climates. Water Resour. Res. 2021, 57, e2020WR028673. [Google Scholar] [CrossRef]
- Shin, J.-Y.; Kim, K.R.; Ha, J.-C. Intensity-Duration-Frequency Relationship of WBGT Extremes Using Regional Frequency Analysis in South Korea. Environ. Res. 2020, 190, 109964. [Google Scholar] [CrossRef]
- Mazdiyasni, O.; Sadegh, M.; Chiang, F.; AghaKouchak, A. Heat Wave Intensity Duration Frequency Curve: A Multivariate Approach for Hazard and Attribution Analysis. Sci. Rep. 2019, 9, 14117. [Google Scholar] [CrossRef]
- Brown, S.J. Future Changes in Heatwave Severity, Duration and Frequency Due to Climate Change for the Most Populous Cities. Weather Clim. Extrem. 2020, 30, 100278. [Google Scholar] [CrossRef]
- Ben Alaya, M.A.; Zwiers, F.W.; Zhang, X. On Estimating Long Period Wind Speed Return Levels from Annual Maxima. Weather Clim. Extrem. 2021, 34, 100388. [Google Scholar] [CrossRef]
- Founda, D.; Varotsos, K.V.; Pierros, F.; Giannakopoulos, C. Observed and Projected Shifts in Hot Extremes’ Season in the Eastern Mediterranean. Glob. Planet. Chang. 2019, 175, 190–200. [Google Scholar] [CrossRef]
- Rovithakis, A.; Grillakis, M.G.; Seiradakis, K.D.; Giannakopoulos, C.; Karali, A.; Field, R.; Lazaridis, M.; Voulgarakis, A. Future Climate Change Impact on Wildfire Danger over the Mediterranean: The Case of Greece. Environ. Res. Lett. 2022, 17, 045022. [Google Scholar] [CrossRef]
- Lionello, P.; Scarascia, L. The Relation of Climate Extremes with Global Warming in the Mediterranean Region and Its North Versus South Contrast. Reg. Environ. Chang. 2020, 20, 31. [Google Scholar] [CrossRef]
- Zittis, G.; Hadjinicolaou, P.; Fnais, M.; Lelieveld, J. Projected Changes in Heat Wave Characteristics in the Eastern Mediterranean and the Middle East. Reg. Environ. Chang. 2016, 16, 1863–1876. [Google Scholar] [CrossRef]
- Papaioannou, G.; Efstratiadis, A.; Vasiliades, L.; Loukas, A.; Papalexiou, S.M.; Koukouvinos, A.; Tsoukalas, I.; Kossieris, P. An Operational Method for Flood Directive Implementation in Ungauged Urban Areas. Hydrology 2018, 5, 24. [Google Scholar] [CrossRef]
- Tsaples, G.; Grau, J.M.S.; Aifadopoulou, G.; Tzenos, P. A Simulation Model for the Analysis of the Consequences of Extreme Weather Conditions to the Traffic Status of the City of Thessaloniki, Greece. In Springer Optimization and Its Applications; Springer: Berlin/Heidelberg, Germany, 2021; pp. 259–272. [Google Scholar]
- Vangelis, H.; Zotou, I.; Kourtis, I.M.; Bellos, V.; Tsihrintzis, V.A. Relationship of Rainfall and Flood Return Periods through Hydrologic and Hydraulic Modeling. Water 2022, 14, 3618. [Google Scholar] [CrossRef]
- Galiatsatou, P.; Iliadis, C. Intensity-Duration-Frequency Curves at Ungauged Sites in a Changing Climate for Sustainable Stormwater Networks. Sustainability 2022, 14, 1229. [Google Scholar] [CrossRef]
- van der Schriek, T.; Varotsos, K.V.; Giannakopoulos, C.; Founda, D. Projected Future Temporal Trends of Two Different Urban Heat Islands in Athens (Greece) under Three Climate Change Scenarios: A Statistical Approach. Atmosphere 2020, 11, 637. [Google Scholar] [CrossRef]
- Vlachogiannis, D.; Sfetsos, A.; Markantonis, I.; Politi, N.; Karozis, S.; Gounaris, N. Quantifying the Occurrence of Multi-Hazards Due to Climate Change. Appl. Sci. 2022, 12, 1218. [Google Scholar] [CrossRef]
- Gill, J.C.; Malamud, B.D. Hazard Interactions and Interaction Networks (Cascades) within Multi-Hazard. Earth Syst. Dyn. 2016, 7, 659–679. [Google Scholar] [CrossRef]
- Gill, J.C.; Malamud, B.D. Reviewing and Visualizing the Interactions of Natural Hazards. Rev. Geophys. 2014, 52, 680–722. [Google Scholar] [CrossRef]
- Li, S.H. Design Wind Speed for Buildings and Facilities with Non-Standard Design Life in Canadian Wind Climates. Front. Built Environ. 2022, 8, 829533. [Google Scholar] [CrossRef]
- Riahi, K.; Rao, S.; Krey, V.; Cho, C.; Chirkov, V.; Fischer, G.; Kindermann, G.; Nakicenovic, N.; Rafaj, P. RCP 8.5-A Scenario of Comparatively High Greenhouse Gas Emissions. Clim. Chang. 2011, 109, 33–57. [Google Scholar] [CrossRef]
- Van Wagner, C.E.; Pickett, T.L. Equations and FORTRAN Program for the Canadian Forest Fire Weather Index System; Forestry Technical Report 33; Canadian Forestry Service, Petawawa National Forestry Institute: Chalk River, ON, Canada, 1985; 18p. [Google Scholar]
- Hoskingt, J.R.M. L-Moments: Analysis and Estimation of Distributions Using Linear Combinations of Order Statistics. J. R. Stat. Soc. Ser. B Stat. Methodol. 1990, 52, 105–124. [Google Scholar]
- Feng Huang, Y.; Mirzaei, M.; Zaki, M.; Amin, M. ScienceDirect Uncertainty Quantification in Rainfall Intensity Duration Frequency Curves Based on Historical Extreme Precipitation Quantiles. Procedia Eng. 2016, 154, 426–432. [Google Scholar] [CrossRef]
- Yeo, M.-H.; Nguyen, V.-T.-V.; Kpodonu, T.A. Characterizing Extreme Rainfalls and Constructing Confidence Intervals for IDF Curves Using Scaling-GEV Distribution Model. Int. J. Climatol. 2021, 41, 456–468. [Google Scholar] [CrossRef]
- Kharin, V.V.; Zwiers, F.W. Estimating Extremes in Transient Climate Change Simulations. J. Clim. 2005, 18, 1156–1173. [Google Scholar] [CrossRef]
- Skamarock, W.C.; Skamarock, W.C.; Klemp, J.B.; Dudhia, J.; Gill, D.O.; Barker, D.M.; Wang, W.; Powers, J.G. A Description of the Advanced Research WRF Version 3. NCAR Tech. Note 2008, 475, 113. [Google Scholar]
- Hazeleger, W.; Severijns, C.; Semmler, T.; Ştefǎnescu, S.; Yang, S.; Wang, X.; Wyser, K.; Dutra, E.; Baldasano, J.M.; Bintanja, R.; et al. EC-Earth: A Seamless Earth-System Prediction Approach in Action. Bull. Am. Meteorol. Soc. 2010, 91, 1357–1364. [Google Scholar] [CrossRef]
- Hazeleger, W.; Wang, X.; Severijns, C.; Ştefănescu, S.; Bintanja, R.; Sterl, A.; Wyser, K.; Semmler, T.; Yang, S.; van den Hurk, B.; et al. EC-Earth V2.2: Description and Validation of a New Seamless Earth System Prediction Model. Clim. Dyn. 2012, 39, 2611–2629. [Google Scholar] [CrossRef]
- Hong, S.-Y.; Lim, J.-O. The WRF Single-Moment 6-Class Microphysics Scheme (WSM6). J. Korean Meteor. Soc. 2006, 42, 129–151. [Google Scholar]
- Iacono, M.J.; Delamere, J.S.; Mlawer, E.J.; Shephard, M.W.; Clough, S.A.; Collins, W.D. Radiative Forcing by Long-Lived Greenhouse Gases: Calculations with the AER Radiative Transfer Models. J. Geophys. Res. 2008, 113, D13103. [Google Scholar] [CrossRef]
- Janjić, Z.I. Nonsingular Implementation of the Mellor-Yamada Level 2.5 Scheme in the NCEP Meso Model; Technical Report, National Centers for Environmental Prediction (NCEP), Office Note No. 437; 2001; 61p. Available online: https://repository.library.noaa.gov/view/noaa/11409 (accessed on 13 November 2023).
- Mellor, G.L.; Yamada, T. Development of a Turbulence Closure Model for Geophysical Fluid Problems. Rev. Geophys. 1982, 20, 851. [Google Scholar] [CrossRef]
- Betts, A.K.; Miller, M.J. A New Convective Adjustment Scheme. Part II: Single Column Tests Using GATE Wave, BOMEX, ATEX and Arctic Air-Mass Data Sets. Q. J. R. Meteorol. Soc. 1986, 112, 693–709. [Google Scholar] [CrossRef]
- Chen, F.; Dudhia, J.; Chen, F.; Dudhia, J. Coupling an Advanced Land Surface–Hydrology Model with the Penn State–NCAR MM5 Modeling System. Part I: Model Implementation and Sensitivity. Mon. Weather Rev. 2001, 129, 569–585. [Google Scholar] [CrossRef]
- Politi, N.; Vlachogiannis, D.; Sfetsos, A.; Nastos, P.T. High-Resolution Dynamical Downscaling of ERA-Interim Temperature and Precipitation Using WRF Model for Greece. Clim. Dyn. 2021, 57, 799–825. [Google Scholar] [CrossRef]
- Politi, N.; Vlachogiannis, D.; Sfetsos, A.; Nastos, P.T. High Resolution Projections for Extreme Temperatures and Precipitation over Greece. Clim. Dyn. 2022, 61, 633–667. [Google Scholar] [CrossRef]
- Katopodis, T.; Markantonis, I.; Vlachogiannis, D.; Politi, N.; Sfetsos, A. Assessing Climate Change Impacts on Wind Characteristics in Greece through High Resolution Regional Climate Modelling. Renew. Energy 2021, 179, 427–444. [Google Scholar] [CrossRef]
- Katopodis, T.; Vlachogiannis, D.; Politi, N.; Gounaris, N.; Karozis, S.; Sfetsos, A. Assessment of Climate Change Impacts on Wind Resource Characteristics and Wind Energy Potential in Greece. J. Renew. Sustain. Energy 2019, 11, 066502. [Google Scholar] [CrossRef]
- Kim, J.-Y.; So, B.-J.; Kwon, H.-H.; Kim, T.-W.; Lee, J.-H. Estimation of Return Period and Its Uncertainty for the Recent 2013–2015 Drought in the Han River Watershed in South Korea. Hydrol. Res. 2018, 49, 1313–1329. [Google Scholar] [CrossRef]
- Yeo, M.-H.; Nguyen, V.-T.-V.; Kim, Y.S.; Kpodonu, T.A. An Integrated Extreme Rainfall Modeling Tool (SDExtreme) for Climate Change Impacts and Adaptation. Water Resour. Manag. 2022, 36, 3153–3179. [Google Scholar] [CrossRef]
- Statistical Distributions for Flood Frequency Analysis | World Meteorological Organization. Available online: https://community.wmo.int/en/bookstore/statistical-distributions-flood-frequency-analysis (accessed on 5 December 2023).
- Baran-Gurgul, K. The Risk of Extreme Streamflow Drought in the Polish Carpathians & mdash; A Two-Dimensional Approach. Int. J. Environ. Res. Public Health 2022, 19, 14095. [Google Scholar] [CrossRef] [PubMed]











| Variables (Description) | Extreme Parameters | Duration Calculation |
|---|---|---|
| Maximum temperature | TX | Average |
| Minimum temperature | TN | Average |
| Precipitation | PR | Sum |
| Maximum snow | SNx | Sum |
| Maximum wind speed | WSx | Average |
| Fire weather index | FWI | Average |
| Stations/Location | Longitude | Latitude | Height (m) | WE | SN | HGT (Model) |
|---|---|---|---|---|---|---|
| Alexandroupolis | 25.917 | 40.85 | 4 | 118 | 149 | 10.1201 |
| Corfu | 19.912 | 39.603 | 1 | 21 | 114 | 6.96835 |
| Elliniko Airport | 23.7333 | 37.8877 | 10 | 89 | 81 | 117.431 |
| Larisa | 22.417 | 39.65 | 73 | 63 | 117 | 79.4701 |
| Naxos | 25.383 | 37.1 | 9 | 119 | 67 | 107.592 |
| Methoni | 21.7 | 36.8333 | 34 | 56 | 56 | 35.8098 |
| Siteia | 26.095 | 35.205 | 30 | 136 | 28 | 109.665 |
| Kastoria Airport | 21.28 | 40.45 | 660.95 | 43 | 133 | 656.411 |
| Physics Parameterizations | |
|---|---|
| Microphysics scheme | WSM6, Hong and Lim 2006 [60] |
| Long-wave radiation scheme | RRTMG, Iacono et al. 2008 [61] |
| Short-wave radiation scheme | RRTMG, Iacono et al. 2008 |
| Planetary boundary layer scheme | MYJ, Janjic 2001 [62] |
| Surface layer | MO, Mellor and Yamada 1982 [63] |
| Cumulus scheme | BMJ, Betts and Miller 1986 [64] |
| Land surface model | NOAH, Chen and Dudhia 2001 [65] |
| RP20 | Duration (Days) | |||||||||
|---|---|---|---|---|---|---|---|---|---|---|
| 1 | 2 | 3 | 4 | 5 | 6 | 7 | 8 | 9 | 10 | |
| TX (°C) | 37.23 | 36.79 | 36.28 | 35.79 | 35.23 | 34.78 | 34.52 | 34.39 | 34.17 | 33.91 |
| TN (°C) | 15.75 | 15.09 | 14.07 | 13.17 | 12.21 | 11.65 | 10.99 | 10.38 | 9.96 | 9.62 |
| PR (mm) | 31.80 | 42.16 | 48.59 | 53.28 | 57.32 | 59.90 | 65.05 | 69.32 | 71.52 | 74.32 |
| WSX (m/s) | 22.04 | 19.14 | 16.86 | 15.17 | 13.93 | 12.84 | 12.32 | 11.97 | 11.52 | 11.13 |
| SNX (mm) | 12.42 | 17.37 | 21.09 | 25.07 | 30.04 | 30.98 | 32.60 | 32.79 | 34.53 | 37.71 |
| FWI | 78.23 | 63.44 | 57.28 | 53.70 | 51.70 | 50.13 | 48.36 | 46.66 | 45.71 | 44.82 |
Disclaimer/Publisher’s Note: The statements, opinions and data contained in all publications are solely those of the individual author(s) and contributor(s) and not of MDPI and/or the editor(s). MDPI and/or the editor(s) disclaim responsibility for any injury to people or property resulting from any ideas, methods, instructions or products referred to in the content. |
© 2023 by the authors. Licensee MDPI, Basel, Switzerland. This article is an open access article distributed under the terms and conditions of the Creative Commons Attribution (CC BY) license (https://creativecommons.org/licenses/by/4.0/).
Share and Cite
Sfetsos, A.; Politi, N.; Vlachogiannis, D. Multi-Hazard Extreme Scenario Quantification Using Intensity, Duration, and Return Period Characteristics. Climate 2023, 11, 242. https://doi.org/10.3390/cli11120242
Sfetsos A, Politi N, Vlachogiannis D. Multi-Hazard Extreme Scenario Quantification Using Intensity, Duration, and Return Period Characteristics. Climate. 2023; 11(12):242. https://doi.org/10.3390/cli11120242
Chicago/Turabian StyleSfetsos, Athanasios, Nadia Politi, and Diamando Vlachogiannis. 2023. "Multi-Hazard Extreme Scenario Quantification Using Intensity, Duration, and Return Period Characteristics" Climate 11, no. 12: 242. https://doi.org/10.3390/cli11120242
APA StyleSfetsos, A., Politi, N., & Vlachogiannis, D. (2023). Multi-Hazard Extreme Scenario Quantification Using Intensity, Duration, and Return Period Characteristics. Climate, 11(12), 242. https://doi.org/10.3390/cli11120242

